Within-Field Relationships between Satellite-Derived Vegetation Indices, Grain Yield and Spike Number of Winter Wheat and Triticale
Abstract
1. Introduction
2. Materials and Methods
2.1. Study Area
2.2. Soil and Plant Sampling
2.3. Satellite Data
2.4. Spectral Vegetation Indices
2.5. Statistical Analysis
3. Results
3.1. Grain Yield and Spike Number
3.2. Changes in NDVI over the Vegetation Season and in Research Locations
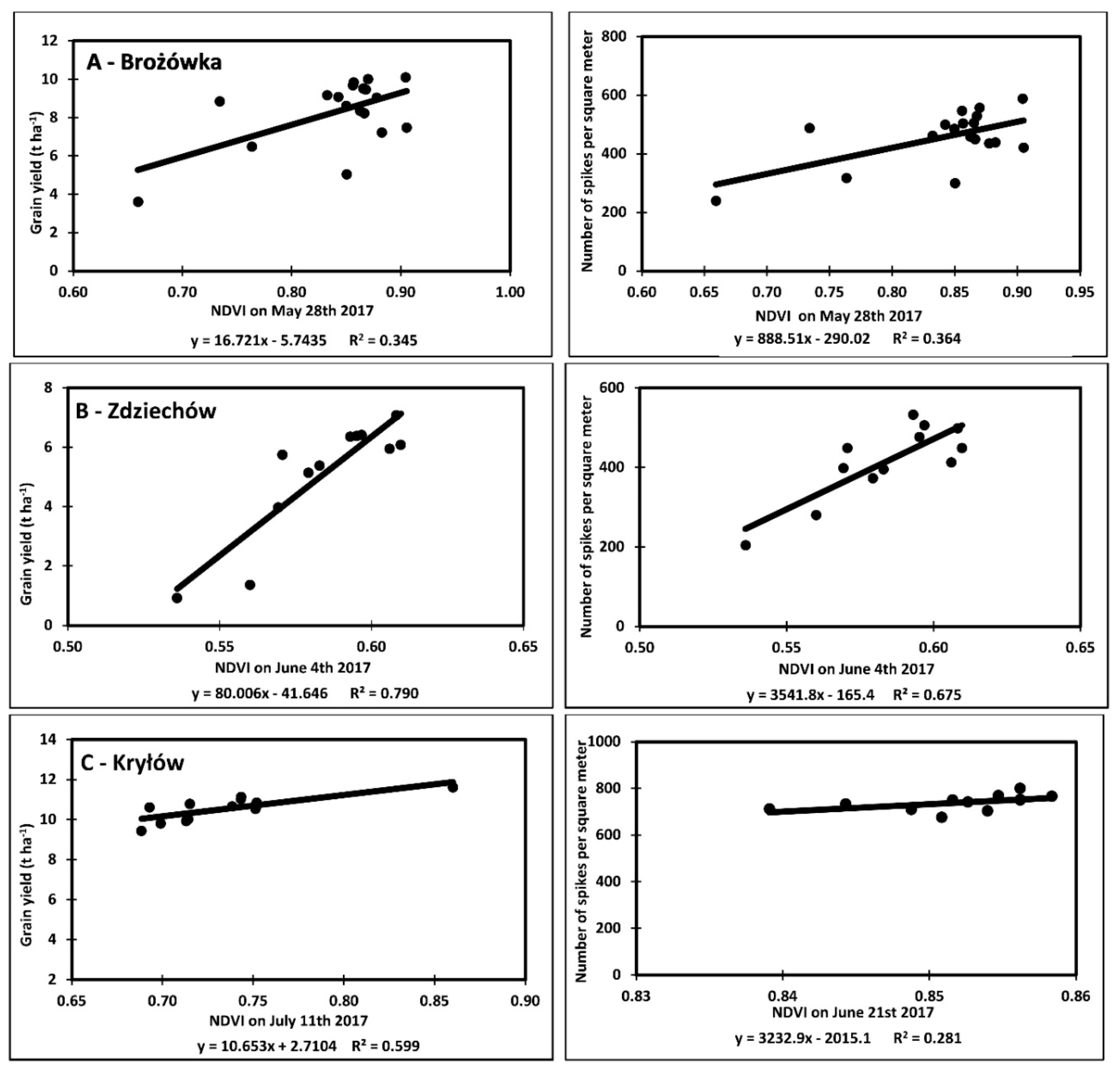
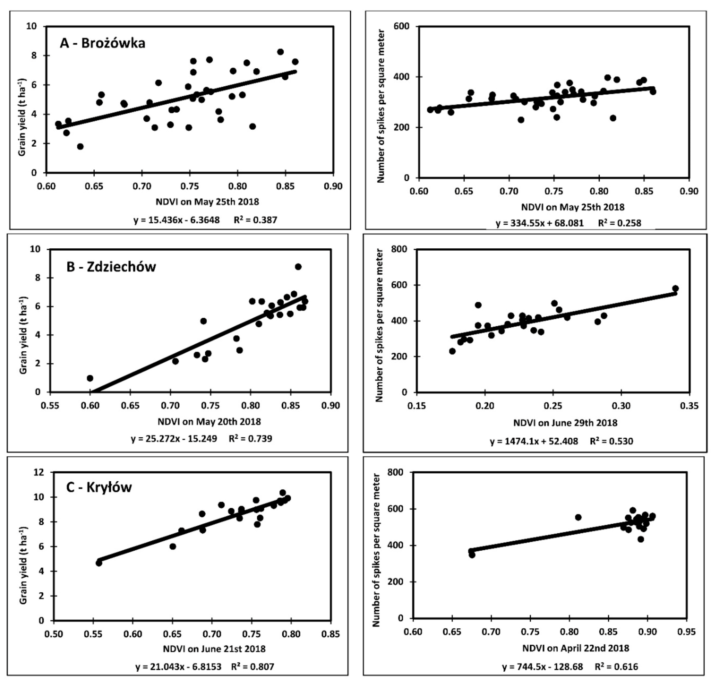
3.3. Relationships between NDVI and Grain Yield and Spike Number
3.4. Relationships between the Other Vegetation Indices and Grain Yield and Spike Number
4. Discussion
4.1. Relationships between NDVI and Grain Yield
4.2. Determination of Dates and Plant Growth Stages When Relationship between NDVI and Grain Yield Was the Strongest
4.3. Relationship between Other VIs and Grain Yield
5. Conclusions
Author Contributions
Funding
Conflicts of Interest
References
- Szantoi, Z.; Strobl, P. Copernicus Sentinel-2 Calibration and Validation. Eur. J. Remote Sens. 2019, 52, 253–255. [Google Scholar] [CrossRef]
- Sentinel-2 User Handbook-Document Library-Sentinel Online. Available online: https://sentinels.copernicus.eu/web/sentinel/user-guides/document-library/-/asset_publisher/xlslt4309D5h/content/sentinel-2-user-handbook (accessed on 17 August 2020).
- Asrar, G.; Fuchs, M.; Kanemasu, E.T.; Hatfield, J.L. Estimating absorbed photosynthetic radiation and Leaf Area Index from spectral reflectance in wheat. Agron. J. 1984, 76, 300–306. [Google Scholar] [CrossRef]
- Benedetti, R.; Rossini, P. On the use of NDVI profiles as a tool for agricultural statistics: The case study of wheat yield estimate and forecast in Emilia Romagna. Remote Sens. Environ. 1993, 45, 311–326. [Google Scholar] [CrossRef]
