Weeding Frequencies Decreased Rice–Weed Competition and Increased Rice N Uptake in Organic Paddy Field
Abstract
:1. Introduction
2. Materials and Methods
2.1. Study Sites and Field Management (Experimental Design)
2.2. Plant Sampling and Analysis
2.3. Statistical Analysis
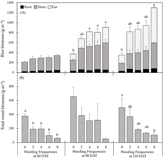
3. Results
3.1. Changes in Rice Tillers, Number of Weeds, and Their Biomass
3.2. Weed Diversity and Percentage
3.3. Nitrogen Concentration and Uptake of Rice and Weeds
4. Discussion
4.1. Weed Diversity and Percentage
4.2. Effect of Weeding Frequencies on Rice Tiller Number, Weed Number, and Their Biomass
4.3. Effect of Weeding Frequencies on Rice and Weed Nitrogen
5. Conclusions
Supplementary Materials
Author Contributions
Funding
Acknowledgments
Conflicts of Interest
References
- Bergström, L.; Kirchmann, H.; Thorvaldsson, G. Widespread opinions about organic agriculture—are they supported by scientific evidence. In Organic Crop Production—Ambitions and Limitations; Kirchmann, H., Bergström, L., Eds.; Springer: Dordrecht, The Netherlands, 2008; pp. 1–12. [Google Scholar]
 - Meena, R.P.; Meena, H.P.; Meena, R.S. Organic farming: Concept and components. Pop. Kheti 2013, 1, 5–14. [Google Scholar]
 - Poudel, D.; Horwath, W.; Lanini, W.; Temple, S.; van Bruggen, A. Comparison of soil N availability and leaching potential, crop yields and weeds in organic, low-input and conventional farming systems in northern California. Agric. Ecosyst. Environ. 2002, 90, 125–137. [Google Scholar] [CrossRef]
 - Hokazono, S.; Hayashi, K.; Sato, M. Potentialities of organic and sustainable rice production in Japan from a life cycle per-spective. Agron. Res. 2009, 7, 257–262. [Google Scholar]
 - Abouziena, H.; Haggag, W. Weed control in clean agriculture: A review 1. Planta Daninha 2016, 34, 377–392. [Google Scholar] [CrossRef]
 - Johnson, D.; Wopereis, M.; Mbodj, D.; Diallo, S.; Powers, S.; Haefele, S. Timing of weed management and yield losses due to weeds in irrigated rice in the Sahel. Field Crop. Res. 2004, 85, 31–42. [Google Scholar] [CrossRef]
 - Hosoya, K.; Sugiyama, S.-I. Weed communities and their negative impact on rice yield in no-input paddy fields in the northern part of Japan. Biol. Agric. Hortic. 2017, 33, 215–224. [Google Scholar] [CrossRef]
 - Cheng, W.; Okamoto, Y.; Takei, M.; Tawaraya, K.; Yasuda, H. Combined use of Azolla and loach suppressed weed Monochoria vaginalis and increased rice yield without agrochemicals. Org. Agric. 2015, 5, 1–10. [Google Scholar] [CrossRef]
 - Delmotte, S.; Tittonell, P.; Mouret, J.-C.; Hammond, R.; Lopez-Ridaura, S. On farm assessment of rice yield variability and productivity gaps between organic and conventional cropping systems under Mediterranean climate. Eur. J. Agron. 2011, 35, 223–236. [Google Scholar] [CrossRef]
 - Khaliq, A.; Matloob, A. Weed-crop competition period in three fine rice cultivars under direct-seeded rice culture. Pak. J. Weed Sci. Res. 2011, 17, 229–243. [Google Scholar]
 - Sun, X.; Guo, J.; Guo, S.; Guo, H.; Hu, S. Divergent responses of leaf N: P: K stoichiometry to nitrogen fertilization in rice and weeds. Weed Sci. 2019, 67, 339–345. [Google Scholar] [CrossRef]
