Next Article in Journal
Economic Feasibility of Agrivoltaic Systems in Food-Energy Nexus Context: Modelling and a Case Study in Niger
Next Article in Special Issue
Effects of Phosphorus Supply on the Leaf Photosynthesis, and Biomass and Phosphorus Accumulation and Partitioning of Canola (Brassica napus L.) in Saline Environment
Previous Article in Journal
Weeding Frequencies Decreased Rice–Weed Competition and Increased Rice N Uptake in Organic Paddy Field
Previous Article in Special Issue
How Phosphorus Fertilization Alleviates the Effect of Salinity on Sugar Beet (Beta vulgaris L.) Productivity and Quality
 
 
Font Type:
Arial Georgia Verdana
Font Size:
Aa Aa Aa
Line Spacing:
Column Width:
Background:
Article

The Addition of Selenium to the Nutrient Solution Decreases Cadmium Toxicity in Pepper Plants Grown under Hydroponic Conditions

by
Rafael Perez-Millan
1,2,
Marina Alfosea-Simon
3,
Ernesto Alejandro Zavala-Gonzalez
2,
Jose Maria Camara-Zapata
3,
Juan Jose Martinez-Nicolas
3,
Vicente Lidon
3,
Inma Simon
3,
Muhammad Adnan Shahid
4,
Francisco Garcia-Sanchez
3,* and
Silvia Simon-Grao
3
1
Centro de Investigación e Innovación Agroalimentaria y Agroambiental (CIAGRO-UMH), Miguel Hernández University, 03312 Orihuela, Spain
2
The R&D Department, Atlántica Agrícola S.L. Villena, 03400 Alicante, Spain
3
Centro de Edafología y Biología Aplicada del Segura, Consejo Superior de Investigaciones Científicas, 30100 Murcia, Spain
4
Department of Agriculture, Nutrition and Food Systems, University of New Hampshire, Durham, NH 03824, USA
*
Author to whom correspondence should be addressed.
Agronomy 2021, 11(10), 1905; https://doi.org/10.3390/agronomy11101905
Submission received: 6 September 2021 / Revised: 16 September 2021 / Accepted: 17 September 2021 / Published: 23 September 2021
(This article belongs to the Special Issue Improving Mineral Nutrition to Obtain Stress Tolerant Crops)

Abstract

:
Cadmium is absorbed by plants rapidly and without control through the same channels as other essential metals, interfering with their transport and utilization. Many studies have shown that selenium could be utilized as a way to avoid this unwanted transport and other negative effects of Cd. For this reason, the present research study was conducted with four treatments (−Cd/−Se, +Cd/−Se, +Cd/+SeF, and +Cd/+SeR) to determine the type of application of Se that is best (foliarly and/or via the root) as regards the reduction of the toxic effects of Cd on plants. Our results showed that the Cd excess in the nutrient solution resulted in a decrease in the total dry biomass of the plants grown under these conditions, and this decrease was due to the reduction of the growth of the shoot (48% +Cd/−Se, 45% +Cd/+SeF, and 38% +Cd/+SeR, relative to −Cd/−Se). This reduction in growth was due to: (i) the toxicity of Cd itself and (ii) the nutritional disequilibrium suffered by the plants. It seems that under hydroponic conditions, the addition of Se to the nutrient solution, and therefore its absorption through the roots (lower antioxidant activity, superoxide dismutase, H2O2 concentration and higher catalase activity), greatly delayed and reduced the toxic effects of Cd on the pepper plants, as opposed to the foliar application of this element.

1. Introduction

Environmental contamination due to cadmium (Cd) has drastically increased in nature due to the intensification of industrial activities at the end of the 20th century and the beginning of the 21st century, which have progressively affected different ecosystems including agriculture [1]. Cadmium is a heavy metal without a biological function, and in humans, animals, and plants, it is toxic in low concentrations [2]. In humans, one of the main sources of Cd toxicity is the consumption of products from contaminated agricultural areas [3], and this toxicity is due to Cd being the only metal whose toxicity threshold is less for humans than for plants. Thus, in many cases, plants without any apparent phytotoxic symptoms are consumed, but whose Cd concentration can be damaging to humans [4].
Cd in the soil solution can be found dissolved in the water or absorbed in the organic and mineral fractions, forming part of the chemical structure of minerals, precipitated with other soil compounds, and/or as part of biological structures. In plants, its bioavailability depends on numerous physical, chemical, and biological factors, which include [5]: (i) pH; in acidic soils, there is a greater liberation of Cd; (ii) potential redox; the oxidative state of the soil facilitates the solubility and availability of Cd; (iii) the mineral substance content of the soil; an excess of nitrates induces a greater activity of transporters in the root that provokes a greater absorption of Cd; and (iv) organic matter; soils rich in organic compounds makes Cd absorption by the plants difficult, as it is found as part of organic complexes. For non-hyperacumulator plants, the threshold of toxicity has been established at 5–10 µM Cd in the nutrient solution for hydroponics-grown crops, and 5.0 mg kg−1 in soil. In plants, this metal has a threshold of toxicity of 3–30 mg kg−1 dry weight [6].
Different Cd entry mechanisms in plants have been previously described, such as: (i) entry through the plasma membrane of root epidermal cells, through the rapid exchange of Cd2+ with H+ coming from plant metabolism, (ii) entry through plant cells through specific transporters, such as LCT1 (Ca, Zn, and Fe), ZIP (Zn and Fe), and NRAMP (Fe, Mn, and other metals) family transporters, and (iii) yellow-stripe 1-like (YSL) proteins, which uptake Cd in its chelated form [7]. Once Cd is absorbed by the roots, it is transported to the aerial part (shoot) of the plant through the xylem, following a symplastic and/or apoplastic route, and driven by the transpiration stream [1]. The quantity of Cd that is transported to the shoot will depend on a series of complex processes which involve different mechanisms, as follows: the manner in which Cd encounters the xylem, the downloading of Cd into the xylem by AtHMA2 and AtHMA4 Cd and Zn transporters, the cationic exchange capacity of the cell walls of the xylem, Cd sequestration into plant vacuoles in different plant tissues, extrusion of Cd out of the plant, synthesis of phytochelatines, glutathione, and metallothioneins, as well as Cd transport and redistribution processes in the phloem, leaves, and nodes by OsLCT1 transporter (Cd, Ca, Mg, and Mn) [7,8].
In plants, cadmium has some of the following negative effects: (i) it interferes with the entry, transport, and use of the essential elements Ca, Mg, P, and K [5]; (ii) reduces the activity of ATPase of the plasma membrane, altering its biological functions [9]; (iii) reduces the net assimilation rate of CO2 due to the reduction in the concentration of chlorophylls and carotenoids, the inactivation of the enzymes involved in the Calvin cycle, the damage to photosystems I and II, and the alteration of the control of the stomatal opening [10]; (iv) it alters nitrogen metabolism, as the absorption and transport of nitrates is reduced, and inhibits the nitrate reductase enzyme [11]; (v) it damages genes and alters the synthesis of proteins [12]; (vi) it inhibits the response of the plants to oxidative stress [1], etc. All of these alterations result in growth inhibition, loss of production, a low quality of the crop harvest, and in the most severe cases, the death of the plant.
In agriculture, there are crops with different degrees of tolerance to Cd toxicity. Pepper has medium tolerance to Cd, as it accumulates it in its tissues, with visual symptoms rapidly observed [13]. This plant is a very important crop in agriculture. However, its cultivation in agricultural areas with high Cd concentration in the soils can cause negative repercussions on its growth, production, and fruit quality. One of the strategies utilized to decrease the concentration of Cd in the edible part of the crops is the application of selenium (Se). This metalloid has positive effects on plant growth at very low concentrations (0.1 mg kg−1) and negative effects when present at higher concentrations (5 mg kg−1) [14]. Plant roots uptake selenium as seletiate (Se6+) through sulfate transporters (SULTR1; 1, SULTR1; 2), as selenite (Se4+) through aquaporins (NIP2; 1) and phosphate transporters (PT2 and PT8), while transporters of chelated-Se have not yet been described [15]. It has been reported that exogenous Se application decreases Cd concentrations and increases the growth, chlorophyll contents, and photosynthetic activity of Cd-stressed plants, as reported for the presence of Se in the nutrient solution of hydroponically grown cucumber seedlings, soil applications in pepper [14] (Rizwan et al., 2020), and foliar application in tomato [16].
Selenium can be applied using four different techniques, namely seed dressing, seed soaking, soil, and foliar application. The last two techniques are the easiest to perform, but no scientific studies have been conducted to compare foliar versus soil application in identical conditions (plant varieties, growth condition, etc.), to understand which of them could be more beneficial and why. There are not enough comparative studies to clarify the effect and accumulation of Se depending on the application method. Assays carried out on rice plants showed that foliar applications increased the accumulation of inorganic Se, while soil applications of Se improved the response of the plant in terms of the accumulation of organic compounds of Se that are healthy for humans [17]. Therefore, the objective of the present work is (i) to understand how the presence of Cd in the nutrient solution affects pepper plants (Capsicum annum), with respect to growth parameters, the concentration of Cd in the different parts of the plant, gas exchange processes, and oxidative stress systems, and (ii) to determine if the foliar or root application of Se can palliate the negative effects of Cd toxicity, elucidating which physiological and biochemical mechanisms could be involved.