- Smith, R.C.G. Forecasting wheat yield in a Mediterranean-type environment from the NOAA satellite. Aust. J. Agric. Res. 1995, 46, 113–125. [Google Scholar]
- Labus, M.P.; Nielsen, G.A.; Lawrence, R.L.; Engel, R.; Long, D.S. Wheat yield estimates using multi-temporal NDVI satellite imagery. Int. J. Remote Sens. 2002, 23, 4169–4180. [Google Scholar] [CrossRef]
- Shou, L.; Jia, L.; Cui, Z.; Chen, X.; Zhang, F. Using high-resolution satellite imaging to evaluate nitrogen status of winter wheat. J. Plant Nutr. 2007, 30, 1669–1680. [Google Scholar] [CrossRef]
- Jeppesen, J.H.; Jacobsen, R.H.; Jørgensen, R.N.; Halberg, A.; Toftegaard, T.S. Identification of high-variation fields based on open satellite imagery. Adv. Anim. Biosci. 2017, 8, 388–393. [Google Scholar] [CrossRef]
- Delegido, J.; Verrelst, J.; Alonso, L.; Moreno, J. Evaluation of Sentinel-2 red-edge bands for empirical estimation of green LAI and chlorophyll content. Sensors 2011, 11, 7063–7081. [Google Scholar] [CrossRef]
- Veloso, A.; Mermoz, S.; Bouvet, A.; Le Toan, T.; Planells, M.; Dejoux, J.F.; Ceschia, E. Understanding the temporal behavior of crops using Sentinel-1 and Sentinel-2-like data for agricultural applications. Remote Sens. Environ. 2017, 199, 415–426. [Google Scholar] [CrossRef]
- Lopresti, M.F.; Di Bella, C.M.; Degioanni, A.J. Relationship between MODIS-NDVI data and wheat yield: A case study in Northern Buenos Aires province, Argentina. Inf. Process. Agric. 2015, 2, 73–84. [Google Scholar] [CrossRef]
- Dempewolf, J.; Adusei, B.; Becker-Reshef, I.; Barker, B.; Potapov, P.; Hansen, M.; Justice, C. Wheat Production Forecasting for Pakistan from Satellite Data. In 2013 IEEE International Geoscience and Remote Sensing Symposium-IGARSS; IEEE: Melbourne, Australia, 2013; pp. 3239–3242. [Google Scholar]