 - Duary, B.; Mishra, M.M.; Dash, R.; Teja, K.C. Weed management in lowland rice. Indian J. Weed Sci. 2015, 47, 224–232. [Google Scholar]
 - Huang, M.; Shan, S.; Cao, F.; Chen, J.; Zou, Y. The potential of naturally occurring fallow weeds to scavenge nitrogen in rice cropping systems. Ecol. Indic. 2018, 93, 183–187. [Google Scholar] [CrossRef]
 - Ardiantika, D.A.; Purwanto, B.H.; Utami, S.N.H. Effect of organic fertilizer on nitrogen uptake and yield of two different rice varieties in inceptisol, Kalitirto. In IOP Conference Series: Earth and Environmental Science; IOP Publishing: Bristol, UK, 2018; Volume 215, p. 012027. [Google Scholar]
 - Utami, A.I.; Bimantara, P.O.; Umemoto, R.; Sabri, R.K.; Kautsar, V.; Tawaraya, K.; Hanudin, E.; Cheng, W. Incorporation of winter grasses suppresses summer weed germination and affects inorganic nitrogen in flooded paddy soil. Soil Sci. Plant Nutr. 2020, 66, 389–397. [Google Scholar] [CrossRef]
 - Sakuraoka, R.; Toriyama, K.; Kobayashi, K.; Yamada, S.; Kamioka, H.; Mori, S. Incorporation of fallow weed increases phosphorus availability in a farmer’s organic rice fields on allophanic Andosol in eastern Japan. Soil Sci. Plant Nutr. 2018, 64, 300–305. [Google Scholar] [CrossRef]
 - Toriyama, K.; Amino, T.; Kobayashi, K. Contribution of fallow weed incorporation to nitrogen supplying capacity of paddy soil under organic farming. Soil Sci. Plant Nutr. 2020, 66, 133–143. [Google Scholar] [CrossRef]
 - Choudhary, V.; Gurjar, D.; Meena, R.S. Crop residue and weed biomass incorporation with microbial inoculation improve the crop and soil productivity in the rice (Oryza sativa L.)-toria (Brassica rapa L.) cropping system. Environ. Sustain. Indic. 2020, 7, 100048. [Google Scholar] [CrossRef]
 - Sasaki, Y.; Ando, H.; Kakuda, K.-I. Relationship between ammonium nitrogen in soil solution and tiller number at early growth stage of rice. Soil Sci. Plant Nutr. 2002, 48, 57–63. [Google Scholar] [CrossRef]
 - Mae, T. Partitioning and utilization of nitrogen in rice plants. JARQ 1986, 20, 115–120. [Google Scholar]
 - Singh, M.; Bhullar, M.S.; Chauhan, B. The critical period for weed control in dry-seeded rice. Crop. Prot. 2014, 66, 80–85. [Google Scholar] [CrossRef]
 - De Ponti, T.; Rijk, B.; van Ittersum, M.K. The crop yield gap between organic and conventional agriculture. Agric. Syst. 2012, 108, 1–9. [Google Scholar] [CrossRef]
 - Hazra, K.K.; Swain, D.; Bohra, A.; Singh, S.S.; Kumar, N.; Nath, C.P. Organic rice: Potential production strategies, challenges and prospects. Org. Agric. 2016, 8, 39–56. [Google Scholar] [CrossRef]
 - Korsaeth, A. Relations between nitrogen leaching and food productivity in organic and conventional cropping systems in a long-term field study. Agric. Ecosyst. Environ. 2008, 127, 177–188. [Google Scholar] [CrossRef]
 - Moreau, D.; Pointurier, O.; Perthame, L.; Beaudoin, N.; Villerd, J.; Colbach, N. Integrating plant-plant competition for nitrogen into a 3D individual-based model simulating the effects of cropping systems on weed dynamics. Field Crop. Res. 2021, 268, 108166. [Google Scholar] [CrossRef]
 - JMA (Japan Meteorological Agency). Tsuruoka (Daily Value). 2020. Available online: https://www.data.jma.go.jp/obd/stats/etrn/index.php (accessed on 6 June 2020).