2. Materials and Methods

2.1. Growing Conditions and Plant Material

For the experiments, pepper (Capsicum annuum L.) seeds of the commercial variety ‘Cristal’, (acquired in Ramiro Arnedo Seeds, Murcia) were germinated in trays filled with sterile vermiculite in a germination chamber. The seeds were previously sterilized with a hydrogen peroxide solution (H2O2) at 2% for 5 min, and then they were washed with abundant deionized water. Once germinated, they were moved to a growth chamber with controlled environmental conditions: photoperiod of 16 h with a PAR = 500 μmol m−2 s−1, air temperature of 25 °C, and relative humidity of 60%. When seedlings reached a size of approximately 10 cm in height, they were transplanted to containers of 9 L for acclimation in the growth chamber. Thus, upon reaching adequate size, each one was transplanted to 1L containers. Each treatment had six plants in each container. Both for the acclimatization period (9 L container) and once the plants were transferred to the 1 L containers, each container contained complete nutrient solution, with macronutrients (mM): 20 N, 0.75 P, 4.2 K, and 6 Ca; and micronutrients (µM): 23 B, 2 Mn, 2 Zn, 0.5 Cu, 0.5 Mo, and 20 Fe. A continuous airflow was passed through the solution to avoid hypoxia conditions during the experiment. For each 1 L container, the nutrient solution was renewed weekly, and the pH (5.5–6.0) and the electric conductivity (EC = 1.8–2.1 mS cm−1) were adjusted every three days with NaOH (1 mM).

2.2. Treatment with Cadmium and Selenium

After the acclimatization phase (four weeks), pepper plants were moved from 9 L containers to 1 L individual containers and grown for two weeks under two different Cadmium treatments: a control without Cd or Se (−Cd/−Se) in the nutrient solution and another under conditions of excess cadmium (+Cd), where the nutrient solution contained a final concentration of Cd of 3 mg L−1 (8.5 µM), applied as CdSO4·8H2O. The plants in the Cd treatment were divided into three subgroups: (i) plants not treated with Se (+Cd/−Se), (ii) plants treated with foliar Se (+Cd/+SeF), and (iii) plants treated with Se via the root (+Cd/+SeR). Foliar selenium was applied at the beginning and seven days after starting Cd treatment, spraying the plants with a concentration of 10 µM Se in the form of Na2SeO4. The selenium for the root treatment was applied by adding Na2SeO4 to the nutrient solution for a final concentration of 10 µM. For each treatment, 6 plants were available, which were distributed randomly in the growth chamber. Plants were under treatment for two weeks.

2.3. Parameters Analysed

2.3.1. Gas Exchange, Chlorophyll Fluorescence, and Chlorophyll Content Parameters

The net assimilation of CO2 (ACO2) and leaf transpiration (Eleaf) were measured, after two week starting the Cd treatment, using a portable photosynthesis system (model CIRAS-2, PP-System, Amesbury, MA, USA). During the measurements, the machine was set to maintain a constant light intensity in the chamber (PAR: 1000 μmol m−2 s−1), and CO2 concentration (400 mg kg−1). The chlorophyll fluorescence parameters were also measured on leaves similar to those used for the gas exchange parameters, with a pulse-modulated fluorometer (model FMS-2; Hansatech, King’s Lynn, Norfolk, UK). The fluorescence chlorophyll parameters measured were the quantum efficiency of PSII, ΦPSII = (Fm′ − Fs)/Fm′, the antennae efficiency of PSII, Fv′/Fm′ = (Fm′ − F0′)/Fm′, and the photochemical quenching coefficient, qP = (Fm′ − Fs)/(Fm′ − F0′), where Fs is the steady-state fluorescence yield, Fm′, is the maximal value when all reaction centers are closed after a pulse of saturating light (12,000 μmol m−2 s−1 for 0.8 s) and F0′ is the minimal fluorescence in the light-adapted state that is obtained by turning off the actinic light temporarily and applying a pulse of far-red light (735 nm) to drain the electrons from PSII. For the quantification of chlorophyll content (SPAD unit) in the same leaves, the measurement was performed with the CL-01 portable measuring device (Hansatech).

2.3.2. Growth Parameters

The same day, after measuring the photosynthesis and fluorescence parameters of the chlorophylls, the pepper plants were harvested, separately weighing the leaves, stems, and roots (grams of fresh weight, g FW). Afterwards, these were lightly washed with deionized water and dried in an oven at 60 °C for at least 48 h. The plant parts were weighed again (grams of dry weight; g DW), after which they were ground to a fine powder for their posterior analysis in the laboratory. The dry masses of the leaves, stem, and roots were used to calculate the total plant dry mass.

2.3.3. Mineral Analysis in Leaves and Root

In 100 mg of dry and ground plant tissue of leaf, stem, and root, per plant, the concentration of mineral nutrients was measured (K, Mg, Ca, P, Mn, Zn, Fe, and Cd) utilizing inductively coupled plasma mass spectrometry (ICP, Iris Intrepid II, Thermo Electron Corporation, Franklin, MA, USA), after the samples’ digestion with HNO3:H2O2 (5:3 by volume), in a microwave (CERM Mars Xpress, Matthews, NC, USA) with a temperature ramp that reached 200 °C [18].

2.3.4. Determination of Proline in Leaves and Roots

At the end of the experiment, proline was extracted from dry leaf tissue with sulfosalicylic acid (3%) and quantified according to the protocol described by Bates et al. (1973) [19].

2.3.5. Determination of Oxidative Damage in Leaves

At the end of the experiment, before the complete harvest of the plants, leaves were frozen in liquid nitrogen for the oxidative stress study. The quantification of H2O2 was performed following the method described by Yang et al. (2007) [20]. Lipid peroxidation was determined by measuring malondialdehyde (MDA) using the method of Hodges et al. (1999) [21].

2.3.6. Determination of Antioxidant Activity

Briefly, two hundred fifty mg of frozen material were utilized for the extraction, with this tissue homogenized in 2.5 mL ethanol (80%). Posteriorly, the samples were centrifuged at 10,000 rpm for 15 min at 4 °C, and the supernatant was utilized to measure the antioxidant activity with the DPPH method described by Koleva et al. [22].

2.3.7. Determination of Antioxidant Enzymes

Leaves were frozen in liquid nitrogen for the study of the enzymatic activity of the enzymes catalase (CAT) through a direct spectrophotometric reading of this enzyme [23]; peroxidase (POD) through spectrophotometric measurements of the disappearance of the hydrogen donor [24], ascorbate peroxidase (APX) through the use of a reaction mixture containing 50 mM potassium phosphate, 0.1 mM hydrogen peroxide, and 0.5 mM ascorbate [25], and superoxide dismutase (SOD) [26].

2.4. Experimental Design and Statistical Analysis

The statistical analysis included a one-way ANOVA with the statistical package SPSS version 24 (Chicago, IL, USA). The values shown for each treatment are the means of 6 repetitions (n = 6). When the variables were significant (p < 0.05), the treatment means were separated using Tukey’s multiple range test [27].

3. Results

3.1. Growth Parameters

The pepper plants grown in +Cd conditions had a lower total dry biomass yield as compared to the control plants (−Cd/−Se), independently of the treatment with Se, while the treatment +Cd/+SeR did not any show significant effect if compared with the control plants (Figure 1A). The plants with the greatest decrease in dry leaf biomass yield were those from the +Cd/−Se treatment, with a 48% reduction, followed by the plants treated with +Cd/SeF (with a 45% reduction) and those from the +Cd/+SeR treatment (with a 38% reduction), and showed significant differences with the control plants (Figure 1B). The reduction in the total dry mass yield was only due to the reduction in the leaf growth, as neither the stem nor the roots were affected by the excess of Cd in the nutrient solution (Figure 1A–D).

