A Nitrification Inhibitor, Nitrapyrin, Reduces Potential Nitrate Leaching through Soil Columns Treated with Animal Slurries and Anaerobic Digestate
Abstract
1. Introduction
2. Materials and Methods
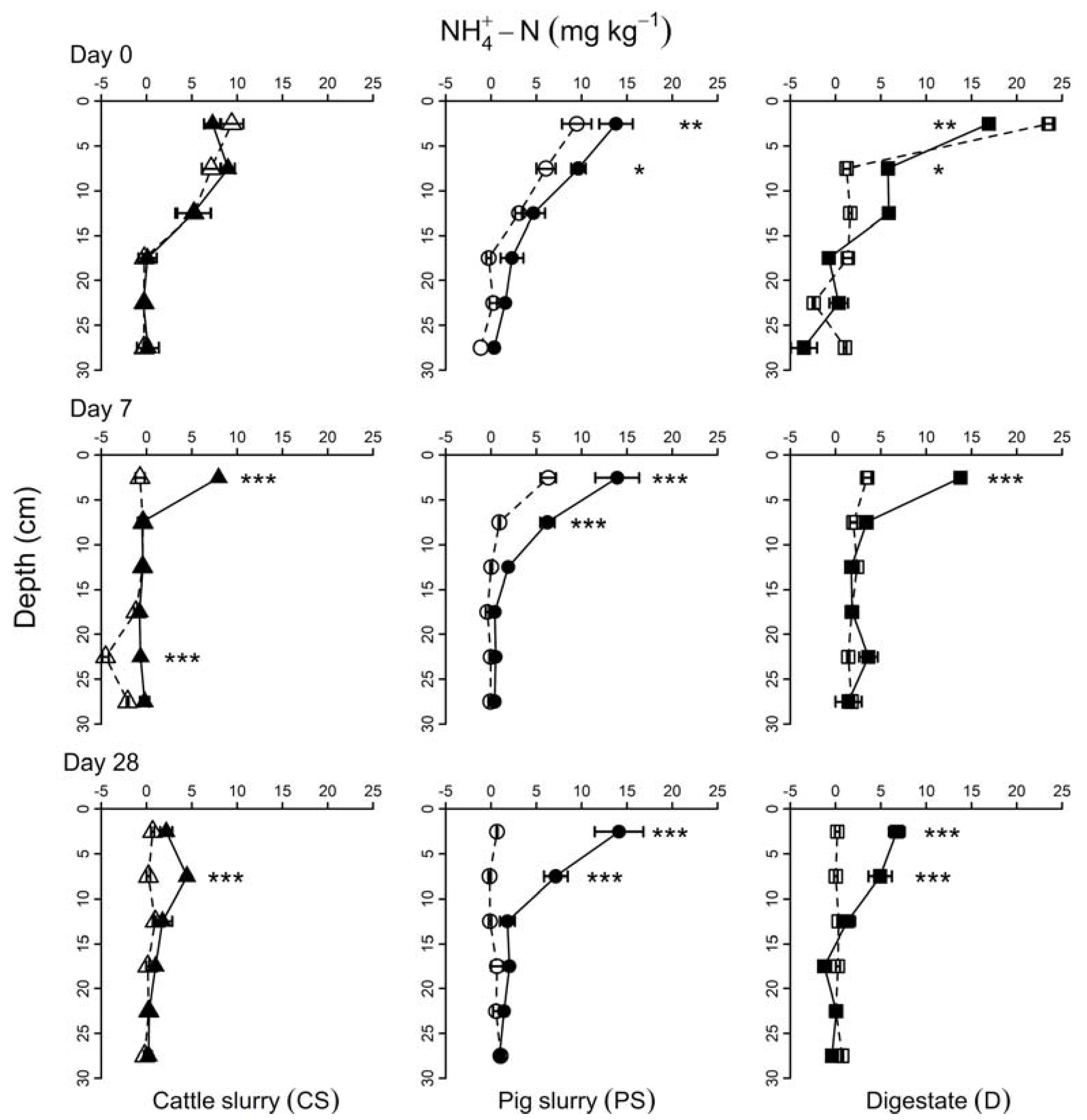
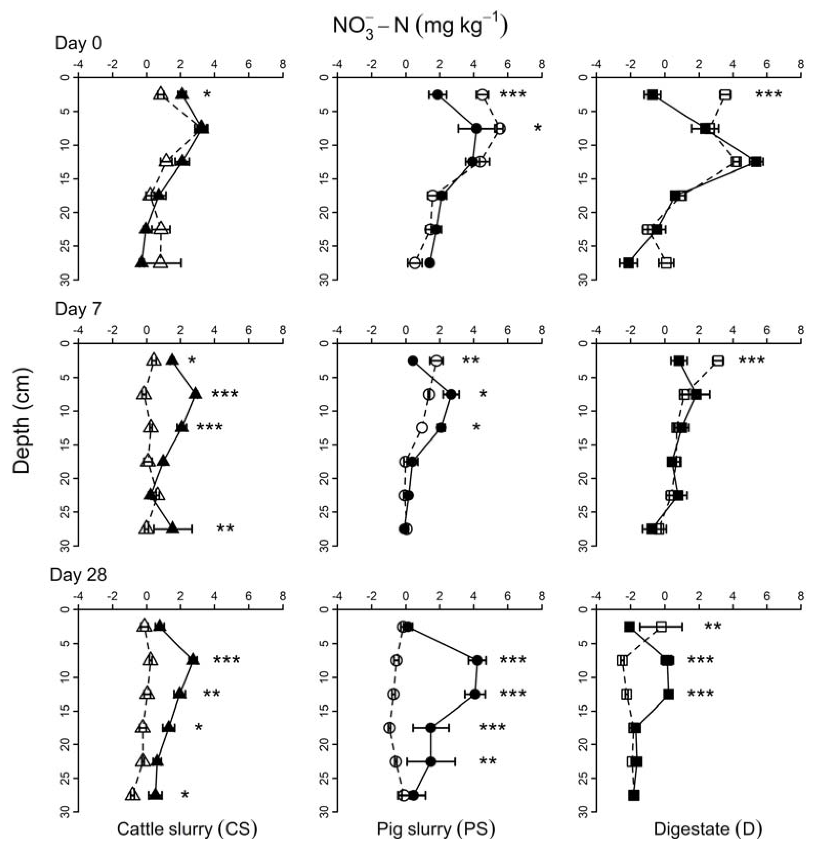
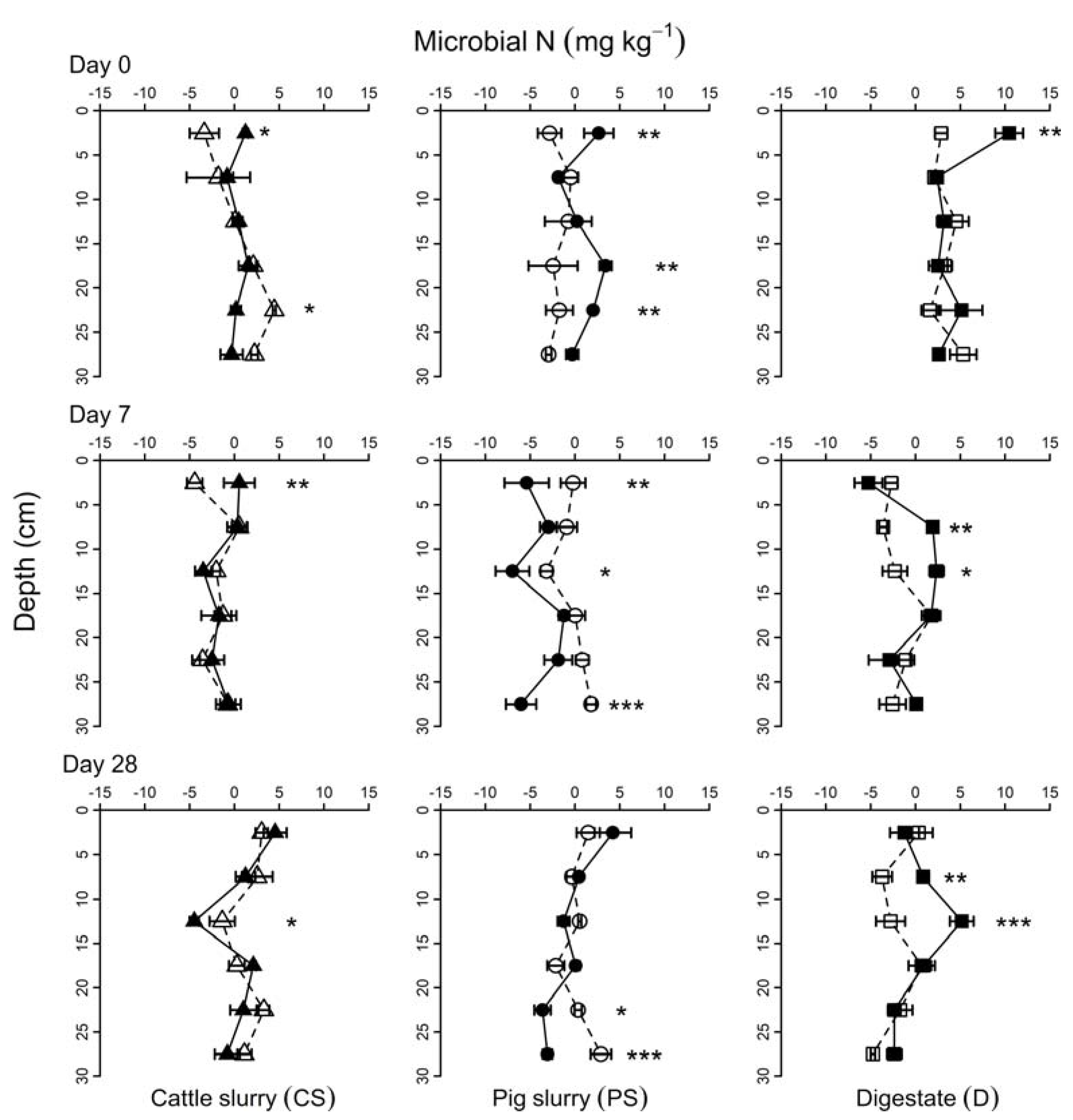
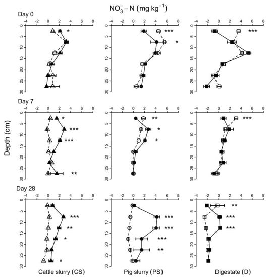
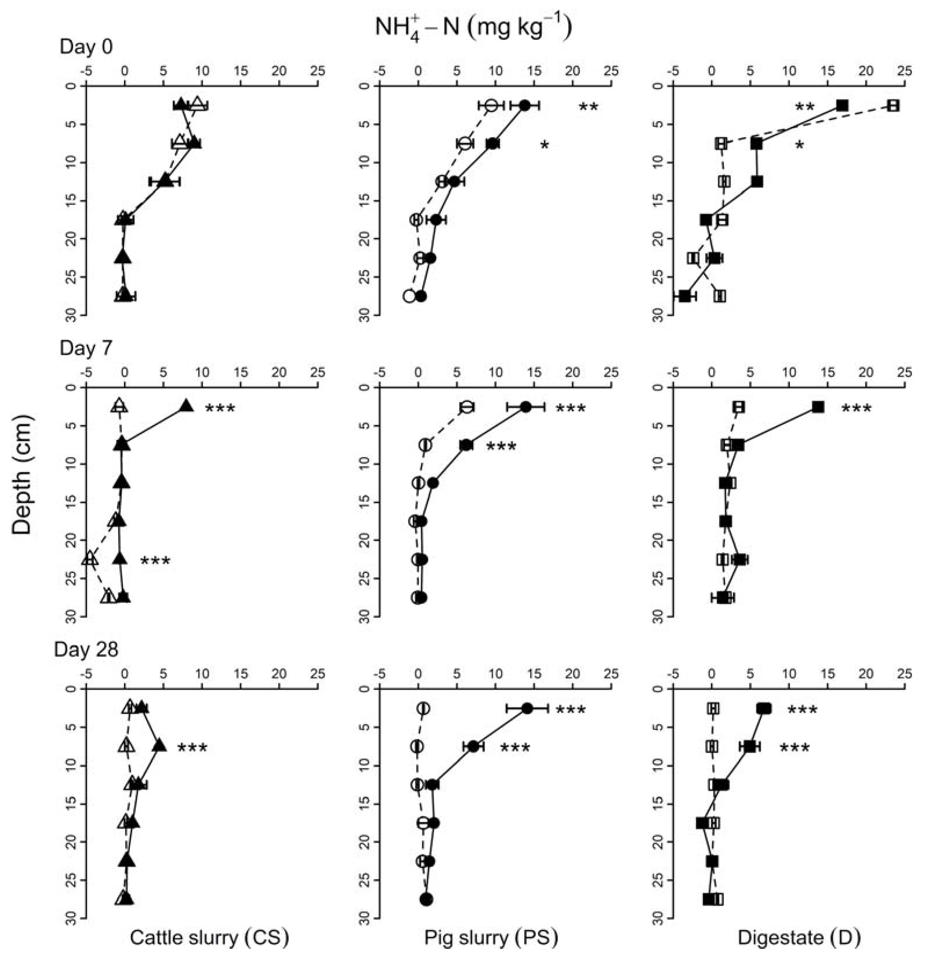
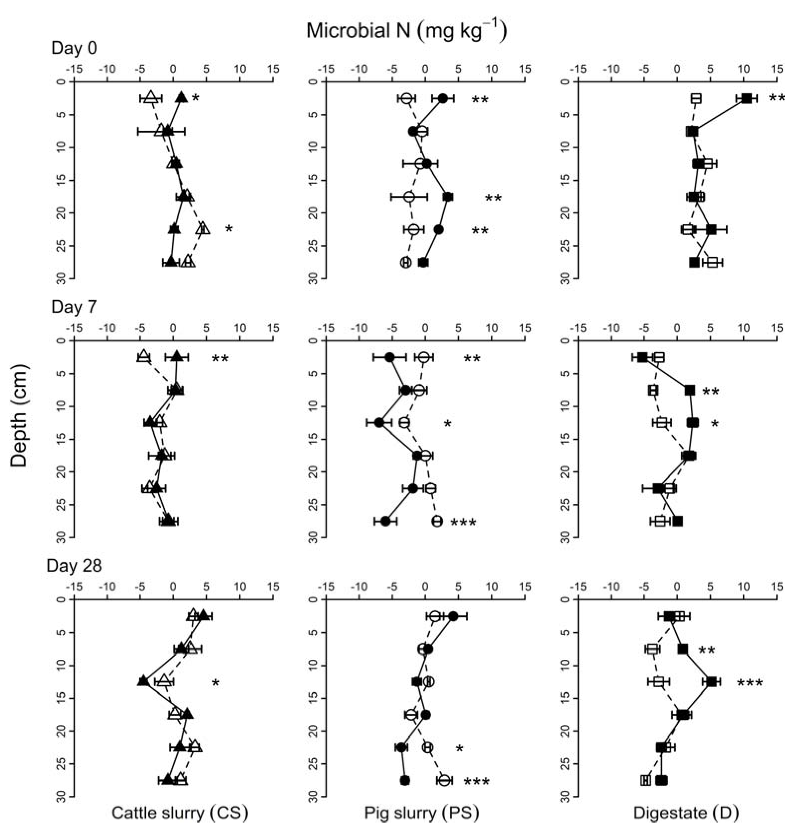
3. Results
4. Discussion
5. Conclusions
Supplementary Materials
Author Contributions
Funding
Acknowledgments
Conflicts of Interest
References
- Cameron, K.C.; Di, H.J.; Moir, J.L. Nitrogen losses from the soil/plant system: A review. Ann. Appl. Biol. 2013, 162, 145–173. [Google Scholar] [CrossRef]
- Valentinuzzi, F.; Cavani, L.; Porfido, C.; Terzano, R.; Pii, Y.; Cesco, S.; Mimmo, T. The fertilising potential of manure-based biogas fermentation residues: Pelleted vs. liquid digestate. Heliyon 2020, 6, e03325. [Google Scholar] [CrossRef] [PubMed]
- Calderón, F.J.; McCarty, G.W.; Reeves, J.B. Nitrapyrin delays denitrification on manured soils. Soil Sci. 2005, 170, 350–359. [Google Scholar] [CrossRef]
- Niu, Y.; Luo, J.; Liu, D.; Müller, C.; Zaman, M.; Lindsey, S.; Ding, W. Effect of biochar and nitrapyrin on nitrous oxide and nitric oxide emissions from a sandy loam soil cropped to maize. Biol. Fert. Soils 2018, 54, 645–658. [Google Scholar] [CrossRef]
