The Use of Appropriate Cultivar of Basil (Ocimum basilicum) Can Increase Water Use Efficiency under Water Stress
Abstract
1. Introduction
2. Materials and Methods
2.1. Study Site
2.2. Plant Cultivars Used in the Study
2.3. Crop Management and Experimental Design
2.4. Morphological Parameters
2.5. Crop Sampling and Essential Oil Determination
2.6. Water Use Efficiency
2.7. Statistical Analysis
3. Results
3.1. Fresh and Dry Weight
3.2. Ratio of Leaves and Flowers to Stems, Plant Height, Number of Branches, and Leaf Area Index
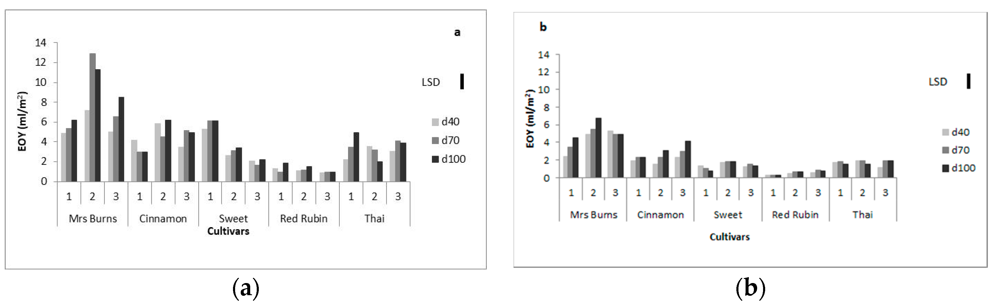
3.3. Essential Oil Content and Yield
3.4. Water Use Efficiency
4. Discussion
4.1. Fresh and Dry Weight
4.2. Plant Height, Number of Branches, and Leaf Area Index
4.3. Essential Oil Content and Yield
4.4. Water Use Efficiency
5. Conclusions
Supplementary Materials
Author Contributions
Funding
Acknowledgments
Conflicts of Interest
References
- Parry, M.L.; Canziani, O.F.; Palutikof, J.P.; van der Linden Hanson, C.E. Climate Change 2007: Impacts, Adaptation and Vulnerability. Contribution of Working Group II to the Fourth Assessment Report of the Intergovernmental Panel on Climate Change (IPCC); Cambridge University Press: Cambridge, UK, 2007; p. 976. [Google Scholar]
- Nemeskéri, E.; Helyes, L. Physiological Responses of Selected Vegetable Crop Species to Water Stress. Agronomy 2019, 9, 447. [Google Scholar] [CrossRef]
- Simon, J.E.; Quinn, J.; Murray, R.G. Basil: A source of essential oils. In Advances in New Crops; Janick, J., Simon, J.E., Eds.; Timber Press: Portland, OR, USA, 1990; pp. 484–489. [Google Scholar]
- Makri, O.; Kintzios, S. Ocimum sp. (basil): Botany, cultivation, pharmaceutical properties, and biotechnology. J. Herbs. Spices Med. Plants 2007, 13, 123–150. [Google Scholar] [CrossRef]
- Bączek, K.; Kosakowska, O.; Gniewosz, M.; Gientka, I.; Węglarz, Z. Sweet Basil (Ocimum basilicum L.) Productivity and Raw Material Quality from Organic Cultivation. Agronomy 2019, 9, 279. [Google Scholar] [CrossRef]
- Darrah, H.H. The Cultivated Basils; Buckeye Printing Company: Independence, MO, USA, 1988. [Google Scholar]
- Carovic-Stanko, K.; Liber, Z.; Besendorfer, V.; Javornik, B.; Bohanec, B.; Kolak, I.; Satovic, Z. Genetic relations among basil taxa (Ocimum L.) based on molecular markers, nuclear DNA content, and chromosome number. Plant Syst. Evol. 2010, 285, 13–22. [Google Scholar] [CrossRef]
- Rewers, M.; Jędrzejczyk, I. Genetic characterization of Ocimum genus using flow cytometry and inter-simple sequence repeat markers. Ind. Crop. Prod. 2016, 91, 142–151. [Google Scholar] [CrossRef]
- Juliani, H.R.; Simon, J.E. Antioxidant activity of basil. In Trends in New Crops and New Uses; Janic, J., Whipkey, A., Eds.; ASHS Press: Alexandria, VA, USA, 2002; pp. 575–579. [Google Scholar]