3.2. Concentration of Cd and Se in the Different Tissues of the Plant

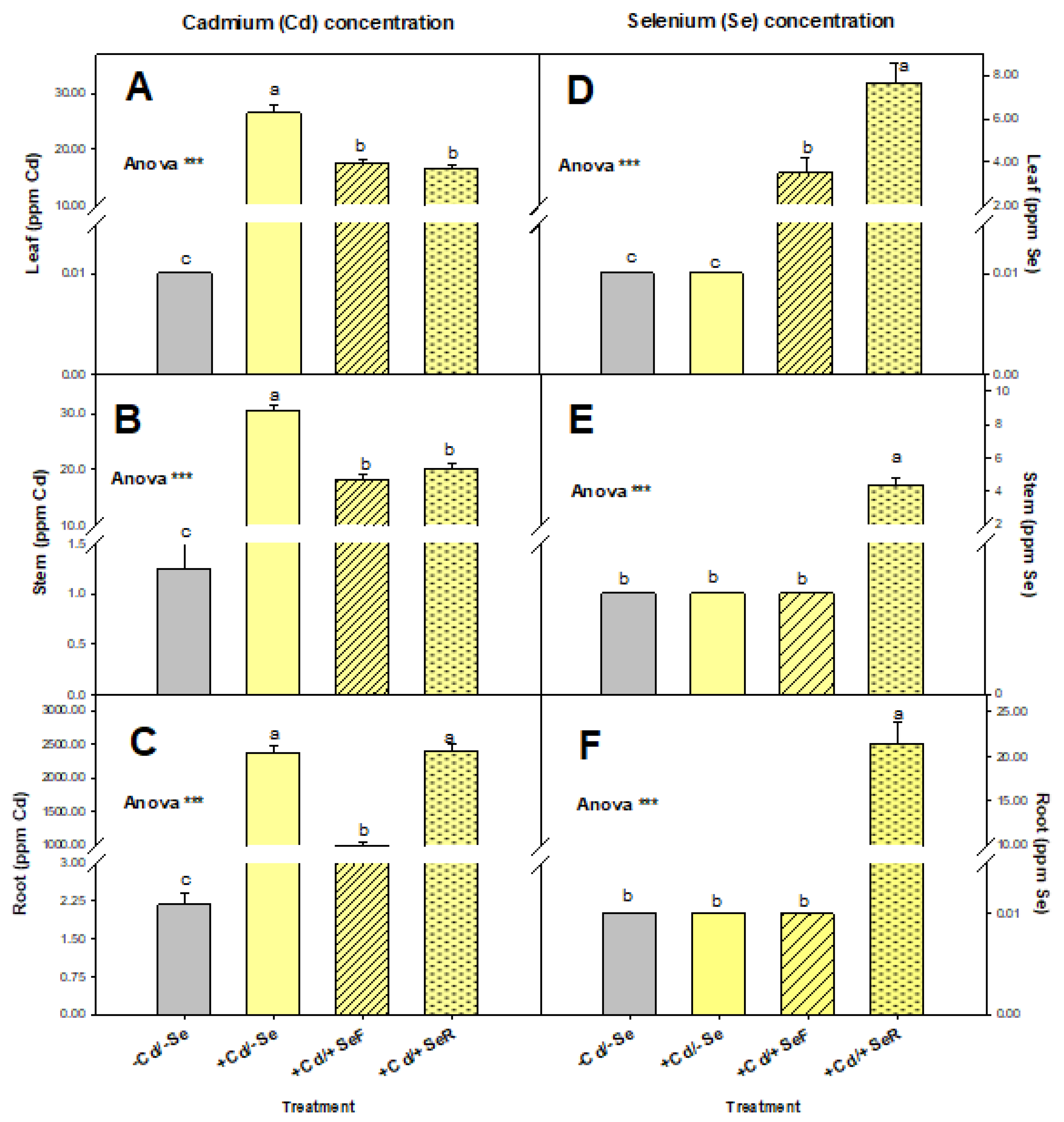
In the treatments with excess Cd, the pepper plants accumulated this metal mainly in the roots, followed by the leaves and stems. Although differences were hardly found between these two organs (Figure 2A–C). The application of Se to the plants significantly reduced the concentration of Cd in the leaves and stems, and this reduction was similar independently if the Se was applied via the leaves (foliar application) or via the roots. Thus, at the end of the experiment, the +Cd/+SeF, +Cd/+SeR, and +Cd/−Se plants had a concentration of Cd in the leaves of 17.5, 16.4, and 26.4 mg kg−1, respectively, indicating a reduction in the Cd concentration in the leaves of 30% (+Cd/+SeF) and 40% (+Cd/+SeR), relative to +Cd/−Se treatment. In the roots, the application of Se decreased the concentration of Cd only for the treatment in which Se was applied foliarly. The reduction is significant and amounts to 60% relative to the other two Cd treatments. As for the concentration of Se in the different parts of the plant (Figure 2D–F), it was observed that the plants that were treated foliarly (+Cd/+SeF), accumulated less Se in the leaves than those that had Se added to their nutrient solution (+Cd/+SeR). In both cases, the leaves accumulated significantly more Se than in the other two combinations. Moreover, the plants which uptake Se from the nutrient solution (+Cd/+SeR) accumulated significantly more Se in the stems and the roots than those from the other three combinations. When Se was applied to the leaves (+Cd/+SeF), its contents in the roots and stems was the same as observed in the control plants or when Cd alone (+Cd/−Se) was applied.

3.3. Parameters of Gas Exchange, Chlorophyll Fluorescence and Chlorophyll Content

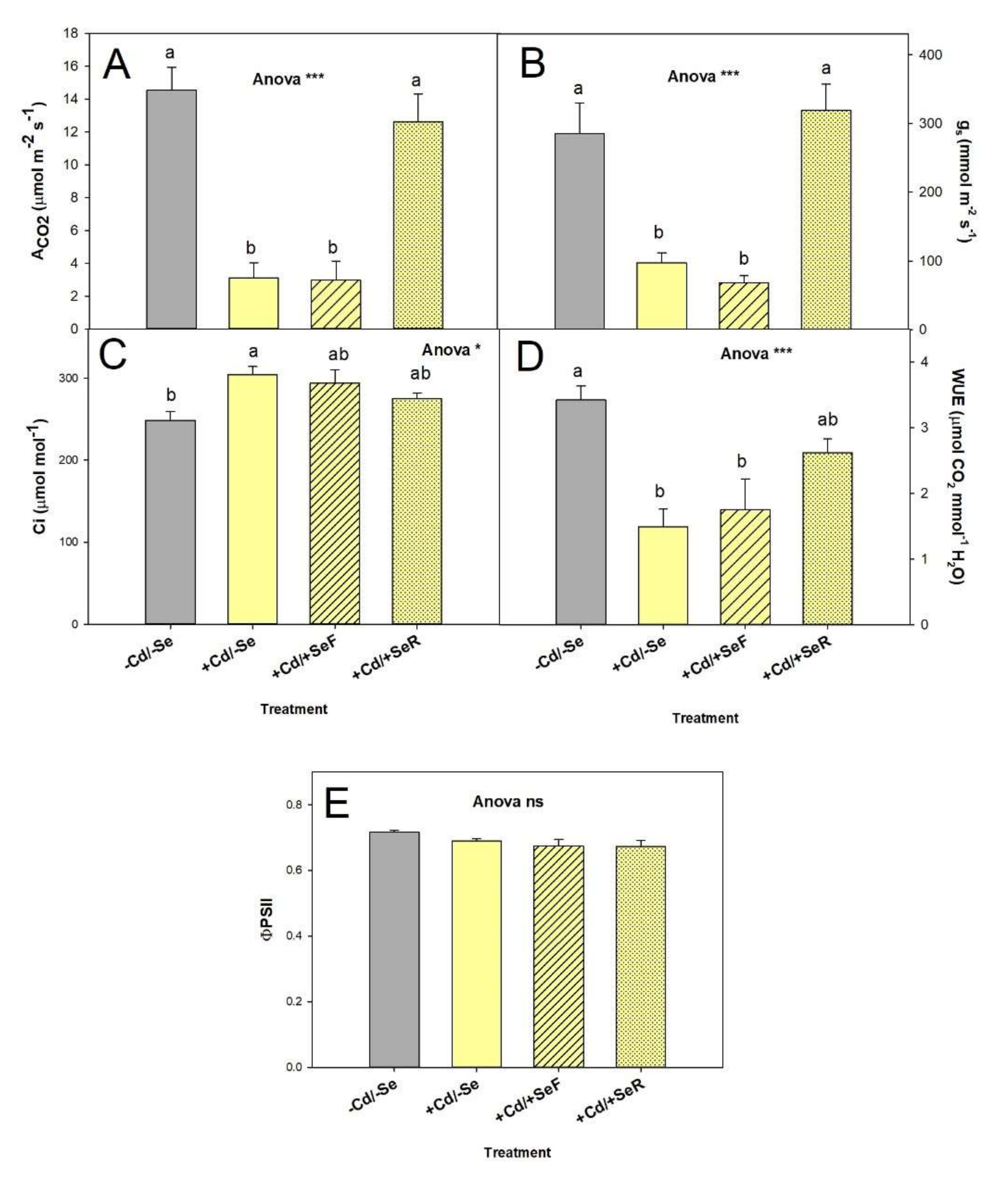
For the parameters of gas exchange, at the end of the experiment, it was observed that the +Cd/−Se and +Cd/+SeF treatments had a decreased net assimilation of CO2 (ACO2) and stomatal conductance (gs) (Figure 3A,B). This decrease was significant and similar for both treatments, with the ACO2 decreasing by 78% and gs by 65%, with respect to the control plants (−Cd/−Se). These two parameters, however, were not affected by the +Cd/+SeR treatment. The CO2 substomatic (Figure 3C) tended to increase in all the plants subjected to excess Cd relative to the control treatment, although this increase was not significant in the treatments with Se as compared to the control plants. The water use efficiency (WUE; Figure 3D) decreased significantly in the second week for the +Cd/−Se and +Cd/+SeF treatments with respect to the control plants. The quantum efficiency of PSII (Figure 3E) did not show significant differences between the different treatments.
The Cd toxicity also affected the SPAD units of the plants (Table 1). In the case of the apical leaves, only the use of Cd alone (+Cd/−Se) had a significant effect on this parameter value. The toxicity of Cd affected the mature leaves of the plants, significantly lowering the SPAD value in comparison to control plants, independently of the application or not of Se (Table 1), and the weakest plant response to the toxicity of Cd was observed when Se was foliar applied (+Cd/+SeF).

