Evaluation of Commercial Wheat Cultivars for Canopy Architecture, Early Vigour, Weed Suppression, and Yield
Abstract
1. Introduction
2. Materials and Methods
2.1. Site Description and Experimental Design
2.2. Crop Establishment
2.3. Crop Assessments and Data Collection
2.4. Data Analysis
3. Results
3.1. Local Rainfall and Dominant Weeds
3.2. Early Crop Biomass Differences and Weed Biomass Interference
3.3. Weed Suppression by Other Crop Canopy Traits
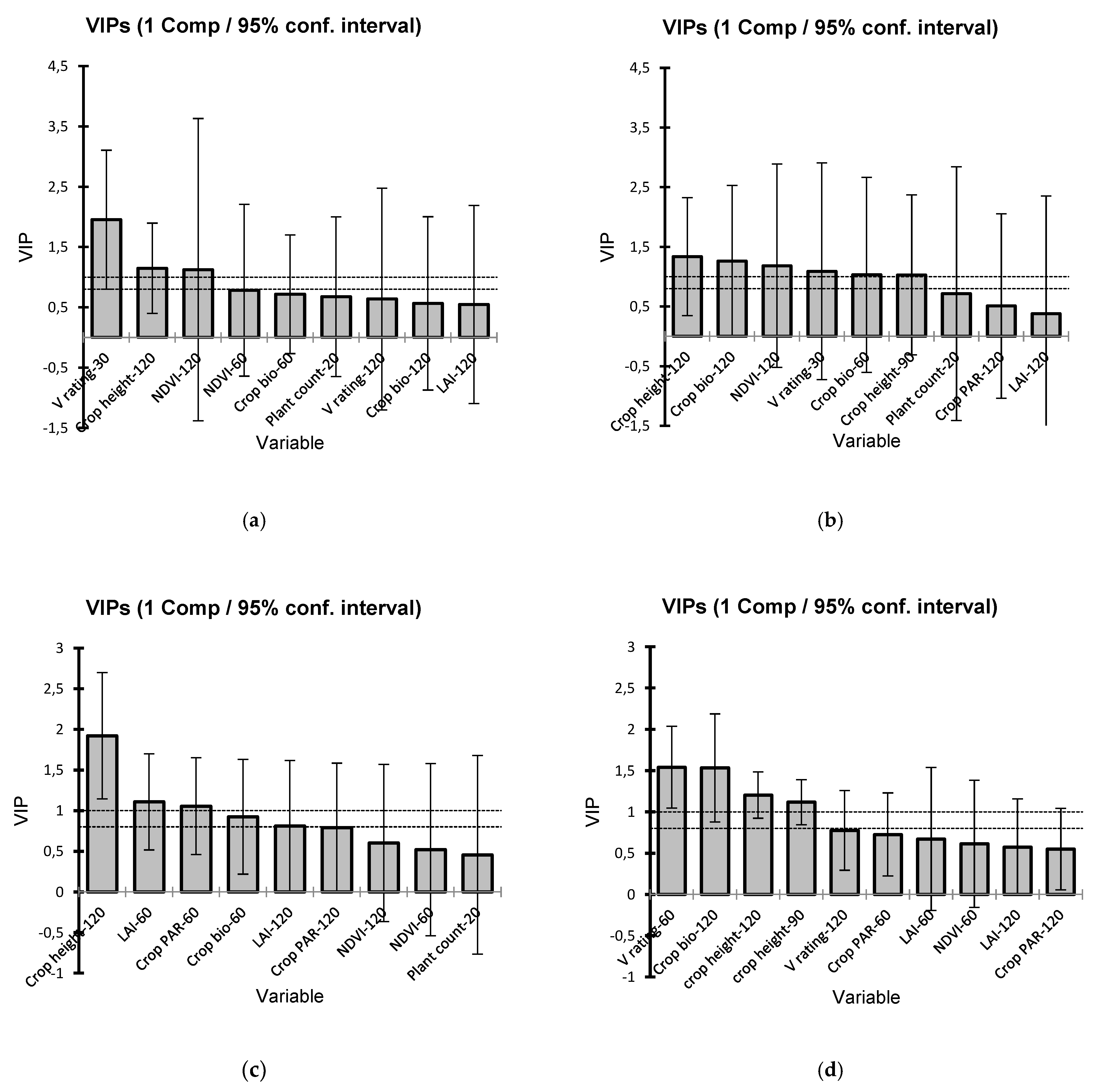
3.4. Modelling for Weed Suppression Using Crop Canopy Traits
3.5. Cultivar Grain Yield versus Weed Suppression
4. Discussion
5. Conclusions
Supplementary Materials
Author Contributions
Funding
Acknowledgments
Conflicts of Interest
References
- Wu, H. Integrating belowground non-chemical approaches for future weed management. In Weed and Pest Control: Molecular Biology, Practices and Environmental Impact; Travlos, I.S., Bilalis, D., Chachalis, D., Eds.; Nova Science Publishers Inc.: Hauppauge, NY, USA, 2016. [Google Scholar]
- Jabran, K.; Mahajan, G.; Sardana, V.; Chauhan, B.S. Allelopathy for weed control in agricultural systems. Crop Prot. 2015, 72, 57–65. [Google Scholar] [CrossRef]
- Heap, I. International Herbicide-Resistant Weed Database. Available online: www.weedscience.com (accessed on 30 September 2018).
- Bajwa, A.A.; Walsh, M.; Chauhan, B.S. Weed management using crop competition in Australia. Crop. Prot. 2016, 30, 1–6. [Google Scholar] [CrossRef]
- Llewellyn, R.; Ronning, D.; Ouzman, J.; Walker, S.; Mayfield, A.; Clarke, M. Impact of Weeds on Australian Grain Production: The Cost of Weeds to Australian Grain Growers and the Adoption of Weed Management and Tillage Practices; Grains Research and Development Corporation and CSIRO: Canberra, Australia, 2016. [Google Scholar]
- Andrew, I.K.S.; Storkey, J.; Sparkes, D.L. A review of the potential for competitive cereal cultivars as a tool in integrated weed management. Weed Res. 2015, 55, 239–248. [Google Scholar] [CrossRef] [PubMed]
- Bertholdsson, N.-O.; Andersson, S.C.; Merker, A. Allelopathic potential of Triticum spp., Secale spp. And Triticosecale and use of chromosome substitutions and translocations to improve weed suppression ability in winter wheat. Plant Breed 2012, 131, 75–80. [Google Scholar] [CrossRef]