- Kussul, N.; Kolotii, A.; Skakun, S.; Shelestov, A.; Kussul, O.; Oliynuk, T. Efficiency Estimation of Different Satellite Data Usage for Winter Wheat Yield Forecasting in Ukraine. In 2014 IEEE Geoscience and Remote Sensing Symposium; IEEE: Quebec City, QC, Canada, 2014; pp. 5080–5082. [Google Scholar]
- Bu, H.; Sharma, L.K.; Denton, A.; Franzen, D.W. Comparison of satellite imagery and ground-based active optical sensors as yield predictors in sugar beet, spring wheat, corn, and sunflower. Agron. J. 2017, 109, 299–308. [Google Scholar] [CrossRef]
- Nagy, A.; Fehér, J.; Tamás, J. Wheat and maize yield forecasting for the Tisza river catchment using MODIS NDVI time series and reported crop statistics. Comput. Electron. Agric. 2018, 151, 41–49. [Google Scholar] [CrossRef]
- Yang, A.; Zhong, B.; Wu, J. Monitoring Winter Wheat in ShanDong Province Using Sentinel Data and Google Earth Engine Platform. In 2019 10th International Workshop on the Analysis of Multitemporal Remote Sensing Images; IEEE: Shanghai, China, 2019; pp. 1–4. [Google Scholar]
- Ali, A.; Martelli, R.; Lupia, F.; Barbanti, L. Assessing multiple years’ spatial variability of crop yields using satellite vegetation indices. Remote Sens. 2019, 11, 2384. [Google Scholar] [CrossRef]
- GUS Statistical Yearbook of Agriculture. 2019. Available online: https://stat.gov.pl/en/topics/statistical-yearbooks/statistical-yearbooks/statistical-yearbook-of-agriculture-2019,6,14.html (accessed on 16 August 2020).
- Kottek, M.; Grieser, J.; Beck, C.; Rudolf, B.; Rubel, F. World Map of the Köppen-Geiger climate classification updated. Meteorol. Z. 2006, 15, 259–263. [Google Scholar] [CrossRef]
- Open Access Hub. Available online: https://scihub.copernicus.eu/ (accessed on 16 August 2020).
- Brief Introduction to Remote Sensing—Semi-Automatic Classification Plugin 6.4.0.2-Documentation. Available online: https://semiautomaticclassificationmanual.readthedocs.io/pl/latest/remote_sensing.html#dos1-correction. (accessed on 16 August 2020).
