Response Surface Modeling and Optimization of Polyphenols Extraction from Apple Pomace Based on Nonionic Emulsifiers
Abstract
1. Introduction
2. Materials and Methods
2.1. Reagents, Chemicals, and Solvents
2.2. Materials
2.3. Extraction Procedure
2.4. Determination of Total Phenolic Content (TPC)
2.5. Experimental Design
2.6. Validation of the Optimized Conditions
2.7. Determination of Antioxidant Activity
2.8. Statistical Analysis
3. Results
3.1. Selection of Extraction Solvent
3.2. Box–Behnken Design Results
3.3. Fitting of Second Order Polynomial Equation
− 0.000550·X3·X3 − 0.182·X4·X4 + 0.0162·X1·X2 + 0.00162·X1·X3 − 0.163·X1·X4 −
0.000094·X2·X3 + 0.0024·X2·X4 + 0.000219·X3·X4
3.4. Statistical Analysis and Estimation of Adequacy of the Developed Model
3.5. Influence of Process Variables
3.6. Determination of Optimum Conditions and Model Validation
3.7. Determination of Total Phenolic Content and Antioxidant Activity of Optimized Extracts
4. Discussion
5. Conclusions
Author Contributions
Funding
Conflicts of Interest
Appendix A




References
- Malinowska, M.; Śliwa, K.; Sikora, E.; Ogonowski, J.; Oszmiański, J.; Kolniak-Ostek, J. Ultrasound-assisted and micelle-mediated extraction as a method to isolate valuable active compounds from apple pomace. J. Food Process. Preserv. 2018, 42, e13720. [Google Scholar] [CrossRef]
- Massias, A.; Boisard, S.; Baccaunaud, M.; Calderon, F.L.; Subra-Paternault, P. Recovery of phenolics from apple peels using CO2+ ethanol extraction: Kinetics and antioxidant activity of extracts. J. Supercrit. Fluids 2015, 98, 172–182. [Google Scholar] [CrossRef]
- Cargnin, S.T.; Gnoatto, S.B. Ursolic acid from apple pomace and traditional plants: A valuable triterpenoid with functional properties. Food Chem. 2017, 220, 477–489. [Google Scholar] [CrossRef] [PubMed]
- Dhillon, G.S.; Kaur, S.; Brar, S.K. Perspective of apple processing wastes as low-cost substrates for bioproduction of high value products: A review. Renew. Sustain. Energy Rev. 2013, 27, 789–805. [Google Scholar] [CrossRef]
- Perussello, C.A.; Zhang, Z.; Marzocchella, A.; Tiwari, B.K. Valorization of apple pomace by extraction of valuable compounds. Compr. Rev. Food Sci. Food Saf. 2017, 16, 776–796. [Google Scholar] [CrossRef]
- Yates, M.; Gomez, M.R.; Martin-Luengo, M.A.; Ibañez, V.Z.; Serrano, A.M.M. Multivalorization of apple pomace towards materials and chemicals. Waste to wealth. J. Clean. Prod. 2017, 143, 847–853. [Google Scholar] [CrossRef]
- Waldbauer, K.; McKinnon, R.; Kopp, B. Apple pomace as potential source of natural active compounds. Planta Med. 2017, 83, 994–1010. [Google Scholar] [CrossRef] [PubMed]
- Ćetković, G.; Čanadanović-Brunet, J.; Djilas, S.; Savatović, S.; Mandić, A.; Tumbas, V. Assessment of polyphenolic content and in vitro antiradical characteristics of apple pomace. Food Chem. 2008, 109, 340–347. [Google Scholar] [CrossRef]
