Soil Arthropod Responses in Agroecosystem: Implications of Different Management and Cropping Systems
Abstract
1. Introduction
2. Materials and Methods
2.1. Farm Characteristics and Soil Management
2.2. Soil Sampling and Arthropod Extraction
2.3. Statistical Analysis
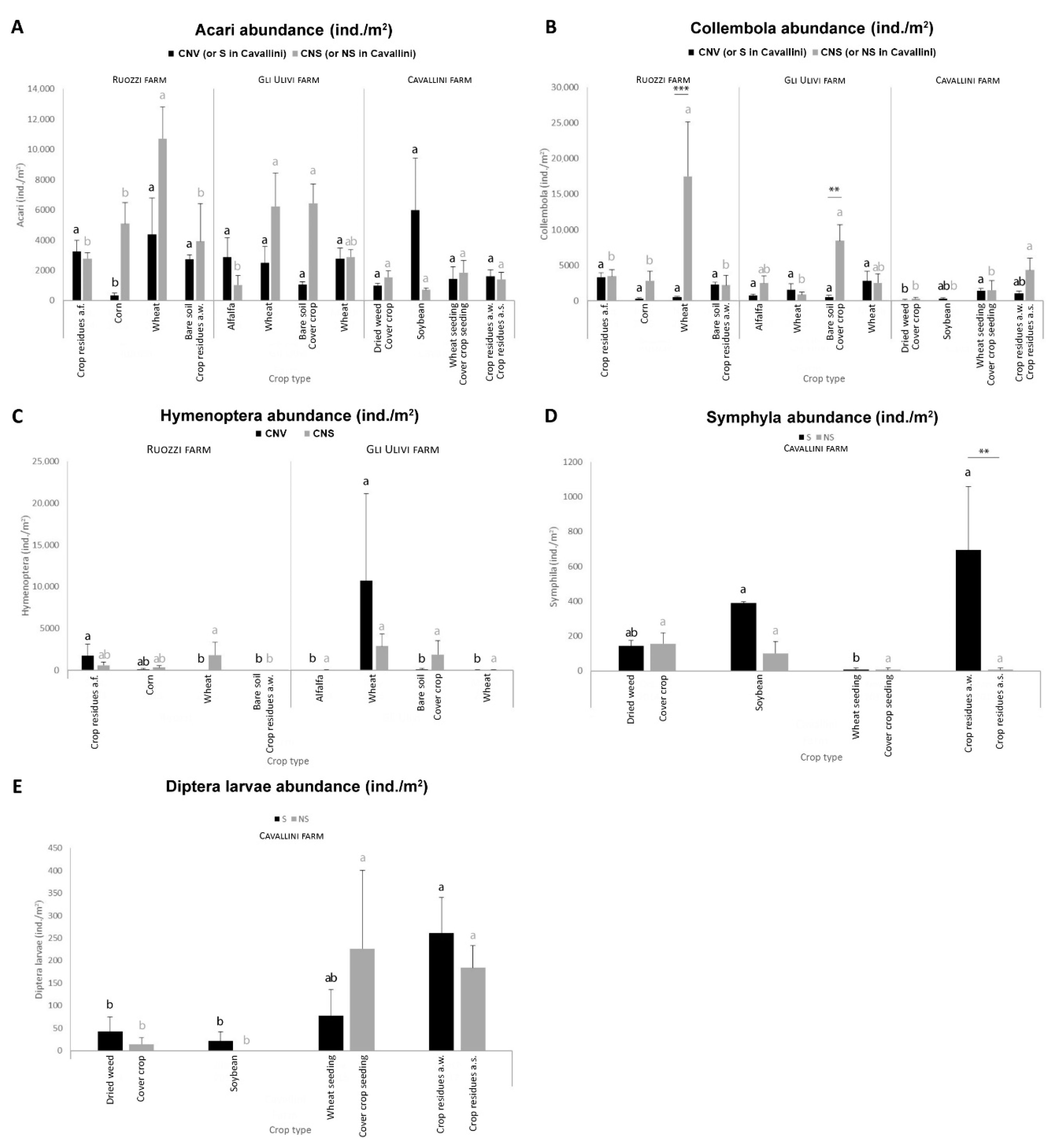
3. Results
3.1. Ruozzi Farm
3.2. Gli Ulivi Farm
3.3. Cavallini Farm
3.4. Comparison between the Ruozzi and Gli Ulivi Farms
4. Discussion
5. Conclusions
Supplementary Materials
Author Contributions
Funding
Acknowledgments
Conflicts of Interest
References
- Shukla, P.R.; Skea, J.; Calvo Buendía, E.; Masson-Delmotte, V.; Pörtner, H.O.; Roberts, D.C.; Zhai, P.; Slade, R.; Connors, S.; van Diemen, R.; et al. Climate Change and Land: An IPCC Special Report on Climate Change, Desertification, Land Degradation, Sustainable Land Management, Food Security and Greenhouse Gas Fluxes in Terrestrial Ecosystems; IPCC: Geneva, Switzerland, 2019. [Google Scholar]
- Barnes, A.D.; Allen, K.; Kreft, H.; Corre, M.D.; Jochum, M.; Veldkamp, E.; Clough, Y.; Daniel, R.; Darras, K.; Denmead, L.H.; et al. Direct and cascading impacts of tropical land-use change on multi-trophic biodiversity. Nat. Ecol. Evol. 2017, 1, 1511–1519. [Google Scholar] [CrossRef] [PubMed]
- Kibblewhite, M.G.; Ritz, K.; Swift, M.J. Soil health in agricultural systems. Philos. Trans. R. Soc. B Biol. Sci. 2008, 363, 685–701. [Google Scholar] [CrossRef] [PubMed]
- Smith, P.; Cotrufo, M.F.; Rumpel, C.; Paustian, K.; Kuikman, P.J.; Elliott, J.A.; McDowell, R.; Griffiths, R.I.; Asakawa, S.; Bustamante, M.; et al. Biogeochemical cycles and biodiversity as key drivers of ecosystem services provided by soils. SOIL 2015, 1, 665–685. [Google Scholar] [CrossRef]
- Cates, A.M.; Ruark, M.D.; Hedtcke, J.L.; Posner, J.L. Long-term tillage, rotation and perennialization effects on particulate and aggregate soil organic matter. Soil Tillage Res. 2016, 155, 371–380. [Google Scholar] [CrossRef]
- Gardi, C.; Montanarella, L.; Arrouays, D.; Bispo, A.; Lemanceau, P.; Jolivet, C.; Mulder, C.; Ranjard, L.; Römbke, J.; Rutgers, M.; et al. Soil biodiversity monitoring in Europe: Ongoing activities and challenges. Eur. J. Soil Sci. 2009, 60, 807–819. [Google Scholar] [CrossRef]
- Tabaglio, V.; Gavazzi, C.; Menta, C. Physico-chemical indicators and microarthropod communities as influenced by no-till, conventional tillage and nitrogen fertilisation after four years of continuous maize. Soil Tillage Res. 2009, 105, 135–142. [Google Scholar] [CrossRef]
