Enhancing Cation Exchange Capacity of Weathered Soils Using Biochar: Feedstock, Pyrolysis Conditions and Addition Rate
Abstract
1. Introduction
2. Materials and Methods
2.1. Biochar and Soil Characterization
2.2. Laboratory Incubation and Experimental Design
2.3. Soil Analysis after Incubation
2.4. Statistical Analysis
3. Results and Discussion
3.1. Biochar Properties
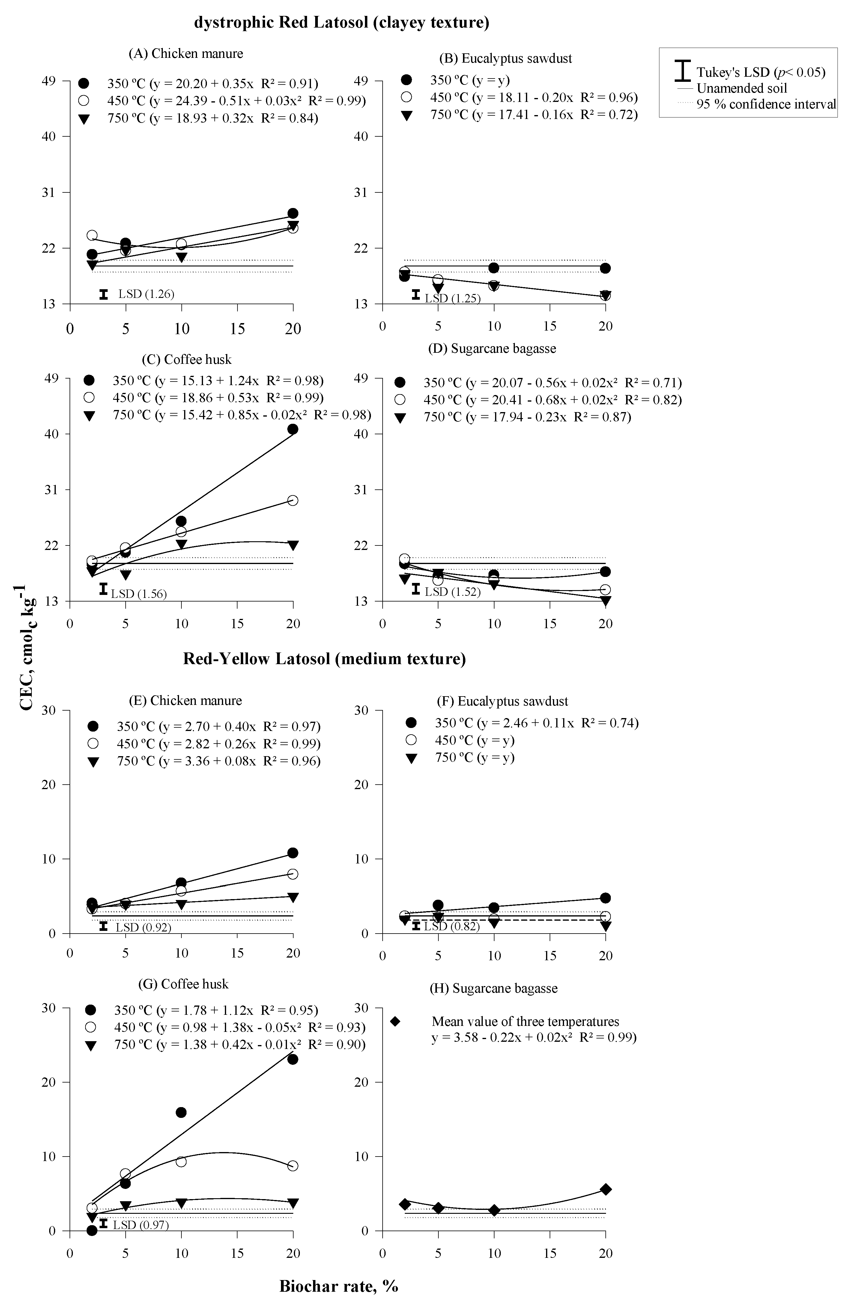
3.2. Soil Cation Exchange Capacity
3.3. Soil C
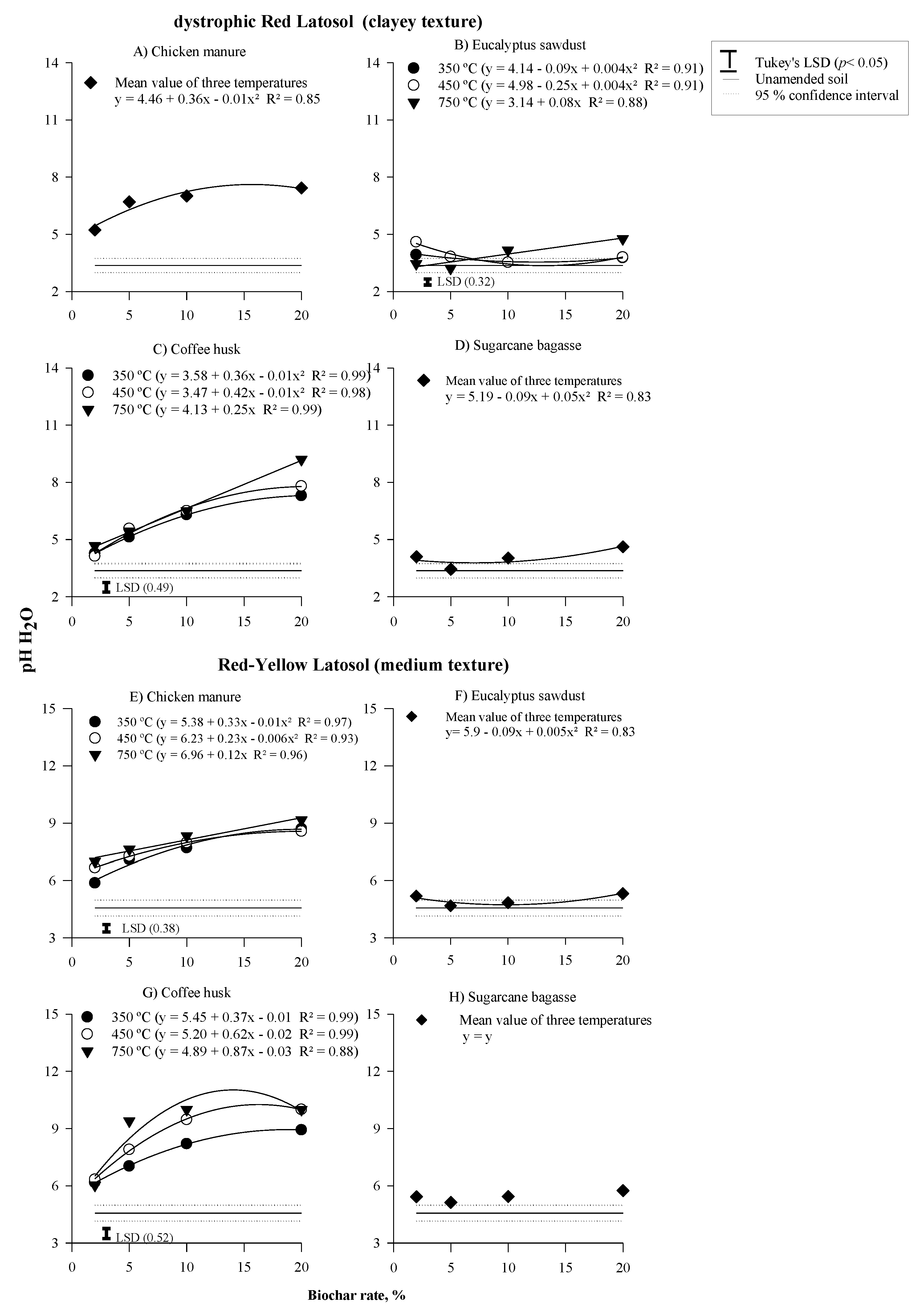
3.4. Soil pH
3.5. Modelling the Effects of Biochar on Soil CEC
3.6. Agronomic and Environmental Implications and Future Guidelines
4. Conclusions
Supplementary Materials
Author Contributions
Funding
Acknowledgments
Conflicts of Interest
References
- Lopes, A.S.; Guilherme, L.R.G. A career perspective on soil management in the cerrado region of Brazil. Adv. Agron. 2016, 137, 1–72. [Google Scholar] [CrossRef]
- Lopes, A.S. A Survey of the Fertility Status of Soils under “Cerrado” Vegetation in Brazil. Master’s Thesis, Department of Soil Science, North Carolina State University, Raleigh, NC, USA, 1975. [Google Scholar]
- Madari, B.E.; Cunha, T.J.F.; Novotny, E.H.; Milori, D.M.B.P.; Martin Neto, L.; Benites, V.M.; Coelho, M.R.; Santos, G.A. Organic matter of Amazonian antropical soils (Terra Preta de Índio): Its characteristics and role in soil fertility sustainability. In As Terras Pretas de Índio da Amazônia: Sua Caracterização e Uso Deste Conhecimento na Criação de Novas Áreas; Teixeira, W.G., Kern, D.C., Madari, B.E., Lima, H.N., Woods, W.I., Eds.; Embrapa Amazônia Ocidental: Manaus, Brazil, 2009; pp. 172–188. [Google Scholar]
- Mielniczuk, J.; Bayer, C.; Vezzani, F.M.; Lovato, T.; Fernandes, F.F.; Debarba, L. Soil and crop management and their relationship with carbon and soil nitrogen stocks (in Portuguese). In Tópicos em Ciência do Solo; Curi, N., Marques, J.J., Guilherme, L.R.G., Lima, J.M., Lopes, S., Alvarez, V.V.H., Eds.; Sociedade Brasileira de Ciência do Solo: Viçosa, Brazil, 2003; pp. 209–248. [Google Scholar]
- Li, Z.; Delvaux, B. Phytolith-rich biochar: A potential Si fertilizer in desilicated soils. GCB Bioenergy 2019, 11, 1264–1282. [Google Scholar] [CrossRef]
- Li, Z.; Delvaux, B.; Yans, J.; Dufour, N.; Houben, D.; Cornelis, J.-T. Phytolith-rich biochar increases cotton biomass and silicon-mineralomass in a highly weathered soil. J. Plant Nutr. Soil Sci. 2018, 181, 537–546. [Google Scholar] [CrossRef]
- Novotny, E.H.; Maia, C.M.B.F.; Carvalho, M.T.M.; Madari, B.E. Biochar: Pyrogenic carbon for agricultural use—A critical review. Rev. Bras. Ciênc. Solo 2015, 39, 321–344. [Google Scholar] [CrossRef]
