Soil Organic Carbon in Sandy Paddy Fields of Northeast Thailand: A Review
Abstract
1. Introduction
2. Data Compilation and Systematic Reviews
3. Topography and Climatic Condition in Northeast Thailand
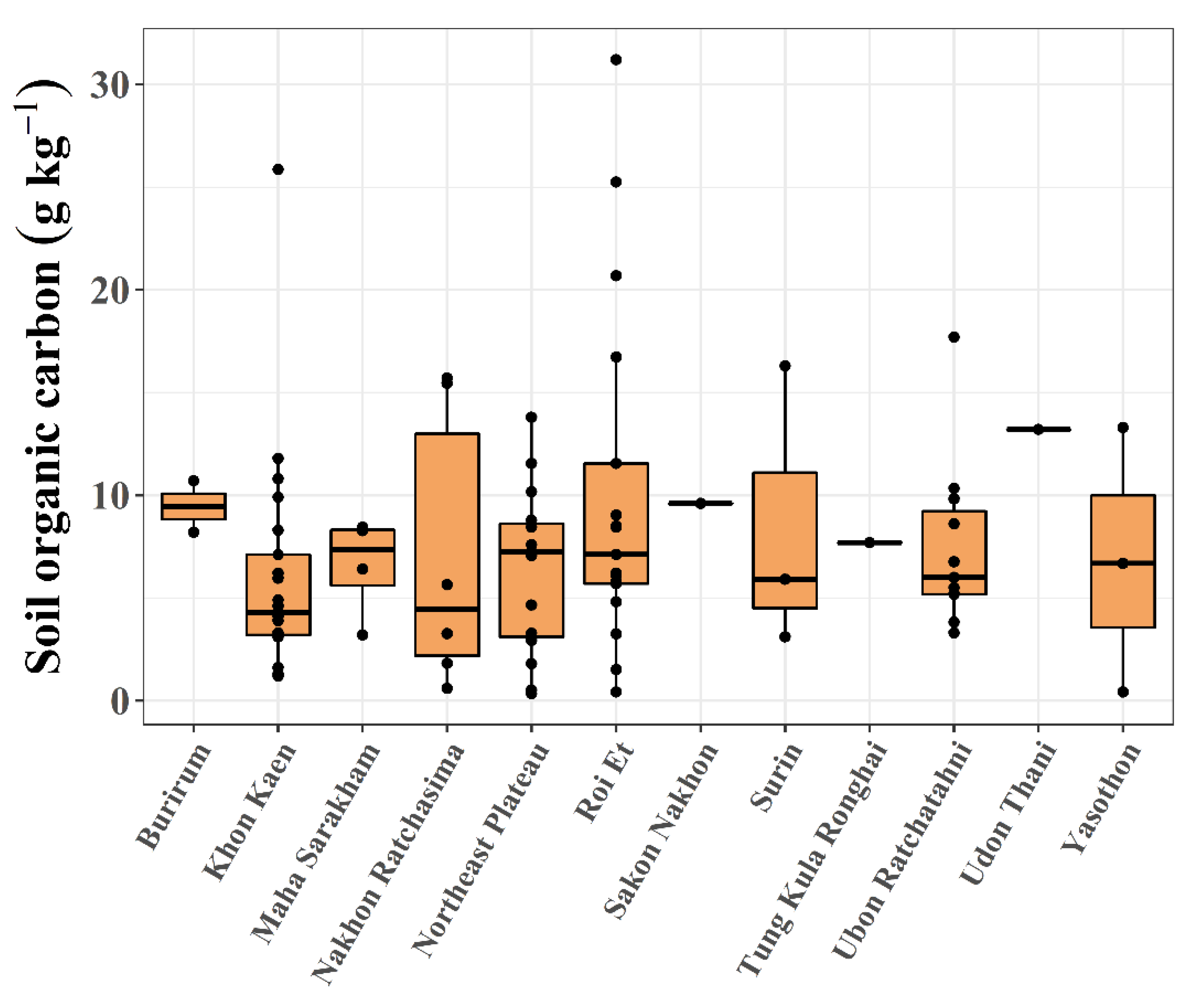
4. Soil Properties Effect on Soil Organic Carbon
4.1. Physical Properties
4.2. Chemical Properties
| Location | %Sand | %Silt | %Clay | BD | pH | CEC | EC | BS | SOC | References |
|---|---|---|---|---|---|---|---|---|---|---|
| Buriram | 48.42–65.42 | 33.32–37.4 | 1.26–13.3 | 1.50–1.54 | 5.23–5.28 a | 4.32–5.24 | 8.2–10.7 d | Sriwichai et al. [68] | ||
| 42.2 | 28.6 | 24.3 | 1.36 | 5.14 b | 10.8 g | Knox et al. [91] | ||||
| Chaiyaphum | 50.1 | 24.2 | 24.6 | 1.37 | 5.02 b | 9.7 g | Knox et al. [91] | |||
| Kalasin | 48.7 | 24.2 | 24.8 | 1.38 | 5.15 b | 9.6 g | Knox et al. [91]) | |||
| Khon Kaen | 89.8–90.8 | 3.2–18 | 2.7–12.4 | 5.2–8(1:2.5) | 2.2–15.7 | 0.3–11.5(1:5w) | 76.8–1627.3 | 0.59–4.3 h | Patcharapreecha et al. [50] | |
| 46.2 | 26.7 | 24.1 | 1.37 | 5.19 b | 10.3 g | Knox et al. [91] | ||||
| 78.5–93.4 | 4.5–12.5 | 2.1–9 | 1.45–1.75 | 5.18–5.5 b | 3.53–5.14 | 6.2–7.9 d | Vityakon et al. [57] | |||
| 1.557 | 5.77 b | 4.07 | Clermont-Dauphin et al. [85] d | |||||||
| 59.1–67.9 | 25.9–35.6 | 4.9–6.3 | 1.55–1.84 | 3.67–4.28(KCl) | 2.7–54.1(ECe) | 3.2–4.1 e | Quantin et al. [59] | |||
| 40–66 | 18–30 | 16–30 | 4.2–4.5 a | 3.9–11.8 d | Naklang et al. [54] | |||||
| 11.4–61.6 | 20.3–29.9 | 17–54.4 | 5.12–6 b | 4.8–9.75 | 6.1–16.8(1:1w) | 53.5–116.96 | 1.19–5.96 e | Wongpokhom et al. [61] | ||
| 93.4 | 4.5 | 2.1 | 1.45 | 5.5 b | 3.5 | 2.1 d | Samahadthai et al. [81] | |||
| 90 | 5 | 5 | 1.45 | 5.5 b | 3.5 | Puttaso et al. [92] d | ||||
| 49.5 | 36.2 | 14.4 | 25.86 d | Ro et al. [62] | ||||||
| 50 | 36.7 | 13.3 | 1.17–1.45 | 4.6–5.1 a | 11.2–16.8 | 7.1 d | Thammasom et al. [82] | |||
| 4.4–4.6 a | 3.32–3.51 | 9.9–10.8 g | Phiwdaeng and Kaewpradit [67] | |||||||
| 65.8 | 21.9 | 12.4 | 1.39 | 7.5–8.5 a | Kumputa et al. [69] d | |||||
| 3.91–4.36 b | Inubushi et al. [93] d | |||||||||
| Loei | 51.2 | 24.1 | 25.2 | 1.37 | 5.13 b | 10.4 g | Knox et al. [91] | |||
| Mahasara-kham | 44.2 | 28.6 | 23.1 | 1.37 | 5.27 b | 10.5 g | Knox et al. [91] | |||
| 84 | 5 | 11 | 1.504 | Suzuki et al. [94] d | ||||||
| 4.3–9.6 b | 82.53–0.13(ECe) | 8.27–8.44 d | Saisema and Pagdee [64] | |||||||
| 79.5 | 13.6 | 6.9 | 3.2–6.4 g | Kunlanit [66] | ||||||
| Mukdahan | 51.6 | 22.7 | 24.9 | 1.38 | 5.04 b | 9.7 g | Knox et al. [91] | |||
| Nakhon Phanom | 50.2 | 23.2 | 24.6 | 1.39 | 5.08 b | 9.4 g | Knox et al. [91] | |||
| Nakhon Ratchasima | 49.8 | 36.6 | 13.6 | 6 b | 4.5 | 95.8 | Miura et al. [95] h | |||
| 42.1 | 28.2 | 25.3 | 1.36 | 5.3 b | 11.0 g | Knox et al. [91] | ||||
| 31 | 22 | 47 | 4.6 b | 15.7 d | Naklang et al. [54] | |||||
| 25–70.5 | 12.8–22.9 | 15.3–49.1 | 6.3–6.9 b | 5.18–19.01 | 5.6–6.5(1:1w) | 73.4–96.1 | 0.59–5.64 e | Wongpokhom et al. [61] | ||
| 77.4–79.2 | 10.4–10.8 | 10.4–11.8 | 1.65 | 6.5 a | 4.86 | 1.82–3.26 g | Islam et al. [63] | |||
| 1.6 | 85.24 | 13.14 | 5.6(1:2.5) | 15.45 e | Zhou et al. [70] | |||||
| Nong Khai | 51.1 | 23.4 | 23.7 | 1.4 | 5.07 b | 9.4 g | Knox et al. [91] | |||
| Roi Et | 47.7 | 39.9 | 12.4 | 6.1 b | 5.77 | 95 | Miura et al. [95] h | |||
| 79.5 | 12.5 | 8 | 5.47 ± 5.01 | 7.12 e | Nakamura and Matoh [51] | |||||
| 43.8 | 30.3 | 21.8 | 1.37 | 5.27 b | 11.1 g | Knox et al. [91] | ||||
| 86.1–89.8 | 6.7–8.8 | 3.5–6.6 | 4.87–5.46 c | 10.52–77.78 | 0.42–8.5 g | Ruaysoongnern and Noble [58] | ||||
| 37.8 | 25 | 34.8 | 7.1 b | 11.67 | 1(1:1w) | 90.8 | 1.51 e | Wongpokhom et al. [61] | ||
| Sakon Nakhon | 50.3 | 22.8 | 24.5 | 1.41 | 5.19 b | 9.4 g | Knox et al. [91] | |||
| 73 | 25 | 2 | 4.1 b | 9.6 d | Naklang et al. [54] | |||||
| Sri Sa Ket | 44.7 | 28.2 | 23.2 | 1.37 | 5.24 b | 10.6 g | Knox et al. [91] | |||
| 32.6–84.6 | 6.9–33.9 | 9.9–37.8 | 1.8–2 | 4.5–6.3 b | 0.25–20.75 | 0.89–0.45(ECe) | 16.9–52.5 | 0.34–31.99 g | Saenya et al. [96] | |
| Surin | 4.7 b | 2.2 | Jermsawatdipong et al. [97] f | |||||||
| 43.6 | 28.9 | 23.2 | 1.37 | 5.24 b | 10.8 g | Knox et al. [91] | ||||
| 78 | 14 | 8 | 4.0 b | 5.9 d | Naklang et al. [54] | |||||
| 52–59 | 25–33 | 14–19 | 1.5–1.58 | 4.3–5 b | 3.1–3.8 | 9.2–3.4(1:1w) | 3.1–16.3 e | Thuithaisong et al. [98] | ||