- Magro, S.; Gutiérrez-López, M.; Casado, M.A.; Jiménez, M.D.; Trigo, D.; Mola, I.; Balaguer, L. Soil functionality at the roadside: Zooming in on a microarthropod community in an anthropogenic soil. Ecol. Eng. 2013, 60, 81–87. [Google Scholar] [CrossRef]
- Vignozzi, N.; Agnelli, A.E.; Brandi, G.; Gagnarli, E.; Goggioli, D.; Lagomarsino, A.; Pellegrini, S.; Simoncini, S.; Simoni, S.; Valboa, G.; et al. Soil ecosystem functions in a high-density olive orchard managed by different soil conservation practices. Appl. Soil Ecol. 2019, 134, 64–76. [Google Scholar] [CrossRef]
- Delgado-Baquerizo, M.; Reich, P.B.; Trivedi, C.; Eldridge, D.J.; Abades, S.; Alfaro, F.D.; Bastida, F.; Berhe, A.A.; Cutler, N.A.; Gallardo, A.; et al. Multiple elements of soil biodiversity drive ecosystem functions across biomes. Nat. Ecol. Evol. 2020, 4, 210–220. [Google Scholar] [CrossRef]
- Lavelle, P.; Decaëns, T.; Aubert, M.; Barot, S.; Blouin, M.; Bureau, F.; Margerie, P.; Mora, P.; Rossi, J.P. Soil invertebrates and ecosystem services. Eur. J. Soil Biol. 2006, 42. [Google Scholar] [CrossRef]
- Mulder, C.; Boit, A.; Bonkowski, M.; De Ruiter, P.C.; Mancinelli, G.; Van der Heijden, M.G.A.; Van Wijnen, H.J.; Vonk, J.A.; Rutgers, M. A Belowground Perspective on Dutch Agroecosystems: How Soil Organisms Interact to Support Ecosystem Services. In Advances in Ecological Research; Academic Press: Cambridge, MA, USA, 2011; Volume 44, pp. 277–357. [Google Scholar] [CrossRef]
- Cole, L.; Buckland, S.M.; Bardgett, R.D. Influence of disturbance and nitrogen addition on plant and soil animal diversity in grassland. Soil Biol. Biochem. 2008, 40, 505–514. [Google Scholar] [CrossRef]
- Bardgett, R.D.; Cook, R. Functional aspects of soil animal diversity in agricultural grasslands. Appl. Soil Ecol. 1998, 10, 263–276. [Google Scholar] [CrossRef]
- Cortet, J.; Ronce, D.; Poinsot-Balaguer, N.; Beaufreton, C.; Chabert, A.; Viaux, P.; Cancela De Fonseca, J.P. Impacts of different agricultural practices on the biodiversity of microarthropod communities in arable crop systems. Eur. J. Soil Biol. 2002, 38, 239–244. [Google Scholar] [CrossRef]
- Dubie, T.R.; Greenwood, C.M.; Godsey, C.; Payton, M.E. Effects of Tillage on Soil Microarthropods in Winter Wheat. Southwest. Entomol. 2011, 36, 11–20. [Google Scholar] [CrossRef]
- Rodríguez, E.; Fernández-Anero, F.J.; Ruiz, P.; Campos, M. Soil arthropod abundance under conventional and no tillage in a Mediterranean climate. Soil Tillage Res. 2006, 85, 229–233. [Google Scholar] [CrossRef]
- Stinner, B. Arthropods and Other Invertebrates In Conservation-Tillage Agriculture. Annu. Rev. Entomol. 1990, 35, 299–318. [Google Scholar] [CrossRef]