- Grayer, R.G.; Kite, G.C.; Goldstone, F.J.; Bryan, S.E.; Paton, A.; Putievsky, E. Infraspecific taxonomy and essential oil chemotypes in basil. Ocimum. Basilicum. Phytochem. 1996, 43, 1033–1039. [Google Scholar] [CrossRef]
- Nacar, S.; Tansi, S. Chemical components of different basil (Ocimum basilicum L.) cultivars grown in Mediterranean regions in Turkey. Israel J. Plant Sci. 2000, 48, 109–112. [Google Scholar] [CrossRef]
- Ekren, S.; Sönmez, C.; Özcakal, E.; Kurttas, Y.S.K.; Bayram, E.; Gürgülü, H. The effect of different irrigation water levels on yield and quality characteristics of purple basil (Ocimum basilicum L.). Agric. Water Manag. 2012, 109, 155–161. [Google Scholar] [CrossRef]
- Yassen, M.; Ram, P.; Anju, Y.; Singh, K. Response of Indian basil (Ocimum basilicum L.) to irrigation and nitrogen schedule in Central Uttar Pradesh. Ann. Plant Physiol. 2003, 17, 177–181. [Google Scholar]
- Omidbaigi, R.; Hassani, A.; Sefidkon, F. Essential oil content and composition of sweet basil (Ocimum basilicum L.) at different irrigation regimes. J. Essent. Oil-Bear Plants 2003, 6, 104–108. [Google Scholar] [CrossRef]
- Singh, M. Effect of nitrogen and irrigation on the yield and quality of sweet basil (Ocimum basilicum L.). J. Spices Aromat. Crop. 2003, 11, 151–154. [Google Scholar]
- Khalid, K.A. Influence of water stress on growth, essential oil and chemical composition of herbs (Ocimum sp.). Int. Agrophys. 2006, 20, 289–296. [Google Scholar]
- Asadollahi, A.; Mirza, M.; Abbaszadeh, B.; Azizpour, S.; Keshavarzi, A. Comparison of Essential oil from Leaves and Inflorescence of three Basil (Ocimum basilicum L.). Populations under Drought Stress. Int. J. Agron. Plant Prod. 2013, 4, 2764–2767. [Google Scholar]
- Bekhradi, F.; Luna, M.C.; Delshad, M.; Jordan, M.J.; Sotomayor, J.A.; Martínez-Conesa, C.; Gil, M.I. Effect of deficit irrigation on the postharvest quality of different genotypes of basil including purple and green Iranian cultivars and a Genovese variety. Postharvest Biol. Technol. 2015, 100, 127–135. [Google Scholar] [CrossRef]
- Ghamarnia, H.; Amirkhani, D.; Issa Arji, I. Basil (Ocimum basilicum L.) Water Use, Crop Coefficients and SIMDualKc Model Implementing in a Semi-Arid Climate. Int. J. Plant Soil 2015, 4, 535–547. [Google Scholar] [CrossRef]
- Dane, J.H.; Hopmans, J.W. Pressure Plate Extractor. In Methods of Soil Analysis; Part 4: Physical Methods. SSSA Book Ser. 5; Dane, J.H., Topp, E.C., Eds.; SSSA: Madison, WI, USA, 2002; pp. 688–690. [Google Scholar]
- Kavalieratou, S.; Karpouzos, D.K.; Babajimopoulos, C. Monitoring Equipment Installation; Technical report in the Program INTERREG IIIB: “Integrated Water Resources Management, Development and Confrontation of Common and Transnational Methodologies for Combating Drought within the MEDOCC Region”; EU: Thessaloniki, Greece, 2008; p. 15. [Google Scholar]