- Worthington, M. Reberg-Horton, C. Breeding cereal crops for enhanced weed suppression: Optimizing allelopathy and competitive ability. J. Chem. Ecol. 2013, 39, 213–231. [Google Scholar] [CrossRef]
- Travlos, I.S. Reduced herbicide rates for an effective weed control in competitive wheat cultivars. Intern. J. Plant Prod. 2012, 6, 1–14. [Google Scholar]
- Milan, M.; Fogliatto, S.; Blandino, M.; Vidotto, F. Are Wheat Hybrids More Affected by Weed Competition than Conventional Cultivars? Agronomy 2020, 10, 526. [Google Scholar] [CrossRef]
- Lazzaro, M.; Costanzo, A.; Bàrberi, P. Single vs multiple agroecosystem services provided by common wheat cultivar mixtures: Weed suppression, grain yield and quality. Field Crop. Res. 2018, 221, 277–297. [Google Scholar] [CrossRef]
- Llewellyn, R.S.; Lindner, R.K.; Pannell, D.J.; Powles, S.B. Herbicide resistance and the adoption of integrated weed management by Western Australian grain growers. Agri. Econ. 2007, 36, 123–130. [Google Scholar] [CrossRef]
- Fradgley, N.S.; Creissen, H.E.; Pearce, H.; Howlett, S.A.; Pearce, B.D.; Döring, T.F.; Girling, R.D. Weed suppression and tolerance in winter oats. Weed Tech. 2017, 31, 740–751. [Google Scholar] [CrossRef]
- Bertholdsson, N.-O. Breeding spring wheat for improved allelopathic potential. Weed Res. 2010, 50, 49–57. [Google Scholar] [CrossRef]
- Worthington, M.; Reberg-Horton, S.C.; Brown-Guedira, G.; Jordan, D.; Weisz, R.; Murphy, J.P. Relative contributions of allelopathy and competitive traits to the weed suppressive ability of winter wheat lines against Italian Ryegrass. Crop Sci. 2015, 55, 57–64. [Google Scholar] [CrossRef]
- Vandeleur, R.K.; Gill, G.S. The impact of plant breeding on the grain yield and competitive ability of wheat in Australia. Crop Pasture Sci. 2004, 55, 855–861. [Google Scholar] [CrossRef]
- Rebetzke, G.J.; Richards, R.A. Genetic improvement of early vigour in wheat. Aust. J. Agri. Res. 1999, 50, 291–302. [Google Scholar] [CrossRef]
- Christensen, S. Weed suppression ability of spring barley varieties. Weed Res. 1995, 35, 241–247. [Google Scholar] [CrossRef]
- Coleman, R.K.; Gill, G.S.; Rebetzke, G.J. Identification of quantitative trait loci for traits conferring weed competitiveness in wheat (Triticum aestivum L.). Crop Past. Sci. 2001, 52, 1235–1246. [Google Scholar] [CrossRef]