3.4. Proline in Leaves and Roots

The results of this assay showed that the pepper plants had a greater concentration of proline in the leaves as compared to the roots (Table 1). In the leaves, the excess of Cd in the nutrient solution in the +Cd/−Se treatment significantly increased the concentration of this osmolyte by 48% relative to −Cd/−Se treatment. In the rest of Cd treatments, the proline concentration was similar as in the control plants and maintained at an average value of 1.60 mg g−1 DW. In the root tissue, the +Cd/+SeF treatment induced a significantly higher proline concentration (1.27 mg g−1 DW) as compared to the plants of other treatments (containing on average 0.75 mg g−1 DW).

3.5. Mineral Nutrition: Concentration of Macro and Micronutrients in Leaf and Roots

Table 2 shows the results of the analysis of macronutrient (g 100 g−1 dw) and micronutrient (mg kg−1) contents analyzed in the leaves and roots at the end of the experiments.
In the leaves, the only elements that were affected by the excess of Cd in the nutrient solution were P, Cu, and Fe. The content of P significantly increased in the plants from the +Cd/−Se treatment, as compared to the rest of the treatments. The significant difference in the concentration of Fe was observed as an increased concentration of this element in the +Cd/+SeF treatment (144.3 mg kg−1) as compared to the +Cd/+SeR treatment (107.8 mg kg-1). As for foliar Cu, the concentration significantly decreased in the plants from the +Cd/+SeF treatment as compared to the −Cd/−Se control. The excess of Cd in the nutrient solution produced more alterations in the concentration of the mineral nutrients (except for Mg and B) in the root tissue than in the leaves. With respect to the control plants, the following significant changes were observed: Ca content decreased with the +Cd/+SeR treatment and increased with +Cd/+SeF one; the content of K decreased with the +Cd/+SeR treatment; Na decreased in +Cd/−Se and +Cd/+SeF treatments; P increased in +Cd/+SeR treatment, and S increased in +Cd/−Se and +Cd/+SeF treatments. As for the micronutrients, it was observed that Fe, Mn, and Zn significantly increased in concentration while Cu decreased in the +Cd/+SeR treatment. Moreover, Fe and Zn content significantly increased in the roots of the plant of +Cd/−Se treatment.

3.6. Oxidative Damage and Antioxidant Activity

For the study of oxidative stress, the ACO2/ϕPSII ratio was calculated, as it is often utilized to estimate if an excess of ROS is produced in situations of stress derived from the overstimulation of the Mehler reaction. In plants grown with excess Cd, the ACO2/ϕPSII was reduced (Figure 4A) up to 75% in the +Cd/−Se and +Cd/+SeF treatments, while in +Cd/+SeR, this parameter was not inhibited, as shown by values that were similar to those noted in the control plants (−Cd/−Se).
The increase in antioxidant activity was as follows (Figure 4B): −Cd/−Se ≤ +Cd/+SeR ≤ +Cd/−Se < +Cd/+SeF. MDA was utilized to specifically estimate the level of lipid peroxidation, and indirectly, the damage of cell membranes (Figure 4D). Its values showed that the plants grown under +Cd/−Se had the highest MDA concentration (increase of 67% relative to −Cd/−Se), while significant differences were not found between the rest of the treatments. The H2O2 concentration increased significantly in the plants from the +Cd/+SeF treatment relative to the rest of the treatments that had similar values among them (Figure 4C). As for the antioxidant enzymes quantified (SOD, POD, APX, and CAT; Figure 5A–D), at the end of the experiment, a generalized response was observed for the enzymes POD and APX. In all the Cd treatments, activities of these enzymes increased, with respect to the control treatment, without significant differences being observed between them. For CAT, it was observed that the +Cd/+SeF treatment decreased its activity with respect to the control. SOD activity decreased in +Cd/−Se plants relative to +CD/+SeF, but no significant difference was observed between the control plants and the Cd treated plants (+Cd/−Se, +Cd/+SeF, +Cd/+SeR).

3.7. Visual Symptoms of Cd

The visual symptoms of Cd toxicity were evaluated every day during the experimental period. The results observed for each of the treatments with Cd are described below (Figure 6): (I) +Cd/−Se, the leaves began to show chlorosis about two days after the Cd stress begun, and this chlorosis worsened as the experiment continued. At the end of the assay, this chlorosis was very severe in old leaves as well as developed leaves and was slight in the new shoots, while burns were also observed; (II) +Cd/+SeF, the leaves from this treatment began to show chlorosis at the end of the first week of the experiment. At the end of the experiment, the symptoms were more severe in the shoots, as opposed to the rest of the treatments with Cd; and (III) +Cd/+SeR, the plants from this treatment showed some chlorosis in the middle of the second week of the experiment. At the end of the experimental period, the symptoms were more noticeable in basal or developed leaves.

4. Discussion

4.1. Response of the Cristal Variety Pepper Plants to the Excess of Cd in the Nutrient Solution

Cadmium is one of the most toxic heavy metals known to humans, as well as animals or plants. Its toxicity produces a great variety of genetic, physiological, biochemical, and metabolic alterations. In the present study, it was observed that an excess of Cd in the nutrient solution (8.5 µM) produced a decrease in the total biomass of pepper plants by reducing aerial part rather than root growth. This decrease could be due in part to the fact that Cd in the leaves, with so low a concentration of 28 ppm (Figure 2), caused a decrease in ACO2 and stomatal conductance, as well as oxidative damage quantified by high MDA values (Figure 4). These data, therefore, showed that pepper leaves, but not roots, are very sensitive to Cd toxicity and that pepper plants limit the accumulation of Cd in the aerial part, accumulating it in the roots where it is not toxic. This distribution of Cd in the different plant tissue seems to be generalized to the rest of pepper cultivars, not only the Cristal variety. These plants accumulate a higher concentration of this metal in the root than in the shoot. Its toxic effect, however, seems to be variety-dependent. So, some plants do not show alterations in the growth of their roots, such as the varieties Jinfuzaohuangjiao, Zhoupijiao, or Yeshengchaotianjiao, (assayed in hydroponics with a concentration of 2 and 10 µM Cd [28]), while in others, such as the variety Zhongjiao 105 (cultivated in the soil in a greenhouse with 0.5 mM Cd [29]) or Demre (cultivated in hydroponics with 0.1, 0.2 and 0.4 mM Cd [30]), the growth of the root was also reduced.
In our experiment, oxidative damage caused by Cd toxicity in pepper leaves could be due to an imbalance in the response to scavenging ROS since a reduction of the activities of SOD and CAT was observed together with the increase in the activity of POD and APX. A similar response was observed in pepper plants of the variety Zhongjiao 105 [29]. The increase in these two activities could be due to a reduction of the other two as a mechanism to deactivate the oxidative power of H2O2, therefore impeding oxidative damage. Nevertheless, other studies with pepper varieties that are tolerant or sensitive to Cd toxicity have shown that the antioxidant response is not directly related with the degree in tolerance of the pepper varieties [31].