- Karagiannioy, I.; Dordas, C. Evaluation of basil genotypes using physiological and agronomic characteristics. In Proceedings of the NAROSSA® 2016, International Conference for Renewable Resources and Plant Biotechnology, Magdeburg, Germany, 13 June 2016. [Google Scholar]
- Allen, R.G.; Pereira, L.S.; Raes, D.; Smith, M. Crop evapotranspiration. Guidelines for computing crop water requirements. In FAO Irrigation and Drainage Paper; FAO—Food and Agriculture Organization of the United Nations: Rome, Italy, 1998. [Google Scholar]
- Dordas, C.; Papathanasiou, F.; Lithourgidis, A.; Petrevska, J.-K.; Papadopoulos, I.; Pankou, C.; Gekas, F.; Ninou, E.; Mylonas, I.; Sistanis, I.; et al. Evaluation of physiological characteristics as selection criteria for drought tolerance in maize inbred lines and their hybrids. Maydica 2018, 63, 1–14. [Google Scholar]
- Tokatlidis, I.S.; Dordas, C.; Papathanasiou, F.; Papadopoulos, I.; Pankou, C.; Gekas, F.; Ninou, E.; Mylonas, I.; Tzantarmas, C.; Petrevska, J.K.; et al. Improved Plant Yield Efficiency is Essential for Maize Rainfed Production. Agron. J. 2015, 107, 1011–1018. [Google Scholar] [CrossRef]
- Howell, T.A. Enhancing water use efficiency in irrigated agriculture. Agron. J. 2001, 93, 281–289. [Google Scholar] [CrossRef]
- Steel, R.G.D.; Torrie, J.H.; Dickey, D.A. Principles and Procedures of Statistics: A Biometrical Approach, 2nd ed.; McGraw-Hill: New York, NY, USA, 1997. [Google Scholar]
- Debaeke, P.; Aboudrare, A. Adaptation of crop management to water-limited environments. Eur. J. Agron. 2004, 21, 433–446. [Google Scholar] [CrossRef]
- Jacobsen, S.-E.; Jensen, C.R.; Liu, F. Improving crop production in the arid Mediterranean climate. Field Crops Res. 2012, 128, 34–47. [Google Scholar] [CrossRef]
- Blum, A. Effective use of water (EUW) and not water-use efficiency (WUE) is the target of crop yield improvement under drought stress. Field Crop. Res. 2009, 112, 119–123. [Google Scholar] [CrossRef]
- Blum, Α. Plant Breeding for Water-Limited Environments; Springer: New York, NY, USA, 2011. [Google Scholar]
- Buchanan, B.B.; Gruissem, W.; Jones, R.L. Biochemistry Molecular Biology of Plants, 2nd ed.; Wiley: New York, NY, USA, 2015. [Google Scholar]
- Arabaci, O.; Bayram, E. The Effect of Nitrogen Fertilization and Different Plant Densities on Some Agronomic and Technologic Characteristic of (Ocimum basilicum L.) Basil. J. Agron. 2004, 3, 255–262. [Google Scholar]
- Daneshnia, F.; Amini, A.; Chaichi, M.R. Surfactant effect on forage yield and water use efficiency for berseem clover and basil in intercropping and limited irrigation treatments. Agric. Water Manag. 2015, 160, 57–63. [Google Scholar] [CrossRef]
- Abdul-Hamid, A.F.; Kubota, F.A.; Morokuma, M. Photosynthesis, transpiration, dry matter accumulation and yield performance of mungbean plant in response to water stress. J. Fac. Agric. Kyushu Univ. 1990, 1–2, 81–92. [Google Scholar]