| Ubon Ratchathani | 85.4 | 10.5 | 4.1 | 4.2 b | 3.81–16.76 d | Naklang et al. [53] | ||||
| 48.7 | 24.2 | 24.5 | 1.38 | 5.14 b | 9.4 g | Knox et al. [91] | ||||
| 80–88 | 8–12 | 4–8 | 4.1–4.2 b | 5.2–6 d | Naklang et al. [54] | |||||
| 58–84 | 12–31 | 4–28 | 4.42–6.12 b | 1.53–1.85 | 5.7–31.2 e | Suriya-Arunroj et al. [55] | ||||
| 69 | 17 | 8 | 5.53 b | 5 | 31.8 | 4.6 d | Mochizuki et al. [60] | |||
| 3.3–17.7 d | Homma et al. [45] | |||||||||
| 74–81 | 9.4–15 | 9.1–11 | Seto et al. [99] e | |||||||
| 4.1–4.8 b | 5.17–10.34 d | Sansen et al. [100] | ||||||||
| Udonthani | 65.6 | 29.9 | 4.5 | 4.8 b | 8.02 | 83.7 | Miura et al. [95] h | |||
| 50.4 | 23.4 | 24.5 | 1.39 | 5.11 b | 9.2 g | Knox et al. [91] | ||||
| 54 | 28 | 18 | 5.7 b | 13.2 d | Naklang et al. [54] | |||||
| 14.2–4.7(1:5w) | Supparattanapan et al. [87] d | |||||||||
| Yasothon | 76.3–90.8 | 5.4–12.1 | 2.4–11.6 | 4.72–5.21 c | 0.107–1.718 | 10.24–65.04 | 0.42–6.68 g | Ruaysoongnern and Noble [58] | ||
| 44.9 | 27.8 | 23.4 | 1.37 | 5.21 b | 10.5 g | Knox et al. [91] | ||||
| 46.29 | 22.57 | 31.14 | 1.48 | 6.33–7 b | 13.3 g | Sudjarit [101] | ||||
| Northeast Plateau | 67.7–96.1 | 1.1–17.5 | 0.1–16 | 1.32–1.77 | 4.7–6.5 b | 0.97–4.63 | 32–89 | 0.34–13.8g | Kheoruenromne et al. [49] | |
| 43.3 | 22.1 | 33.2 | 6.3 b | 10.54 | 96.9 | 1.8 e | Wongpokhom et al. [61] | |||
| 89 | 8 | 3 | 4.6 b | 7.7 d | Naklang et al. [54] | |||||
| Reference | Factor | Correlation | Significance |
|---|---|---|---|
| Islam et al. [63] g | Bulk density | − | p < 0.05 |
| Sriwichai et al. [68] d | Soil Microaggregates | + | |
| Zhou et al. [70] e | %Clay | + | |
| Zhou et al. [70] e, Arunrat et al. [65] i | %Silt | + | p < 0.05 |
| Arunrat et al. [65] i | %Silt + %Clay | + | p < 0.05 |
| Samahadthai et al. [81] d | C/N | − | r2 = 0.84 |
| Vityakon [57] d | C/N | − | r2 = −0.61 |
| Manguiat et al. [52] e, Arunrat et al. [65] i | Total N | + | p < 0.01 |
| Samahadthai et al. [81] d | %N | + | r2 = 0.88 |
| Clermont−Dauphin et al. [85] d | CEC | + | p < 0.05 |
| Islam et al. [63] g, Arunrat et al. [65] i | CEC | − | p < 0.01 |
| Arunrat et al. [65] i | EC | + | p < 0.01 |
| Islam et al. [63] g | pH | − | p < 0.01 |
| Arunrat et al. [65] i | pH | + | p < 0.01 |
| Islam et al. [63] g | %Exchangeable sodium (ESP) | − | p < 0.01 |
| Islam et al. [63] g | Sodium adsorption ratio (SAR) | − | p < 0.05 |
| Thuithaisong et al. [98] e | Microbial biomass | + | |
| Samahadthai et al. [81] d | OM diameter | + | r2 = 0.89 |
| Manguiat et al. [52] e | Soluble carbohydrates | + |
5. Influence of Management Practices on Soil Organic Carbon and Rice Yield in Northeast Thailand
6. Tillage Management in Northeast Thailand
7. Crop Residue Management in Northeast Thailand
8. Nutrient Management in Northeast Thailand
9. Carbon Saturation for Sandy Soil in Northeast Thailand
10. Challenges in Sustaining Soil Organic Carbon of Paddy Fields in Northeast Thailand
11. Conclusions
Author Contributions
Funding
Acknowledgments
Conflicts of Interest
References
- Wiesmeier, M.; Urbanski, L.; Hobley, E.; Lang, B.; von Lützow, M.; Marin-Spiotta, E.; van Wesemael, B.; Rabot, E.; Ließ, M.; Garcia-Franco, N.; et al. Soil Organic Carbon Storage as a Key Function of Soils—A Review of Drivers and Indicators at Various Scales. Geoderma 2019, 333, 149–162. [Google Scholar] [CrossRef]
- Várallyay, G. Role of Soil Multifunctionality in Sustainable Development. Soil Water Res. 2010, 5, 102–107. [Google Scholar] [CrossRef]
- Vogel, H.J.; Bartke, S.; Daedlow, K.; Helming, K.; Kögel-Knabner, I.; Lang, B.; Rabot, E.; Russell, D.; Stößel, B.; Weller, U.; et al. A Systemic Approach for Modeling Soil Functions. Soil 2018, 4, 83–92. [Google Scholar] [CrossRef]
- European Commission. Communication from the Commission to the Council, the European Parliament, the European Economic and Social Commitee and the Commitee of the Regions, Thematic Strategy for Soil Protection; European Commission: Brussels, Belgium, 2006; Volume COM(2006)2. [Google Scholar]
- Bouma, J. Soil Security in Sustainable Development. Soil Syst. 2019, 3, 5. [Google Scholar] [CrossRef]