- Abbasi, M.K.; Shah, Z.; Adams, W.A. Effect of the nitrification inhibitor nitrapyrin on the fate of nitrogen applied to a soil incubated under laboratory conditions. J. Plant Nutr. Soil Sci. 2003, 166, 513–518. [Google Scholar] [CrossRef]
- Chalk, P.M.; Victoria, R.L.; Muraoka, T.; Piccolo, M.C. Effect of a nitrification inhibitor on immobilization and mineralization of soil and fertilizer nitrogen. Soil Biol. Biochem. 1990, 22, 533–538. [Google Scholar] [CrossRef]
- Chen, D.; Suter, H.C.; Islam, A.; Edis, R. Influence of nitrification inhibitors on nitrification and nitrous oxide (N2O) emission from a clay loam soil fertilized with urea. Soil Biol. Biochem. 2010, 42, 660–664. [Google Scholar] [CrossRef]
- Schmidt, E.L. Nitrification in soils. In Nitrogen in Agricultural Soil; Stevenson, F.J., Ed.; American Society of Agronomy: Madison, WI, USA, 1982; Volume 22, pp. 253–267. [Google Scholar]
- Shepherd, M.A. Factors affecting nitrate leaching from sewage sludges applied to a sandy soil in arable agriculture. Agric. Ecosys. Environ. 1996, 58, 171–185. [Google Scholar] [CrossRef]
- Goring, C.A.I. Control of nitrification by 2-chloro-6-(trichloromethyl) pyridine. Soil Sci. 1962, 93, 211–218. [Google Scholar] [CrossRef]
- Wolt, J.D. Nitrapyrin behavior in soils and environmental considerations. J. Environ. Qual. 2000, 29, 367–379. [Google Scholar] [CrossRef]
- Roberts, G.; Penwell, A.; Peurou, F.; Sharpe, A. The effect of soil moisture on nitrogen transformation using OECD test guideline 216. App. Soil Ecol. 2010, 46, 478–482. [Google Scholar] [CrossRef]