- House, G.J.; Parmelee, R.W. Comparison of soil arthropods and earthworms from conventional and no-tillage agroecosystems. Soil Tillage Res. 1985, 5, 351–360. [Google Scholar] [CrossRef]
- Crossley, D.A.; Mueller, B.R.; Perdue, J.C. Biodiversity of microarthropods in agricultural soils: Relations to processes. Agric. Ecosyst. Environ. 1992, 40, 37–46. [Google Scholar] [CrossRef]
- Hendrix, P.F.; Parmelee, R.W.; Crossley, D.A.; Coleman, D.C.; Odum, E.P.; Groffman, P.M. Detritus Food Webs in Conventional and No-Tillage Agroecosystems. Bioscience 1986, 36, 374–380. [Google Scholar] [CrossRef]
- Neher, D.; Barbercheck, M. Diversity and Function of Soil Mesofauna. In Biodiversity in Agroecosystems; Williams Collins, W., Qualset, C.O., Eds.; CRC Press: Boca Raton, FL, USA, 1998; pp. 27–47. [Google Scholar] [CrossRef]
- Filser, J.; Mebes, K.H.; Winter, K.; Lang, A.; Kampichler, C. Long-term dynamics and interrelationships of soil Collembola and microorganisms in an arable landscape following land use change. Geoderma 2002, 105, 201–221. [Google Scholar] [CrossRef]
- Maraun, M.; Salamon, J.A.; Schneider, K.; Schaefer, M.; Scheu, S. Oribatid mite and collembolan diversity, density and community structure in a moder beech forest (Fagus sylvatica): Effects of mechanical perturbations. Soil Biol. Biochem. 2003, 35, 1387–1394. [Google Scholar] [CrossRef]
- Diekötter, T.; Wamser, S.; Wolters, V.; Birkhofer, K. Landscape and management effects on structure and function of soil arthropod communities in winter wheat. Agric. Ecosyst. Environ. 2010, 137, 108–112. [Google Scholar] [CrossRef]
- Bedano, J.C.; Cantú, M.P.; Doucet, M.E. Soil springtails (Hexapoda: Collembola), symphylans and pauropods (Arthropoda: Myriapoda) under different management systems in agroecosystems of the subhumid Pampa (Argentina). Eur. J. Soil Biol. 2006, 42, 107–119. [Google Scholar] [CrossRef]
- Palacios-Vargas, J.G. Protura y Diplura. In Biodiversidad, Taxonomía Y Biogeografía de Artrópodos de México: Hacia Una Síntesis de su Conocimiento; Llorente, J., González, E., Papayero, N., Eds.; UNAM: Mexico City, México, 2000; p. 275. [Google Scholar]
- Meyer, M.; Ott, D.; Götze, P.; Koch, H.; Scherber, C. Crop identity and memory effects on aboveground arthropods in a long-term crop rotation experiment. Ecol. Evol. 2019, 9, 7307–7323. [Google Scholar] [CrossRef] [PubMed]
- Jones, D.T.; Susilo, F.X.; Bignell, D.E.; Hardiwinoto, S.; Gillison, A.N.; Eggleton, P. Termite assemblage collapse along a land-use intensification gradient in lowland central Sumatra, Indonesia. J. Appl. Ecol. 2003, 40, 380–391. [Google Scholar] [CrossRef]
