Evapotranspiration and Precipitation over Pasture and Soybean Areas in the Xingu River Basin, an Expanding Amazonian Agricultural Frontier
Abstract
1. Introduction
2. Materials and Methods
2.1. Study Area
2.2. Land Use and Land Cover (LULC) Mapping
2.3. Precipitation Data
2.4. MODIS-Based Evapotranspiration Estimates
3. Results and Discussion
3.1. Land Use and Land Cover
3.2. Spatio-Temporal Dynamics of Precipitation and Evapotranspiration in the Xingu River Basin
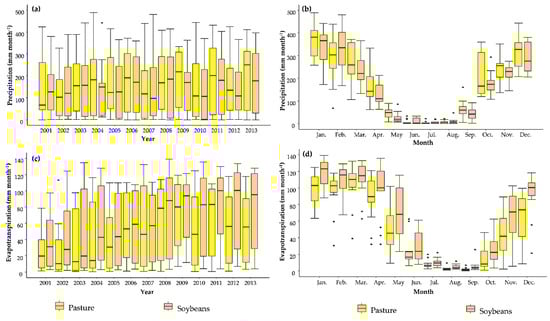
3.3. Temporal Dynamics of Precipitation and Evapotranspiration over Pasture and Soybean Areas in the Xingu River Basin
4. Conclusions
Author Contributions
Funding
Conflicts of Interest
References
- Bratman, E.; Dias, C.B. Development blind spots and environmental impact assessment: Tensions between policy, law and practice in Brazil’s Xingu river basin. Environ. Impact Assess. Rev. 2018, 70, 1–10. [Google Scholar] [CrossRef]
- Dias, L.C.P.; Macedo, M.N.; Costa, M.H.; Coe, M.T.; Neill, C. Effects of land cover change on evapotranspiration and streamflow of small catchments in the Upper Xingu River Basin, Central Brazil. J. Hydrol. Reg. Stud. 2015, 4, 108–122. [Google Scholar] [CrossRef]
- Bratman, E. Passive revolution in the green economy: Activism and the Belo Monte dam. Int. Environ. Agreem-P 2014, 15, 61–77. [Google Scholar] [CrossRef]
- Schwartzman, S.; Boas, A.V.; Ono, K.Y.; Fonseca, M.G.; Doblas, J.; Zimmerman, B.; Junqueira, P.; Jerozolimski, A.; Salazar, M.; Junqueira, R.P.; et al. The natural and social history of the indigenous lands and protected areas corridor of the Xingu River basin. Philos. Trans. R. Soc. Lond. B. Biol. Sci. 2013, 368, 20120164. [Google Scholar] [CrossRef] [PubMed]
- Nobre, C.A.; Sampaio, G.; Borma, L.S.; Castilla-Rubio, J.C.; Silva, J.S.; Cardoso, M. Land-Use and climate change risks in the Amazon and the need of a novel sustainable development paradigm. Proc. Natl. Acad. Sci. USA. 2016, 113, 10759–10768. [Google Scholar] [CrossRef]
- Fearnside, P.M. Environmental and Social Impacts of Hydroelectric Dams in Brazilian Amazonia: Implications for the Aluminum Industry. World Dev. 2016, 77, 48–65. [Google Scholar] [CrossRef]
- Mertens, B. Crossing spatial analyses and livestock economics to understand deforestation processes in the Brazilian Amazon: The case of São Félix do Xingú in South Pará. Agri. Econ. 2002, 27, 269–294. [Google Scholar] [CrossRef][Green Version]
- Schmink, M.; Hoelle, J.; Gomes, C.V.A.; Thaler, G.M. From contested to ‘green’ frontiers in the Amazon? A long-term analysis of São Félix do Xingu, Brazil. J. Peasant. Stud. 2017, 46, 377–399. [Google Scholar] [CrossRef]
- Stickler, C.M.; Nepstad, D.C.; Coe, M.T.; McGrath, D.G.; Rodrigues, H.O.; Walker, W.S.; Soares-Filho, B.S.; Davidson, E.A. The potential ecological costs and cobenefits of REDD: A critical review and case study from the Amazon region. Glob. Chang. Biol. 2009, 15, 2803–2824. [Google Scholar] [CrossRef]
- Thaler, G.M. The Land Sparing Complex: Environmental Governance, Agricultural Intensification, and State Building in the Brazilian Amazon. Ann. Am. Assoc. Geogr. 2017, 107, 1424–1443. [Google Scholar] [CrossRef]
- Griffiths, P.; Jakimow, B.; Hostert, P. Reconstructing long term annual deforestation dynamics in Pará and Mato Grosso using the Landsat archive. Remote Sens. Environ. 2018, 216, 497–513. [Google Scholar] [CrossRef]
- Ferrante, L.; Gomes, M.; Fearnside, P.M. Amazonian indigenous peoples are threatened by Brazil’s Highway BR-319. Land Use Policy 2020, 94, 104548. [Google Scholar] [CrossRef]
- de Area, L.P.E.J.; Silveira, F.P.J.; de Santana, R.L.C.; Sabadini, C.T.; de Barros, P.H.B. Policy in Brazil (2016–2019) threaten conservation of the Amazon rainforest. Environ. Sci. Policy 2019, 100, 8–12. [Google Scholar] [CrossRef]
- National Institute for Space Research (INPE). Monitoring of the Brazilian Amazon Deforestation by Satellite. 2020. Available online: http://www.obt.inpe.br/OBT/assuntos/programas/amazonia/prodes (accessed on 11 May 2020).