- Fernandes, P.A.; Le Bourvellec, C.; Renard, C.M.; Nunes, F.M.; Bastos, R.; Coelho, E.; Wesselade, D.F.; Coimbra, M.A.; Cardoso, S.M. Revisiting the chemistry of apple pomace polyphenols. Food Chem. 2019, 294, 9–18. [Google Scholar] [CrossRef]
- Rana, S.; Gupta, S.; Rana, A.; Bhushan, S. Functional properties, phenolic constituents and antioxidant potential of industrial apple pomace for utilization as active food ingredient. Food Sci. Hum. Wellness 2015, 4, 180–187. [Google Scholar] [CrossRef]
- Fernandes, P.A.; Ferreira, S.S.; Bastos, R.; Ferreira, I.; Cruz, M.T.; Pinto, A.; Coelho, E.; Passos, C.P.; Coimbra, M.A.; Cardoso, S.M.; et al. Apple Pomace Extract as a Sustainable Food Ingredient. Antioxidants 2019, 8, 189. [Google Scholar] [CrossRef] [PubMed]
- Zhang, T.; Wei, X.; Miao, Z.; Hassan, H.; Song, Y.; Fan, M. Screening for antioxidant and antibacterial activities of phenolics from Golden Delicious apple pomace. Chem. Cent. J. 2016, 10, 47. [Google Scholar] [CrossRef] [PubMed]
- Suárez, B.; Álvarez, Á.L.; García, Y.D.; del Barrio, G.; Lobo, A.P.; Parra, F. Phenolic profiles, antioxidant activity and in vitro antiviral properties of apple pomace. Food Chem. 2010, 120, 339–342. [Google Scholar] [CrossRef]
- Sharma, S.; Rana, S.; Patial, V.; Gupta, M.; Bhushan, S.; Padwad, Y.S. Antioxidant and hepatoprotective effect of polyphenols from apple pomace extract via apoptosis inhibition and Nrf2 activation in mice. Hum. Exp. Toxicol. 2016, 35, 1264–1275. [Google Scholar] [CrossRef]
- Skinner, R.C.; Gigliotti, J.C.; Ku, K.M.; Tou, J.C. A comprehensive analysis of the composition, health benefits, and safety of apple pomace. Nutr. Rev. 2018, 76, 893–909. [Google Scholar] [CrossRef]
- Wijngaard, H.H.; Brunton, N. The optimisation of solid-liquid extraction of antioxidants from apple pomace by response surface methodology. J. Food Eng. 2010, 96, 134–140. [Google Scholar] [CrossRef]
- Cam, M.; Aaby, K. Optimization of extraction of apple pomace phenolics with water by response surface methodology. J. Agric. Food Chem. 2010, 58, 9103–9111. [Google Scholar] [CrossRef]
- Candrawinata, V.I.; Golding, J.B.; Roach, P.D.; Stathopoulos, C.E. Optimisation of the phenolic content and antioxidant activity of apple pomace aqueous extracts. CyTA-J. Food 2015, 13, 293–299. [Google Scholar] [CrossRef]
- Wang, L.; Boussetta, N.; Lebovka, N.; Vorobiev, E. Effects of ultrasound treatment and concentration of ethanol on selectivity of phenolic extraction from apple pomace. Int. J. Food Sci. Technol. 2018, 53, 2104–2109. [Google Scholar] [CrossRef]
- Zhang, Z.; Poojary, M.M.; Choudhary, A.; Rai, D.K.; Tiwari, B.K. Comparison of selected clean and green extraction technologies for biomolecules from apple pomace. Electrophoresis 2018, 39, 1934–1945. [Google Scholar] [CrossRef]
- Chandrasekar, V.; Martín-González, M.F.S.; Hirst, P.; Ballard, T.S. Optimizing microwave-assisted extraction of phenolic antioxidants from red delicious and Jonathan apple pomace. J. Food Process Eng. 2015, 38, 571–582. [Google Scholar] [CrossRef]
