Evaluating Dry Matter Production and Grain Yield of Dual-Purpose Winter Wheat Using Field Experiment and Modelling
Abstract
1. Introduction
2. Materials and Methods
2.1. Field Experiment
2.1.1. Description of Field Setup and Soil Water Measurement
2.1.2. Rainfall and Irrigation
2.1.3. Crop Data
2.1.4. Crop Evapotranspiration and Water Use Efficiency
2.1.5. Statistical Analysis
2.2. Simulation Analysis
3. Results and Discussion
3.1. Field Experiment
3.1.1. Soil Water Dynamics
3.1.2. Crop Canopy Cover
3.1.3. Above-Ground Dry Matter
3.1.4. Crop Height
3.1.5. Crop Yield and Harvest Index
3.1.6. Seed Weight
3.1.7. Water Use Efficiency
3.2. Simulation Analysis
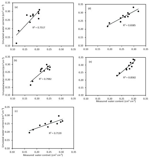
3.2.1. Evaluation of APSIM
3.2.2. Above-Ground Dry Matter
3.2.3. Grain Yield and Harvest Index
3.2.4. Flowering Time
3.2.5. Effect of Climate Change
4. Conclusions
Funding
Conflicts of Interest
References
- Ewing, M.A.; Flugge, F.; Kingwell, R. The benefits and challenges of crop–livestock integration in Australian agriculture. In Proceedings of the 4th International Crop Science Congress’, Brisbane, QLD, Australia, 26 September–1 October 2004. [Google Scholar]
- Moore, A.D.; Bell, L.W.; Revell, D.K. Feed gaps in mixed–farming systems: Insights from the Grain & Graze program. Anim. Prod. Sci. 2009, 49, 736–748. [Google Scholar]
- Dove, H.; Kirkegaard, J. Using dual–purpose crops in sheep–grazing systems. J. Sci. Food Agric. 2014, 94, 1276–1283. [Google Scholar] [CrossRef] [PubMed]
- Pinchak, W.E.; Worrall, W.D.; Caldwell, S.P.; Hunt, L.J.; Worrall, N.J.; Conoly, M. Interrelationships of forage and steer growth dynamics on wheat pasture. J. Range Manag. 1996, 49, 126–130. [Google Scholar] [CrossRef]
- Bonachela, S.; Orgaz, F.; Fereres, E. Winter cereals grown for grain and for the dual purpose of forage plus grain. 1. Production. Field Crops Res. 1995, 44, 1–11. [Google Scholar] [CrossRef]
- Tian, L.H.; Bell, L.W.; Shen, Y.Y.; Whish, J.P.M. Dual–purpose use of winter wheat in western China: Cutting time and nitrogen application effects on phenology, forage production, and grain yield. Crop Past. Sci. 2012, 63, 520–528. [Google Scholar] [CrossRef]
- Bell, L.; Sprague, S.; Lilley, J.; Kirkegaard, J.; Graham, J.; Murray, A. Grazing Strategies and Timing of Stock Removal from Dual Purpose Cereals and Canola; Grain Research Development Cooperation: Canberra, Australia, 2014. [Google Scholar]
- Virgona, J.M.; Gummer, F.A.J.; Angus, J.F. Effects of grazing on wheat growth, yield, development, water use, and nitrogen use. Aust. J. Agric. Res. 2006, 57, 1307–1319. [Google Scholar] [CrossRef]
- Harrison, M.T.; Kelman, W.M.; Moore, A.D.; Evans, J.R. Grazing winter wheat relieves plant water stress and transiently enhances photosynthesis. Funct. Plant Biol. 2010, 37, 726–736. [Google Scholar] [CrossRef]
- Winter, S.R.; Musick, J.T. Grazed wheat–grain yield relationships. Agron. J. 1991, 83, 130–135. [Google Scholar] [CrossRef]
- Porter, J.R.; Gawith, M. Temperatures and the growth and development of wheat: A review. Eur. J. Agron. 1999, 10, 23–36. [Google Scholar] [CrossRef]
- Hunt, J.R.; Kirkegaard, J.A. Re–evaluating the contribution of summer fallow rain to wheat yield in southern Australia. Crop Past. Sci. 2011, 62, 915–929. [Google Scholar] [CrossRef]
- Hunt, J. Winter wheat cultivars in Australian farming systems: A review. Crop Past. Sci. 2017, 68, 501–515. [Google Scholar] [CrossRef]
- Kirkegaard, J.A.; Lilley, J.M.; Hunt, J.R.; Sprague, S.J.; Ytting, N.K.; Rasmussen, I.S.; Graham, J.M. Effect of defoliation by grazing or shoot removal on the root growth of field–grown wheat (Triticum aestivum L.). Crop Past. Sci. 2015, 66, 249–259. [Google Scholar] [CrossRef]
- Zeleke, K.T. Effect of sowing time, sowing rate and soil water regime on yield, water productivity and soil water dynamics of faba bean (Vicia faba L.). In Proceedings of the 19th Australian Agronomy Conference, Wagga, Australia, 25–29 August 2019. [Google Scholar]
- Holzworth, D.P.; Huth, N.I.; deVoil, P.G.; Zurcher, E.J.; Herrmann, N.I.; McLean, G.; Chenu, K.; van Oosterom, E.J.; Snow, V.; Murphy, C.; et al. APSIM–evolution towards a new generation of agricultural systems simulation. Environ. Model. Softw. 2014, 62, 327–350. [Google Scholar] [CrossRef]