- Duffy, P.B.; Brando, P.; Asner, G.P.; Field, C.B. Projections of future meteorological drought and wet periods in the Amazon. Proc. Natl. Acad. Sci. USA. 2015, 112, 13172–13177. [Google Scholar] [CrossRef]
- Silvério, D.V.; Brando, P.M.; Macedo, M.N.; Beck, P.S.A.; Bustamante, M.; Coe, M.T. Agricultural expansion dominates climate changes in southeastern Amazonia: The overlooked non-GHG forcing. Environ. Res. Lett. 2015, 10, 104015. [Google Scholar] [CrossRef]
- Panday, P.K.; Coe, M.T.; Macedo, M.N.; Lefebvre, P.; Castanho, A.D.A. Deforestation offsets water balance changes due to climate variability in the Xingu River in eastern Amazonia. J. Hydrol. 2015, 523, 822–829. [Google Scholar] [CrossRef]
- Sampaio, G.; Nobre, C.; Costa, M.H.; Satyamurty, P.; Soares-Filho, B.S.; Cardoso, M. Regional climate change over eastern Amazonia caused by pasture and soybean cropland expansion. Geophys. Res. Lett. 2007, 34, 822–829. [Google Scholar] [CrossRef]
- Chen, J.; Yu, Z.; Zhu, Y.; Yang, C. Relationship Between Land Use and Evapotranspiration—A Case Study of the Wudaogou Area in Huaihe River basin. Procedia Environ. Sci. 2011, 10, 491–498. [Google Scholar] [CrossRef][Green Version]
- Li, Y.; Fan, J.; Hu, Z.; Shao, Q.; Zhang, L.; Yu, H. Influence of Land Use Patterns on Evapotranspiration and Its Components in a Temperate Grassland Ecosystem. Adv. Meteorol. 2015, 2015, 1–12. [Google Scholar] [CrossRef]
- Gong, T.; Lei, H.; Yang, D.; Jiao, Y.; Yang, H. Monitoring the variations of evapotranspiration due to land use/cover change in a semiarid shrubland. Hydrol. Earth Syst. Sci. 2017, 21, 863–877. [Google Scholar] [CrossRef]
- Papadavid, G.; Hadjimitsis, G.D. Adaptation of SEBAL for estimating groundnuts evapotranspiration, In Cyprus. South-East. Eur. J. Earth Obs. Geomat. 2012, 1, 59–70. [Google Scholar]
- de Oliveira, G.; Brunsell, N.A.; Moraes, E.C.; Shimabukuro, Y.E.; Bertani, G.; dos Santos, T.V.; Aragao, L.E.O.C. Evaluation of MODIS-Based estimates of Water-Use efficiency in Amazonia. Int. J. Remote Sens. 2017, 38, 5291–5309. [Google Scholar] [CrossRef]
- Maeda, E.E.; Ma, X.; Wagner, F.H.; Kim, H.; Oki, T.; Eamus, D.; Huete, A. Evapotranspiration seasonality across the Amazon Basin. Earth Syst. Dynam. 2017, 8, 439–454. [Google Scholar] [CrossRef]
- Oliveira, B.; Moraes, E.C.; Carrasco-Benavides, M.; Bertani, G.; Mataveli, G.A.V. Improved Albedo Estimates Implemented in the METRIC Model for Modeling Energy Balance Fluxes and Evapotranspiration over Agricultural and Natural Areas in the Brazilian Cerrado. Remote Sens. 2018, 10, 1181. [Google Scholar] [CrossRef]
- Muthoni, F.K.; Odongo, V.O.; Ochieng, J.; Mugalavai, E.M.; Mourice, S.K.; Hoesche-Zeledon, I.; Mwila, M.; Bekunda, M. Long-Term spatial-temporal trends and variability of rainfall over Eastern and Southern Africa. Theor. Appl. Climatol. 2018, 137, 1869–1882. [Google Scholar] [CrossRef]