- Rouse, J.W., Jr.; Haas, R.H.; Deering, D.W.; Schell, J.A.; Harlan, J.C. Monitoring the vernal advancement and retrogradation (Green Wave Effect) of natural vegetation. In Great Plains Corridor; Final Rep. RSC 1978–4; Remote Sensing Center, Texas A&M Univ.: College Station, TX, USA, 1974. [Google Scholar]
- Wang, J.; Rich, P.M.; Price, K.P.; Kettle, W.D. Relations between NDVI and tree productivity in the central Great Plains. Int. J. Remote Sens. 2004, 25, 3127–3138. [Google Scholar] [CrossRef]
- Huete, A.R. A soil-adjusted vegetation index (SAVI). Remote Sens. Environ. 1988, 25, 295–309. [Google Scholar] [CrossRef]
- Jiang, Z. Interpretation of the modified soil-adjusted vegetation index isolines in red-NIR reflectance space. J. Appl. Remote Sens. 2007, 1, 013503. [Google Scholar] [CrossRef]
- Crippen, R. Calculating the vegetation index faster. Remote Sens. Environ. 1990, 34, 71–73. [Google Scholar] [CrossRef]
- Pinty, B.; Verstraete, M.M. GEMI: A non-linear index to monitor global vegetation from satellites. Vegetatio 1992, 101, 15–20. [Google Scholar] [CrossRef]
- Jordan, C.F. Derivation of Leaf-Area Index from quality of light on the forest floor. Ecology 1969, 50, 663–666. [Google Scholar] [CrossRef]
- Orfeo ToolBox 7.1.0 Documentation. Available online: https://www.orfeo-toolbox.org/CookBook/ (accessed on 17 August 2020).
- Welcome to the QGIS Project! Available online: https://www.qgis.org/en/site/ (accessed on 16 August 2020).
- Mengmeng, D.; Noboru, N.; Atsushi, I.; Yukinori, S. Japan multi-temporal monitoring of wheat growth by using images from satellite and unmanned aerial vehicle. Int. J. Agric. Biol. Eng. 2017, 10, 1–13. [Google Scholar] [CrossRef]
- Toscano, P.; Castrignanò, A.; Di Gennaro, S.F.; Vonella, A.V.; Ventrella, D.; Matese, A.A. Precision agriculture approach for durum wheat yield assessment using remote sensing data and yield mapping. Agronomy 2019, 9, 437. [Google Scholar] [CrossRef]
- Naser, M.A.; Khosla, R.; Longchamps, L.; Dahal, S. Using NDVI to differentiate wheat genotypes productivity under dryland and irrigated conditions. Remote Sens. 2020, 12, 824. [Google Scholar] [CrossRef]
- Chandel, N.S.; Tiwari, P.S.; Singh, K.P.; Jat, D.; Gaikwad, B.B.; Tripathi, H.; Golhani, K. Yield prediction in wheat (Triticum aestivum L.) using spectral reflectance indices. Curr. Sci. 2019, 116, 272. [Google Scholar] [CrossRef]
- Satir, O.; Berberoglu, S. Crop yield prediction under soil salinity using satellite derived vegetation indices. Field Crops Resolut. 2016, 192, 134–143. [Google Scholar] [CrossRef]
- Fieuzal, R.; Bustillo, V.; Collado, D.; Dedieu, G. Combined use of multi-temporal Landsat-8 and Sentinel-2 images for wheat yield estimates at the intra-plot spatial scale. Agronomy 2020, 10, 327. [Google Scholar] [CrossRef]
- Purevdorj, T.S.; Tateishi, R.; Ishiyama, T.; Honda, Y. Relationships between percent vegetation cover and vegetation indices. Int. J. Remote Sens. 1998, 19, 3519–3535. [Google Scholar] [CrossRef]
- Ren, H.; Zhou, G.; Zhang, F. Using negative soil adjustment factor in soil-adjusted vegetation index (SAVI) for aboveground living biomass estimation in arid grasslands. Remote Sens. Environ. 2018, 209, 439–445. [Google Scholar] [CrossRef]
- The Agricultural Drought Monitoring System. Available online: http://susza.iung.pl/en/ (accessed on 16 August 2020).