- Eswaran, H.; Vearasilp, T.; Reich, P.; Beinroth, F. Sandy Soils of Asia: A New Frontier for Agricultural Development. In Management of Tropical Sandy Soils for Sustainable Development, Proceedings of the International Conference on the Management of Tropical Sandy Soils, Khon Kaen, Thailand, 27 November–2 December 2005; FAO Regional Office for Asia and the Pacific: Bangkok, Thailand, 2005. [Google Scholar]
- Engelman, R.; Cincotta, R.P.; Dye, B.; Gardner-Outlaw, T.; Wisnewski, J. People in the Balance; Population Action International: Washington, DC, USA, 2005. [Google Scholar]
- Paudel, B.; Acharya, B.S.; Ghimire, R.; Dahal, K.R.; Bista, P. Adapting Agriculture to Climate Change and Variability in Chitwan: Long-Term Trends and Farmers’ Perceptions. Agric. Res. 2014, 3, 165–174. [Google Scholar] [CrossRef]
- Reilly, J.; Tubiello, F.; McCarl, B.; Abler, D.; Darwin, R.; Fuglie, K.; Hollinger, S.U.S. Agriculture and Climate Change: New Results. Clim. Chang. 2003, 57, 43–69. [Google Scholar] [CrossRef]
- Smith, P.; Martino, D.; Cai, Z.; Gwary, D.; Janzen, H.; Kumar, P.; McCarl, B.; Ogle, S.; O’Mara, F.; Rice, C.; et al. Greenhouse Gas Mitigation in Agriculture. Philos. Trans. R. Soc. B Biol. Sci. 2008, 363, 789–813. [Google Scholar] [CrossRef]
- Arunrat, N.; Pumijumnong, N.; Hatano, R. Predicting local-scale impact of climate change on rice yield and soil organic carbon sequestration: A case study in Roi Et Province, Northeast Thailand. Agric. Syst. 2018, 164, 58–70. [Google Scholar] [CrossRef]
- Ratnayake, R.R.; Karunaratne, S.B.; Lessels, J.S.; Yogenthiran, N.; Rajapaksha, R.P.S.K.; Gnanavelrajah, N. Digital Soil Mapping of Organic Carbon Concentration in Paddy Growing Soils of Northern Sri Lanka. Geoderma Reg. 2016, 7, 167–176. [Google Scholar] [CrossRef]
- Padmanabhan, E.; Eswaran, H.; Reich, P.F. Soil Carbon Stocks in Sarawak, Malaysia. Sci. Total Environ. 2013, 465, 196–204. [Google Scholar] [CrossRef]
- Wang, G.; Zhang, L.; Zhuang, Q.; Yu, D.; Shi, X.; Xing, S.; Xiong, D.; Liu, Y. Quantification of the Soil Organic Carbon Balance in the Tai-Lake Paddy Soils of China. Soil Tillage Res. 2016, 155, 95–106. [Google Scholar] [CrossRef]
- Shanmugam, S.; Dalal, R.C.; Joosten, H.; Raison, R.J.; Joo, G.K. SOC Stock Changes and Greenhouse Gas Emissions Following Tropical Land Use Conversions to Plantation Crops on Mineral Soils, with a Special Focus on Oil Palm and Rubber Plantations. Agriculture 2018, 8, 133. [Google Scholar] [CrossRef]
- Lal, R.; Follett, R.F.; Stewart, B.A.; Kimble, J.M. Soil Carbon Sequestration to Mitigate Climate Change and Advance Food Security. Soil Sci. 2007, 172, 943–956. [Google Scholar] [CrossRef]
- Six, J.; Conant, R.T.; Paul, E.A.; Paustian, K. Six Stabilization Mechanisms of SOM Implications for C Saturation of Soils. Plant Soil 2002, 241, 155–176. [Google Scholar] [CrossRef]
- Ghimire, R.; Lamichhane, S.; Acharya, B.S.; Bista, P.; Sainju, U.M. Tillage, Crop Residue, and Nutrient Management Effects on Soil Organic Carbon in Rice-Based Cropping Systems: A Review. J. Integr. Agric. 2017, 16, 1–15. [Google Scholar] [CrossRef]
- Arunrat, N.; Pumijumnong, N. Practices for reducing greenhouse gas emissions from rice production in Northeast Thailand. Agriculture 2017, 7, 1–20. [Google Scholar] [CrossRef]
- Menon, A.; Lim, J. Hidden Potential. Banking 2017. [Google Scholar] [CrossRef]
- Lal, R. Sequestering Carbon in Soils of Agro-Ecosystems. Food Policy 2011, 36 (Suppl. 1), S33–S39. [Google Scholar] [CrossRef]
- Six, J.; Elliott, E.T.; Paustian, K. Aggregate and Soil Organic Matter Dynamics under Conventional and No-Tillage Systems. Soil Sci. Soc. Am. J. 1999, 63, 1350–1358. [Google Scholar] [CrossRef]
- VandenBygaart, A.J.; Gregorich, E.G.; Angers, D.A. Influence of Agricultural Management on Soil Organic Carbon: A Compendium and Assessment of Canadian Studies. Can. J. Soil Sci. 2003, 83, 363–380. [Google Scholar] [CrossRef]
- West, T.O.; Post, W.M. Soil Organic Carbon Sequestration Rates by Tillage and Crop Rotation: A Global Data Analysis. Soil Sci. Soc. Am. J. 2002, 66, 1930–1946. [Google Scholar] [CrossRef]
- Clough, T.J.; Condron, L.M.; Kammann, C.; Müller, C.A. Review of Biochar and Soil Nitrogen Dynamics. Agronomy 2013, 3, 275–293. [Google Scholar] [CrossRef]
- Mukherjee, A.; Lal, R. Biochar Impacts on Soil Physical Properties and Greenhouse Gas Emissions. Agronomy 2013, 20, 313–339. [Google Scholar] [CrossRef]