- Curry, J.P. The Arthropod Fauna Associated with Cattle Manure Applied as Slurry to Grassland. Proc. R. Irish Acad. Sect. B Biol. Geol. Chem. Sci. 1979, 79, 15–27. [Google Scholar] [CrossRef]
- Andrén, O.; Lagerlöf, J. Soil Fauna (Microarthropods, Enchytraeids, Nematodes) in Swedish Agricultural Cropping Systems. Acta Agric. Scand. 1983, 33, 33–52. [Google Scholar] [CrossRef]
- Kautz, T.; López-Fando, C.; Ellmer, F. Abundance and biodiversity of soil microarthropods as influenced by different types of organic manure in a long-term field experiment in Central Spain. Appl. Soil Ecol. 2006, 33, 278–285. [Google Scholar] [CrossRef]
- Cluzeau, D.; Guernion, M.; Chaussod, R.; Martin-Laurent, F.; Villenave, C.; Cortet, J.; Ruiz-Camacho, N.; Pernin, C.; Mateille, T.; Philippot, L.; et al. Integration of biodiversity in soil quality monitoring: Baselines for microbial and soil fauna parameters for different land-use types. Eur. J. Soil Biol. 2012, 49, 63–72. [Google Scholar] [CrossRef]
- Gruss, I.; Twardowski, J.; Hurej, M. Influence of 90-Year Potato and Winter Rye Monocultures under Different Fertilisation on Soil Mites. Plant Prot. Sci. 2018, 54. [Google Scholar] [CrossRef]
- Pollierer, M.M.; Langel, R.; Körner, C.; Maraun, M.; Scheu, S. The underestimated importance of belowground carbon input for forest soil animal food webs. Ecol. Lett. 2007, 10, 729–736. [Google Scholar] [CrossRef] [PubMed]
- Weigel, H.J.; Pacholski, A.; Burkart, S.; Helal, M.; Heinemeyer, O.; Kleikamp, B.; Manderscheid, R.; Frühauf, C.; Hendrey, G.F.; Lewin, K.; et al. Carbon turnover in a crop rotation under free air CO2 enrichment (FACE). Pedosphere 2005, 15, 728–738. [Google Scholar]
- Sticht, C.; Schrader, S.; Giesemann, A.; Weigel, H.J. Atmospheric CO2 enrichment induces life strategy- and species-specific responses of collembolans in the rhizosphere of sugar beet and winter wheat. Soil Biol. Biochem. 2008, 40, 1432–1445. [Google Scholar] [CrossRef]
- Holland, J.M.; Luff, M.L. The effects of agricultural practices on Carabidae in temperate agroecosystems. Integr. Pest Manag. Rev. 2000, 5, 109–129. [Google Scholar] [CrossRef]
- Parisi, V.; Menta, C.; Gardi, C.; Jacomini, C.; Mozzanica, E. Microarthropod communities as a tool to assess soil quality and biodiversity: A new approach in Italy. Agric. Ecosyst. Environ. 2005, 105, 323–333. [Google Scholar] [CrossRef]
- ArcGIS for Desktop; Version 10.4.1; Environmental Systems Research Institute (ESRI): Redlands, CA, USA, 2010.
- Google Earth Pro (v. 7.3.2.5776-64 Bits). (27 April 2019). Ruozzi Farm, Emilia-Romagna, Italy. 32T 639989.98 m E; 4952099.21 m N, Eye alt 962 m. DigitalGlobe 2020. Available online: http://www.earth.google.com (accessed on 28 May 2020).