- Ferrentino, G.; Morozova, K.; Mosibo, O.K.; Ramezani, M.; Scampicchio, M. Biorecovery of antioxidants from apple pomace by supercritical fluid extraction. J. Clean. Prod. 2018, 186, 253–261. [Google Scholar] [CrossRef]
- Ameer, K.; Shahbaz, H.M.; Kwon, J.H. Green extraction methods for polyphenols from plant matrices and their byproducts: A review. Compr. Rev. Food Sci. Food Saf. 2017, 16, 295–315. [Google Scholar] [CrossRef]
- Sharma, S.; Kori, S.; Parmar, A. Surfactant mediated extraction of total phenolic contents (TPC) and antioxidants from fruits juices. Food Chem. 2015, 185, 284–288. [Google Scholar] [CrossRef] [PubMed]
- Cortés-Rojas, D.F.; Souza, C.R.F.; Oliveira, W.P.D. Surfactant mediated extraction of antioxidants from Syzygium aromaticum. Sep. Sci. Technol. 2015, 50, 207–213. [Google Scholar] [CrossRef]
- Mukhtar, B.; Mushtaq, M.; Akram, S.; Adnan, A. Maceration mediated liquid–liquid extraction of conjugated phenolics from spent black tea leaves extraction of non-extractable phenolics. Anal. Methods 2018, 10, 4310–4319. [Google Scholar] [CrossRef]
- Su, D.L.; Li, P.J.; Quek, S.Y.; Huang, Z.Q.; Yuan, Y.J.; Li, G.Y.; Shan, Y. Efficient extraction and characterization of pectin from orange peel by a combined surfactant and microwave assisted process. Food Chem. 2019, 286, 1–7. [Google Scholar] [CrossRef]
- Ziyatdinova, G.; Ziganshina, E.; Cong, P.N.; Budnikov, H. Ultrasound-assisted micellar extraction of phenolic antioxidants from spices and antioxidant properties of the extracts based on coulometric titration data. Anal. Methods 2016, 8, 7150–7157. [Google Scholar] [CrossRef]
- Hosseinzadeh, R.; Khorsandi, K.; Hemmaty, S. Study of the effect of surfactants on extraction and determination of polyphenolic compounds and antioxidant capacity of fruits extracts. PLoS ONE 2013, 8, e57353. [Google Scholar] [CrossRef]
- Dai, J.; Mumper, R.J. Plant phenolics: Extraction, analysis and their antioxidant and anticancer properties. Molecules 2010, 15, 7313–7352. [Google Scholar] [CrossRef]
- Feduraev, P.; Chupakhina, G.; Maslennikov, P.; Tacenko, N.; Skrypnik, L. Variation in Phenolic Compounds Content and Antioxidant Activity of Different Plant Organs from Rumex crispus L. and Rumex obtusifolius L. at Different Growth Stages. Antioxidants 2019, 8, 237. [Google Scholar] [CrossRef] [PubMed]
- Montgomery, D.C. Design and Analysis of Experiments, 9th ed.; John Wiley & Sons, Inc.: Hoboken, NJ, USA, 2017. [Google Scholar]
- Maran, J.P.; Manikandan, S.; Priya, B.; Gurumoorthi, P. Box-Behnken design based multi-response analysis and optimization of supercritical carbon dioxide extraction of bioactive flavonoid compounds from tea (Camellia sinensis L.) leaves. J. Food Sci. Technol. 2015, 52, 92–104. [Google Scholar] [CrossRef]