4.2. The Application of Se Reduces the Negative Effects of Cd in Pepper Plants of the Variety Cristal

The application of Se either through the leaves or the root had beneficial effects on plants grown with an excess of Cd in the nutrient solution. One of the positive effects was the reduction in the Cd concentration in the plants, although depending on how Se was applied, there were changes in the distribution of Cd in the plants. The application of Se through the leaves reduced the content of Cd in the leaves and the roots, while the application through the roots only reduced it in the leaves. Some authors have indicated that the application of Se through the leaves could have induced the synthesis of specific organic compounds that form complexes/chelate the Cd in the form of metallothionein [32], thus facilitating the movement of this metal in the phloem and its posterior extrusion from the plant. However, this hypothesis needs to be tested in horticultural crops. In the case of the application of Se through the root, the antagonism Se/Cd could have occurred by the effect of Se on the transport of Cd from the root to the shoot, as it is known that Se has a great capacity to combine with heavy metals, such as Cd, Hg, Ag, and Tl [33]. Cadmium is taken up, among others, by the transporters YSL, LCT1, ZIP-IRT1, or NRAMP. Furthermore, selenate is absorbed by sulfate transporters (SULTR1; 1 SULTR1 2) or aquaporins. As they have different uptake pathways, there is no competition between Cd and Se uptake in roots, and therefore Se does not block the Cd root uptake. However, in our experiment, the Cd transport from root to shoot was possibly limited due to the fact that Se increases the concentration of glutathione, proline, and phytochelatins in the plant, the latter being a substance that complexes Cd and sequesters it into vacuoles [34]. This could explain that the accumulation of Cd in the root in the +Cd/+SeR treatment was similar to the +Cd/−Se treatment while the leaf Cd concentration was lower in +Cd/+SeR than in +Cd/−Se treatment.
Another positive effect of the application of Se observed in this experiment was the accumulation of Se into the different plant tissues. In our experiment, it was observed that the distribution of Se in the plants was application-dependent. The foliar application increased the concentration of Se only in the leaves, while the application via root increased its concentration in the leaves, stems and roots. Moreover, the concentration of Se in the leaves was significantly lower in the plants treated with Se via foliar application than via roots, thereby indicating that the application through the roots was the most efficient for the accumulation of this metal in the plants. In the root cells of the plants, the sulfate and phosphate transporters are able to take the selenate and selenite ions [35] and enhance their absorption, while in the leaves, the absorption of Se seemed to be dependent on the plant species, as observed by Drahonovsky et al. (2016) in different wild plant species [36]. Therefore, in the pepper plants of the variety Cristal, the application of Se through the roots seemed to be more efficient in the accumulation of this element as compared to the foliar application.
Cadmium is known to interfere in the plant’s absorption of nutrients, such as Zn, Fe, Ca, Mn, Mg, Cu, Si, and K [37,38]. In our experiment, the presence of Cd in the nutrient solution increased the concentration of P in the leaves and the concentrations of Zn and Fe in the roots. However, these increases were not sufficiently important to result in some type of toxicity to the plants that could have influenced their vegetative growth. The application of Se through the leaves or roots also affected the concentration of other nutrients, e.g., the leaf Ca concentration was increased in plants that had Se applied through the roots, or the increase of S in the root when Se was applied via foliar, but these differences were not a limiting factor in the vegetative development of the plants. In our experiment, the alteration found by Cd or Se application could have been due to specific synergies with the nutrients rather than a dilution or compaction growth effect, as this effect was not generalized in all nutrients, so this requires future research. Other authors have reported that 0.1 and 1 μM Cd treatments increased Fe, Zn, and Cu concentrations of cotton plants, and indicated a potential synergistic effect of Cd on Fe and Zn uptake [39]. Wu et al. (2005) carried out a study on the effects of cadmium on microelement uptake and transport in cotton plants and reported that 0, 0.1, and 1 μM Cd treatments did not change leaf Fe, Zn, and Cu concentrations significantly, but 10 μM Cd treatment significantly increased leaf microelement concentrations [40].
The high concentration of Se in the plants, and with special emphasis on the leaves of plants where Se was applied through the root with respect to the foliar application marked the differences found between these treatments regarding gas exchange processes. Despite the fact that plants from both +Cd/+SeR and +Cd/+SeF had the same concentration of Cd in the leaves, ACO2 and gs were significantly higher in the plants from the +Cd/+SeR treatment, and in fact, no significant difference was found between the control treatment and this treatment. However, ACO2 and gs from the +Cd/+SeF treatment plants were very low, as compared to that reached for the Cd treatment without the application of Se. This indicates that the application of Se through the roots provided a quantity of Se to the leaves that was sufficient to mitigate Cd toxicity. Many studies have shown that the negative effect due to the toxicity of heavy metals can be mitigated by Se when the oxidative stress caused by these metals is reduced [7], and this could be due to selenium either inactivating the toxicity of Cd or reducing oxidative stress. The reduction of oxidative stress could either be due to the direct action of this metalloid on the antioxidant system of plants or to the direct inhibition of the free oxygen radicals. In our experiment, the plants from every Cd treatment, independently of whether Se was applied or not, showed the same response for the enzymes SOD, CAT, and APX, and this indicates that the deactivation of the reactive oxygen species was due to the direct action of Se. In the MDA and H2O2 data in the leaves, it could be observed that the only treatment where their levels were kept similar to those in the control plants was +Cd/+SeR, which provides further evidence of the potent action of Se for deactivating reactive oxygen species in the leaves grown with Cd.
It is known that for mitigating the negative effects of Cd in plants, they can be treated with Se. Many methods exist for the application of Se via the leaves or the soil, or by seed pre-soaking. However, no experiments have been found where these are assayed under the same conditions (plants, cultivation method, and concentration of Cd) to find the best manner of application. In our experiment, it was observed that the best manner was via the root. The plants treated in this manner had a low concentration of Cd and a high concentration of Se in leaves, stems, and roots. Thus, the toxicity of this metal was avoided, impeding its negative effects on the gas exchange parameters, and averting a reduction in the vegetative development, as observed in the present study, which shows that the total dry biomass yield of the control plants was similar to those of plants treated with +Cd/+SeR.

5. Conclusions

The data of this experiment reported that pepper plants of the ‘Cristal’ variety respond to Cd excess in the nutrient solution, accumulating it in the root and limiting its concentration in leaves. Its toxicity, however, follows a contrary pattern, with the Cd being more toxic in leaves than in roots. The present experiment reveals the importance of applying Se in pepper plants suffering Cd toxicity, so foliar or root application of Se had beneficial effects on the plants grown. Root Se application provided better results than via foliar since, in the first experiment, Se was accumulated in high concentrations in the root, stem, and leaves. The presence of this high Se concentration could have deactivated Cd toxicity, although the mechanisms responsible for this are still unknown. New experiments should be conducted to test the hypothesis that Se inactivates Cd toxicity when forming Cd−Se complexes, or that Se is able to act alone as an element that inhibits reactive oxygen species.

Author Contributions

Conceptualization, E.A.Z.-G. and F.G.-S.; methodology, R.P.-M., M.A.-S., I.S., M.A.S. and V.L.; software, J.J.M.-N.; formal analysis, M.A.-S., I.S. and J.M.C.-Z.; investigation, R.P.-M. and F.G.-S.; resources, E.A.Z.-G.; writing—original draft preparation, R.P.-M., S.S.-G. and F.G.-S.; writing—review and editing, E.A.Z.-G., S.S.-G. and F.G.-S.; visualization, S.S.-G.; supervision, E.A.Z.-G. and F.G.-S.; funding acquisition, E.A.Z.-G. All authors have read and agreed to the published version of the manuscript.

Funding

This research received no external funding.

Institutional Review Board Statement

Not applicable.

Informed Consent Statement

Not applicable.

Data Availability Statement

Not applicable.

Acknowledgments

The authors want to acknowledge the support given by Atlantica Agricola S.A., which contribute with technical support and donations of materials.

Conflicts of Interest

The authors declare no conflict of interest and Atlantica Agricola S.A had not role in the writing of the manuscript, or in the decision to publish the results.