- Luo, L.; Meng, H.; Gu, J.D. Microbial extracellular enzymes in biogeochemical cycling of ecosystems. J. Environ. Manag. 2017, 197, 539–549. [Google Scholar] [CrossRef] [PubMed]
- USDA Soil Taxonomy. A Basic System of Soil Classification for Making and Interpreting Soil Surveys, 2nd ed.; USDA Soil Taxonomy: Washington, DC, USA, 2006.
- Sparks, D.L.; Page, A.L.; Helmke, P.A.; Loeppert, R.H.; Soltanpour, P.N.; Tabatabai, M.A.; Johnston, C.T.; Sumner, M.E. Methods of Soil Analysis; Part 3—Chemical Methods; Soil Science Society of America Inc.: Madison, WI, USA, 1996. [Google Scholar]
- OECD. Guideline for the Testing of Chemicals No. 312– Leaching in Soil Columns; Organization for Economic Cooperation and Development: Paris, France, 2004. [Google Scholar]
- ISO 14238. Soil Quality—Biological Methods—Determination of Nitrogen Mineralization and Nitrification in Soils and the Influence of Chemicals on These Processes; International Organization for Standardization: Geneva, Switzerland, 2012. [Google Scholar]
- ISO 14256-2. Soil Quality—Determination of Nitrate, Nitrite and Ammonium in Field-Moist Soils by Extraction with Potassium Chloride Solution—Part 2: Automated Method with Segmented Flow Analysis; International Organization for Standardization: Geneva, Switzerland, 2005. [Google Scholar]