- Castonguay, Y.; Markhart, A.H. Saturated rates of photosynthesis in water stressed leaves of common bean and tepary bean. Crop. Sci. 1991, 31, 1605–1611. [Google Scholar] [CrossRef]
- Nunez-Barrious, A. Effect of Soil Water Deficits on the Growth and Development of Dry Bean at Different Stages of Growth (1991). Ph.D. Thesis, Michigan State University, East Lansing, MI, USA, 1992. [Google Scholar]
- Viera, H.J.; Bergamaschi, H.; Angelocci, L.R.; Libardi, P.L. Performance of two bean cultivars under two water availability regimes. II. Stomatal resistance to vapour diffusion, transpiration flux density and water potential in the plant (in Portugal). Pesqui. Agropeularia Bras. 1991, 9, 1035–1045. [Google Scholar]
- Durigon, A.; Evers, J.; Metselaar, K.; de Jong van Lier, Q. Water Stress Permanently Alters Shoot Architecture in Common Bean Plants. Agronomy 2019, 9, 160. [Google Scholar] [CrossRef]
- Rhizopoulou, S.; Diamantoglou, S. Water stress induced diurnal variations in leaf water relations, stomatal conductance, soluble sugars, lipids and essential oil content of Origanum majorana L. J. Hortic. Sci. 1991, 66, 119–125. [Google Scholar] [CrossRef]
- Misra, A.; Srivastava, N.K. Influence of water stress on Japanese mint. J. Herbs. Spices Med. Plants 2000, 7, 51–58. [Google Scholar] [CrossRef]
- Nurzyńska-Wierdak, R.; Bogucka-Kocka, A.; Kowalski, R.; Borowsk, B. Changes in the chemical composition of the essential oil of sweet basil (Ocimum basilicum L.) depending on the plant growth stage. Chemija 2012, 23, 216–222. [Google Scholar]
- Sirousmehrm, A.; Arbabi, J.; Asharipour, M.R. Effect of drought stress levels and organic manures on yield, essential oil content and some morphological characteristics of sweet basil (Ocimum basilicum L.). Adv. Environ. Biol. 2014, 8, 880–885. [Google Scholar]
- Pirbalouti, A.G.; Malekpoor, F.; Salimi, A.; Golparvar, A. Exogenous application of chitosan on biochemical and physiological characteristics, phenolic content and antioxidant activity of two species of basil (Ocimum ciliatum and Ocimum basilicum) under reduced irrigation. Sci. Hortic. 2017, 217, 114–122. [Google Scholar] [CrossRef]
- Kulaka, M.; Ozkanc, A.; Bindakd, R. A bibliometric analysis of the essential oil-bearing plants exposed to the water stress: How long way we have come and how much further? Sci. Hortic. 2019, 246, 418–436. [Google Scholar] [CrossRef]
- Barideh, R.; Besharat, S.; Morteza, M.; Rezaverdinejad, V. Effects of Partial Root-Zone Irrigation on the Water Use Efficiency and Root Water and Nitrate Uptake of Corn. Water 2018, 10, 526. [Google Scholar] [CrossRef]
- Al-Ghzawi, A.L.A.; Khalaf, Y.B.; Al-Ajlouni, Z.I.; AL-Quraan, N.A.; Musallam, I.; Hani, N.B. The Effect of Supplemental Irrigation on Canopy Temperature Depression, Chlorophyll Content, and Water Use Efficiency in Three Wheat (Triticum aestivum L. and T. durum Desf.) Varieties Grown in Dry Regions of Jordan. Agriculture 2018, 8, 67. [Google Scholar] [CrossRef]