- Glaser, B.; Lehmann, J.; Zech, W. Ameliorating physical and chemical properties of highly weathered soils in the tropics with charcoal—A review. Biol. Fertil. Soils 2002, 35, 219–230. [Google Scholar] [CrossRef]
- Cheng, C.-H.; Lehmann, J.; Thies, J.E.; Burton, S.D. Stability of black carbon in soils across a climatic gradient. J. Geophys. Res. Biogeosci. 2008, 113, 1–10. [Google Scholar] [CrossRef]
- Keith, A.; Singh, B.; Singh, B.P. Interactive priming of biochar and labile organic matter mineralization in a smectite-rich soil. Environ. Sci. Technol. 2011, 45, 9611–9618. [Google Scholar] [CrossRef]
- Nguyen, B.T.; Lehmann, J.; Hockaday, W.C.; Joseph, S.; Masiello, C.A. Temperature sensitivity of black carbon decomposition and oxidation. Environ. Sci. Technol. 2010, 44, 3324–3331. [Google Scholar] [CrossRef]
- Lehmann, J.; Joseph, S. Biochar for Environmental Management: Science and Technology; Routledge: London, UK, 2015; p. 976. [Google Scholar]
- Glaser, B.; Haumaier, L.; Guggenberger, G.; Zech, W. The ‘Terra Preta’ phenomenon—a model for sustainable agriculture in the humid tropics. Naturwissenschaften 2001, 88, 37–41. [Google Scholar] [CrossRef]
- Glaser, B.; Birk, J.J. State of the scientific knowledge on properties and genesis of Anthropogenic Dark Earths in Central Amazonia (terra preta de Índio). Geochim. Cosmochim. Acta 2012, 82, 39–51. [Google Scholar] [CrossRef]
- Mia, S.; Dijkstra, F.A.; Singh, B. Long-term aging of biochar: A molecular understanding with agricultural and environmental implications. Adv. Agron. 2017, 141, 1–51. [Google Scholar] [CrossRef]
- Atkinson, C.J.; Fitzgerald, J.D.; Hipps, N.A. Potential mechanisms for achieving agricultural benefits from biochar application to temperate soils: A review. Plant Soil 2010, 337, 1–18. [Google Scholar] [CrossRef]
- Chen, B.; Zhou, D.; Zhu, L. Transitional adsorption and partition of nonpolar and polar aromatic contaminants by biochars of pine needles with different pyrolytic temperatures. Environ. Sci. Technol. 2008, 42, 5137–5143. [Google Scholar] [CrossRef] [PubMed]
- Xu, G.; Sun, J.; Shao, H.; Chang, S.X. Biochar had effects on phosphorus sorption and desorption in three soils with differing acidity. Ecol. Eng. 2014, 62, 54–60. [Google Scholar] [CrossRef]
- Mia, S.; Feike, A.; Dijkstra, F.A.; Singh, B. Aging Induced Changes in Biochar’s Functionality and Adsorption Behaviour for Phosphate and Ammonium. Environ. Sci. Technol. 2017, 51, 8359–8367. [Google Scholar] [CrossRef]
- Ahmad, M.; Lee, S.S.; Dou, X.; Mohan, D.; Sung, J.-K.; Yang, J.E.; Ok, Y.S. Effects of pyrolysis temperature on soybean stover- and peanut shell-derived biochar properties and TCE adsorption in water. Bioresour. Technol. 2012, 118, 536–544. [Google Scholar] [CrossRef]