- Zhang, H.; Loáiciga, H.A.; Ha, D.; Du, Q. Spatial and Temporal Downscaling of TRMM Precipitation with Novel Algorithms. J. Hydrometeorol. 2020, 21, 1259–1278. [Google Scholar] [CrossRef]
- Brondizio, E.S.; Ostrom, E.; Young, O.R. Connectivity and the Governance of Multilevel Social-Ecological Systems: The Role of Social Capital. Annu. Rev. Environ. Resour. 2009, 34, 253–278. [Google Scholar] [CrossRef]
- Arvor, D.; Dubreuil, V.; Simões, M.; Bégué, A. Mapping and spatial analysis of the soybean agricultural frontier in Mato Grosso, Brazil, Using remote sensing data. GeoJournal 2012, 78, 833–850. [Google Scholar] [CrossRef]
- National Institute for Spatial Research (INPE). TerraClass Amazon—Land Use and Land Cover in the Legal Amazon. 2020. Available online: https://www.terraclass.gov.br/ (accessed on 11 May 2020).
- MapBiomas Project—Collection 4.1. Annual Brazilian Land Use and Land Cover Maps. 2020. Available online: https://mapbiomas.org/ (accessed on 11 May 2020).
- Kummerow, C.; Simpson, J.; Thiele, O.; Barnes, W.; Chang, A.T.C.; Stocker, E.; Adler, R.F.; Hou, A.; Kakar, R.; Wentz, F.; et al. The Status of the Tropical Rainfall Measuring Mission (TRMM) after Two Years in Orbit. J. Appl. Meteorol. 2000, 39, 1965–1982. [Google Scholar] [CrossRef]
- Paca, V.H.d.M.; Espinoza-Dávalos, G.; Moreira, D.; Comair, G. Variability of Trends in Precipitation across the Amazon River Basin Determined from the CHIRPS Precipitation Product and from Station Records. Water 2020, 12, 1244. [Google Scholar] [CrossRef]
- Mu, Q.; Zhao, M.; Running, S.W. Improvements to a MODIS global terrestrial evapotranspiration algorithm. Remote Sens. Environ. 2011, 115, 1781–1800. [Google Scholar] [CrossRef]
- Paca, V.H.d.M.; Espinoza-Dávalos, G.E.; Hessels, T.M.; Moreira, D.M.; Comair, G.F.; Bastiaanssen, W.G.M. The spatial variability of actual evapotranspiration across the Amazon River Basin based on remote sensing products validated with flux towers. Ecol. Process. 2019, 8, 6. [Google Scholar] [CrossRef]
- Assunção, J.; Gandour, C.; Pessoa, P.; Rocha, R. Property-Level assessment of change in forest clearing patterns: The need for tailoring policy in the Amazon. Land Use Policy 2017, 66, 18–27. [Google Scholar] [CrossRef]
- Schönenberg, R.; Schaldach, R.; Lakes, T.; Göpel, J.; Gollnow, F. Inter- and transdisciplinary scenario construction to explore future land-Use options in southern Amazonia. Ecol. Soc. 2017, 22, 20. [Google Scholar] [CrossRef][Green Version]
- Ferrante, L.; Fearnside, P.M. Brazil’s new president and ‘ruralists’ threaten Amazonia’s environment, traditional peoples and the global climate. Environ. Conserv. 2019, 46, 261–263. [Google Scholar] [CrossRef]
- Zeng, N.; Yoon, J.-H.; Marengo, J.A.; Subramaniam, A.; Nobre, C.A.; Mariotti, A.; Neelin, J.D. Causes and impacts of the 2005 Amazon drought. Environ. Res. Lett. 2008, 3, 014002. [Google Scholar] [CrossRef]