- Wei, Y.; Jin, J.; Jiang, S.; Ning, S.; Liu, L. Quantitative Response of Soybean Development and Yield to Drought Stress during Different Growth Stages in the Huaibei Plain, China. Agronomy 2018, 8, 97. [Google Scholar] [CrossRef]




| Year 2015 | Year 2016 | 30-Year Average | |||||||
|---|---|---|---|---|---|---|---|---|---|
| June | July | August | June | July | August | June | July | August | |
| Tmax (°C) | 29.8 | 34.3 | 33.8 | 32.4 | 34.5 | 33.8 | 30.2 | 32.5 | 32.2 |
| Tmin (°C) | 17.1 | 20.5 | 20.4 | 18.7 | 21.2 | 20.4 | 15.9 | 18.2 | 18.0 |
| Tmean (°C) | 23.2 | 27.5 | 27.1 | 25.9 | 27.8 | 27.1 | 24.5 | 26.7 | 26.0 |
| RHmean (%) | 66.7 | 62.7 | 63.9 | 62.3 | 58.9 | 62.1 | 60 | 58 | 62 |
| Rainfall (mm) | 96.2 | 8.2 | 1.1 | 15.2 | 1.2 | 0.8 | 32 | 31 | 24 |
| ETο (mm/day) | 4.5 | 5 | 4.5 | 4.8 | 5 | 5 | 4 | 5 | 5 |
| 2015 | ||||||
| Date (DD/MM/YEAR) | ||||||
| Treatment | 16/7/2015 | 21/7/2015 | 28/7/2015 | 31/7/2015 | 13/8/2015 | Total water applied |
| d100 | 74.9 | 42.5 | 42.5 | 21.3 | 21.3 | 202.5 |
| d70 | 52.4 | 29.8 | 29.8 | 14.9 | 14.9 | 141.8 |
| d40 | 30 | 17.0 | 17.0 | 8.5 | 8.5 | 81 |
| 2016 | ||||||
| Date (DD/MM/YEAR) | ||||||
| 14/6/2016 | 18/6/2016 | 22/6/2016 | 1/7/2016 | 12/7/2016 | ||
| d100 | 38.3 | 51.1 | 42.5 | 46.8 | 65.9 | 244.6 |
| d70 | 26.8 | 35.7 | 29.8 | 32.8 | 46.2 | 171.3 |
| d40 | 15.3 | 20.4 | 17.0 | 18.7 | 26.4 | 97.8 |
| Plant Characteristics | Year (Y) | Irrigation (W) | Cultivar (C) | Growth Stages (S) | C × Y | W × Y | S × Y | C × S | W × S | C × W | C × Y × W | C × W × S | W × Y × S | C × Y × S | C × Y × W × S |
|---|---|---|---|---|---|---|---|---|---|---|---|---|---|---|---|
| Fresh weight | *** | *** | *** | *** | ** | NS | *** | *** | NS | NS | NS | NS | NS | *** | NS |
| Dry weight | *** | *** | *** | *** | *** | NS | *** | *** | NS | NS | NS | NS | NS | *** | NS |
| Dry weight of leaves and flowers | *** | ** | *** | *** | ** | NS | *** | *** | NS | NS | NS | NS | NS | *** | NS |
| Dry weight of stems | *** | *** | *** | *** | *** | NS | NS | *** | NS | NS | NS | NS | NS | *** | NS |
| Ratio of leaves and flowers/stems | * | NS | NS | * | ** | ** | *** | NS | NS | * | NS | * | ** | ** | * |
| Plant height | *** | *** | *** | *** | *** | NS | *** | *** | *** | NS | * | ** | NS | *** | NS |
| Number of branches | NS | * | *** | NS | * | NS | *** | NS | NS | NS | NS | NS | NS | ** | NS |
| LAI | *** | *** | *** | *** | NS | * | *** | *** | NS | NS | * | *** | NS | *** | ** |
| Essential oil yield | *** | ** | *** | ** | NS | NS | *** | *** | NS | NS | NS | NS | NS | *** | NS |
| Essential oil content | *** | NS | ** | *** | *** | NS | *** | *** | NS | NS | NS | * | NS | * | ** |
| WUEDW | *** | *** | *** | *** | * | NS | *** | *** | NS | NS | NS | NS | NS | *** | NS |
| Cultivars | Fresh Weight (g/m2) | Dry Weight (g/m2) | Dry Weight of Leaves and Flowers (g/m2) | Dry Weight of Stems (g/m2) | Number of Branches |