 - Guo, L.; Qiu, J.; Ye, C.; Jin, G.; Mao, L.; Zhang, H.; Yang, X.; Peng, Q.; Wang, Y.; Longjiang, F.; et al. Echinochloa crus-galli genome analysis provides insight into its adaptation and invasiveness as a weed. Nat. Commun. 2017, 8, 1–10. [Google Scholar] [CrossRef] [PubMed]
 - Cheng, W.; Sakai, H.; Nishimura, S.; Yagi, K.; Hasegawa, T. The lowland paddy weed Monochoria vaginalis emits N2O but not CH4. Agric. Ecosyst. Environ. 2010, 137, 219–221. [Google Scholar] [CrossRef]
 - Takeuchi, Y.; Kawaguchi, S.; Yoneyama, K. Inhibitory and promotive allelopathy in rice (Oryza sativa L.). Weed Biol. Manag. 2001, 1, 147–156. [Google Scholar] [CrossRef]
 - Yamada, S.; Okubo, S.; Kitagawa, Y.; Takeuchi, K. Restoration of weed communities in abandoned rice paddy fields in the Tama Hills, central Japan. Agric. Ecosyst. Environ. 2007, 119, 88–102. [Google Scholar] [CrossRef]
 - Al Mamun, M.A. Modelling rice-weed competition in direct-seeded rice cultivation. Agric. Res. 2014, 3, 346–352. [Google Scholar] [CrossRef] [Green Version]
 - Nozoe, T.; Tachibana, M.; Uchino, A.; Yokogami, N. Effects of ferrous iron (Fe) on the germination and root elongation of paddy rice and weeds. Weed Biol. Manag. 2009, 9, 20–26. [Google Scholar] [CrossRef]
 - Biswas, M.; Parveen, S.; Shimozawa, H.; Nakagoshi, N. Effects of Azolla species on weed emergence in a rice paddy ecosystem. Weed Biol. Manag. 2005, 5, 176–183. [Google Scholar] [CrossRef]
 - Shulner, I.; Asaf, E.; Ben-Simhon, Z.; Cohen-Zinder, M.; Shabtay, A.; Peleg, Z.; Lati, R. Optimizing weed management for the new super-forage Moringa oleifera. Agronomy 2021, 11, 1055. [Google Scholar] [CrossRef]
 - Bond, W.; Grundy, A.C. Non-chemical weed management in organic farming systems. Weed Res. 2001, 41, 383–405. [Google Scholar] [CrossRef]
 - Hashim, M.M.; Yusop, M.K.; Othman, R.; Wahid, S.A. Characterization of nitrogen uptake pattern in Malaysian rice MR219 at different growth stages using 15N isotope. Rice Sci. 2015, 22, 250–254. [Google Scholar] [CrossRef] [Green Version]
 - Jones, C.; Olson-Rutz, K.; Dinkins, C.P. Nutrient Uptake Timing by Crops to Assist with Fertilizing Decisions; Montana State University Extension: Bozeman, MT, USA, 2011. [Google Scholar]
 





| Weeding Frequencies  | N Concentration of Whole Rice (%) | N Concentration of Total Weeds (%) | ||||||
|---|---|---|---|---|---|---|---|---|
| 60 DAT | 88 DAT | 110 DAT | 60 DAT | 88 DAT | 110 DAT | |||
| 0 | 0.96 ± 0.08 | b | 0.62 ± 0.05 | c | 0.61 ± 0.05 | 0.88 ± 0.12 | 0.88 ± 0.12 | 0.73 ± 0.10 | 
| 2 | 1.25 ± 0.22 | a | 0.74 ± 0.07 | bc | 0.62 ± 0.07 | 1.09 ± 0.16 | 0.94 ± 0.10 | 0.78 ± 0.14 | 
| 4 | 1.33 ± 0.12 | a | 0.76 ± 0.07 | bc | 0.68 ± 0.02 | 1.16 ± 0.18 | 0.89 ± 0.16 | 0.80 ± 0.19 | 