- Brookes, P.C.; Landman, A.; Pruden, G.; Jenkinson, D.S. Chloroform fumigation and the release of soil N: A rapid direct extraction method to measure microbial biomass in soil. Soil Biol. Biochem. 1985, 17, 837–842. [Google Scholar] [CrossRef]
- R Core Team. R: A Language and Environment for Statistical Computing; R Foundation for Statistical Computing: Vienna, Austria, 2020. [Google Scholar]
- Bundy, L.G.; Bremner, J.M. Inhibition of nitrification in soils. Soil Sci. Soc. Am. 1973, 37, 396–398. [Google Scholar] [CrossRef]
- Subbarao, G.V.; Sahrawat, K.L.; Nakahara, K.; Ishikawa, T.; Kishii, M. Biological nitrification inhibition—A novel strategy to regulate nitrification in agricultural systems. In Advances in Agronomy; Sparks, D., Ed.; Burlington: Burlington, NJ, USA, 2012; pp. 249–302. [Google Scholar]
- Zerulla, W.; Kummer, K.F.; Wissemeier, A.; Rädle, M. The Development and Testing of a New Nitrification Inhibitor; The International Fertiliser Society: York, UK, 2000; pp. 1–23. [Google Scholar]
- Luo, Y.; Benke, M.B.; Hao, X. Nutrient Uptake and Leaching from Soil Amended with Cattle Manure and Nitrapyrin. Commun. Soil Sci. Plant Anal. 2017, 48, 1438–1454. [Google Scholar]
- Meijide, A.; Díez, J.A.; Sánchez-Martín, L.; López-Fernández, S.; Vallejo, A. Nitrogen oxide emissions from an irrigated maize crop amended with treated pig slurries and composts in a Mediterranean climate. Agric. Ecosys. Environ. 2007, 121, 383–394. [Google Scholar] [CrossRef]



| Parameter | Results |
|---|---|
| Sand (g kg−1) | 750 |
| Silt (g kg−1) | 140 |