- Arunrat, N.; Pumijumnong, N.; Sereenonchai, S.; Chareonwong, U. Factors Controlling Soil Organic Carbon Sequestration of Highland Agricultural Areas in the Mae Chaem Bain, Northern Thailand. Agronomy 2020, 10, 305. [Google Scholar] [CrossRef]
- Hoyle, F.C.; Baldock, J.A.; Murphy, D.V. Soil organic carbon–role in rainfed farming systems. In Rainfed Farming Systems; Springer: Dordrecht, The Netherlands, 2011. [Google Scholar] [CrossRef]
- Tagami, K.; Twining, J.R.; Wasserman, M.A.V. Chapter 5—Terrestrial Radioecology in Tropical Systems. In Tropical Radioecology—Radioactivity in the Environment Twining; John, R.B.T., Ed.; Elsevier: Amsterdam, The Netherlands, 2012; Volume 18, pp. 155–230. [Google Scholar] [CrossRef]
- Blanchart, E.; Albrecht, A.; Bernoux, M.; Brauman, A.; Chotte, C.; Feller, C.; Ganry, F.; Hien, E.; Manlay, R.J.; Masse, D.; et al. Organic Matter and Biofunctioning in Tropical Sandy Soils and Implications for Its Management. In Proceedings of the International Conference on the Management of Tropical Sandy Soils, Khon Kaen, Thailand, 27 November–2 December 2005; FAO Regional Office for Asia and the Pacific: Bangkok, Thailand, 2005; pp. 224–241. [Google Scholar]
- Manlay, R.J.; Chotte, J.L.; Masse, D.; Laurent, J.Y.; Feller, C. Carbon, Nitrogen and Phosphorus Allocation in Agro-Ecosystems of a West African Savanna. III. Plant and Soil Components under Continuous Cultivation. Agric. Ecosyst. Environ. 2002, 88, 249–269. [Google Scholar] [CrossRef]
- Office of Agricultural Economics. Annual Land Utilization for Agriculture in Thailand. 2017. Available online: http://www.oae.go.th (accessed on 17 September 2019).
- Wickham, H. ggplot2: Elegant Graphics for Data Analysis; Springer: New York, NY, USA, 2006; Available online: https://ggplot2.tidyverse.org (accessed on 8 August 2019)ISBN 978-3-319-24277-4.
- Hassink, J. The capacity of soils to preserve organic C and N by their association with clay and silt particles. Plant Soil 1997, 191, 77–87. [Google Scholar] [CrossRef]
- Chung, H.G.; Ngo, K.J.; Plante, A.F.; Six, J. Evidence for carbon saturation in a highly structured and organic-matter-rich soil. Soil Sci. Soc. Am. J. 2010, 7491, 130–138. [Google Scholar] [CrossRef]
- Angers, D.A.; Arrouays, D.; Saby, N.P.A.; Walter, C. Estimating and mapping the carbon saturation deficit of French agricultural topsoils. Soil Use Manag. 2011, 27, 448–452. [Google Scholar] [CrossRef]
- Carter, M.R.; Angers, D.A.; Gregorich, E.G.; Bolinder, M.A. Characterizing organic matter retention for surface soils in eastern Canada using density and particle size fractions. Can. J. Soil Sci. 2011, 83, 11–23. [Google Scholar] [CrossRef]
- Riebe, C.S.; Sklar, L.S.; Lukens, C.E.; Shuster, D.L. Climate and Topography Control the Size and Flux of Sediment Produced on Steep Mountain Slopes. Proc. Natl. Acad. Sci. USA 2015, 112, 15574–15579. [Google Scholar] [CrossRef]
- Doetterl, S.; Berhe, A.A.; Nadeu, E.; Wang, Z.; Sommer, M.; Fiener, P. Erosion, Deposition and Soil Carbon: A Review of Process-Level Controls, Experimental Tools and Models to Address C Cycling in Dynamic Landscapes. Earth-Sci. Rev. 2016, 154, 102–122. [Google Scholar] [CrossRef]
- Xiong, X.; Grunwald, S.; Myers, D.B.; Kim, J.; Harris, W.G.; Comerford, N.B. Holistic Environmental Soil-Landscape Modeling of Soil Organic Carbon. Environ. Model. Softw. 2014, 57, 202–215. [Google Scholar] [CrossRef]
- Kirkels, F.M.S.A.; Cammeraat, L.H.; Kuhn, N.J. The Fate of Soil Organic Carbon upon Erosion, Transport and Deposition in Agricultural Landscapes—A Review of Different Concepts. Geomorphology 2014. [Google Scholar] [CrossRef]
- Hoffmann, T.; Schlummer, M.; Notebaert, B.; Verstraeten, G.; Korup, O. Carbon Burial in Soil Sediments from Holocene Agricultural Erosion, Central Europe. Glob. Biogeochem. Cycles 2013, 27, 828–835. [Google Scholar] [CrossRef]
- Mitsuchi, M.; Wichaidit, P.; Jeungnijnirund, S. Soils of the Northeast Plateau, Thailand; Technical Bulletin of the Tropical Agriculture Research Center: Okinawa, Japan, 1989; Issue 25. Tropical Agriculture Research Center Ministry of Agriculture, Forestry and Fisheries Ohwashi, Tsukuba, Ibaraki 305, Japan; Available online: https://www.jircas.go.jp/sites/default/files/publication/techtarc/techtarc25-_1-66.pdf (accessed on 20 June 2019).