- Seavers, G.P.; Wright, K.J. Crop canopy development and structure influence weed suppression. Weed Res. 1999, 39, 319–328. [Google Scholar] [CrossRef]
- Zerner, M.C.; Gill, G.S.; Vandeleur, R.K. Effect of height on the competitive ability of wheat with oats. Agron. J. 2008, 100, 1729–1734. [Google Scholar] [CrossRef]
- Lemerle, D.; Smith, A.; Verbeek, B.; Koetz, E.; Lockley, P.; Martin, P. Incremental crop tolerance to weeds: A measure for selecting competitive ability in Australian wheats. Euphytica 2006, 149, 85–95. [Google Scholar] [CrossRef]
- Watson, P.R.; Derksen, D.A.; Van Acker, R.C. The ability of 29 barley cultivars to compete and withstand competition. Weed Sci. 2006, 54, 783–792. [Google Scholar] [CrossRef]
- Upadhyaya, M.K.; Blackshaw, R.E. Non-Chemical Weed Management: Principles, Concepts and Technology; CABI: Oxfordshire, UK, 2007; ISBN 1-84593-290-0. [Google Scholar]
- Lemerle, D.; Gill, G.S.; Murphy, C.E.; Walker, S.R.; Cousens, R.D.; Mokhtari, S.; Peltzer, D.J.; Coleman, R.; Luckett, D. Genetic improvement and agronomy for enhanced wheat competitiveness with weeds. Aust. J. Agric. Res. 2001, 152, 527–548. [Google Scholar] [CrossRef]
- Van der Meulen, A.; Chauhan, B.S. A review of weed management in wheat using crop competition. Crop Protec. 2017, 95, 38–44. [Google Scholar] [CrossRef]
- Matthews, P.; McCaffery, D.; Jenkins, L. Winter Crop Variety Sowing Guide 2015; NSW Department of Primary Industries: Orange, Australia, 2015. [Google Scholar]
- Menalled, F.; Schonbeck, M. Manage the weed seed bank—minimize ‘‘deposits’’ and maximize ‘‘withdrawals. ’’ Margins 2011, 1, 8. [Google Scholar]
- Nkoa, R.; Owen, M.D.K.; Swanton, C.J. Weed abundance, distribution, diversity, and community analyses. Weed Sci. 2015, 63, 64–90. [Google Scholar] [CrossRef]
- Rebetzke, G.; Van Herwaarden, A.; Chenu, K.; Moeller, C.; Biddulph, B.; Richards, R.; Rattey, A. Protocols for experimental plot sampling, handling and processing of cereal experiments: Standardised methods for use in large agronomic, physiological and genetic field studies. PrometheusWiki 2012, 1–46, CSIRO Publishing: Collingwood, Australia. Available online: http://prometheuswiki.publish.csiro.au/tiki-index.php (accessed on 18 October 2014).