- Keiluweit, M.; Nico, P.S.; Johnson, M.G.; Kleber, M. Dynamic molecular structure of plant biomass-derived black carbon (biochar). Environ. Sci. Technol. 2010, 44, 1247–1253. [Google Scholar] [CrossRef]
- Tomczyk, A.; Sokolowska, Z.; Boguta, P. Biochar physicochemical properties: Pyrolysis temperature and feedstock kind effects. Rev. Environ. Sci. Bio/Technol. 2020, 19, 191–215. [Google Scholar] [CrossRef]
- Cantrell, K.B.; Hunt, P.G.; Uchimiya, M.; Novak, J.M.; Ro, K.S. Impact of pyrolysis temperature and manure source on physicochemical characteristics of biochar. Bioresour. Technol. 2012, 107, 419–428. [Google Scholar] [CrossRef]
- Ippolito, J.A.; Laird, D.A.; Busscher, W.J. Environmental benefits of biochar. J. Environ. Qual. 2012, 41, 967–972. [Google Scholar] [CrossRef]
- Jindo, K.; Mizumoto, H.; Sawada, Y.; Sanchez-Monedero, M.A.; Sonoki, T. Physical and chemical characterization of biochars derived from different agricultural residues. Biogeosciences 2014, 11, 6613–6621. [Google Scholar] [CrossRef]
- Lehmann, J.; Gaunt, J.; Rondon, M. Biochar sequestration in terrestrial ecosystems—A review. Mitig. Adapt. Strateg. Glob. Chang. 2006, 11, 403–427. [Google Scholar] [CrossRef]
- Banik, C.; Lawrinenko, M.; Bakshi, S.; Laird, D.A. Impact of pyrolysis temperature and feedsctock on surface charge and functional group chemistry of biochars. J. Environ. Qual. 2018, 47, 452–461. [Google Scholar] [CrossRef]
- Domingues, R.R.; Trugilho, P.F.; Silva, C.A.; Melo, I.C.N.A.; Melo, L.C.A.; Magriotis, Z.M.; Sánchez-Monedero, M.A. Properties of biochar derived from wood and high-nutrient biomasses with the aim of agronomic and environmental benefits. PLoS ONE 2017, 12, e0176884. [Google Scholar] [CrossRef] [PubMed]
- Adinata, D.; Daud, W.M.A.W.; Aroua, M.K. Preparation and characterization of activated carbon from palm shell by chemical activation with K2CO3. Bioresour. Technol. 2007, 98, 145–149. [Google Scholar] [CrossRef]
- Lee, J.W.; Kidder, M.; Evans, B.R.; Paik, S.; Buchanan, A.C.; Garten, C.T.; Brown, R.C. Characterization of biochars produced from corn stovers for soil amendment. Environ. Sci. Technol. 2010, 44, 7970–7974. [Google Scholar] [CrossRef]
- Luo, Y.; Durenkamp, M.; De Nobili, M.; Lin, Q.; Brookes, P.C. Short-term soil priming effects and the mineralisation of biochar following its incorporation to soils of different pH. Soil Biol. Biochem. 2011, 43, 2304–2314. [Google Scholar] [CrossRef]
- Melo, L.C.A.; Coscione, A.R.; Abreu, C.A.; Puga, A.P. Influence of pyrolysis temperature on cadmium and zinc sorption capacity of sugar cane straw–derived biochar. BioResources 2013, 8, 4992–5004. [Google Scholar] [CrossRef]