- Wani, S.P.; Rockström, J.; Oweis, T. Rainfed Agriculture: Unlocking the Potential; CABI: Wallingford, UK, 1999. [Google Scholar] [CrossRef]
- Homma, K.; Mochizuki, A.; Watatsu, E.; Horie, T.; Shiraiwa, T.; Supapoj, N.; Thongthai, C. Relay-Intercropping of Stylosanthes Guianensis in Rainfed Lowland Rice Ecosystem in Northeast Thailand. Plant Prod. Sci. 2008, 11, 385–392. [Google Scholar] [CrossRef]
- Homma, K.; Horie, T.; Shiraiwa, T.; Supapoj, N.; Matsumoto, N.; Kabaki, N. Toposequential Variation in Soil Fertility and Rice Productivity of Rainfed Lowland Paddy Fields in Mini-Watershed (Nong) in Northeast Thailand. Plant Prod. Sci. 2003, 6, 147–153. [Google Scholar] [CrossRef]
- Islam, K.K.; Anusontpornperm, S.; Kheoruenromne, I.; Thanachit, S. Carbon Sequestration in Relation to Topographic Aspects and Land Use in Northeast of Thailand. Int. J. Environ. Clim. Chang. 2018, 118–137. [Google Scholar] [CrossRef]
- Chaplot, V.; Bouahom, B.; Valentin, C. Soil Organic Carbon Stocks in Laos: Spatial Variations and Controlling Factors. Glob. Chang. Biol. 2010, 16, 1380–1393. [Google Scholar] [CrossRef]
- Kheoruenromne, I.; Suddhiprakarn, A.; Kanghae, P. Properties, Environment and Fertility Capability of Sandy Soils in Northeast Plateau, Thailand. Kasetsart J. Nat. Sci. 1998, 32, 355–373. [Google Scholar]
- Patcharapreecha, P.; Topark-Ngarm, B.; Goto, I.; Kimura, M. Studies on Saline Soils in Khon Kaen Region, Northeast Thailand I. Physical and Chemical Properties of Saline Soils. Soil Sci. Plant Nutr. 1989, 35, 171–179. [Google Scholar] [CrossRef]
- Nakamura, K.; Matoh, T. Nutrient Balance in the Paddy Field of Northeast Thailand. Southeast Asian Stud. 1996, 33, 575–587. [Google Scholar]
- Manguiat, I.J.; Watanabe, I.; Mascariña, G.B.; Tallada, J.G. Nitrogen Mineralization in Tropical Wetland Rice Soils: I. Relationship with Temperature and Soil Properties. Soil Sci. Plant Nutr. 1996, 42, 229–238. [Google Scholar] [CrossRef]
- Naklang, K.; Whitbread, A.; Lefroy, R.; Blair, G.; Wonprasaid, S.; Konboon, Y.; Suriya-Arunroj, D. The Management of Rice Straw, Fertilisers and Leaf Litters in Rice Cropping Systems in Northeast Thailand: I. Soil Carbon Dynamics. Plant Soil 1999, 209, 21–28. [Google Scholar] [CrossRef]
- Naklang, K.; Harnpichitvitaya, D.; Amarante, S.T.; Wade, L.J.; Haefele, S.M. Internal Efficiency, Nutrient Uptake, and the Relation to Field Water Resources in Rainfed Lowland Rice of Northeast Thailand. Plant Soil 2006, 286, 193–208. [Google Scholar] [CrossRef]
- Suriya-Arunroj, D.; Chaiyawat, P.; Shu, F.; Blamey, P. Identification of Nutrients Limiting Rice Growth in Soils of Northeast Thailand under Water-Limiting and Non-Limiting Conditions. Plant Prod. Sci. 2000, 3, 417–421. [Google Scholar] [CrossRef]
- Vityakon, P.; Meepech, S.; Cadisch, G.; Toomsan, B. Soil Organic Matter and Nitrogen Transformation Mediated by Plant Residues of Different Qualities in Sandy Acid Upland and Paddy Soils. Neth. J. Agric. Sci. 2000, 48, 75–90. [Google Scholar] [CrossRef]
- Vityakon, P. Soil Organic Matter Loss and Fertility Degradation under Different Agricultural Land Uses in Sandy Soils of Northeast Thailand and the Use of Organic Materials of Different Qualities as a Possible Restoration Measure. In Management of Tropical Sandy Soils for Sustainable Agriculture, 533; Department of Land Resources and Environment, Faculty of Agriculture, Khon Kaen University: Khon Kaen, Thailand, 2002. [Google Scholar]
- Ruaysoongn, S.; Noble, A.D. Soil Degradation under Long-Term Rice Production in Northeast Thailand. Seminar on Technical National Agriculture System; Kosa Hotal, Khon Kaen Province: Thailand, 2002. Available online: http://www.mcc.cmu.ac.th/Seminar/pdf/1361.pdf (accessed on 26 June 2019).
- Quantin, C.; Olivier, G.; Suvannang, N. Impact of Agricultural Practices on the Biogeochemical Functionning of Salt- Affected Paddy Fields in Northeastern Thailand. In Management of Tropical Sandy Soils for Sustainable Development, Proceedings of the International Conference on the Management of Tropical Sandy Soils, Khon Kaen, Thailand, 27 November–2 December 2005; FAO Regional Office for Asia and the Pacific: Bangkok, Thailand, 2005; pp. 129–134. [Google Scholar]
- Mochizuki, A.; Homma, K.; Horie, T.; Shiraiwa, T.; Watatsu, E.; Supapoj, N.; Thongthai, C. Increased Productivity of Rainfed Lowland Rice by Incorporation of Pond Sediments in Northeast Thailand. Field Crop. Res. 2006, 96, 422–427. [Google Scholar] [CrossRef]
- Wongpokhom, N.; Kheoruenromne, I.; Suddhiprakarn, A.; Smirk, M.; Gilkes, R.J. Geochemistry of Salt-Affected Aqualfs in Northeast Thailand. Soil Sci. 2008, 173, 143–167. [Google Scholar] [CrossRef]
- Ro, S.; Seanjan, P.; Tulaphitak, T.; Inubushi, K. Sulfate Content Influencing Methane Production and Emission from Incubated Soil and Rice-Planted Soil in Northeast Thailand. Soil Sci. Plant Nutr. 2011, 57, 833–842. [Google Scholar] [CrossRef]
- Islam, K.K.; Anusontpornperm, S.; Kheoruenromne, I.; Thanachit, S. Relationship between Carbon Sequestration and Physico-Chemical Properties of Soils in Salt-Affected Areas, Northeast Thailand. Kasetsart J. Nat. Sci. 2014, 48, 560–576. [Google Scholar]
- Saisema, J.; Pagdee, A. Ecological and Socioeconomic Factors That Affect Rice Production in Saline Soils, Borabue, Mahasarakham, Thailand: Implications for Farm Management Practices. Agroecol. Sustain. Food Syst. 2015, 39, 62–82. [Google Scholar] [CrossRef]