References

  1. Rai, P.K.; Lee, S.S.; Zhang, M.; Tsang, Y.F.; Kim, K.H. Heavy metals in food crops: Health risks, fate, mechanisms, and management. Environ. Int. 2019, 125, 365–385. [Google Scholar] [CrossRef]
  2. United States Envionmental Protection Agency (EPA). Available online: https://www.epa.gov/sites/default/files/2016-09/documents/cadmium-compounds.pdf (accessed on 26 July 2021).
  3. Franic, M.; Galic, V. As, Cd, Cr, Cu, Hg: Physiological Implications and Toxicity in Plants. In Plant Metallomics and Functional Omics; Springer: Cham, The Netherlands, 2019; pp. 209–251. [Google Scholar]
  4. Kumar, S.; Sharma, A. Cadmium toxicity: Effects on human reproduction and fertility. Rev. Environ. Health 2019, 34, 327–338. [Google Scholar] [CrossRef]
  5. Shiyu, N.; Hongen, U.; Zhaojun, E.; Rengel, Z.; Wei, O.; Chang, I.; Peng, Z.H.A. Toxicity of cadmium and its competition with mineral nutrients for uptake by plants: A review. Pedosphere 2020, 30, 168–180. [Google Scholar] [CrossRef]
  6. Solís-Domínguez, F.A.; González-Chávez, M.C.; Carrillo-González, R.; Rodríguez-Vázquez, R. Accumulation and localization of cadmium in Echinochloa polystachya grown within a hydroponic system. J. Hazard Mater. 2007, 141, 630–636. [Google Scholar] [CrossRef] [PubMed]
  7. Ismael, M.A.; Elyamine, A.M.; Moussa, M.G.; Cai, M.; Zhao, X.; Hu, C. Cadmium in plants: Uptake, toxicity, and its interactions with selenium fertilizers. Metallomics 2019, 11, 255–277. [Google Scholar] [CrossRef] [PubMed]
  8. Huang, X.; Duan, S.; Wu, Q.; Yu, M.; Shabala, S. Reducing Cadmium Accumulation in Plants: Structure–Function Relations and Tissue-Specific Operation of Transporters in the Spotlight. Plants 2020, 9, 223. [Google Scholar] [CrossRef] [PubMed] [Green Version]
  9. Astolfi, S.; Zuchi, S.; Passera, C. Effect of cadmium on H+/ATPase activity of plasma membrane vesicles isolated from roots of different S-supplied maize (Zea mays L.) plants. Plant Sci. 2005, 169, 361–368. [Google Scholar] [CrossRef]
  10. Parmar, P.; Kumari, N.; Sharma, V. Structural and functional alterations in photosynthetic apparatus of plants under cadmium stress. Bot. Stud. 2013, 54, 45. [Google Scholar] [CrossRef] [PubMed] [Green Version]
  11. Sánchez-Pardo, B.; Carpena, R.O.; Zornoza, P. Cadmium in white lupin nodules: Impact on nitrogen and carbon metabolism. J. Plant Physiol. 2013, 170, 265–271. [Google Scholar] [CrossRef] [Green Version]
  12. Irfan, M.; Hayat, S.; Ahmad, A.; Alyemeni, M.N. Soil cadmium enrichment: Allocation and plant physiological manifestations. Saudi J. Biol. Sci. 2013, 20, 1–10. [Google Scholar] [CrossRef]
  13. Murillo-Amador, B.; Rueda-Puente, E.O.; Troyo-Diéguez, E.; Córdoba-Matson, M.V.; Hernández-Montiel, L.G.; Nieto-Garibay, A. Baseline study of morphometric traits of wild Capsicum annuum growing near two biosphere reserves in the Peninsula of Baja California for future conservation management. BMC Plant Biol. 2015, 15, 118. [Google Scholar] [CrossRef] [PubMed] [Green Version]
  14. Rizwan, M.; Ali, S.; Rehman, M.; Rinklebe, J.; Tsang, D.; Tack, F.; Abbasi, G.; Hussain, A.; Igalavithana, A.; Lee, B.; et al. Effects of selenium on the uptake of toxic trace elements by crop plants: A review. Crit. Rev. Environ. Sci. Technol. 2020, 1–36. [Google Scholar] [CrossRef]
  15. Chauhan, R.; Awasthi, S.; Srivastava, S.; Dwivedi, S.; Pilon-Smits, E.A.; Dhankher, O.P.; Tripathi, R.D. Understanding selenium metabolism in plants and its role as a beneficial element. Crit. Rev. Environ. Sci. Technol. 2019, 49, 1937–1958. [Google Scholar] [CrossRef]
  16. Abd_Allahef, A.; Abeer, H.; Alqarawi, A. Mitigation of cadmium induced stress in tomato (Solanum lycopersicum L.) by selenium. Pak. J. Bot. 2016, 48, 953–961. [Google Scholar]
  17. Yin, H.; Qi, Z.; Li, M.; Ahammed, G.; Chu, X.; Zhou, J. Selenium forms and methods of application differentially modulate plant growth, photosynthesis, stress tolerance, selenium content and speciation in Oryza sativa L. Ecotoxicol. Environ. Saf. 2019, 169, 911–917. [Google Scholar] [CrossRef]
  18. Alfosea-Simón, M.; Simón-Grao, S.; Zavala-Gonzalez, E.A.; Cámara-Zapata, J.M.; Simón, I.; Martínez-Nicolás, J.J.; Lidón, V.; García-Sánchez, F. Physiological, nutritional and metabolomic responses of tomato plants after the foliar application of amino acids Aspartic acid, Glutamic Acid and Alanine. Front. Plant Sci. 2020, 11, 581234. [Google Scholar] [CrossRef]
  19. Bates, L.; Waldren, R.; Teare, I. Rapid determination of free proline for water stress studies. Plant Soil 1973, 39, 205–207. [Google Scholar] [CrossRef]
  20. Yang, H.P.; Yan, R.; Chen, H.; Lee, D.H.; Zheng, C. Characteristics of hemicellulose, cellulose and lignin pyrolysis. Fuel 2007, 86, 1781–1788. [Google Scholar] [CrossRef]
  21. Hodges, D.M.; DeLong, J.M.; Forney, C.F.; Prange, R.K. Improving the thiobarbituric acid-reactivesubstances assay for estimating lipid peroxidation in plant tissues containing anthocyanin and other interfering compounds. Planta 1999, 207, 604–611. [Google Scholar] [CrossRef]
  22. Koleva, I.I.; Vanbeek, T.A.; Linssen, J.P.H.; Degroot, A.; Evstatieva, L.N. Screening of plant extracts for antioxidant activity. A comparative study on 3 testing methods. Int. J. Plant Chem. Biochem. Tech. 2002, 13, 8–17. [Google Scholar] [CrossRef]
  23. Chance, B.; Maehly, S.K. Assay of catalase and peroxidase. Methods Enzymol. 1955, 2, 764–775. [Google Scholar] [CrossRef]
  24. Chandlee, J.M.; Scandalios, J.G. Analysis of variants affecting the catalase developmental program in maize scutellum. Theor. Appl. Genet. 1984, 69, 71–77. [Google Scholar] [CrossRef]
  25. Nakano, Y.; Asada, K. Purification of ascorbate peroxidase in spinach chloroplasts; its inactivation in Ascorbate depleted medium and reactivation by monodehydroascorbate radical. Plant Cell Physiol. 1987, 28, 131–140. [Google Scholar] [CrossRef]
  26. McCord, J.M.; Fridovich, I. Superoxide dismutase. An enzymic function for erythrocuprein (hemocuprein). J. Biol. Chem. 1969, 244, 6049–6055. [Google Scholar] [CrossRef]
  27. Haynes, W. Tukey’s Test. In Encyclopedia of Systems Biology; Dubitzky, W., Wolkenhauer, O., Cho, K.H., Yokota, H., Eds.; Springer: Berlin/Heidelberg, Germany, 2013; pp. 2303–2304. [Google Scholar] [CrossRef]
  28. Huang, B.; Xin, J.; Dai, H.; Liu, A.; Zhou, W.; Yi, Y.; Liao, K. Root morphological responses of three hot pepper cultivars to Cd exposure and their correlations with Cd accumulation. Environ. Sci. Pollut. Res. 2015, 22, 1151–1159. [Google Scholar] [CrossRef] [PubMed]
  29. Latef, A. Growth and some physiological activities of pepper (Capsicum annuum L.) in response to cadmium stress and mycorrhizal symbiosis. J. Agric. Sci. Technol. 2013, 15, 1437–1448. [Google Scholar]
  30. Uzal, O.; Yasar, F. Efects of GA3 hormone treatments on ion uptake and growth of pepper plants under cadmium stress. Appl. Ecol. Environ. Res. 2017, 15, 1347–1357. [Google Scholar] [CrossRef]
  31. León, A.M.; Palma, J.M.; Corpas, F.J.; Gómez, M.; Romero-Puertas, M.C.; Chatterjee, D.; Mateos, R.M.; Del Río, L.A.; Sandalio, L.M. Antioxidative enzymes in cultivars of pepper plants with different sensitivity to cadmium. Plant Physiol. Biochem. 2002, 40, 813–820. [Google Scholar] [CrossRef]
  32. Sigel, A.; Sigel, H.; Sigel, R. Metallothioneins and related chelators. In Metal Ions in Life Sciences; Royal Society of Chemistry Publishing: Cambridge, UK, 2009; Volume 5. [Google Scholar] [CrossRef]
  33. Shanker, K.; Mishra, S.; Srivastava, S.; Srivastava, R.; Dass, S.; Prakash, S.; Srivastava, M.M. Effect of Selenite and Selenate on Plant Uptake of Cadmium by Maice (Zea mays). Bull. Environ. Contam. Toxicol. 1996, 56, 419–424. [Google Scholar] [CrossRef]
  34. Huang, B.; Xin, J.; Dai, H.; Zhou, W. Effects of interaction between cadmium (Cd) and selenium (Se) on grain yield and Cd and Se accumulation in a hybrid rice (Oryza sativa) system. J. Agric. Food Chem. 2017, 65, 9537–9546. [Google Scholar] [CrossRef]
  35. Guignardi, Z.; Schiavon, M. Biochemistry of plant selenium uptake and metabolism. In Selenium in Plants; Plant Ecophysiology; Pilon-Smits, E., Winkel, L., Lin, Z.Q., Eds.; Springer: Cham, The Netherlands, 2017; Volume 12, pp. 21–34. [Google Scholar] [CrossRef]
  36. Drahonovsky, J.; Szakova, J.; Mestek, O.; Tremlova, J.; Kana, A.; Najmanova, J.; Tlustos, P. Selenium uptake, transformation and inter-element interactions by selected wildlife plant species after foliar selenate application. Environ. Exp. Bot. 2016, 125, 12–19. [Google Scholar] [CrossRef]
  37. Bertoli, A.C.; Cannata, M.G.; Carvalho, R.; Bastos, A.R.R.; Freitas, M.P.; Dos Santos, A.A. Lycopersicon esculentum submitted to Cd-stressful conditions in nutrition solution: Nutrient contents and translocation. Ecotoxicol. Environ. Saf. 2012, 86, 176–181. [Google Scholar] [CrossRef] [PubMed]
  38. Khan, A.; Khan, S.; Khan, M.A.; Qamar, Z.; Waqas, M. The uptake and bioaccumulation of heavy metals by food plants, their effects on plants nutrients, and associated health risk: A review. Environ. Sci. Pollut. Res. 2015, 22, 13772–13799. [Google Scholar] [CrossRef] [PubMed]
  39. Bachir, L.D.M.; Wu, F.; Zhang, G.; Wu, H. Genotypic difference in effect of cadmium on development and mineral concentrations of cotton. Commun. Soil Sci. Plant Anal. 2004, 35, 285–299. [Google Scholar] [CrossRef]
  40. Wu, H.; Wu, F.B.; Zhang, G.; Bachir, D.M. Effect of cadmium on uptake and translo-cation of three microelements in cotton. J. Plant Nutr. 2005, 27, 2019–2032. [Google Scholar] [CrossRef]