- Mwendwa, J.M.; Brown, W.B.; Wu, H.; Weston, P.A.; Weidenhamer, J.D.; Quinn, J.C.; Weston, L.A. The weed suppressive ability of selected Australian grain crops; case studies from the Riverina region in New South Wales. Crop Prot. 2018, 103, 9–19. [Google Scholar] [CrossRef]
- VSN, International. GenStat for Windows, 19th ed.; VSN International: Hemel Hempstead, UK, 2018. [Google Scholar]
- Mevik, B.H.; & Wehrens, R. The pls Package: Principal Component and Partial Least Squares Regression in R. J. Stat. Softw. 2007, 18, 1–23. [Google Scholar] [CrossRef]
- Sardana, V.; Mahajan, G.; Jabran, K.; Chauhan, B.S. Role of competition in managing weeds: An introduction to the special issue. Crop Prot. 2017, 95, 1–7. [Google Scholar] [CrossRef]
- Akarachantachote, N.; Seree, C.; Kidakan, S. Cutoff threshold of variable importance in projection for variable selection. Int. J. Pure Appl. Math. 2014, 94, 307–322. [Google Scholar] [CrossRef]
- Broster, J.C.; Koetz, E.A.; Wu, H. Weed species present in cereal crops in southern New South Wales. In Proceedings of the 18th Australasian weeds conference developing solutions to evolving weed problems, Melbourne, Australia, 8–11 October 2012; pp. 8–11. [Google Scholar]
- Wicks, G.A.; Nordquist, P.T.; Baenziger, P.S.; Klein, R.N.; Hammons, R.H.; Watkins, J.E. Winter wheat cultivar characteristics affect annual weed suppression. Weed Tech. 2004, 18, 988–998. [Google Scholar] [CrossRef]
- Richards, R.A.; Rebetzke, G.J.; Condon, A.G.; Van Herwaarden, A.F. Breeding opportunities for increasing the efficiency of water use and crop yield in temperate cereals. Crop Sci. 2002, 42, 111–121. [Google Scholar] [CrossRef] [PubMed]
- Mwendwa, J.M.; Brown, W.B.; Haque, S.; Heath, G.; Wu, H.; Quinn, J.C.; Weston, L.A. Field evaluation of Australian wheat genotypes for competitive traits and weed suppression. In Proceedings of the 20th Australasian Weeds Conference, Perth, Australia, 11–15 September 2016; pp. 48–53. [Google Scholar]
- Korres, N.E.; Froud-Williams, R.J. Effects of winter wheat cultivars and seed rate on the biological characteristics of naturally occurring weed flora. Weed Res. 2002, 42, 417–428. [Google Scholar] [CrossRef]
- Maydup, M.L.; Graciano, C.; Guiamet, J.J.; Tambussi, E.A. Analysis of early vigour in twenty modern cultivars of bread wheat (Triticum aestivum L.). Crop Past. Sci. 2013, 63, 987–996. [Google Scholar] [CrossRef]
- Austin, R.B. Yield of wheat in the United Kingdom: Recent advances and prospects. Crop Sci. 1999, 39, 1604–1610. [Google Scholar] [CrossRef]
- Didon, U.M.E.; Hansson, M.L. Competition between six spring barley (Hordeum vulgare ssp. vulgare L.) cultivars and two weed flora in relation to interception of photosynthetic active radiation. Biological Agri. Horti. 2002, 20, 257–274. [Google Scholar] [CrossRef]