| Location A—Brożówka | Location B—Zdziechów | Location C—Kryłów | |||||
|---|---|---|---|---|---|---|---|
| Year | 2017 | 2018 | 2017 | 2018 | 2017 | 2018 | |
| Crop | winter wheat | winter triticale | winter wheat | winter triticale | winter wheat | winter wheat | |
| Sowing date | 20 September 2016 | 27 September 2017 | 27 September 2016 | 28 September 2017 | 22 September 2016 | 23 September 2017 | |
| Area of the field (ha) | 14.9 | 14.9 | 9.7 | 7.8 | 9.7 | 9.6 | |
| Geographical coordinates | 54°6′36″ N, 22°0′3.6″ E | 54°6′36″ N, 22°0′3.6″ E | 51°24′57.6″ N, 21°3′7.2″ E | 51°25′1.2″ N, 21°3′10.8″ E | 50°41′27.6″ N, 24°1′58.8″ E | 50°42′32.4″ N, 24°3′10.8″ E | |
| Soil WRB 2015 Reference Group-dominant (associated) * | Luvisols (Phaeozems, Histosols, Gleysols, Cambisols, Regosols) | Luvisols (Phaeozems, Histosols, Gelysols, Cambisols, Regosols) | Phaeozems (Luvisols, Arenosols) | Luvisols (Arenosols) | Gleysols | Luvisols | |
| USDA soil texture class dominant (associated) * | sandy loam (loam, clay loam) | sandy loam (loam, clay loam) | sandy loam (loam, clay loam, loamy sand, sand) | loamy sand (sandy loam, sand) | silt loam (silty clay loam, silty clay) | silt loam (silty clay loam) | |
| Number of sampling points of soil in spring/plots used at harvest for grain yield and spike number evaluation | 16/18 | 18/36 | 10/12 | 12/24 | 10/12 | 12/21 | |
| Available elements in soil in a layer of 0–30 cm (mg∙kg−1) *** | P | 71.5 (92.0) ** | 52.2 (18.4) | 55.4 (16.6) | 118.0 (42.8) | 119.5 (31.8) | 79.8 (41.8) |
| K | 160.2 (104.6) | 143.6 (44.6) | 112.1 (27.4) | 106.8 (19.4) | 175.1 (32.4) | 193.7 (38.6) | |
| Mg | 109.7 (206.2) | 150.8 (135.0) | 67.5 (32.0) | 69.7 (47.3) | 54.9 (13.3) | 78.8 (22.1) | |
| pH | 6.2 (0.8) | 6.5 (0.7) | 5.7 (0.5) | 5.8 (0.5) | 6.0 (0.4) | 6.7 (0.3) | |
| Location A Brożówka | Location B Zdziechów | Location C Kryłów | |||
|---|---|---|---|---|---|
| 2017 | 2018 | 2017 | 2018 | 2017 | 2018 |
| 16 March | 19 March | 29 March | 26 March | 2 April | 7 April |
| 8 April | 8 April | 18 May | 20 May | 22 April | 22 April |
| 25 April | 23 April | 4 June | 4 June | 21 June | 21 June |
| 28 May | 25 May | 27 June | 29 June | 11 July | 11 July |
| 27 June | 27 June | 12 July | 12 July | - | - |
| 14 July | 19 July | - | - | - | - |
| Grain Yield (t ha−1) | Spikes Number Per m2 | |||||||||
|---|---|---|---|---|---|---|---|---|---|---|
| Location and Year | Mean | SD | CV | Min. | Max. | Mean | SD | CV | Min. | Max. |
| A 2017 | 8.33 | 1.77 | 21.2% | 3.62 | 10.1 | 458 | 91.5 | 20.0% | 240 | 589 |
| A 2018 | 5.10 | 1.63 | 32.0% | 1.80 | 8.26 | 317 | 43.3 | 13.7% | 230 | 397 |
| B 2017 | 5.07 | 1.99 | 39.3% | 0.93 | 7.08 | 415 | 95.4 | 23.0% | 205 | 533 |
| B 2018 | 5.01 | 1.86 | 37.1% | 0.98 | 8.79 | 389 | 77.5 | 19.9% | 231 | 582 |
| C 2017 | 10.5 | 0.63 | 6.0% | 9.43 | 11.6 | 739 | 34.0 | 4.6% | 676 | 801 |
| C 2018 | 8.63 | 1.38 | 16.0% | 4.67 | 10.4 | 514 | 62.0 | 12.1% | 348 | 593 |