Figure 1. Total biomass (g DW; (A)), leaf (g DW; (B)), stem (g DW; (C)) and root (g DW; (D)) of pepper plants under four treatments of cadmium and selenium (−Cd/−Se, +Cd/−Se; +Cd/+SeF and +Cd/+SeR). In the ANOVA, * and *** indicate significant differences for p < 0.05 and 0.0001. The different lowercase letters indicate significant differences between the treatments for p < 0.05 established by Tukey’s multiple range test. The vertical bar indicates the standard error of the mean.
Figure 1. Total biomass (g DW; (A)), leaf (g DW; (B)), stem (g DW; (C)) and root (g DW; (D)) of pepper plants under four treatments of cadmium and selenium (−Cd/−Se, +Cd/−Se; +Cd/+SeF and +Cd/+SeR). In the ANOVA, * and *** indicate significant differences for p < 0.05 and 0.0001. The different lowercase letters indicate significant differences between the treatments for p < 0.05 established by Tukey’s multiple range test. The vertical bar indicates the standard error of the mean.
Agronomy 11 01905 g001
Figure 2. Concentration of cadmium (Cd; (AC)) and selenium (Se; (DF)) in the different tissues of the plant (leaf, stem, and root) of pepper plants under four treatments of cadmium and selenium (−Cd/−Se, +Cd/−Se; +Cd/+SeF and +Cd/+SeR). In the ANOVA, *** indicates significant differences for p < 0.05. The different lowercase letters indicate significant differences between the treatments for p < 0.001 established by Tukey’s multiple range test. The vertical bar indicates the standard error of the mean.
Figure 2. Concentration of cadmium (Cd; (AC)) and selenium (Se; (DF)) in the different tissues of the plant (leaf, stem, and root) of pepper plants under four treatments of cadmium and selenium (−Cd/−Se, +Cd/−Se; +Cd/+SeF and +Cd/+SeR). In the ANOVA, *** indicates significant differences for p < 0.05. The different lowercase letters indicate significant differences between the treatments for p < 0.001 established by Tukey’s multiple range test. The vertical bar indicates the standard error of the mean.
Agronomy 11 01905 g002
Figure 3. Net assimilation rate of CO2 (ACO2, µmol m−2 s−1; (A)), stomatal conductance (gs, mmol m−2 s−1; (B)), Ci (substomatic CO2; (C)), water use efficiency (WUE, µmol CO2 mmol−1 H2O; (D)) and PSII (photochemical quenching of PSII; (E)) of pepper plants under four treatments of cadmium and selenium (−Cd/−Se, +Cd/−Se; +Cd/+SeF and +Cd/+SeR). In the ANOVA: “ns” indicates non-significant differences for a confidence interval of 95%; Also, * and *** indicate significant differences for p < 0.05 and 0.001, respectively. The different lowercase letters indicate significant differences between the treatments for p < 0.001 established by Tukey’s multiple range test. The standard error of the mean is also indicated.
Figure 3. Net assimilation rate of CO2 (ACO2, µmol m−2 s−1; (A)), stomatal conductance (gs, mmol m−2 s−1; (B)), Ci (substomatic CO2; (C)), water use efficiency (WUE, µmol CO2 mmol−1 H2O; (D)) and PSII (photochemical quenching of PSII; (E)) of pepper plants under four treatments of cadmium and selenium (−Cd/−Se, +Cd/−Se; +Cd/+SeF and +Cd/+SeR). In the ANOVA: “ns” indicates non-significant differences for a confidence interval of 95%; Also, * and *** indicate significant differences for p < 0.05 and 0.001, respectively. The different lowercase letters indicate significant differences between the treatments for p < 0.001 established by Tukey’s multiple range test. The standard error of the mean is also indicated.
Agronomy 11 01905 g003
Figure 4. ACO2/ΦPSII ratio (A), antioxidant activity (%; (B)), oxidative damage (concentration of H2O2 and MDA; (C) and (D), respectively) measured in leaves from pepper plants under four treatments of cadmium and selenium (−Cd/−Se, +Cd/−Se; +Cd/+SeF and +Cd/+SeR). In the ANOVA: *** indicates significant differences for p < 0.001. The different lowercase letters indicate significant differences between the treatments for p < 0.05 established by Tukey’s multiple range test. The vertical bar indicates the standard error of the mean.
Figure 4. ACO2/ΦPSII ratio (A), antioxidant activity (%; (B)), oxidative damage (concentration of H2O2 and MDA; (C) and (D), respectively) measured in leaves from pepper plants under four treatments of cadmium and selenium (−Cd/−Se, +Cd/−Se; +Cd/+SeF and +Cd/+SeR). In the ANOVA: *** indicates significant differences for p < 0.001. The different lowercase letters indicate significant differences between the treatments for p < 0.05 established by Tukey’s multiple range test. The vertical bar indicates the standard error of the mean.
Agronomy 11 01905 g004
Figure 5. Antioxidant enzymes: superoxide dismutase (SOD, (A)), catalase (CAT, (B)), peroxidase (POD, (C)) and ascorbate peroxidase (APX, (D)) quantified in leaves from pepper plants under four treatments of cadmium and selenium (−Cd/−Se, +Cd/−Se; +Cd/+SeF and +Cd/+SeR). In the ANOVA: * and *** indicates significant differences for p < 0.05 and 0.001, respectively. The different lowercase letters indicate significant differences between the treatments for p < 0.05 established by Tukey’s multiple range test. The vertical bar indicates the standard error of the mean.
Figure 5. Antioxidant enzymes: superoxide dismutase (SOD, (A)), catalase (CAT, (B)), peroxidase (POD, (C)) and ascorbate peroxidase (APX, (D)) quantified in leaves from pepper plants under four treatments of cadmium and selenium (−Cd/−Se, +Cd/−Se; +Cd/+SeF and +Cd/+SeR). In the ANOVA: * and *** indicates significant differences for p < 0.05 and 0.001, respectively. The different lowercase letters indicate significant differences between the treatments for p < 0.05 established by Tukey’s multiple range test. The vertical bar indicates the standard error of the mean.
Agronomy 11 01905 g005
Figure 6. Image of the visual symptoms observed in the pepper leaves from the different treatments applied at the end of the experiment.
Figure 6. Image of the visual symptoms observed in the pepper leaves from the different treatments applied at the end of the experiment.
Agronomy 11 01905 g006
Table 1. Chlorophyll content in apical shoots (Apical) and fully expanded leaves (Medium), and proline in leaves and roots in pepper plants under four treatments of cadmium and selenium (−Cd/−Se, +Cd/−Se; +Cd/+SeF and +Cd/+SeR).
Table 1. Chlorophyll content in apical shoots (Apical) and fully expanded leaves (Medium), and proline in leaves and roots in pepper plants under four treatments of cadmium and selenium (−Cd/−Se, +Cd/−Se; +Cd/+SeF and +Cd/+SeR).
Treatm.ProductApical Chl (SPAD)Medium Chl (SPAD)Leaf Proline
(mg g−1 dw)
Root Proline
(mg g−1 dw)
−Cd−Se28.8 ± 2.9 a64.4 ± 3.9 a1.54 ± 0.14 b0.75 ± 0.05 b
+Cd−Se18.9 ± 2.2 b29.2 ± 4.0 b2.27 ± 0.09 a0.80 ± 0.04 b
+SeF23.5 ± 4.3 ab41.9 ± 8.7 b1.58 ± 0.09 b1.27 ± 0.03 a
+SeR26.9 ± 2.1 ab30.5 ± 5.0 b1.70 ± 0.12 b0.72 ± 0.04 b
ANOVA*********
In the ANOVA: *, ** and *** indicate significant differences for p < 0.05, 0.01, and 0.001, respectively. The different lowercase letters indicate significant differences between the treatments for p < 0.05 established by Tukey’s multiple range test.
Table 2. Concentration of macro and micronutrients in leaves and roots in pepper plants under four treatments of cadmium and selenium (−Cd/−Se, +Cd/−Se; +Cd/+SeF and +Cd/+SeR).
Table 2. Concentration of macro and micronutrients in leaves and roots in pepper plants under four treatments of cadmium and selenium (−Cd/−Se, +Cd/−Se; +Cd/+SeF and +Cd/+SeR).
Macronutrients Leaf (g 100 g−1 dw)
Cd Treat.Se TreatCaKMgNaPS
−Cd−Se2.17 ±0.245.14 ±0.570.42 ± 0.050.03 ± 0.00010.50 ± 0.08 b 0.38 ± 0.05
−Se2.67 ± 0.496.94 ± 0.570.58 ± 0.100.04 ± 0.00020.98 ± 0.09 a0.67 ± 0.12
+Cd+SeFoliar2.85 ± 0.185.94 ± 0.170.51 ± 0.040.03 ± 0.00030.59 ± 0.06 b0.65 ± 0.13
+SeRoot2.85 ± 0.105.80 ± 0.190.53 ± 0.010.03 ± 0.00040.53 ± 0.08 b0.81 ± 0.09
ANOVAnsnsnsns***ns
Macronutrients Root (g 100 g−1 dw)
Cd Treat.Se TreatCaKMgNaPS
−Cd−Se3.70 ± 0.09 b4.49 ± 0.17 a0.47 ± 0.020.07 ± 0.002 a1.82 ± 0.13 bc0.37 ± 0.01 c
−Se4.00 ± 0.31 ab4.32 ± 0.21 a0.48 ± 0.020.05 ± 0.001 b2.20 ± 0.25 b0.60 ± 0.03 a
+Cd+SeFoliar1.32 ± 0.27 c3.83 ± 0.16 ab0.50 ± 0.070.04 ± 0.002 b1.13 ± 0.11 c0.50 ± 0.02 ab
+SeRoot5.45 ± 0.72 a3.52 ± 0.16 b0.46 ± 0.020.06 ± 0.002 ab 3.19 ± 0.33 a0.46 ± 0.03 bc
ANOVA*****ns*********
Micronutrients Leaf (mg kg−1 dw)
Cd Treat.Se TreatBFeMnZnCu
−Cd−Se25.7 ± 2.6139.9 ± 8.1 ab50.6 ± 5.721.9 ± 2.92.62 ± 0.28 a
−Se33.5 ± 3.2119.3 ± 13.6 ab66.8 ± 10.515.1 ± 1.72.45 ± 0.25 ab
+Cd+SeFoliar29.6 ± 3.3144.3 ± 5.2 a60.4 ± 3.417.9 ± 2.71.65 ± 0.22 b
+SeRoot27.9 ± 2.0107.8 ± 14.6 b53.5 ± 2.121.2 ± 2.21.97 ± 0.13 ab
ANOVAns*nsns*
Micronutrients Roots (mg kg−1 dw)
Cd Treat.Se TreatBFeMnZnCu
−Cd−Se15.1 ± 1.3723.9 ± 52.6 b134.8 ± 4.5 b120.8 ± 15.7 b20.6 ± 1.4 a
−Se17.3 ± 0.6856.1 ± 78.5 a128.1 ± 12.2 b193.8 ± 7.8 a19.8 ± 0.6 a
+Cd+SeFoliar13.7 ± 0.7667.1 ± 87.1 b118.3 ± 20.6 b120.6 ± 10.1 b16.9 ± 0.7 ab
+SeRoot15.7 ± 1.3891.7 ± 61.2 a218.9 ± 15.8 a200.2 ± 17.9 a15.7 ± 0.7 b
ANOVAns**********
In the ANOVA: “ns” indicates non-significant differences for a confidence interval of 95%; Also, *, ** and *** indicate significant differences for p < 0.05, 0.01, and 0.001, respectively. The different lowercase letters indicate significant differences between the treatments for p < 0.05 established by Tukey’s multiple range test.
Publisher’s Note: MDPI stays neutral with regard to jurisdictional claims in published maps and institutional affiliations.