- Song, W.; Guo, M. Quality variations of poultry litter biochar generated at different pyrolysis temperatures. J. Anal. Appl. Pyrolysis. 2012, 94, 138–145. [Google Scholar] [CrossRef]
- Heitkötter, J.; Marschner, B. Interactive effects of biochar ageing in soils related to feedstock, pyrolysis temperature, and historic charcoal production. Geoderma 2015, 245, 56–64. [Google Scholar] [CrossRef]
- Silber, A.; Levkovitch, I.; Graber, E.R. pH-dependent mineral release and surface properties of cornstraw biochar: Agronomic implications. Environ. Sci. Technol. 2010, 44, 9318–9323. [Google Scholar] [CrossRef] [PubMed]
- Jien, S.-H.; Wang, C.-S. Effects of biochar on soil properties and erosion potential in a highly weathered soil. Catena 2013, 110, 225–233. [Google Scholar] [CrossRef]
- Dume, B.; Mosissa, T.; Nebiyu, A. Effect of biochar on soil properties and lead (Pb) availability in a military camp in South West Ethiopia. Afr. J. Environ. Sci. Technol. 2016, 10, 77–85. [Google Scholar] [CrossRef]
- Yuan, J.-H.; Xu, R.-K. Effects of biochars generated from crop residues on chemical properties of acid soils from tropical and subtropical China. Soil Res. 2012, 50, 570–578. [Google Scholar] [CrossRef]
- Yuan, J.-H.; Xu, R.-K.; Qian, W.; Wang, R.-H. Comparison of the ameliorating effects on an acidic Ultisol between four crop straws and their biochars. J. Soils Sediments 2011, 11, 741–750. [Google Scholar] [CrossRef]
- Gai, X.; Wang, H.; Liu, J.; Zhai, L.; Liu, S.; Ren, T.; Liu, H. Effects of feedstock and pyrolysis temperature on biochar adsorption of ammonium and nitrate. PLoS ONE 2014, 9, e113888. [Google Scholar] [CrossRef]
- Yuan, J.-H.; Xu, R.-K.; Zhang, H. The forms of alkalis in the biochar produced from crop residues at different temperatures. Bioresour. Technol. 2011, 102, 3488–3497. [Google Scholar] [CrossRef]
- ASTM. Standard Method for Chemical Analysis of Wood Charcoal. D1762–84; American Society for Testing and Materials (ASTM), International: West Conshohocken, PA, USA, 1990. [Google Scholar]
- Gaskin, J.W.; Steiner, C.; Harris, K.; Das, C.; Bibens, B. Effect of low temperature pyrolysis conditions on biochar for agricultural use. Trans. ASABE 2008, 51, 2061–2069. [Google Scholar] [CrossRef]
- EMBRAPA (Empresa Brasileira de Pesquisa Agropecuária). Brazilian Soil Classification System; Embrapa Solos: Rio de Janeiro, Brazil, 2006. [Google Scholar]
- USDA. Keys to Soil Taxonomy. Soil Conservation Service, USDA. 1998. Available online: https://www.nrcs.usda.gov/Internet/FSE_DOCUMENTS/nrcs142p2_051241.pdf (accessed on 2 February 2017).