| Clay (g kg−1) | 110 |
| Reaction in water (pH(H2O)-unit) | 8.1 |
| Total carbonates (CaCO3, g kg−1) | 620 |
| Cation exchange capacity (CEC, cmol(+) kg−1) | 18.0 |
| Total nitrogen (N, g kg−1) | 0.82 |
| Total organic carbon (C, g kg−1) | 12.7 |
| C:N ratio | 15.5 |
| Available (Olsen-P) phosphorus (P, g kg−1) | 50 |
| Parameter | Cattle Slurry (CS) | Pig Slurry (PS) | Digestate (D) |
|---|---|---|---|
| Water content (g kg−1) | 958 | 948 | 950 |
| Total solids (g kg−1) | 42.5 | 51.6 | 50.5 |
| Volatile solids (g kg−1) | 30.2 | 29.4 | 34.5 |
| Ash content (g kg−1) | 12.3 | 22.2 | 16.0 |
| Reaction in water (pH(H2O)-unit) | 8.07 | 8.04 | 8.42 |
| Electrical Conductivity (EC, dS m−1) | 3.78 | 1.01 | 3.20 |
| Total organic Carbon (TOC, g kg−1) | 16.6 | 16.9 | 19.7 |
| Total Kjeldahl Nitrogen (N, g kg−1) | 2.60 | 3.19 | 4.29 |
| C:N ratio | 6.37 | 5.29 | 4.60 |
| NH4+-N (N, g kg−1) | 1.11 | 0.74 | 1.47 |
| NO3−-N (N, g kg−1) | <0.01 | <0.01 | <0.01 |
| Time 0 | Time 28 | ||||||
| Effect | F | P | P | P | |||
| T | 2.70 | 0.11 | ns | <0.001 | *** | <0.001 | *** |
| N | 8.89 | 0.011 | * | <0.001 | *** | <0.001 | *** |
| D | 202 | <0.001 | *** | <0.001 | *** | <0.001 | *** |
| T × N | 9.03 | 0.004 | ** | 0.664 | ns | <0.001 | *** |
| T × D | 22.8 | <0.001 | *** | <0.001 | *** | <0.001 | *** |
| N × D | 4.65 | 0.001 | ** | <0.001 | *** | <0.001 | *** |
| T × N × D | 4.06 | <0.001 | *** | 0.002 | ** | <0.001 | *** |
| Time 0 | Time 28 | ||||||