- Google Earth Pro (v. 7.3.2.5776-64 Bits). (27 April 2019). Gli Ulivi Farm, Emilia-Romagna, Italy. 32T 733954.26 m E; 4888816.93 m N, Eye alt 1.11 km. DigitalGlobe 2020. Available online: http://www.earth.google.com (accessed on 8 May 2020).
- Google Earth Pro (v. 7.3.2.5776-64 Bits). (27 April 2019). Cavallini Farm, Emilia-Romagna, Italy. 32T 719093.79 m E; 4949785.82 m N, Eye alt 1.12 km. DigitalGlobe 2020. Available online: http://www.earth.google.com (accessed on 8 May 2020).
- Ministro per le Politiche Agricole Metodi Ufficiali di Analisi Chimica del Suolo. Available online: https://www.gazzettaufficiale.it/eli/id/1999/10/21/099A8497/sg (accessed on 27 March 2020).
- Menta, C.; Conti, F.D.; Pinto, S. Microarthropods biodiversity in natural, seminatural and cultivated soils—QBS-ar approach. Appl. Soil Ecol. 2018, 123, 740–743. [Google Scholar] [CrossRef]
- Bates, D.; Mächler, M.; Bolker, B.M.; Walker, S.C. Fitting linear mixed-effects models using lme4. J. Stat. Softw. 2015, 67, 1–48. [Google Scholar] [CrossRef]
- Lenth, R.V. Least-squares means: The R package lsmeans. J. Stat. Softw. 2016, 69, 1–33. [Google Scholar] [CrossRef]
- Oksanen, J.; Blanchet, F.G.; Kindt, R.; Legendre, P.; O’Hara, R.B.; Simpson, G.L.; Solymos, P.; Stevens, M.H.H.; Wagner, H. Vegan: Community Ecology Package. Available online: http://R-Forge.R-project.org/projects/vegan/ (accessed on 4 April 2020).
- McDonald, J. Tests for one measurement variable. In Handbook of Biological Statistics; Publishing, S.H., Ed.; Sparky House Publishing: Baltimore, MD, USA, 2014; pp. 140–145. ISBN 9780444535924. [Google Scholar]
- R Core Team. R: A Language and Environment for Statistical Computing; Version 3.6.3; R Foundation for Statistical Computing: Vienna, Austria, 2020. [Google Scholar]
- Whalen, J.K.; Hamel, C. Effects of key soil organisms on nutrient dynamics in temperate agroecosystems. J. Crop Improv. 2004, 11, 175–207. [Google Scholar] [CrossRef]
- Dekkers, T.B.M.; van der Werff, P.A.; van Amelsvoort, P.A.M. Soil Collembola and Acari related to farming systems and crop rotations in organic farming. Acta Zool. Fenn. 1994, 195, 28–31. [Google Scholar]
- Boutin, C.; Martin, P.A.; Baril, A. Arthropod diversity as affected by agricultural management (organic and conventional farming), plant species, and landscape context. Écoscience 2009, 16, 492–501. [Google Scholar] [CrossRef]
- Tuck, S.L.; Winqvist, C.; Mota, F.; Ahnström, J.; Turnbull, L.A.; Bengtsson, J. Land-use intensity and the effects of organic farming on biodiversity: A hierarchical meta-analysis. J. Appl. Ecol. 2014, 51, 746–755. [Google Scholar] [CrossRef] [PubMed]
- Fiorini, A.; Boselli, R.; Maris, S.C.; Santelli, S.; Perego, A.; Acutis, M.; Brenna, S.; Tabaglio, V. Soil type and cropping system as drivers of soil quality indicators response to no-till: A 7-year field study. Appl. Soil Ecol. 2020, 155, 103646, in press. [Google Scholar] [CrossRef]
- Bedano, J.; Domínguez, A. Large-Scale Agricultural Management and Soil Meso- and Macrofauna Conservation in the Argentine Pampas. Sustainability 2016, 8, 653. [Google Scholar] [CrossRef]
- Winter, J.P.; Voroney, R.P.; Ainsworth, D.A. Soil Microarthropods In Long-Term No-Tillage And Conventional Tillage Corn Production. Can. J. Soil Sci. 1990, 70, 641–653. [Google Scholar] [CrossRef][Green Version]
- Rizk, M.A.; Mikhail, W.Z.A. Impact of no-tillage agriculture on soil fauna diversity. Zool. Middle East 1999, 18, 113–120. [Google Scholar] [CrossRef]