- Arunrat, N.; Pumijumnong, N.; Hatano, R. Practices Sustaining Soil Organic Matter and Rice Yield in a Tropical Monsoon Region. Soil Sci. Plant Nutr. 2017, 63, 274–287. [Google Scholar] [CrossRef]
- Kunlanit, B. Dynamics of Soil Organic Matter and Humic Acid Contents as Influenced by Land Use Changes. Khon Kaen Agric. J. 2017, 45, 1334–1341. [Google Scholar]
- Phiwdaeng, N.; Kaewpradit, W. Soil Organic Carbon and Some Soil Chemical Properties after Land Use Change from Paddy Field to Sugarcane Planting. Khon Kaen Agric. J. 2018, 46, 30–35. [Google Scholar]
- Sriwichai, W.; Tulaphitak, D.; Lawongsa, P.; Saenjan, P. Soil Organic Carbon and Stable Carbon Locations in Different Textural Paddy Soils. Khon Kaen Agric. J. 2018, 46, 481–486. [Google Scholar]
- Kumputa, S.; Vityakon, P.; Saenjan, P.; Lawongsa, P. Carbonaceous Greenhouse Gases and Microbial Abundance in Paddy Soil under Combined Biochar and Rice Straw Amendment. Agronomy 2019, 9, 228. [Google Scholar] [CrossRef]
- Zhou, W.; Han, G.; Liu, M.; Li, X. Effects of Soil pH and Texture on Soil Carbon and Nitrogen in Soil Profiles under Different Land Uses in Mun River Basin, Northeast Thailand. PeerJ 2019, 7, e7880. [Google Scholar] [CrossRef] [PubMed]
- Sanford, G.R. Perennial Grasslands Are Essential for Long Term SOC Storage in the Mollisols of the North Central USA. Soil Carbon 2014, 281–288. [Google Scholar] [CrossRef]
- Schmidt, M.W.I.; Torn, M.S.; Abiven, S.; Dittmar, T.; Guggenberger, G.; Janssens, I.A.; Kleber, M.; Kögel-Knabner, I.; Lehmann, J.; Manning, D.A.C.; et al. Persistence of Soil Organic Matter as an Ecosystem Property. Nature 2011, 478, 49–56. [Google Scholar] [CrossRef]
- Gee, G.W. Texture. Encycl. Soils Environ. 2004, 4, 149–155. [Google Scholar] [CrossRef]
- Bruand, A.; Hartmann, C.; Lesturgez, G. Physical Properties of Tropical Sandy Soils: A Large Range of Behaviours. In Proceedings of the International Conference on the Management of Tropical Sandy Soils, Khon Kaen, Thailand, 27 November–2 December 2005; FAO Regional Office for Asia and the Pacific: Bangkok, Thailand, 2005; pp. 148–158. [Google Scholar]
- Erdal, S. Organic Carbon Organic Matter and Bulk Density Relationships in Arid-Semi Arid Soils in Southeast Anatolia Region. Afr. J. Biotechnol. 2012, 11, 1373–1377. [Google Scholar] [CrossRef]
- Berhongaray, G.; Alvarez, R.; De Paepe, J.; Caride, C.; Cantet, R. Land Use Effects on Soil Carbon in the Argentine Pampas. Geoderma 2013, 192, 97–110. [Google Scholar] [CrossRef]
- Zhao, Q.; Tang, J.; Li, Z.; Yang, W.; Duan, Y. The Influence of Soil Physico-Chemical Properties and Enzyme Activities on Soil Quality of Saline-Alkali Agroecosystems in Western Jilin Province, China. Sustainability 2018, 10, 1529. [Google Scholar] [CrossRef]
- Puttaso, A.; Vityakon, P.; Rasche, F.; Saenjan, P.; Treloges, V.; Cadisch, G. Does Organic Residue Quality Influence Carbon Retention in a Tropical Sandy Soil? Soil Sci. Soc. Am. J. 2013, 77, 1001–1011. [Google Scholar] [CrossRef]
- Baldock, J.A.; Skjemstad, J.O. Role of the Soil Matrix and Minerals in Protecting Natural Organic Materials against Biological Attack. Org. Geochem. 2000, 31, 697–710. [Google Scholar] [CrossRef]
- Hassink, J. Effects of Soil Texture and Grassland Management on Soil Organic C and N and Rates of C and N Mineralization. Soil Biol. Biochem. 1994, 26, 1221–1231. [Google Scholar] [CrossRef]
- Samahadthai, P.; Vityakon, P.; Saenjan, P. Effects of Different Quality Plant Residues on Soil Carbon Accumulation and Aggregate Formation in Atropical Sandy Soil in Northeast Thailand as Revealed by a 10-Year Field Experiment. Land Degrad. Dev. 2010, 21, 463–473. [Google Scholar] [CrossRef]
- Thammasom, N.; Vityakon, P.; Lawongsa, P.; Saenjan, P. Biochar and Rice Straw Have Different Effects on Soil Productivity, Greenhouse Gas Emission and Carbon Sequestration in Northeast Thailand Paddy Soil. Agric. Nat. Resour. 2016, 50, 192–198. [Google Scholar] [CrossRef]
- Yu, T.R. Characteristics of Soil Acidity of Paddy Soils in Relation to Rice Growth. In Plant-Soil Interactions at Low pH; Springer: Dordrecht, The Netherlands, 1991; pp. 107–112. [Google Scholar] [CrossRef]
- Yu, H.Y.; Li, F.B.; Liu, C.S.; Huang, W.; Liu, T.X.; Yu, W.M. Iron Redox Cycling Coupled to Transformation and Immobilization of Heavy Metals: Implications for Paddy Rice Safety in the Red Soil of South China. Adv. Agron. 2016, 137, 279–317. [Google Scholar] [CrossRef]
- Clermont-Dauphin, C.; Hartmann, C.; Maeght, J.L.; Beriaux, E.; Sagnansupyakorn, C. On-Farm Assessment of Long Term Effects of Organic Matter Management on Soil Characteristics of Paddy Fields Threatened by Salinity in Northeast Thailand. In Proceedings of the International Conference on the Management of Tropical Sandy Soils, Khon Kaen, Thailand, 27 November–2 December 2005; FAO Regional Office for Asia and the Pacific: Bangkok, Thailand, 2005; pp. 242–249. [Google Scholar]
- Kawaguchi, K.; Kvuma, K. Paddy Soils in Tropical Asia Part 1. Description of Fertility Characteristics; Southeast Asian Studies: Kyoto, Japan, 1974; Volume 12. [Google Scholar]
- Supparattanapan, S.; Saenjan, P.; Quantin, C.; Maeght, J.L.; Grünberger, O. Salinity and Organic Amendment Effects on Methane Emission from a Rain-Fed Saline Paddy Field. Soil Sci. Plant Nutr. 2009, 55, 142–149. [Google Scholar] [CrossRef]
- Ramesh, T.; Bolan, N.S.; Kirkham, M.B.; Wijesekara, H.; Kanchikerimath, M.; Srinivasa, R.C.; Sandeep, S.; Rinklebe, J.; Ok, Y.S.; Choudhury, B.U.; et al. Soil Organic Carbon Dynamics: Impact of Land Use Changes and Management Practices: A Review. In Advances in Agronomy; Academic Press: Cambridge, MA, USA, 2019. [Google Scholar] [CrossRef]