- Callaway, M.B. A compendium of crop varietal tolerance to weeds. Am. J. Altern. Agri. 1992, 7, 169–180. [Google Scholar] [CrossRef]
- Jordan, N. Prospects for weed control through crop interference. Ecol. Appl. 1993, 3, 84–91. [Google Scholar] [CrossRef]
- Rebetzke, G.; Ingvordsen, C.; Newman, P.; Weston, L.A.; French, B.; Gill, G. Delivering Weed-Competitive, Wheat Breeding Lines to Growers; GRDC Grains Research Update: Wagga Wagga, Australia, 2018; pp. 35–40. [Google Scholar]
- Lazzaro, M.; Costanzo, A.; Farag, D.H.; Bàrberi, P. Grain yield and competitive ability against weeds in modern and heritage common wheat cultivars are differently influenced by sowing density. Ital. J. Agron. 2017, 12. [Google Scholar] [CrossRef]




| Cultivar | Breeder | Year of Release | Main Use | Growth Characteristics |
|---|---|---|---|---|
| Condo | AGT 1 | 2014 | grain | Early maturity adapted to low–medium rainfall areas. Similar in maturity to Livingston. Has consistently yielded well in low–medium rainfall environments. A tall plant type with medium straw strength. Moderately tolerant of acid soils. |
| Corack | AGT | 2011 | grain | Derived from Wyalkatchem, an early-maturing cultivar with high straw strength. Could be suitable for a wheat-on-wheat situation, low rainfall environments, or late sowings. Highly tolerant of acid soils. |
| Espada | AGT | 2008 | grain | Mid-season maturity. Best performance in medium to high yield potential areas. Good seedling vigour. Produces large grain. |
| Federation 2 | William Farrer | 1901 | grain | The first specifically Australian variety that is both rust and drought resistant. Early maturing, high yielding, and drought tolerant with strong straw. Awnless and broad adaptation. |
| Grazer (Cereal rye) 3 | dual purpose | Performs well on lighter soils. Rapid growth with early vigour and grazing possible four weeks after emergence if tillering and the secondary root system development has occurred to anchor the plant. | ||
| Gregory | EGA 4 | 2004 | grain | Excellent yield potential in early to mid-season sowings in northern and southern Australia. Medium to slow maturity. |
| Janz CL | AGT | 1989 | grain | Widely adapted main season Clearfield® (BASF, Germany) variety. Moderate seedling vigour. Medium–strong straw strength, with good lodging and shattering resistance. |
| Livingston | AGT | 2008 | grain | Early maturing cultivar. Livingston is derived from a cross involving Sunvale and was released as a higher-yielding alternative for Ventura in areas that are not constrained by acid soils. |
| Mace | AGT | 2008 | grain | Mace has broad adaptation, consistently high relative yield under a wide range of conditions and is less susceptible to downgrading at receival due to black point, pre-harvest sprouting, or screenings losses than many other cultivars. An awned variety of medium height. |