- He, S.; Shi, J.; Walid, E.; Ma, Y.; Xue, S.J. Extraction and purification of a lectin from small black kidney bean (Phaseolus vulgaris) using a reversed micellar system. Process Biochem. 2013, 48, 746–752. [Google Scholar] [CrossRef]
- Takla, S.S.; Shawky, E.; Hammoda, H.M.; Darwish, F.A. Green techniques in comparison to conventional ones in the extraction of Amaryllidaceae alkaloids: Best solvents selection and parameters optimization. J. Chromatogr. A 2018, 1567, 99–110. [Google Scholar] [CrossRef] [PubMed]
- Kiathevest, K.; Goto, M.; Sasaki, M.; Pavasant, P.; Shotipruk, A. Extraction and concentration of anthraquinones from roots of Morinda citrifolia by non-ionic surfactant solution. Sep. Purif. Technol. 2009, 66, 111–117. [Google Scholar] [CrossRef]
- He, J.; Zhao, Z.; Shi, Z.; Zhao, M.; Li, Y.; Chang, W. Analysis of isoflavone daidzein in Puerariae radix with micelle-mediated extraction and preconcentration. J. Agric. Food Chem. 2005, 53, 518–523. [Google Scholar] [CrossRef]
- Memon, A.A.; Memon, N.; Bhanger, M.I. Micelle-mediated extraction of chlorogenic acid from Morus laevigata W. leaves. Sep. Purif. Technol. 2010, 76, 179–183. [Google Scholar] [CrossRef]
- Li, F.; Raza, A.; Wang, Y.W.; Xu, X.Q.; Chen, G.H. Optimization of surfactant-mediated, ultrasonic-assisted extraction of antioxidant polyphenols from rattan tea (Ampelopsis grossedentata) using response surface methodology. Pharmacogn. Mag. 2017, 13, 446–453. [Google Scholar] [CrossRef]
- Płotka-Wasylka, J.; Rutkowska, M.; Owczarek, K.; Tobiszewski, M.; Namieśnik, J. Extraction with environmentally friendly solvents. TrAC Trends Anal. Chem. 2017, 91, 12–25. [Google Scholar] [CrossRef]
- Lechuga, M.; Fernández-Serrano, M.; Jurado, E.; Núñez-Olea, J.; Ríos, F. Acute toxicity of anionic and non-ionic surfactants to aquatic organisms. Ecotoxicol. Environ. Saf. 2016, 125, 1–8. [Google Scholar] [CrossRef]
- Pradhan, A.; Bhattacharyya, A. Quest for an eco-friendly alternative surfactant: Surface and foam characteristics of natural surfactants. J. Clean. Prod. 2017, 150, 127–134. [Google Scholar] [CrossRef]
- Biesaga, M.; Pyrzyńska, K. Stability of bioactive polyphenols from honey during different extraction methods. Food Chem. 2013, 136, 46–54. [Google Scholar] [CrossRef] [PubMed]
- Pingret, D.; Fabiano-Tixier, A.S.; Le Bourvellec, C.; Renard, C.M.; Chemat, F. Lab and pilot-scale ultrasound-assisted water extraction of polyphenols from apple pomace. J. Food Eng. 2012, 111, 73–81. [Google Scholar] [CrossRef]
- Cacace, J.E.; Mazza, G. Optimization of extraction of anthocyanins from black currants with aqueous ethanol. J. Food Sci. 2003, 68, 240–248. [Google Scholar] [CrossRef]
- Belwal, T.; Dhyani, P.; Bhatt, I.D.; Rawal, R.S.; Pande, V. Optimization extraction conditions for improving phenolic content and antioxidant activity in Berberis asiatica fruits using response surface methodology (RSM). Food Chem. 2016, 207, 115–124. [Google Scholar] [CrossRef] [PubMed]