- Moore, A.D. Opportunities and trade–offs in dual–purpose cereals across the southern Australian mixed–farming zone: A modelling study. Anim. Prod. Sci. 2009, 49, 759–768. [Google Scholar] [CrossRef]
- Zeleke, K.T. Fallow management increases soil water and nitrogen storage. Agric. Water Manag. 2017, 186, 12–20. [Google Scholar] [CrossRef]
- Harrison, M.T.; Evans, J.R.; Dove, H.; Moore, A.D. Dual–purpose cereals: Can the relative influences of management and environment on crop recovery and grain yield be dissected? Crop Past. Sci. 2011, 62, 930–946. [Google Scholar] [CrossRef]
- Zeleke, K.T.; Luckett, D.J.; Cowley, R.B. Calibration and testing of the FAO AquaCrop model for canola. Agron. J. 2011, 103, 1610–1618. [Google Scholar] [CrossRef]
- Zadoks, J.C.; Chang, T.T.; Konzak, C.F. A decimal code for the growth stages of cereals. Weed Res. 1974, 14, 415–421. [Google Scholar] [CrossRef]
- R Core Team. R: A Language and Environment for Statistical Computing; Foundation for Statistical Computing: Vienna, Austria, 2013. [Google Scholar]
- Keating, B.A.; Carberry, P.S.; Hammer, G.L.; Probert, M.E.; Robertson, M.J.; Holzworth, D.; Huth, N.I.; Hargreaves, J.N.G.; Meinke, H.; Hochman, Z.; et al. An overview of APSIM, a model designed for farming systems simulation. Eur. J. Agron. 2003, 18, 267–288. [Google Scholar] [CrossRef]
- Asseng, S.; Keating, B.A.; Fillery, I.R.P.; Gregory, P.J.; Bowden, J.W.; Turner, N.C.; Palta, J.A.; Abrecht, D.G. Performance of the APSIM–wheat model in Western Australia. Field Crops Res. 1998, 57, 163–179. [Google Scholar] [CrossRef]
- Zeleke, K.T.; Nendel, C. Analysis of options for increasing wheat (Triticum aestivum L.) yield in south–eastern Australia: The role of irrigation, cultivar choice and time of sowing. Agric. Water Manag. 2016, 166, 139–148. [Google Scholar] [CrossRef]
- Van Vuuren, D.P.; Edmonds, J.; Kainuma, M.; Riahi, K.; Thomson, A.; Hibbard, K.; Hurtt, G.C.; Kram, T.; Krey, V.; Lamarque, J.; et al. The representative concentration pathways: An overview. Clim. Chang. 2011, 109, 5. [Google Scholar] [CrossRef]
- Zhang, Y.; Feng, L.; Wang, E.; Wang, J.; Li, B. Evaluation of the APSIM–wheat model in terms of different cultivars, management regimes and environmental conditions. Can. J. Plant Sci. 2012, 92, 937–949. [Google Scholar] [CrossRef][Green Version]
- Yunusa, I.A.M.; Bellotti, W.D.; Moore, A.D.; Probert, M.E.; Baldock, J.A.; Miyan, S.M. An exploratory evaluation of APSIM to simulate growth and yield processes for winter cereals in rotation systems in South Australia. Aust. J. Exp. Agric. 2004, 44, 787–800. [Google Scholar] [CrossRef]
- Penrose, L. Yield of early dryland sowing of wheat with winter and spring habit in southern and central New South Wales. Aust. J. Exp. Agric. 1993, 33, 601–608. [Google Scholar] [CrossRef]
- Matthews, P.; McCaffery, D.; Jenkins, L. Winter Crop Variety Sowing Guide; NSW Department of Primary Industries: Sydney, Australia, 2017. [Google Scholar]
- Bell, L.W.; Lilley, J.M.; Hunt, J.R.; Kirkegaard, J.A. Optimising grain yield and grazing potential of crops across Australia’s high–rainfall zone: A simulation analysis. 1 Wheat. Crop Past. Sci. 2015, 66, 332–348. [Google Scholar] [CrossRef]
- Frischke, A.; Hunt, J.; McMillan, D.; Browne, C. Forage and grain yield of grazed or defoliated spring and winter cereals in a winter–dominant, low–rainfall environment. Crop Past. Sci. 2015, 66, 308–317. [Google Scholar] [CrossRef]
- Riffkin, P.A.; Evans, P.M.; Chin, J.F.; Kearney, G.A. Early–maturing spring wheat outperforms late–maturing winter wheat in the high rainfall environment of south–western Victoria. Aust. J. Agric. Res. 2003, 54, 193–202. [Google Scholar] [CrossRef]
- Kirkegaard, K.; Sprague, S.; Lilley, J.; Bell, L. Managing Dual Purpose Crops to Optimise Profit from Grazing and Grain Yield North. Available online: https://grdc.com.au/resources-and-publications/grdc-update-papers/tab-content/grdc-update-papers/2016/02/managing-dual-purpose-crops-to-optimise-profit-from-grazing-and-grain-yield-north (accessed on 5 October 2019).