- Brigante, M.; Zanini, G.; Avena, M. Effect of PH, Anions and Cations on the Dissolution Kinetics of Humic Acid Particles. Colloids Surf. A Physicochem. Eng. Asp. 2009, 347, 180–186. [Google Scholar] [CrossRef]
- Whitbread, A.; Blair, G.; Naklang, K.; Lefroy, R.; Wonprasaid, S.; Konboon, Y.; Suriya-Arunroj, D. The Management of Rice Straw, Fertilisers and Leaf Litters in Rice Cropping Systems in Northeast Thailand: 2. Rice Yields and Nutrient Balances. Plant Soil 1999, 209, 21–28. [Google Scholar] [CrossRef]
- Knox, J.W.; Matthews, R.B.; Wassmann, R.; Buendia, L.V. Using a Crop/Soil Simulation Model and GIS Techniques to Assess Methane Emissions from Rice Fields in Asia. IV. Upscaling to National Levels. Nutr. Cycl. Agroecosyst. 2000, 58, 201–217. [Google Scholar] [CrossRef]
- Puttaso, A.; Vityakon, P.; Saenjan, P.; Trelo-ges, V.; Cadisch, G. Relationship between Residue Quality, Decomposition Patterns, and Soil Organic Matter Accumulation in a Tropical Sandy Soil after 13 Years. Nutr. Cycl. Agroecosyst. 2011, 89, 159–174. [Google Scholar] [CrossRef]
- Inubushi, K.; Saito, H.; Arai, H.; Ito, K.; Endoh, K.; Yashima, M.M. Effect of Oxidizing and Reducing Agents in Soil on Methane Production in Southeast Asian Paddies. Soil Sci. Plant Nutr. 2018, 64, 84–89. [Google Scholar] [CrossRef]
- Suzuki, S.; Noble, A.D.; Ruaysoongnern, S.; Chinabut, N. Improvement in Water-Holding Capacity and Structural Stability of a Sandy Soil in Northeast Thailand. Arid Land Res. Manag. 2007, 21, 37–49. [Google Scholar] [CrossRef]
- Miura, K.; Tulaphitak, T.; Kyuma, K. Pedogenetic Studies on Some Selected Soils in Northeast Thailand: I. General Soil Characteristics. Soil Sci. Plant Nutr. 1992, 38, 485–493. [Google Scholar] [CrossRef]
- Saenya, J.; Anusontpornperm, S.; Thanachit, S.; Kheoruenromne, I. Potential of Paddy Soils for Jasmine Rice Production in Si Sa Ket Province, Northeast Thailand. Asian J. Crop Sci. 2015, 7, 34–47. [Google Scholar]
- Jermsawatdipong, P.; Murase, J.; Watanabe, A.; Kimura, M.; Hasathon, Y.; Khomthong, N.; Naklang, K.; Haraguchi, H.; Jermsawatdipong, P.; Prabuddham, P. Methane Emission from Plots with Differences in Fertilizer Application in Thai Paddy Fields. Soil Sci. Plant Nutr. 1994, 40, 63–71. [Google Scholar] [CrossRef]
- Thuithaisong, C.; Parkpian, P.; Shipin, O.V. Communications in Soil Science and Plant Analysis Soil-Quality Indicators for Predicting Sustainable Organic Rice Production. Commun. Soil Sci. Plant Anal. 2011, 42, 548–568. [Google Scholar] [CrossRef]
- Seto, R.; Moritsuka, N.; Fujisao, K.; Toriumi, A.; Homma, K.; Tajima, R.; Kato, Y.; Yamagishi, J.; Mekwatanakarn, P.; Jongdee, B. Mild Drying of Sandy Soil Can Physically Limit the Uptake of Phosphorus by Rainfed Lowland Rice in Northeast Thailand. Soil Sci. Plant Nutr. 2018, 64, 677–685. [Google Scholar] [CrossRef]
- Sansen, K.; Wongboon, W.; Jairin, J.; Kato, Y. Farmer-Participatory Evaluation of Mechanized Dry Direct-Seeding Technology for Rice in Northeastern Thailand. Plant Prod. Sci. 2019, 22, 46–53. [Google Scholar] [CrossRef]
- Sudjarit, W. Estimation of Soil Carbon Flux in Cultivated Areas with Aquilaria Crassna, Hevea Brasiliensis, and Oryza sativa, L. J. Sci. Technol. Mahasarakham Univ. 2015, 34, 161–170. [Google Scholar]
- Perret, S.R.; Thanawong, K.; Basset-Mens, C.; Mungkung, R. The Environmental Impacts of Lowland Paddy Rice: A Case Study Comparison between Rainfed and Irrigated Rice in Thailand. Cah. Agric. 2013, 22, 369–377. [Google Scholar] [CrossRef]
- Bjorge, D.; Booth, J.; Cholchalatharn, K.; Crocker, K.; Smitasin, A.; Warfel, D. Water Resources Development in Isaan, Thailand The Social Case for Ban Thad; Worcester Polytechnic Institute: Worcester, MA, USA, 2011. [Google Scholar]
- Bronson, K.F.; Neue, H.U.; Singh, U.; Abao, E.B. Automated Chamber Measurements of Methane and Nitrous Oxide Flux in a Flooded Rice Soil: I. Residue, Nitrogen, and Water Management. Soil Sci. Soc. Am. J. 1997, 61, 981–987. [Google Scholar] [CrossRef]
- Fageria, N.K.; Carvalho, G.D.; Santos, A.B.; Ferreira, E.P.B.; Knupp, A.M. Chemistry of Lowland Rice Soils and Nutrient Availability. Commun. Soil Sci. Plant Anal. 2011, 42, 1913–1933. [Google Scholar] [CrossRef]
- Yang, R.; Su, Y.; Kong, J. Effect of Tillage, Cropping, and Mulching Pattern on Crop Yield, Soil C and N Accumulation, and Carbon Footprint in a Desert Oasis Farmland. Soil Sci. Plant Nutr. 2017, 63, 599–606. [Google Scholar] [CrossRef]
- Pandey, D.; Agrawal, M.; Singh Bohra, J.; Adhya, T.K.; Bhattacharyya, P. Recalcitrant and Labile Carbon Pools in a Sub-Humid Tropical Soil under Different Tillage Combinations: A Case Study of Rice-Wheat System. Soil Tillage Res. 2014, 143, 116–122. [Google Scholar] [CrossRef]
- Baker, J.M.; Ochsner, T.E.; Venterea, R.T.; Griffis, T.J. Tillage and Soil Carbon Sequestration-What Do We Really Know? Agric. Ecosyst. Environ. 2007. [Google Scholar] [CrossRef]
- Bhattacharyya, R.; Tuti, M.D.; Bisht, J.K.; Bhatt, J.C.; Gupta, H.S. Conservation Tillage and Fertilization Impact on Soil Aggregation and Carbon Pools in the Indian Himalayas under an Irrigated Rice-Wheat Rotation. Soil Sci. 2012, 177, 218–228. [Google Scholar] [CrossRef]
- Thai Agricultural Standard TAS 4401-2008 Good Agricultural Practices for Rice; National Bureau of Agricultural Commodity and Food Standard Ministry of Agriculture and Cooperatives: Bangkok, Thailand, 2008; Available online: https://www.acfs.go.th/standard/download/eng/GAP_rice.pdf (accessed on 22 June 2019).