| Scout | LongReach 5 | 2009 | grain | Mid-season maturity. Medium to long coleoptile with good early vigour. Performs well in both alkaline and acid soils. Contains the Commonwealth Scientific and Industrial Research Organisation (CSIRO, Australia) Transpiration Efficiency gene, which confers improved water use efficiency. |
| Suntop | AGT | 2012 | grain | A main season line with stable yields in areas with both low to high yield potential. More rapidly maturing than Gregory but similar in maturity to Janz CL with outstanding disease resistance and wide adaptation. |
| Trojan | LongReach | 2013 | grain | Mid-long season maturity suited to the medium–high rain zone. Short–medium plant height at maturity with good straw strength. |
| Wedgetail | EGA | 2002 | dual purpose | Dominant winter wheat. Tolerant of acid soils, early sowing cultivar. Large grain size. Adapted to higher rainfall regions of the wheat belt. |
| Whistler | 1998 | dual purpose | Early maturing and the quickest of the winter wheats. Relatively low ‘cold requirement’ and heads prematurely when sown early as a dual-purpose crop. |
| Wagga Wagga | Jan | Feb | Mar | Apr | May | Jun | Jul | Aug | Sep | Oct | Nov | Dec | Total | STDV | In-crop✕ |
| 2014 | 13.2 | 27.2 | 63.4 | 56.6 | 47.0 | 81.0 | 24.2 | 10.6 | 36.6 | 22.0 | 47.0 | 29.0 | 457.8 | 21.35 | 325.0 |
| 2015 | 89.0 | 41.2 | 2.0 | 56.4 | 18.8 | 66.0 | 60.0 | 98.8 | 22.7 | 10.0 | 92.2 | 30.2 | 587.3 | 33.25 | 424.9 |
| 2016 | 58.6 | 20.0 | 42.6 | 10.8 | 102.1 | 99.7 | 86.8 | 68.1 | 178.0 | 79.1 | 28.0 | 53.5 | 827.3 | 45.58 | 652.6 |
| Long-term average * | 40.1 | 40.8 | 45.3 | 40.4 | 50.9 | 51.2 | 54.1 | 50.7 | 48.8 | 56.8 | 47.0 | 46.1 | 572.2 | 5.43 | 372.1 |
| Condobolin | Jan | Feb | Mar | Apr | May | Jun | Jul | Aug | Sep | Oct | Nov | Dec | Total | STDV | In-crop |
| 2014 | 35.2 | 46.7 | 104.5 | 28.0 | 27.6 | 57.4 | 9.2 | 22.2 | 11.0 | 11.5 | 17.7 | 88.6 | 459.6 | 31.00 | 184.6 |
| 2015 | 59.2 | 35.9 | 0.2 | 64.7 | 11.6 | 31.8 | 41.2 | 42.3 | 6.8 | 65.2 | 67.3 | 28.5 | 454.7 | 23.40 | 330.9 |
| 2016 | 80.9 | 0.0 | 21.8 | 21.4 | 60.2 | 161.5 | 37.1 | 43.4 | 143.2 | 31.6 | 40.8 | 56.7 | 698.6 | 48.77 | 539.2 |
| Long-term average * | 42.6 | 36.9 | 37.4 | 33.4 | 34.7 | 37.5 | 33.6 | 35.2 | 31.7 | 39.5 | 35.4 | 39.5 | 437.4 | 3.08 | 288.4 |
| Wagga Wagga | Weed count | |||||
|---|---|---|---|---|---|---|
| Replicate | Fumaria spp L. | Chloris truncata R.Br. | Hyacinthoides non-scripta L. | Chenopodium album L. | Sonchus oleraceus L. | Panicum spp. L. |
| 1 | 16 | 6 | 15 | 0 | 0 | 2 |
| 2 | 3 | 26 | 28 | 0 | 0 | 5 |
| 3 | 4 | 6 | 3 | 1 | 1 | 1 |
| 4 | 16 | 17 | 26 | 1 | 0 | 1 |
| 5 | 39 | 15 | 16 | 1 | 0 | 2 |
| 6 | 2 | 25 | 2 | 0 | 1 | 1 |
| Total | 80 | 95 | 90 | 3 | 2 | 12 |
| Condobolin | ||||||
| Replicate | Crassula spp. L. | Chloris truncata R.Br. | Hyacinthoides non-scripta L. | Chenopodium album L. | Capsella bursa-pastoris (L.) Medik. | Panicum spp. L. |