| Location and Date | NDVI | SAVI | mSAVI | mSAVI2 | IPVI | GEMI | RVI |
|---|---|---|---|---|---|---|---|
| A 28 May 2017 | 0.84 ± 0.06 | 0.51 ± 0.05 | 0.51 ± 0.05 | 0.59 ± 0.07 | 0.92 ± 0.03 | 0.83 ± 0.04 | 12.95 ± 3.93 |
| A 25 May 2018 | 0.74 ± 0.07 | 0.49 ± 0.05 | 0.44 ± 0.05 | 0.49 ± 0.07 | 0.87 ± 0.03 | 0.78 ± 0.04 | 7.31 ± 2.25 |
| B 27 June 2017 | 0.90 ± 0.01 | 0.42 ± 0.03 | 0.65 ± 0.03 | 0.35 ± 0.03 | 0.39 ± 0.04 | 9.38 ± 1.30 | 0.80 ± 0.03 |
| B 20 May 2018 | 0.80 ± 0.06 | 0.52 ± 0.06 | 0.47 ± 0.07 | 0.53 ± 0.08 | 0.90 ± 0.03 | 0.80 ± 0.06 | 9.88 ± 2.78 |
| C 21 June 2017 | 0.86 ± 0.02 | 0.62 ± 0.08 | 0.57 ± 0.09 | 0.63 ± 0.01 | 0.90 ± 0.08 | 0.85 ± 0.09 | 11.52 ± 3.39 |
| C 22 April 2018 | 0.86 ± 0.07 | 0.60 ± 0.06 | 0.55 ± 0.07 | 0.64 ± 0.09 | 0.93 ± 0.03 | 0.87 ± 0.05 | 15.39 ± 3.99 |
| Location | Date (2017) | Growth Stage * | r | Location | Date (2018) | Growth Stage | r | ||||||||||||
|---|---|---|---|---|---|---|---|---|---|---|---|---|---|---|---|---|---|---|---|
| A | 16-March | tillering | 0.421 | A | 19-March | tillering | 0.254 | ||||||||||||
| 8-April | tillering | 0.493 | 8-April | tillering | 0.241 | ||||||||||||||
| 25-April | tillering/shooting | 0.341 | 23-April | tillering/shooting | 0.389 | ||||||||||||||
| 28-May | shooting/heading | 0.587 | 25-May | shooting/heading | 0.622 | ||||||||||||||
| 27-June | milk maturity | 0.441 | 27-June | milk maturity | 0.570 | ||||||||||||||
| 14-July | dough maturity | 0.239 | 19-July | dough maturity | −0.012 | ||||||||||||||
| B | 29-March | tillering | −0.457 | B | 26-March | tillering | 0.064 | ||||||||||||
| 18-May | shooting/heading | 0.154 | 20-May | shooting/heading | 0.859 | ||||||||||||||
| 4-June | heading/flowering | 0.889 | 4-June | heading/flowering | 0.790 | ||||||||||||||
| 27-June | milk maturity | 0.840 | 29-June | milk maturity | 0.804 | ||||||||||||||
| 12-July | dough maturity | 0.693 | 12-July | dough maturity | −0.152 | ||||||||||||||
| C | 2-April | tillering | −0.423 | C | 7-April | tillering | 0.713 | ||||||||||||
| 22-April | tillering/shooting | 0.067 | 22-April | tillering/shooting | 0.795 | ||||||||||||||
| 21-June | milk maturity | 0.594 | 21-June | milk maturity | 0.899 | ||||||||||||||
| 11-July | dough maturity | 0.774 | 11-July | dough maturity | 0.361 | ||||||||||||||
| −1.0 | −0.9 | −0.8 | −0.7 | −0.6 | −0.5 | −0.4 | −0.3 | −0.2 | −0.1 | 0.1 | 0.2 | 0.3 | 0.4 | 0.5 | 0.6 | 0.7 | 0.8 | 0.9 | 1.0 |
| very strong negative correlation | very strong positive correlation | ||||||||||||||||||
| Location | Date (2017) | Growth Stage * | r | Location | Date (2018) | Growth Stage | r | ||||||||||||
|---|---|---|---|---|---|---|---|---|---|---|---|---|---|---|---|---|---|---|---|
| A | 16-March | tillering | 0.452 | A | 19-March | tillering | 0.102 | ||||||||||||
| 8-April | tillering | 0.535 | 8-April | tillering | 0.120 | ||||||||||||||