- Wojtunik-Kulesza, K.; Ciesla, L.; Oniszczuk, A.; Waksmundzka-Hajnos, M. The influence of micellar system on antioxidant activity of common terpenoids measured by UV-VIS Spectrophotometry. Acta Pol. Pharm. 2018, 75, 321–328. [Google Scholar]
- Guo, R.; Wei, P. Studies on the antioxidant effect of rutin in the microenvironment of cationic micelles. Micochim. Acta 2008, 161, 233–239. [Google Scholar] [CrossRef]
- Guo, R.; Wei, P.; Liu, W. Combined antioxidant effects of rutin and Vitamin C in Triton X-100 micelles. J. Pharm. Biomed. Anal. 2007, 43, 1580–1586. [Google Scholar] [CrossRef]
- Pérez-Rosés, R.; Risco, E.; Vila, R.; Peñalver, P.; Cañigueral, S. Antioxidant activity of T ween-20 and Tween-80 evaluated through different in-vitro tests. J. Pharm. Pharmacol. 2015, 67, 666–672. [Google Scholar] [CrossRef]
- Granato, D.; Santos, J.S.; Salem, R.D.; Mortazavian, A.M.; Rocha, R.S.; Cruz, A.G. Effects of herbal extracts on quality traits of yogurts, cheeses, fermented milks, and ice creams: A technological perspective. Curr. Opin. Food Sci. 2018, 19, 1–7. [Google Scholar] [CrossRef]
- Gahruie, H.H.; Eskandari, M.H.; Mesbahi, G.; Hanifpour, M.A. Scientific and technical aspects of yogurt fortification: A review. Food Sci. Hum. Wellness 2015, 4, 1–8. [Google Scholar] [CrossRef]
- Najgebauer-Lejko, D.; Sady, M.; Grega, T.; Walczycka, M. The impact of tea supplementation on microflora, pH and antioxidant capacity of yoghurt. Int. Dairy J. 2011, 21, 568–574. [Google Scholar] [CrossRef]
- Almeida, H.H.; Barros, L.; Barreira, J.C.; Calhelha, R.C.; Heleno, S.A.; Sayer, C.; Miranda, C.G.; Leimann, F.V.; Barreiro, M.F.; Ferreira, I.C. Bioactive evaluation and application of different formulations of the natural colorant curcumin (E100) in a hydrophilic matrix (yogurt). Food Chem. 2018, 261, 224–232. [Google Scholar] [CrossRef] [PubMed]
- Zhao, G.; Hu, C.; Sun, R.; Ni, S.; Xia, Q. Effect of emulsification process on multiple lipid particles encapsulating both coenzyme Q10 and tea polyphenols. J. Food Process Eng. 2015, 38, 144–154. [Google Scholar] [CrossRef]
- Ahmadi, Z.; Mohammadinejad, R.; Ashrafizadeh, M. Drug delivery systems for resveratrol, a non-flavonoid polyphenol: Emerging evidence in last decades. J. Drug Deliv. Sci. Technol. 2019, 51, 591–604. [Google Scholar] [CrossRef]
- Nasr, M. Development of an optimized hyaluronic acid-based lipidic nanoemulsion co-encapsulating two polyphenols for nose to brain delivery. Drug Deliv. 2016, 23, 1444–1452. [Google Scholar] [CrossRef]



| Symbols | Independent Variables | Levels | ||
|---|---|---|---|---|
| −1 | 0 | +1 | ||
| X1 | Surfactant concentration, % | 0.1 | 1.0 | 1.9 |
| X2 | Time, min | 40 | 60 | 80 |
| X3 | Solvent-to-material (SM) ratio, mL g−1 | 40 | 80 | 120 |
| X4 | pH | 2.0 | 4.0 | 6.0 |
| Run Order | Surfactant Concentration, % (X1) | Time, min (X2) | SM Ratio, mL g−1 (X3) | pH (X4) | TPC 1, mg g−1 | Residual Error | Error, % | |