| 1 | 9 | 1 | 0 | 1 | 0 | 1 |
| 2 | 8 | 0 | 0 | 0 | 0 | 3 |
| 3 | 4 | 0 | 0 | 0 | 0 | 2 |
| 4 | 29 | 0 | 0 | 1 | 0 | 3 |
| 5 | 16 | 0 | 0 | 0 | 2 | 0 |
| 6 | 1 | 2 | 0 | 0 | 0 | 2 |
| Total | 67 | 3 | 0 | 2 | 2 | 11 |
| Item | Elongation Dry Biomass | Booting Dry Biomass | Maturity Weed Count | Maturity Dry Weed Biomass | ||||||||||||
|---|---|---|---|---|---|---|---|---|---|---|---|---|---|---|---|---|
| Site | Condo | Wagga | Condo | Wagga | Condo | Wagga | Condo | Wagga | ||||||||
| Cultivar/year | 2015 | 2016 | 2015 | 2016 | 2015 | 2016 | 2015 | 2016 | 2015 | 2016 | 2015 | 2016 | 2015 | 2016 | 2015 | 2016 |
| Condo | 44.7 | 152.3 | 720.7 | 122.7 | 433 | 1063 | 870 | 1066.5 | 204 | 5058 | 27 | 575 | 7.6 (82.8) | 90.2 (71.3) | 0.14 (97.1) | 64.5 (79.9) |
| Corack | 45.5 | 131.9 | 531.4 | 109.7 | 443 | 798.1 | 782 | 971.8 | 375 | 3936 | 33 | 1126 | 25.4 (42.7) | 159.7 (49.2) | 2.6 (47.8) | 185.6 (42.2) |
| Espada | 42.8 | 119 | 486.8 | 114.2 | 378 | 908.1 | 770 | 992.4 | 262 | 4326 | 14 | 480 | 11.9 (73.1) | 129.2 (58.9) | 0.6 (87.8) | 106.2 (66.9) |
| Federation | 63.7 | 105.7 | 765.1 | 123.7 | 433 | 887.2 | 738 | 1007.9 | 297 | 4195 | 5 | 705 | 12.4 (72.0) | 101.7 (67.6) | 0.0 (100) | 70.1 (78.2) |
| Grazer-rye | 78.4 | 156 | 737.1 | 168.3 | 530 | 939.3 | 1041 | 986.8 | 298 | 4603 | 3 | 226 | 5.5 (87.6) | 27.5 (91.2) | 0.0 (100) | 20.3 (93.7) |
| Gregory | 43.8 | 90.6 | 464.5 | 107.1 | 299 | 928.1 | 671 | 812.8 | 347 | 4331 | 19 | 904 | 44.3 (0.0) | 165.2 (47.4) | 4.9 (0.0) | 231.0 (28.1) |
| Janz CL | 47.2 | 103 | 707.9 | 135.7 | 349 | 714.3 | 742 | 972.8 | 245 | 3522 | 11 | 536 | 21.1 (52.4) | 121.2 (61.4) | 0.3 (93.7) | 87.0 (72.9) |
| Livingstone | 57.3 | 146.6 | 672.3 | 106.9 | 430 | 941 | 759 | 972.4 | 483 | 4545 | 24 | 915 | 11.6 (73.8) | 149.3 (52.5) | 3.8 (22.0) | 188.9 (41.2) |
| Mace | 46.4 | 95 | 539.6 | 113.7 | 412 | 861.1 | 924 | 893 | 455 | 4091 | 17 | 442 | 10.2 (77.0) | 314.1 (0.0) | 1.2 (75.9) | 321.2 (0.0) |
| Scout | 38.9 | 154 | 587.7 | 118.3 | 415 | 1022.1 | 770 | 978.7 | 464 | 4903 | 43 | 927 | 1.8 (95.9) | 158.8 (49.4) | 2.2 (55.9) | 164.9 (48.7) |
| Suntop | 51.6 | 157.3 | 639.6 | 116.4 | 418 | 1082 | 777 | 969.6 | 435 | 5155 | 23 | 974 | 16.3 (63.2) | 132.4 (57.8) | 2.6 (46.1) | 157.0 (51.1) |
| Trojan | 46.3 | 126.5 | 489.4 | 95.5 | 379 | 1005.9 | 696 | 922.7 | 391 | 4754 | 16 | 1079 | 4.9 (88.9) | 215.1 (31.5) | 4.3 (13.3) | 221.3 (31.1) |
| Wedgetail | 42.6 | 131.4 | 479.1 | 123.6 | 244 | 1059.3 | 647 | 733.7 | 442 | 4997 | 21 | 523 | 9.4 (78.8) | 139.2 (55.7) | 0.2 (96.9 | 209.7 (34.7) |
| Whistler | 39.3 | 95.7 | 531.4 | 89.8 | 305 | 1122.5 | 645 | 838.9 | 497 | 5105 | 16 | 857 | 18.5 (58.2) | 173.6 (44.7) | 2.4 (52.0) | 197.3 (38.6) |
| Mean | 49.2 | 126.1 | 596.6 | 117.5 | 390.6 | 952.3 | 773.7 | 937.1 | 371.1 | 4537.2 | 19.4 | 733.5 | 14.4 | 148.4 | 1.8 | 158.9 |