| 25-April | tillering/shooting | 0.372 | 23-April | tillering/shooting | 0.167 | ||||||||||||||
| 28-May | shooting/heading | 0.603 | 25-May | shooting/heading | 0.508 | ||||||||||||||
| 27-June | milk maturity | 0.471 | 27-June | milk maturity | 0.485 | ||||||||||||||
| 14-July | dough maturity | 0.288 | 19-July | dough maturity | −0.096 | ||||||||||||||
| B | 29-March | tillering | −0.341 | B | 26-March | tillering | 0.068 | ||||||||||||
| 18-May | shooting/heading | 0.159 | 20-May | shooting/heading | 0.685 | ||||||||||||||
| 4-June | heading/flowering | 0.822 | 4-June | heading/flowering | 0.625 | ||||||||||||||
| 27-June | milk maturity | 0.786 | 29-June | milk maturity | 0.728 | ||||||||||||||
| 12-July | dough maturity | 0.529 | 12-July | dough maturity | −0.064 | ||||||||||||||
| C | 2-April | tillering | 0.025 | C | 7-April | tillering | 0.731 | ||||||||||||
| 22-April | tillering/shooting | −0.162 | 22-April | tillering/shooting | 0.785 | ||||||||||||||
| 21-June | milk maturity | 0.649 | 21-June | milk maturity | 0.647 | ||||||||||||||
| 11-July | dough maturity | 0.592 | 11-July | dough maturity | 0.275 | ||||||||||||||
| −1.0 | −0.9 | −0.8 | −0.7 | −0.6 | −0.5 | −0.4 | −0.3 | −0.2 | −0.1 | 0.1 | 0.2 | 0.3 | 0.4 | 0.5 | 0.6 | 0.7 | 0.8 | 0.9 | 1.0 |
| very strong negative correlation | very strong positive correlation | ||||||||||||||||||
Publisher’s Note: MDPI stays neutral with regard to jurisdictional claims in published maps and institutional affiliations. |
© 2020 by the authors. Licensee MDPI, Basel, Switzerland. This article is an open access article distributed under the terms and conditions of the Creative Commons Attribution (CC BY) license (http://creativecommons.org/licenses/by/4.0/).
Share and Cite
Panek, E.; Gozdowski, D.; Stępień, M.; Samborski, S.; Ruciński, D.; Buszke, B. Within-Field Relationships between Satellite-Derived Vegetation Indices, Grain Yield and Spike Number of Winter Wheat and Triticale. Agronomy 2020, 10, 1842. https://doi.org/10.3390/agronomy10111842
Panek E, Gozdowski D, Stępień M, Samborski S, Ruciński D, Buszke B. Within-Field Relationships between Satellite-Derived Vegetation Indices, Grain Yield and Spike Number of Winter Wheat and Triticale. Agronomy. 2020; 10(11):1842. https://doi.org/10.3390/agronomy10111842
Chicago/Turabian StylePanek, Ewa, Dariusz Gozdowski, Michał Stępień, Stanisław Samborski, Dominik Ruciński, and Bartosz Buszke. 2020. "Within-Field Relationships between Satellite-Derived Vegetation Indices, Grain Yield and Spike Number of Winter Wheat and Triticale" Agronomy 10, no. 11: 1842. https://doi.org/10.3390/agronomy10111842
APA StylePanek, E., Gozdowski, D., Stępień, M., Samborski, S., Ruciński, D., & Buszke, B. (2020). Within-Field Relationships between Satellite-Derived Vegetation Indices, Grain Yield and Spike Number of Winter Wheat and Triticale. Agronomy, 10(11), 1842. https://doi.org/10.3390/agronomy10111842