- Silva, F.C. Manual of Chemical Analysis of Soils, Plants and Fertilizers; Embrapa Comunicação para Transferência de Tecnologia: Brasília, Brazil, 1999; p. 370. [Google Scholar]
- Ferreira, D.F. Sisvar: Um sistema computacional de análise estatística. Ciênc. Agrotec. 2011, 35, 1039–1042. [Google Scholar] [CrossRef]
- Mašek, O.; Buss, W.; Brownsort, P.; Rovere, M.; Tagliaferro, A.; Zhao, L.; Cao, X.; Xu, G. Potassium doping increases biochar carbon sequestration potential by 45%, facilitating decoupling of carbon sequestration from soil improvement. Sci. Rep. 2019, 9, 5514. [Google Scholar] [CrossRef]
- Wang, Y.; Xiao, X.; Xu, Y.; Chen, B. Environmental Effects of Silicon within Biochar (Sichar) and Carbon–Silicon Coupling Mechanisms: A Critical Review. Environ. Sci. Technol. 2019, 53, 13570–13582. [Google Scholar] [CrossRef] [PubMed]
- Falcão, N.; Moreira, A.; Comenford, N.B. The fertility of the soils of Terra Preta de Índio of Central Amazonia (in Portuguese). In As Terras Pretas de Índio da Amazônia: Sua Caracterização e uso Deste Conhecimento na Criação de Novas Áreas; Teixeira, W.G., Kern, D.C., Madari, B.E., Lima, H.N., Woods, W.I., Eds.; Embrapa Amazônia Ocidental: Manaus, Brazil, 2009; pp. 189–200. [Google Scholar]
- Liang, B.; Lehmann, J.; Solomon, D.; Kinyangi, J.; Grossman, J.; O’Neill, B.; Skjemstad, J.O.; Thies, J.; Luizão, F.J.; Petersen, J.; et al. Black carbon increases cation exchange capacity in soils. Soil Sci. Soc. Am. J. 2006, 70, 1719–1730. [Google Scholar] [CrossRef]
- Wang, Y.; Hu, Y.; Zhao, X.; Wang, S.; Xing, G. Comparisons of Biochar Properties from Wood Material and Crop Residues at Different Temperatures and Residence Times. Energy Fuels 2013, 27, 5890–5899. [Google Scholar] [CrossRef]
- Veiga, T.R.L.A.; Lima, J.T.; Dessimoni, A.L.A.; Pego, M.F.P.; Soares, J.R.; Trugilho, P.F. Different plant biomass characterizations for biochar production. Cerne 2017, 23, 529–536. [Google Scholar] [CrossRef]
- Misra, M.K.; Ragland, K.W.; Baker, A.J. Wood ash composition as a function of furnace temperature. Biomass Bioenergy 1993, 4, 103–116. [Google Scholar] [CrossRef]
- Bruun, E.W.; Hauggaard-Nielsen, H.; Ibrahim, N.; Egsgaard, H.; Ambus, P.; Jensen, P.A.; Dam-Johansen, K. Influence of fast pyrolysis temperature on biochar labile fraction and short-term carbon loss in a loamy soil. Biomass Bioenergy 2011, 35, 1182–1189. [Google Scholar] [CrossRef]
- Novak, J.M.; Lima, I.; Gaskin, J.W.; Steiner, C.; Das, K.C.; Ahmedna, M.; Watts, D.W.; Warren, J.; Schomberg, H. Characterization of designer biochar produced at different temperatures and their effects on a loamy sand. Ann. Environ. Sci. 2009, 3, 195–206. [Google Scholar]