| Effect | F | P | P | P | |||
| T | 43.1 | <0.001 | *** | 0.933 | ns | <0.001 | *** |
| N | 5.46 | 0.038 | * | 0.006 | ** | <0.001 | *** |
| D | 77.2 | <0.001 | *** | <0.001 | *** | <0.001 | *** |
| T × N | 2.74 | 0.105 | ns | 0.001 | ** | 0.025 | * |
| T × D | 8.99 | <0.001 | *** | <0.001 | *** | 0.054 | ns |
| N × D | 6.98 | <0.001 | *** | <0.001 | *** | <0.001 | *** |
| T × N × D | 6.28 | <0.001 | *** | 0.013 | ** | 0.012 | ** |
| Time 0 | Time 28 | ||||||
| Effect | F | P | P | P | |||
| T | 45.1 | <0.001 | *** | 0.370 | ns | 0.013 | ** |
| N | 11.8 | 0.005 | ** | 0.378 | ns | 0.844 | ns |
| D | 2.61 | 0.033 | * | <0.001 | *** | <0.001 | *** |
| T × N | 5.72 | 0.018 | * | 0.011 | ** | 0.022 | * |
| T × D | 2.76 | 0.007 | ** | <0.001 | *** | <0.001 | *** |
| N × D | 7.02 | <0.001 | *** | 0.307 | ns | 0.003 | ** |
| T × N × D | 2.70 | 0.008 | ** | <0.001 | *** | <0.001 | *** |
| Incubation (Days) | Leachable Nitrate N (mg NO3−-N kg−1) | ||||||||
| CS | CSN | PS | PSN | D | DN | ||||
| 0 | 0.10 | 0.51 | ns | 1.64 | 4.25 | ** | −1.85 | 2.83 | * |
| 7 | 5.88 | 1.30 | * | 6.18 | 1.02 | ** | 4.54 | −3.25 | ** |
| 28 | 4.16 | 4.66 | ns | 8.85 | 4.72 | ** | 7.08 | 1.52 | * |
| Leachable Ammonium N (mg NH4+-N kg−1) | |||||||||
| CS | CSN | PS | PSN | D | DN | ||||
| 0 | −0.12 | −0.02 | * | −0.01 | −0.02 | ns | −0.03 | 0.13 | ns |
| 7 | 0.04 | −0.03 | ** | −0.01 | 0.002 | ns | 0.02 | 0.002 | ns |
| 28 | −0.01 | 0.07 | * | 0.31 | −0.11 | *** | −0.02 | 0.01 | ns |