- Menta, C.; Remelli, S. Soil Health and Arthropods: From Complex System to Worthwhile Investigation. Insects 2020, 11, 54. [Google Scholar] [CrossRef] [PubMed]
- George, P.B.L.; Keith, A.M.; Creer, S.; Barrett, G.L.; Lebron, I.; Emmett, B.A.; Robinson, D.A.; Jones, D.L. Evaluation of mesofauna communities as soil quality indicators in a national-level monitoring programme. Soil Biol. Biochem. 2017, 115, 537–546. [Google Scholar] [CrossRef]
- van de Bund, C.F. Influence of crop and tillage on mites and springtails in arable soil. Netherlands J. Agric. Sci. 1970, 18, 308–314. [Google Scholar]
- Lübben, B.; Larink, O. Influence of sewage sludge fertilization and heavy metal content on Collembola in ploughed soil. Ökologie Nat. im Agrar. 1990, 19, 310–315. [Google Scholar]
- Lameed, G.A. Biodiversity Conservation and Utilization in a Diverse World; InTech: London, UK, 2012. [Google Scholar] [CrossRef]
- House, G.J.; Alzugaray, M.D.R. Influence of Cover Cropping and No-Tillage Practices on Community Composition of Soil Arthropods in a North Carolina Agroecosystem. Environ. Entomol. 1989, 18, 302–307. [Google Scholar] [CrossRef]
- Peachey, R.E.; Moldenke, A.; William, R.D.; Berry, R.; Ingham, E.; Groth, E. Effect of cover crops and tillage system on symphylan (Symphlya: Scutigerella immaculata, Newport) and Pergamasus quisquiliarum Canestrini (Acari: Mesostigmata) populations, and other soil organisms in agricultural soils. Appl. Soil Ecol. 2002, 21, 59–70. [Google Scholar] [CrossRef]







| Sampling Period | Management | Irrigation System | Ruozzi | Gli Ulivi | Cavallini |
|---|---|---|---|---|---|
| 2014-Autumn | CNV | NS | After annual forage crop, soil covered by crop residues | Alfalfa | - |
| CNS | NS | After annual forage crop, soil covered by crop residues | Alfalfa | Cover crop | |
| S | - | - | Dried weed | ||
| 2015-Spring | CNV | NS | Corn | Wheat | - |
| CNS | NS | Corn | Wheat | Soybean | |
| S | - | - | Soybean | ||
| 2015-Autumn | CNV | NS | Wheat | Bare soil | - |
| CNS | NS | Wheat | Cover crop | Cover crop seeding | |
| S | - | - | Wheat seeding | ||
| 2017-Spring | CNV | NS | Bare soil | Wheat | - |
| CNS | NS | After wheat, soil covered by crop residues | Wheat | After soybean, soil covered by crop residues | |
| S | - | - | After wheat, soil covered by crop residues |
© 2020 by the authors. Licensee MDPI, Basel, Switzerland. This article is an open access article distributed under the terms and conditions of the Creative Commons Attribution (CC BY) license (http://creativecommons.org/licenses/by/4.0/).
Share and Cite
Menta, C.; Conti, F.D.; Lozano Fondón, C.; Staffilani, F.; Remelli, S. Soil Arthropod Responses in Agroecosystem: Implications of Different Management and Cropping Systems. Agronomy 2020, 10, 982. https://doi.org/10.3390/agronomy10070982
Menta C, Conti FD, Lozano Fondón C, Staffilani F, Remelli S. Soil Arthropod Responses in Agroecosystem: Implications of Different Management and Cropping Systems. Agronomy. 2020; 10(7):982. https://doi.org/10.3390/agronomy10070982
Chicago/Turabian StyleMenta, Cristina, Federica Delia Conti, Carlos Lozano Fondón, Francesca Staffilani, and Sara Remelli. 2020. "Soil Arthropod Responses in Agroecosystem: Implications of Different Management and Cropping Systems" Agronomy 10, no. 7: 982. https://doi.org/10.3390/agronomy10070982
APA StyleMenta, C., Conti, F. D., Lozano Fondón, C., Staffilani, F., & Remelli, S. (2020). Soil Arthropod Responses in Agroecosystem: Implications of Different Management and Cropping Systems. Agronomy, 10(7), 982. https://doi.org/10.3390/agronomy10070982