- Zimmerman, A.R. Abiotic and microbial oxidation of laboratory-produced black carbon (biochar). Environ. Sci. Technol. 2010, 44, 1295–1301. [Google Scholar] [CrossRef]
- Shen, D.K.; Gu, S.; Bridgwater, A.V. The thermal performance of the polysaccharides extracted from hardwood: Cellulose and hemicellulose. Carbohydr. Polym. 2010, 82, 39–45. [Google Scholar] [CrossRef]
- Velden, M.; Baeyens, J.; Brems, A.; Janssens, B.; Dewil, R. Fundamentals, kinetics and endothermicity of the biomass pyrolysis reaction. Renew. Energy 2010, 35, 232–242. [Google Scholar] [CrossRef]
- Cheng, C.-H.; Lehmann, J.; Thies, J.E.; Burton, S.D.; Engelhard, M.H. Oxidation of black carbon by biotic and abiotic processes. Org. Geochem. 2006, 37, 1477–1488. [Google Scholar] [CrossRef]
- Xu, P.; Chen, W.; Wang, Q.; Zhu, T.; Wu, M.; Qiao, J.; Chen, Z.; Zhang, J. Effects of transition metal precursors (Co, Fe, Cu, Mn, or Ni) on pyrolyzed carbon supported metal-aminopyrine electrocatalysts for oxygen reduction reaction. RSC Adv. 2015, 5, 6195–6206. [Google Scholar] [CrossRef]
- Enders, A.; Hanley, K.; Whitman, T.; Joseph, S.; Lehmann, J. Characterization of biochars to evaluate recalcitrance and agronomic performance. Bioresour. Technol. 2012, 114, 644–653. [Google Scholar] [CrossRef] [PubMed]
- Schulz, H.; Glaser, B. Effects of biochar compared to organic and inorganic fertilizers on soil quality and plant growth in a greenhouse experiment. J. Plant Nutr. Soil Sci. 2012, 175, 410–422. [Google Scholar] [CrossRef]
- Basso, A.S.; Miguez, F.E.; Laird, D.A.; Horton, R.; Westgate, M. Assessing potential of biochar for increasing water-holding capacity of sandy soils. GCB Bioenergy 2013, 5, 132–143. [Google Scholar] [CrossRef]
- Bruun, S.; Jensen, E.S.; Jensen, L.S. Microbial mineralization and assimilation of black carbon: Dependency on degree of thermal alteration. Org. Geochem. 2008, 39, 839–845. [Google Scholar] [CrossRef]
- Houben, D.; Evrard, L.; Sonnet, P. Mobility, bioavailability and pH-dependent leaching of cadmium, zinc and lead in a contaminated soil amended with biochar. Chemosphere 2013, 92, 1450–1457. [Google Scholar] [CrossRef]
- Wang, L.; Butterly, C.R.; Wang, Y.; Herath, H.M.S.K.; Xi, Y.G.; Xiao, X.J. Effect of crop residue biochar on soil acidity amelioration in strongly acidic tea garden soils. Soil Use Manag. 2014, 30, 119–128. [Google Scholar] [CrossRef]
- Morais, V.A.; Ferreira, G.W.D.; Mello, J.M.; Silva, C.A.; Mello, C.R.; Araújo, E.J.G.; David, H.C.; Silva, A.C.; Scolforo, J.R.S. Spatial distribution of soil carbon stocks in the Cerrado biome of Minas Gerais, Brazil. Catena 2020, 185, 104285. [Google Scholar] [CrossRef]