Share and Cite

MDPI and ACS Style

Perez-Millan, R.; Alfosea-Simon, M.; Zavala-Gonzalez, E.A.; Camara-Zapata, J.M.; Martinez-Nicolas, J.J.; Lidon, V.; Simon, I.; Shahid, M.A.; Garcia-Sanchez, F.; Simon-Grao, S. The Addition of Selenium to the Nutrient Solution Decreases Cadmium Toxicity in Pepper Plants Grown under Hydroponic Conditions. Agronomy 2021, 11, 1905. https://doi.org/10.3390/agronomy11101905

AMA Style

Perez-Millan R, Alfosea-Simon M, Zavala-Gonzalez EA, Camara-Zapata JM, Martinez-Nicolas JJ, Lidon V, Simon I, Shahid MA, Garcia-Sanchez F, Simon-Grao S. The Addition of Selenium to the Nutrient Solution Decreases Cadmium Toxicity in Pepper Plants Grown under Hydroponic Conditions. Agronomy. 2021; 11(10):1905. https://doi.org/10.3390/agronomy11101905

Chicago/Turabian Style

Perez-Millan, Rafael, Marina Alfosea-Simon, Ernesto Alejandro Zavala-Gonzalez, Jose Maria Camara-Zapata, Juan Jose Martinez-Nicolas, Vicente Lidon, Inma Simon, Muhammad Adnan Shahid, Francisco Garcia-Sanchez, and Silvia Simon-Grao. 2021. "The Addition of Selenium to the Nutrient Solution Decreases Cadmium Toxicity in Pepper Plants Grown under Hydroponic Conditions" Agronomy 11, no. 10: 1905. https://doi.org/10.3390/agronomy11101905

APA Style

Perez-Millan, R., Alfosea-Simon, M., Zavala-Gonzalez, E. A., Camara-Zapata, J. M., Martinez-Nicolas, J. J., Lidon, V., Simon, I., Shahid, M. A., Garcia-Sanchez, F., & Simon-Grao, S. (2021). The Addition of Selenium to the Nutrient Solution Decreases Cadmium Toxicity in Pepper Plants Grown under Hydroponic Conditions. Agronomy, 11(10), 1905. https://doi.org/10.3390/agronomy11101905

Note that from the first issue of 2016, this journal uses article numbers instead of page numbers. See further details here.

Article Metrics

Back to TopTop