- Haefele, S.M.; Konboon, Y. Nutrient Management for Rainfed Lowland Rice in Northeast Thailand. Field Crop. Res. 2009, 114, 374–385. [Google Scholar] [CrossRef]
- Haefele, S.M.; Naklang, K.; Harnpichitvitaya, D.; Jearakongman, S.; Skulkhu, E.; Romyen, P.; Phasopa, S.; Tabtim, S.; Suriya-arunroj, D.; Khunthasuvon, S.; et al. Factors Affecting Rice Yield and Fertilizer Response in Rainfed Lowlands of Northeast Thailand. Field Crop. Res. 2006, 98, 39–51. [Google Scholar] [CrossRef]
- Houghton, R.A.; Unruh, J.D.; Lefebvre, P.A. Current land cover in the tropics and its potential for sequestering carbon. Glob. Biogeochem. Cycles 1993, 7, 305–320. [Google Scholar] [CrossRef]
- Stewart, C.E.; Plante, A.F.; Paustian, K.; Conant, R.T.; Six, J. Soil C saturation: Linking concept and measurable C pools. Soil Sci. Soc. Am. J. 2008, 72, 379–392. [Google Scholar] [CrossRef]
- Houghton, R.A. Revised estimates of the annual net flux of carbon to the atmosphere from changes in land use and land management 1850–2000. Tellus B 2003, 55, 378–390. [Google Scholar]
- Sanchez, A.P. Properties and Management of Soils in the Tropics; Cambridge University Press: New York, NY, USA, 2019. [Google Scholar]
- Wang, J.; Wang, X.; Xu, M.; Feng, G.; Zhang, W. Crop yield and soil organic matter after long-term straw return to soil in China. Nutr. Cycl. Agroecosyst. 2015, 102, 371–381. [Google Scholar] [CrossRef]
- Yang, S.; Chen, X.; Jiang, Z.; Ding, J.; Sun, X.; Xu, J. Effects of Biochar Application on Soil Organic Carbon Composition and Enzyme Activity in Paddy Soil under Water-Saving Irrigation. Int. J. Environ. Res. Public Health 2020, 17, 333. [Google Scholar] [CrossRef]
- Office of Agricultural Economics. Cultivation Area and Crop Yield of Rainfed Rice-Based System. 2019. Available online: http://www.oae.go.th (accessed on 20 July 2019).
- Patrick, M.; Tenywa, J.S.; Ebanyat, P.; Tenywa, M.M.; Mubiru, D.N.; Basamba, T.A.; Leip, A. Soil Organic Carbon Thresholds and Nitrogen Management in Tropical Agroecosystems: Concepts and Prospects. J. Sustain. Dev. 2013, 6. [Google Scholar] [CrossRef]









| Soil Type | Crop System | Rice Species | Treatment | Rice Yield (ton ha−1) | References | |
|---|---|---|---|---|---|---|
| Typical Practice | Alternative Practice | |||||
| Coarse–loamy, saline soil | Rain-fed paddy | RD6 | Control | RS, manure | 0.48–2.99 | Supparattanapan et al. [87] |
| Loamy sand | Irrigated paddy | Pathum Thani 1 | CF | BC, BC+CF, RS, RS+CF | 2.46–6.05 | Thammasom et al. [82] |
| Sandy loam | Rain-fed paddy | Pitsanulok 2 | CF | BC, RS | 6.25 | Kumputa et al. [69] |
| Sand, sandy loam, loamy sand | Rain-fed paddy | KDML105, RD8 | NPK | NPK+ GM | 1.5–2.3 | Nakamura and Matoh [51] |
| Loamy sand | Irrigated, Rain-fed paddy | KDML105, RD6, SPR 60 | No GM | GM, NPK | 1.29–3.78 | Arunrat et al. [65] |
| Loamy sand | Rain-fed paddy, Rice-stylo | KDML105 | No CF | CF, intercropping, GM | 1.53–2.89 | Homma et al. [45] |
| Sandy loam, fine sand, loamy fine sand | Rain-fed paddy | KDML105 | Farmer practice | Mechanized dry direct-seeding, SSNM | 2.50–2.58 | Sansen et al. [100] |
| Loamy fine sand | Rain-fed paddy | KDML105 | No CF, No stubble | CF, OM, stubble | 1.9–2.8 | Jermsawatdipong et al. [97] |
| Infertile acid sandy soil | N/A | KDML105 | No leaf litters, No stubble | Leave litters, stubble | 1.545–2.7 | Whitbread et al. [90] |
| Sandy silt | Rain-fed paddy | KDML105 | No CF, No incorporate | CF, Incorporate | 1.68–2.58 | Mochizuki et al. [60] |
| Loam, sandy loam | Rain-fed paddy | KDML105 | Control | CF, GM, RS | 2.16–3.48 | Thuithaisong et al. [98] |
| Sandy loam | Rain-fed paddy | RD6 | RS burn | RI, RI+OM | 4.0 | Clermont-Dauphin et al. [85] |
| Management Practice | Soil Properties | Yield | References | |||||||||||
|---|---|---|---|---|---|---|---|---|---|---|---|---|---|---|
| P | N | K | C/N | Fe2+ | pH | EC | BD | CEC | WHC | LOC | SOC | |||
| Leaves litter | (+) * | (+) * | (+) * | (+) * | (+) * | Naklang et al. [53] i, Whitbread et al. [90] i | ||||||||
| Stubble | (+) * | (+) * | (+) * | (+) | Naklang et al. [53] i, Whitbread et al. [90] i | |||||||||
| Straw | (+) | (−) | (+) | Vityakon [57] d; Puttaso et al. [92] d | ||||||||||
| Plant residues | (+) | (−) * | Vityakon [57] d; Puttaso et al. [92] d | |||||||||||
| Organic matters application | (+) | Quantin et al. [59] e | ||||||||||||
| Land elevation | (+) * | (+) * | (+) * | Clermont-Dauphin et al. [85] d | ||||||||||
| Incorporate (tillage) | (+) * | (+) ** | (+) * | Mochizuki et al. [60] d | ||||||||||
| Bentonite | (+) * | Suzuki et al. [94] d | ||||||||||||
| Relay-intercropping (3 years) | (+) * | Homma et al. [45] d | ||||||||||||
| Biochar | (+) ** | (+) ** | (+) ** | (−) | (+) ** | (+) ** | (+) ** | (+) | Thammasom et al. [82] d, Kumputa [69] d | |||||
| Flooded condition | (+) ** | (+) ** | (+) | Quantin et al. [59] e, Seto et al. [99] e | ||||||||||
© 2020 by the authors. Licensee MDPI, Basel, Switzerland. This article is an open access article distributed under the terms and conditions of the Creative Commons Attribution (CC BY) license (http://creativecommons.org/licenses/by/4.0/).
Share and Cite
Arunrat, N.; Kongsurakan, P.; Sereenonchai, S.; Hatano, R. Soil Organic Carbon in Sandy Paddy Fields of Northeast Thailand: A Review. Agronomy 2020, 10, 1061. https://doi.org/10.3390/agronomy10081061
Arunrat N, Kongsurakan P, Sereenonchai S, Hatano R. Soil Organic Carbon in Sandy Paddy Fields of Northeast Thailand: A Review. Agronomy. 2020; 10(8):1061. https://doi.org/10.3390/agronomy10081061
Chicago/Turabian StyleArunrat, Noppol, Praeploy Kongsurakan, Sukanya Sereenonchai, and Ryusuke Hatano. 2020. "Soil Organic Carbon in Sandy Paddy Fields of Northeast Thailand: A Review" Agronomy 10, no. 8: 1061. https://doi.org/10.3390/agronomy10081061
APA StyleArunrat, N., Kongsurakan, P., Sereenonchai, S., & Hatano, R. (2020). Soil Organic Carbon in Sandy Paddy Fields of Northeast Thailand: A Review. Agronomy, 10(8), 1061. https://doi.org/10.3390/agronomy10081061