© 2020 by the authors. Licensee MDPI, Basel, Switzerland. This article is an open access article distributed under the terms and conditions of the Creative Commons Attribution (CC BY) license (http://creativecommons.org/licenses/by/4.0/).
Share and Cite
Giacometti, C.; Mazzon, M.; Cavani, L.; Ciavatta, C.; Marzadori, C. A Nitrification Inhibitor, Nitrapyrin, Reduces Potential Nitrate Leaching through Soil Columns Treated with Animal Slurries and Anaerobic Digestate. Agronomy 2020, 10, 865. https://doi.org/10.3390/agronomy10060865
Giacometti C, Mazzon M, Cavani L, Ciavatta C, Marzadori C. A Nitrification Inhibitor, Nitrapyrin, Reduces Potential Nitrate Leaching through Soil Columns Treated with Animal Slurries and Anaerobic Digestate. Agronomy. 2020; 10(6):865. https://doi.org/10.3390/agronomy10060865
Chicago/Turabian StyleGiacometti, Caterina, Martina Mazzon, Luciano Cavani, Claudio Ciavatta, and Claudio Marzadori. 2020. "A Nitrification Inhibitor, Nitrapyrin, Reduces Potential Nitrate Leaching through Soil Columns Treated with Animal Slurries and Anaerobic Digestate" Agronomy 10, no. 6: 865. https://doi.org/10.3390/agronomy10060865
APA StyleGiacometti, C., Mazzon, M., Cavani, L., Ciavatta, C., & Marzadori, C. (2020). A Nitrification Inhibitor, Nitrapyrin, Reduces Potential Nitrate Leaching through Soil Columns Treated with Animal Slurries and Anaerobic Digestate. Agronomy, 10(6), 865. https://doi.org/10.3390/agronomy10060865