|---|---|---|---|---|---|---|---|---|
| Observed 2 | Predicted | |||||||
| 1 | 1.9 | 80 | 80 | 4 | 6.25 ± 0.04 | 6.17 | 0.08 | 1.30 |
| 2 | 1.0 | 40 | 40 | 4 | 3.70 ± 0.03 | 3.75 | −0.05 | 1.43 |
| 3 | 1.0 | 80 | 120 | 4 | 6.94 ± 0.11 | 6.89 | 0.05 | 0.69 |
| 4 | 1.0 | 60 | 80 | 4 | 7.30 ± 0.01 | 7.35 | −0.05 | 0.73 |
| 5 | 1.9 | 60 | 40 | 4 | 4.55 ± 0.06 | 4.45 | 0.10 | 2.23 |
| 6 | 0.1 | 80 | 80 | 4 | 5.05 ± 0.05 | 5.15 | −0.11 | 2.12 |
| 7 | 1.0 | 60 | 80 | 4 | 7.34 ± 0.05 | 7.35 | −0.01 | 0.18 |
| 8 | 1.0 | 40 | 80 | 6 | 4.72 ± 0.03 | 4.84 | −0.12 | 2.55 |
| 9 | 1.0 | 40 | 80 | 2 | 5.29 ± 0.08 | 5.25 | 0.03 | 0.65 |
| 10 | 1.0 | 60 | 80 | 4 | 7.42 ± 0.04 | 7.35 | 0.07 | 0.90 |
| 11 | 1.9 | 60 | 80 | 2 | 6.03 ± 0.05 | 6.13 | −0.10 | 1.58 |
| 12 | 0.1 | 60 | 80 | 2 | 5.24 ± 0.02 | 5.10 | 0.14 | 2.59 |
| 13 | 1.0 | 60 | 120 | 2 | 6.82 ± 0.08 | 6.90 | −0.08 | 1.19 |
| 14 | 0.1 | 60 | 40 | 4 | 4.19 ± 0.02 | 4.13 | 0.06 | 1.40 |
| 15 | 1.9 | 40 | 80 | 4 | 4.71 ± 0.07 | 4.59 | 0.12 | 2.53 |
| 16 | 1.0 | 60 | 40 | 2 | 4.69 ± 0.04 | 4.80 | −0.11 | 2.28 |
| 17 | 0.1 | 60 | 120 | 4 | 6.04 ± 0.04 | 6.15 | −0.11 | 1.80 |
| 18 | 1.0 | 80 | 80 | 2 | 6.17 ± 0.04 | 6.06 | 0.11 | 1.83 |
| 19 | 1.0 | 60 | 120 | 6 | 6.83 ± 0.03 | 6.71 | 0.12 | 1.74 |
| 20 | 1.0 | 80 | 40 | 4 | 4.81 ± 0.05 | 4.90 | −0.09 | 1.95 |
| 21 | 1.0 | 80 | 80 | 6 | 5.99 ± 0.12 | 6.03 | −0.04 | 0.70 |
| 22 | 1.9 | 60 | 120 | 4 | 6.63 ± 0.13 | 6.70 | −0.07 | 1.00 |
| 23 | 1.0 | 60 | 40 | 6 | 4.64 ± 0.04 | 4.54 | 0.09 | 2.01 |
| 24 | 1.9 | 60 | 80 | 6 | 5.18 ± 0.03 | 5.32 | −0.14 | 2.71 |
| 25 | 1.0 | 40 | 120 | 4 | 6.13 ± 0.03 | 6.04 | 0.09 | 1.45 |
| 26 | 0.1 | 60 | 80 | 6 | 5.56 ± 0.06 | 5.47 | 0.09 | 1.63 |
| 27 | 0.1 | 40 | 80 | 4 | 4.67 ± 0.14 | 4.74 | −0.07 | 1.49 |
| Source | DF 1 | Adj SS | Contribution, % | Adj MS | F-Value | p-Value |
|---|---|---|---|---|---|---|
| Model | 16 | 85.6364 | 98.98 | 5.3523 | 390.06 | 0.000 |
| Blocks | 2 | 0.0131 | 0.02 | 0.0066 | 0.48 | 0.622 |
| Linear | 4 | 52.2353 | 60.38 | 13.0588 | 951.70 | 0.000 |
| X1 | 1 | 1.7096 | 1.98 | 1.7096 | 124.59 | 0.000 |
| X2 | 1 | 8.9700 | 10.37 | 8.9700 | 653.72 | 0.000 |
| X3 | 1 | 41.1202 | 47.53 | 41.1202 | 2996.76 | 0.000 |
| X4 | 1 | 0.4356 | 0.50 | 0.4356 | 31.75 | 0.003 |
| Quadratic | 4 | 31.1145 | 35.96 | 7.7786 | 566.89 | 0.000 |
| X1·X1 | 1 | 19.8248 | 7.68 | 19.8248 | 1444.79 | 0.000 |
| X2·X2 | 1 | 18.4327 | 9.99 | 18.4327 | 1343.34 | 0.000 |
| X3·X3 | 1 | 12.4080 | 8.45 | 12.4080 | 904.27 | 0.000 |
| X4·X4 | 1 | 8.5167 | 9.84 | 8.5167 | 620.68 | 0.000 |
| Two-Way Interaction | 6 | 2.2734 | 2.63 | 0.3789 | 27.61 | 0.001 |
| X1·X2 | 1 | 1.0179 | 1.18 | 1.0179 | 74.18 | 0.000 |
| X1·X3 | 1 | 0.0408 | 0.05 | 0.0408 | 2.98 | 0.089 |
| X1·X4 | 1 | 1.0325 | 1.19 | 1.0325 | 75.25 | 0.000 |
| X2·X3 | 1 | 0.0683 | 0.08 | 0.0683 | 4.97 | 0.029 |