- Sigua, G.C.; Novak, J.M.; Watts, D.W. Ameliorating soil chemical properties of a hard setting subsoil layer in Coastal Plain USA with different designer biochars. Chemosphere 2016, 142, 168–175. [Google Scholar] [CrossRef]
- Cunha, T.J.F.; Madari, B.E.; Canellas, L.P.; Ribeiro, L.P.; Benites, V.M.; Santos, G.A. Soil organic matter and fertility of anthropogenic dark earths (Terra Preta de Índio) in the Brazilian Amazon basin. Rev. Bras. Ci. Solo 2009, 33, 85–93. [Google Scholar] [CrossRef]
- Hossain, M.K.; Strezov, V.; Chan, K.Y.; Ziolkowski, A.; Nelson, P.F. Influence of pyrolysis temperature on production and nutrient properties of wastewater sludge biochar. J. Environ. Manag. 2011, 92, 223–228. [Google Scholar] [CrossRef]
- Wang, Z.Y.; Chen, L.; Sun, F.L.; Luo, X.X.; Wang, H.F.; Liu, G.C.; Xu, Z.H.; Jiang, Z.X.; Pan, B.; Zheng, H. Effects of adding biochar on the properties and nitrogen bioavailability of an acidic soil. Eur. J. Soil Sci. 2017, 68, 559–572. [Google Scholar] [CrossRef]
- Mukome, F.N.D.; Zhang, X.; Silva, L.C.R.; Six, J.; Parikh, S.J. Use of chemical and physical characteristics to investigate trends in biochar feedstocks. J. Agric. Food Chem. 2013, 61, 2196–2204. [Google Scholar] [CrossRef] [PubMed]
- Díaz-Terán, J.; Nevskaia, D.M.; Fierro, J.L.G.; López-Peinado, A.J.; Jerez, A. Study of chemical activation process of a lignocellulosic material with KOH by XPS and XRD. Microporous Mesoporous Mater. 2003, 60, 173–181. [Google Scholar] [CrossRef]
- Dong, X.; Li, G.; Lin, Q.; Zhao, X. Quantity and quality changes of biochar aged for 5 years in soil under field conditions. Catena 2017, 159, 136–143. [Google Scholar] [CrossRef]
- Paetsch, L.; Mueller, C.W.; Kögel-Knabner, I.; Lutzow, M.; Girardin, C.; Rumpel, C. Effect of in-situ aged and fresh biochar on soil hydraulic conditions and microbial C use under drought conditions. Sci. Rep. 2018, 8, 1–11. [Google Scholar] [CrossRef]




| Soil Property | Red Latosol a | Red-Yellow Latosol a |
|---|---|---|
| pH (1:2.5; H2O) | 4.3 ± 0.1 | 5.3 ± 0.1 |
| H+Al (cmolc dm−3) | 11.8 ± 0.1 | 2.9 ± 0.1 |
| CEC b at pH 7 (cmolc dm−3) | 16 ± 1.6 | 2.4 ± 0.5 |
| Total C (%) | 6.6 ± 0.4 | 2.5 ± 0.2 |
| Exchangeable K (mg dm−3) | 51 ± 1.8 | 74 ± 1.2 |
| Available P (mg dm−3) | 1.8 ± 0.1 | 0.7 ± 0.01 |
| Ca2+ (cmolc dm−3) | 0.6 ± 0.1 | 1.9 ± 0.1 |
| Al3+ (cmolc dm−3) | 1.9 ± 0.1 | 0.3 ± 0.05 |
| Clay (%) | 75 ± 0.9 | 23 ± 0.2 |
| Feedstock | T (°C) | Ash | VM | C | pH | CEC | |
|---|---|---|---|---|---|---|---|
| % | cmolc kg−1 | cmolc kg−1 C | |||||
| Chicken Manure | 350 | 52 ± 0.2 | 37 ± 0.3 | 31 ± 0.2 | 9.7 ± 0.01 | 41.6 ± 0.9 | 135 ± 3.0 |