| 6 | 1.28 ± 0.08 | a | 0.83 ± 0.08 | ab | 0.66 ± 0.03 | 1.30 ± 0.11 | 0.95 ± 0.08 | 0.90 ± 0.09 | 
| 8 | 1.31 ± 0.05 | a | 0.96 ± 0.04 | a | 0.71 ± 0.02 | 1.40 ± 0.49 | 1.16 ± 0.25 | 1.00 ± 0.12 | 
| Weeding Frequencies  | Rice N Uptake (g N m–2) | Total Weed N Uptake (g N m–2) | ||||||||
|---|---|---|---|---|---|---|---|---|---|---|
| 60 DAT | 88 DAT | 110 DAT | 60 DAT | 88 DAT | 110 DAT | |||||
| 0 | 2.05 ± 0.54 | 2.28 ± 0.28 | c | 2.22 ± 1.08 | c | 3.32 ± 0.87 | a | 5.53 ± 1.65 | a | 3.60 ± 1.81 | 
| 2 | 3.58 ± 1.76 | 5.10 ± 1.13 | bc | 4.93 ± 1.95 | bc | 2.05 ± 0.71 | ab | 3.62 ± 2.41 | ab | 2.65 ± 1.18 | 
| 4 | 3.98 ± 1.71 | 6.26 ± 1.55 | ab | 5.95 ± 1.73 | ab | 2.32 ± 1.05 | ab | 2.59 ± 1.30 | ab | 1.44 ± 0.29 | 
| 6 | 3.89 ± 0.89 | 6.56 ± 2.38 | ab | 6.22 ± 2.49 | ab | 1.30 ± 1.21 | ab | 2.94 ± 4.18 | b | 1.23 ± 0.19 | 
| 8 | 4.50 ± 0.73 | 8.69 ± 1.69 | a | 9.21 ± 0.48 | a | 0.82 ± 0.47 | b | 0.62 ± 0.24 | b | 1.04 ± 0.66 | 
Publisher’s Note: MDPI stays neutral with regard to jurisdictional claims in published maps and institutional affiliations.  | 
© 2021 by the authors. Licensee MDPI, Basel, Switzerland. This article is an open access article distributed under the terms and conditions of the Creative Commons Attribution (CC BY) license (https://creativecommons.org/licenses/by/4.0/).
Share and Cite
Maimunah, M.A.; Kautsar, V.; Bimantara, P.O.; Kimani, S.M.; Torita, R.; Tawaraya, K.; Murayama, H.; Utami, S.N.H.; Purwanto, B.H.; Cheng, W. Weeding Frequencies Decreased Rice–Weed Competition and Increased Rice N Uptake in Organic Paddy Field. Agronomy 2021, 11, 1904. https://doi.org/10.3390/agronomy11101904
Maimunah MA, Kautsar V, Bimantara PO, Kimani SM, Torita R, Tawaraya K, Murayama H, Utami SNH, Purwanto BH, Cheng W. Weeding Frequencies Decreased Rice–Weed Competition and Increased Rice N Uptake in Organic Paddy Field. Agronomy. 2021; 11(10):1904. https://doi.org/10.3390/agronomy11101904
Chicago/Turabian StyleMaimunah, Margi Asih, Valensi Kautsar, Putu Oki Bimantara, Samuel Munyaka Kimani, Ren Torita, Keitaro Tawaraya, Hideki Murayama, Sri Nuryani Hidayah Utami, Benito Heru Purwanto, and Weiguo Cheng. 2021. "Weeding Frequencies Decreased Rice–Weed Competition and Increased Rice N Uptake in Organic Paddy Field" Agronomy 11, no. 10: 1904. https://doi.org/10.3390/agronomy11101904
APA StyleMaimunah, M. A., Kautsar, V., Bimantara, P. O., Kimani, S. M., Torita, R., Tawaraya, K., Murayama, H., Utami, S. N. H., Purwanto, B. H., & Cheng, W. (2021). Weeding Frequencies Decreased Rice–Weed Competition and Increased Rice N Uptake in Organic Paddy Field. Agronomy, 11(10), 1904. https://doi.org/10.3390/agronomy11101904
        
                                                