| Depth (cm) | Bulk Density (g cm−3) | Wilting Point (LL15) * (cm3 cm−3) | Field Capacity (DUL) + (cm3 cm−3) | Saturation Moisture Content (cm3 cm−3) |
|---|---|---|---|---|
| 0–15 | 1.48 | 0.11 | 0.29 | 0.35 |
| 15–30 | 1.50 | 0.13 | 0.27 | 0.34 |
| 30–45 | 1.45 | 0.15 | 0.25 | 0.32 |
| 45–60 | 1.37 | 0.15 | 0.28 | 0.36 |
| 60–90 | 1.43 | 0.15 | 0.29 | 0.35 |
| 90–120 | 1.55 | 0.15 | 0.31 | 0.34 |
| Watering Regime | Grazing Treatment | |||
|---|---|---|---|---|
| Ungrazed | Simulated Grazed 31 May | Simulated Grazed 25 July | Simulated Grazed 31 May and 25 July | |
| Dryland | DO | D1 | D2 | D3 |
| Irrigated | I0 | I1 | I2 | I3 |
| Water | Cut | Grain Yield | AGDM Harvest | Harvest Index | 1000 Seed | ETa | WUEgr | WUEdm | Plant Height | IWUEgr | IWUEdm | AGDM Removed/Grazed | AGDM Residual |
|---|---|---|---|---|---|---|---|---|---|---|---|---|---|
| (t ha−1) | (t ha−1) | (−) | (g) | (mm) | (kg m−3) | (kg m−3) | (cm) | (kg m−3) | (kg m−3) | (t ha−1) | (t ha−1) | ||
| Rainfed | 0 | 1.25d | 8.11bc | 0.15c | 29.1c | 207c | 6.0bc | 39.1a | 69c | ||||
| 1 | 1.34d | 5.48cd | 0.25bc | 28.2c | 207c | 6.5bc | 26.8bc | 57cd | 1.01c | 1.28 | |||
| 2 | 1.47d | 5.84cd | 0.26bc | 30.0bc | 206c | 7.1bc | 28.3b | 57cd | 3.46ab | 2.70 | |||
| 3 | 1.55d | 4.56d | 0.33ab | 28.7c | 214c | 7.0bc | 20.9bcd | 55d | 3.55ab | ||||
| Irrigated | 0 | 4.83a | 13.86a | 0.36ab | 28.8c | 460a | 10.5a | 29.9bc | 118a | 12.5a | 20.0a | ||
| 1 | 4.05b | 7.85bcd | 0.46a | 32.6a | 459a | 8.8ab | 17.1d | 113a | 9.4a | 8.2b | 3.32b | 1.36 | |
| 2 | 2.79c | 10.07b | 0.28bc | 30.4abc | 441ab | 6.3c | 22.8c | 95b | 4.5b | 14.7a | 4.73a | 5.41 | |
| 3 | 2.82c | 9.84b | 0.29bc | 31.9ab | 427b | 6.7c | 23.1c | 93b | 4.5b | 18.4a | 4.34ab |
| Grain Yield | AGDM Harvest | Harvest Index | Seed Weight | Plant Height | ETa | WUEgr | WUEdm | DMCut | |
|---|---|---|---|---|---|---|---|---|---|
| Water | *** | *** | ** | ** | *** | *** | ns | *** | *** |
| Cut | *** | * | ns | ns | *** | ns | * | *** | *** |
| Water: Cut | *** | ns | ** | ns | ns | ns | *** | ns | ns |
© 2020 by the author. Licensee MDPI, Basel, Switzerland. This article is an open access article distributed under the terms and conditions of the Creative Commons Attribution (CC BY) license (http://creativecommons.org/licenses/by/4.0/).
Share and Cite
Zeleke, K.T. Evaluating Dry Matter Production and Grain Yield of Dual-Purpose Winter Wheat Using Field Experiment and Modelling. Agronomy 2020, 10, 338. https://doi.org/10.3390/agronomy10030338
Zeleke KT. Evaluating Dry Matter Production and Grain Yield of Dual-Purpose Winter Wheat Using Field Experiment and Modelling. Agronomy. 2020; 10(3):338. https://doi.org/10.3390/agronomy10030338
Chicago/Turabian StyleZeleke, Ketema Tilahun. 2020. "Evaluating Dry Matter Production and Grain Yield of Dual-Purpose Winter Wheat Using Field Experiment and Modelling" Agronomy 10, no. 3: 338. https://doi.org/10.3390/agronomy10030338
APA StyleZeleke, K. T. (2020). Evaluating Dry Matter Production and Grain Yield of Dual-Purpose Winter Wheat Using Field Experiment and Modelling. Agronomy, 10(3), 338. https://doi.org/10.3390/agronomy10030338