| 450 | 55 ± 0.2 | 31 ± 0.1 | 27 ± 0.5 | 10.2 ± 0.00 | 40.7 ± 0.9 | 151 ± 3.3 | |
| 750 | 56 ± 0.1 | 27 ± 0.1 | 25 ± 0.9 | 11.7 ± 0.02 | 21.3 ± 0.5 | 86 ± 2.0 | |
| Eucalyptus Sawdust | 350 | 0.9 ± 0.0 | 37 ± 0.1 | 70 ± 0.3 | 5.9 ± 0.13 | 10.8 ± 0.2 | 5.6 ± 0.1 |
| 450 | 0.7 ± 0.0 | 29 ± 0.1 | 79 ± 1.2 | 8.0 ± 0.02 | 2.2 ± 0.2 | 3.2 ± 0.3 | |
| 750 | 1.1 ± 0.0 | 6 ± 0.1 | 91 ± 2.0 | 9.3 ± 0.01 | 1.4 ± 0.3 | 1.8 ± 0.4 | |
| Coffee Husk | 350 | 13 ± 0.1 | 35 ± 0.2 | 61 ± 1.0 | 9.7 ± 0.00 | 69.7 ± 1.3 | 115 ± 2.1 |
| 450 | 13 ± 0.1 | 26 ± 0.3 | 61 ± 0.3 | 9.8 ± 0.00 | 72.0 ± 1.7 | 117 ± 2.8 | |
| 750 | 20 ± 0.0 | 18 ± 0.4 | 66 ± 1.3 | 9.8 ± 0.00 | 18.9 ± 0.6 | 29 ± 0.9 | |
| Sugarcane Bagasse | 350 | 1.9 ± 0.0 | 35 ± 0.3 | 75 ± 0.6 | 7.0 ± 0.00 | 4.6 ± 0.3 | 12 ± 0.8 |
| 450 | 2.1 ± 0.0 | 24 ± 0.3 | 82 ± 0.7 | 8.7 ± 0.01 | 1.8 ± 0.1 | 1.8 ± 0.1 | |
| 750 | 2.2 ± 0.0 | 8 ± 0.1 | 91 ± 1.0 | 9.7 ± 0.02 | 1.3 ± 0.3 | 1.1 ± 0.3 | |
| Soil Property | Pearson’s CorrelationCoefficient (R) | |
|---|---|---|
| CEC—Red Latosol | CEC—Red-Yellow Latosol | |
| Total C | −0.162 ns | 0.149 ns |
| pH | 0.705 * | 0.529 * |
© 2020 by the authors. Licensee MDPI, Basel, Switzerland. This article is an open access article distributed under the terms and conditions of the Creative Commons Attribution (CC BY) license (http://creativecommons.org/licenses/by/4.0/).
Share and Cite
Domingues, R.R.; Sánchez-Monedero, M.A.; Spokas, K.A.; Melo, L.C.A.; Trugilho, P.F.; Valenciano, M.N.; Silva, C.A. Enhancing Cation Exchange Capacity of Weathered Soils Using Biochar: Feedstock, Pyrolysis Conditions and Addition Rate. Agronomy 2020, 10, 824. https://doi.org/10.3390/agronomy10060824
Domingues RR, Sánchez-Monedero MA, Spokas KA, Melo LCA, Trugilho PF, Valenciano MN, Silva CA. Enhancing Cation Exchange Capacity of Weathered Soils Using Biochar: Feedstock, Pyrolysis Conditions and Addition Rate. Agronomy. 2020; 10(6):824. https://doi.org/10.3390/agronomy10060824
Chicago/Turabian StyleDomingues, Rimena R., Miguel A. Sánchez-Monedero, Kurt A. Spokas, Leônidas C. A. Melo, Paulo F. Trugilho, Murilo Nunes Valenciano, and Carlos A. Silva. 2020. "Enhancing Cation Exchange Capacity of Weathered Soils Using Biochar: Feedstock, Pyrolysis Conditions and Addition Rate" Agronomy 10, no. 6: 824. https://doi.org/10.3390/agronomy10060824
APA StyleDomingues, R. R., Sánchez-Monedero, M. A., Spokas, K. A., Melo, L. C. A., Trugilho, P. F., Valenciano, M. N., & Silva, C. A. (2020). Enhancing Cation Exchange Capacity of Weathered Soils Using Biochar: Feedstock, Pyrolysis Conditions and Addition Rate. Agronomy, 10(6), 824. https://doi.org/10.3390/agronomy10060824