- Mataveli, G.A.V.; Silva, M.E.S.; Pereira, G.; da Silva, C.F.; Kawakubo, F.S.; Bertani, G.; Costa, J.C.; de Cássia, R.R.; da Silva, V.V. Satellite observations for describing fire patterns and climate-Related fire drivers in the Brazilian savannas. Nat. Hazards Earth Sys. Sci. 2018, 18, 125–144. [Google Scholar] [CrossRef]
- Fan, Z.X.; Thomas, A. Spatiotemporal variability of reference evapotranspiration and its contributing climatic factors in Yunnan Province, SW China, 1961–2004. Clim. Chang. 2012, 116, 309–325. [Google Scholar] [CrossRef]
- Caioni, C.; Silvério, D.V.; Macedo, M.N.; Coe, M.T.; Brando, P.M. Droughts Amplify Differences Between the Energy Balance Components of Amazon Forests and Croplands. Remote Sens. 2020, 12, 525. [Google Scholar] [CrossRef]
- Lewis, S.L.; Brando, P.M.; Phillips, O.L.; van der Heijden, G.M.; Nepstad, D. The 2010 Amazon drought. Science 2011, 331, 554. [Google Scholar] [CrossRef]






| LULC | 2004 (km2) | 2014 (km2) | Difference (km2) |
|---|---|---|---|
| Primary tropical forest | 246,875.80 | 230,009.00 | −16,866.80 |
| Secondary succession forest | 9338.77 | 14,733.42 | 5394.66 |
| Pasture | 56,743.86 | 60,673.94 | 3930.08 |
| Soybean | 7756.37 | 23,506.34 | 15,749.97 |
| Savanna | 17,443.87 | 16,445.90 | −997.97 |
| Other Uses | 28,381.44 | 23,611.85 | −4769.59 |
| Water bodies | 5453.73 | 5457.81 | 4.08 |
| Non-observed area | 4455.11 | 2007.46 | −2447.65 |
© 2020 by the authors. Licensee MDPI, Basel, Switzerland. This article is an open access article distributed under the terms and conditions of the Creative Commons Attribution (CC BY) license (http://creativecommons.org/licenses/by/4.0/).
Share and Cite
de Oliveira, G.; Chen, J.M.; Mataveli, G.A.V.; Chaves, M.E.D.; Rao, J.; Sternberg, M.; dos Santos, T.V.; dos Santos, C.A.C. Evapotranspiration and Precipitation over Pasture and Soybean Areas in the Xingu River Basin, an Expanding Amazonian Agricultural Frontier. Agronomy 2020, 10, 1112. https://doi.org/10.3390/agronomy10081112
de Oliveira G, Chen JM, Mataveli GAV, Chaves MED, Rao J, Sternberg M, dos Santos TV, dos Santos CAC. Evapotranspiration and Precipitation over Pasture and Soybean Areas in the Xingu River Basin, an Expanding Amazonian Agricultural Frontier. Agronomy. 2020; 10(8):1112. https://doi.org/10.3390/agronomy10081112
Chicago/Turabian Stylede Oliveira, Gabriel, Jing M. Chen, Guilherme A. V. Mataveli, Michel E. D. Chaves, Jing Rao, Marcelo Sternberg, Thiago V. dos Santos, and Carlos A. C. dos Santos. 2020. "Evapotranspiration and Precipitation over Pasture and Soybean Areas in the Xingu River Basin, an Expanding Amazonian Agricultural Frontier" Agronomy 10, no. 8: 1112. https://doi.org/10.3390/agronomy10081112
APA Stylede Oliveira, G., Chen, J. M., Mataveli, G. A. V., Chaves, M. E. D., Rao, J., Sternberg, M., dos Santos, T. V., & dos Santos, C. A. C. (2020). Evapotranspiration and Precipitation over Pasture and Soybean Areas in the Xingu River Basin, an Expanding Amazonian Agricultural Frontier. Agronomy, 10(8), 1112. https://doi.org/10.3390/agronomy10081112