| X2·X4 | 1 | 0.1102 | 0.13 | 0.1102 | 8.03 | 0.006 |
| X3·X4 | 1 | 0.0037 | 0.00 | 0.0037 | 0.27 | 0.607 |
| Error | 64 | 0.8782 | 1.02 | 0.0137 | ||
| Lack-of-Fit | 58 | 0.8532 | 0.99 | 0.0147 | 3.54 | 0.057 |
| Pure Error | 6 | 0.0249 | 0.03 | 0.0042 | ||
| Total | 80 | 86.5146 | 100.00 | |||
| R2 = 98.98% R2(adj) = 98.73% R2(pred) = 98.35% |
| Levels | C (Tween 80), % | Time, min | SM Ratio, mL g−1 | pH |
|---|---|---|---|---|
| High | 1.90 | 80.0 | 120.0 | 6.0 |
| Optimal | 1.14 | 64.6 | 103.8 | 3.8 |
| Low | 0.10 | 40.0 | 40.0 | 2.0 |
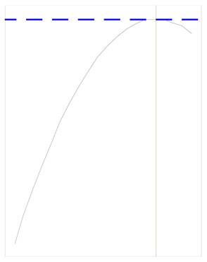
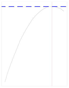
| Optimization plots | ![]() | ![]() | ![]() | ![]() |
| Response TPC, mg g−1 | Fit 7.7485 | SE 1 Fit 0.0345 | 95% CI (7.6793; 7.8170) | 95% PI (7.5042; 7.9921) |
| Apple Varieties | TPC, mg g−1 | Antioxidant Activity, mg TE g−1 | ||||||
|---|---|---|---|---|---|---|---|---|
| DPPH 1 | ABTS | FRAP | ||||||
| Ethanol 2 | Tween 80 | Ethanol | Tween 80 | Ethanol | Tween 80 | Ethanol | Tween 80 | |
| “Champion” | 3.42 ± 0.04 c 3 | 7.68 ± 0.24 c * | 2.97 ± 0.10 d | 5.12 ± 0.14 b * | 6.53 ± 0.23 bc | 10.12 ± 0.34 c * | 1.27 ± 0.09 c | 2.63 ± 0.10 c * |
| “Ligol” | 4.48 ± 0.11 b | 8.12 ± 0.29 c * | 3.24 ± 0.09 c | 5.21 ± 0.18 b * | 6.42 ± 0.24 c | 9.03 ± 0.21 d * | 1.68 ± 0.04 b | 3.12 ± 0.15 b * |
| “Imant” | 3.12 ± 0.09 d | 6.85 ± 0.19 d * | 1.92 ± 0.07 e | 4.36 ± 0.12 c * | 5.98 ± 0.19 d | 8.26 ± 0.26 d * | 1.12 ± 0.06 c | 2.42 ± 0.09 c * |
| “Gloster” | 5.98 ± 0.12 a | 10.23 ± 0.32 a * | 3.86 ± 0.10 a | 6.23 ± 0.23 a * | 7.25 ± 0.31 a | 15.23 ± 0.42 a * | 2.13 ± 0.08 a | 4.52 ± 0.18 a * |
| “Jonagored” | 6.09 ± 0.21 a | 9.26 ± 0.23 b * | 3.64 ± 0.11 b | 6.48 ± 0.31 a * | 6.84 ± 0.27 b | 11.26 ± 0.38 b * | 2.21 ± 0.07 a | 4.47 ± 0.13 a * |
© 2020 by the authors. Licensee MDPI, Basel, Switzerland. This article is an open access article distributed under the terms and conditions of the Creative Commons Attribution (CC BY) license (http://creativecommons.org/licenses/by/4.0/).
Share and Cite
Skrypnik, L.; Novikova, A. Response Surface Modeling and Optimization of Polyphenols Extraction from Apple Pomace Based on Nonionic Emulsifiers. Agronomy 2020, 10, 92. https://doi.org/10.3390/agronomy10010092
Skrypnik L, Novikova A. Response Surface Modeling and Optimization of Polyphenols Extraction from Apple Pomace Based on Nonionic Emulsifiers. Agronomy. 2020; 10(1):92. https://doi.org/10.3390/agronomy10010092
Chicago/Turabian StyleSkrypnik, Liubov, and Anastasia Novikova. 2020. "Response Surface Modeling and Optimization of Polyphenols Extraction from Apple Pomace Based on Nonionic Emulsifiers" Agronomy 10, no. 1: 92. https://doi.org/10.3390/agronomy10010092
APA StyleSkrypnik, L., & Novikova, A. (2020). Response Surface Modeling and Optimization of Polyphenols Extraction from Apple Pomace Based on Nonionic Emulsifiers. Agronomy, 10(1), 92. https://doi.org/10.3390/agronomy10010092