| LSD | 17.8 | 35.6 | 188.8 | 38.5 | 119.1 | 362.4 | 130.2 | 208 | 121.8 | 1559.4 | 15.3 | 320.4 | 10.7 | 15.1 | 1.4 | 135.5 |
| p value a | *** | * | ** | * | *** | ns | *** | ns | ** | ns | * | *** | ** | *** | ** | ** |
| Location | Condobolin | Wagga Wagga | ||||||
|---|---|---|---|---|---|---|---|---|
| Cultivar | Y-2015 | WB-2015 | Y-2016 | WB-2016 | Y-2015 | WB-2015 | Y-2016 | WB-2016 |
| Condo | 1.1 | 7.6 | 3 | 90.2 | 5.6 | 0.1 | 4.2 | 64.5 |
| Corack | 1.1 | 25.4 | 2.8 | 159.7 | 5.6 | 2.6 | 4.8 | 185.6 |
| Espada | 1.1 | 11.9 | 3.2 | 129.2 | 5.4 | 0.6 | 5.4 | 106.2 |
| Federation | 0.6 | 12.4 | 2.7 | 101.7 | 2.5 | 0 | 2.9 | 70.1 |
| Grazer | 0.1 | 5.5 | 1.7 | 27.5 | 2.3 | 0 | 2.7 | 20.3 |
| Gregory | 0.8 | 44.3 | 3.1 | 165.2 | 5.1 | 4.9 | 4.6 | 231.0 |
| Janz CL | 0.8 | 21.1 | 2.6 | 121.2 | 5.2 | 0.3 | 4.8 | 87.0 |
| Livingstone | 1 | 11.6 | 2.5 | 149.3 | 5.4 | 3.8 | 4.4 | 188.9 |
| Mace | 1.2 | 10.2 | 2.7 | 314.1 | 5.6 | 1.2 | 4 | 321.2 |
| Scout | 1.2 | 1.8 | 3.4 | 158.8 | 5.5 | 2.2 | 5.3 | 164.9 |
| Suntop | 1.2 | 16.3 | 3.3 | 132.4 | 5.4 | 2.6 | 4.8 | 157.0 |
| Trojan | 1.1 | 4.9 | 3.5 | 215.1 | 5.7 | 4.3 | 5.2 | 221.3 |
| Wedgetail | 0.1 | 9.4 | 3.4 | 139.2 | 4.5 | 0.2 | 5.1 | 209.7 |
| Whistler | 0.4 | 18.5 | 3.4 | 173.6 | 4.5 | 2.4 | 5 | 197.3 |
| Mean | 0.8 | 14.4 | 3 | 148.4 | 4.9 | 1.8 | 4.5 | 158.9 |
| LSD | 0.56 | 10.7 | 0.76 | 15.1 | 0.32 | 1.4 | 0.82 | 135.5 |
| ap value | ns | ** | ns | *** | *** | ** | *** | ** |
© 2020 by the authors. Licensee MDPI, Basel, Switzerland. This article is an open access article distributed under the terms and conditions of the Creative Commons Attribution (CC BY) license (http://creativecommons.org/licenses/by/4.0/).
Share and Cite
Mwendwa, J.M.; Brown, W.B.; Weidenhamer, J.D.; Weston, P.A.; Quinn, J.C.; Wu, H.; Weston, L.A. Evaluation of Commercial Wheat Cultivars for Canopy Architecture, Early Vigour, Weed Suppression, and Yield. Agronomy 2020, 10, 983. https://doi.org/10.3390/agronomy10070983
Mwendwa JM, Brown WB, Weidenhamer JD, Weston PA, Quinn JC, Wu H, Weston LA. Evaluation of Commercial Wheat Cultivars for Canopy Architecture, Early Vigour, Weed Suppression, and Yield. Agronomy. 2020; 10(7):983. https://doi.org/10.3390/agronomy10070983
Chicago/Turabian StyleMwendwa, James M., William B. Brown, Jeffrey D. Weidenhamer, Paul A. Weston, Jane C. Quinn, Hanwen Wu, and Leslie A. Weston. 2020. "Evaluation of Commercial Wheat Cultivars for Canopy Architecture, Early Vigour, Weed Suppression, and Yield" Agronomy 10, no. 7: 983. https://doi.org/10.3390/agronomy10070983
APA StyleMwendwa, J. M., Brown, W. B., Weidenhamer, J. D., Weston, P. A., Quinn, J. C., Wu, H., & Weston, L. A. (2020). Evaluation of Commercial Wheat Cultivars for Canopy Architecture, Early Vigour, Weed Suppression, and Yield. Agronomy, 10(7), 983. https://doi.org/10.3390/agronomy10070983