| 2015 beginning of flowering | |||||
| Mrs Burns | 3285.4 | 569.2 | 246.3 | 322.9 | 8.0 |
| Cinnamon | 2730.4 | 513.1 | 213.6 | 299.5 | 9.5 |
| Sweet | 3965.8 | 898.3 | 441.8 | 456.6 | 10.1 |
| Red Rubin | 2028.3 | 405.8 | 197.6 | 208.3 | 8.8 |
| Thai | 3081.7 | 594.2 | 303.3 | 290.8 | 8.0 |
| 2016 beginning of flowering | |||||
| Mrs Burns | 2223.3 | 374.9 | 192.3 | 182.6 | 10.6 |
| Cinnamon | 1440.3 | 278.1 | 173.4 | 104.7 | 11.3 |
| Sweet | 886.5 | 213.3 | 107.7 | 105.6 | 9.9 |
| Red Rubin | 466.0 | 74.8 | 43.1 | 31.7 | 8.2 |
| Thai | 1029.4 | 191.2 | 111.4 | 79.7 | 10.4 |
| 2015 full bloom | |||||
| Mrs Burns | 4651.7 | 1117.5 | 572.7 | 544.8 | 8.5 |
| Cinnamon | 3755.8 | 880.8 | 456.0 | 424.8 | 10.7 |
| Sweet | 2315.8 | 966.7 | 420.9 | 545.8 | 8.6 |
| Red Rubin | 1632.5 | 531.7 | 244.0 | 287.7 | 8.9 |
| Thai | 1810.8 | 669.2 | 356.6 | 312.6 | 8.8 |
| 2016 full bloom | |||||
| Mrs Burns | 2970.4 | 561.9 | 284.8 | 277.1 | 9.6 |
| Cinnamon | 1640.8 | 338.7 | 184.3 | 154.3 | 10.5 |
| Sweet | 1682.5 | 442.8 | 191.8 | 250.9 | 8.9 |
| Red Rubin | 963.3 | 218.8 | 89.8 | 128.9 | 8.3 |
| Thai | 976.6 | 243.6 | 130.1 | 113.6 | 8.2 |
| 2015 end of flowering | |||||
| Mrs Burns | 3088.3 | 1141.7 | 546.3 | 595.4 | 10.2 |
| Cinnamon | 3265.8 | 1080.8 | 541.5 | 539.3 | 10.3 |
| Sweet | 1912.5 | 819.2 | 294.3 | 524.9 | 9.4 |
| Red Rubin | 1139.2 | 426.7 | 199.8 | 226.8 | 9.9 |
| Thai | 1662.5 | 668.3 | 384.6 | 283.8 | 8.9 |
| 2016 end of flowering | |||||
| Mrs Burns | 3110.1 | 876.9 | 372.8 | 504.1 | 8.7 |
| Cinnamon | 2157.0 | 629.8 | 302.3 | 327.4 | 9.0 |
| Sweet | 1282.0 | 330.8 | 168.1 | 162.7 | 9.0 |
| Red Rubin | 1233.8 | 214.6 | 122.3 | 92.3 | 7.9 |
| Thai | 1062.2 | 229.9 | 144.8 | 85.1 | 9.1 |
| LSD0.05 | 376.7 | 85.7 | 49.6 | 52.9 | 1.3 |
| Irrigation treatment | Fresh weight (g/m2) | Dry weight (g/m2) | Dry weight of leaves and flowers (g/m2) | Dry weight of stems (g/m2) | Number of branches |
| d40 | 1716.5 | 500.7 | 254.1 | 246.7 | 9.6 |
| d70 | 2112.0 | 547.8 | 270.4 | 277.4 | 9.4 |
| d100 | 2516.5 | 601.7 | 279.3 | 322.4 | 8.8 |
| LSD0.05 | 173.5 | 38.6 | 16.3 | 27.8 | 0.6 |
| Cultivars | Irrigation Treatment | Plant Height (cm) | Ratio of Leaves and Flowers/Stems (g/m2) | Plant Height (cm) | Ratio of Leaves and Flowers/Stems (g/m2) | Plant Height (cm) | Ratio of Leaves and Flowers/Stems (g/m2) |
|---|---|---|---|---|---|---|---|
| Beginning of Flowering | Full Bloom | End of Flowering | |||||
| 2015 | |||||||
| Mrs Burns | d40 | 66.4 | 0.88 | 75.4 | 1.02 | 78.8 | 0.72 |
| d70 | 60.9 | 1.19 | 82.0 | 0.92 | 83.6 | 1.01 | |
| d100 | 60.3 | 0.85 | 80.3 | 0.66 | 85.2 | 1.04 | |
| Cinnamon | d40 | 57.5 | 1.05 | 63.3 | 0.68 | 65.9 | 1.01 |
| d70 | 57.1 | 1.18 | 67.6 | 1.10 | 74.9 | 1.10 | |
| d100 | 52.2 | 1.06 | 66.2 | 1.02 | 78.6 | 0.86 | |
| Sweet | d40 | 71.7 | 0.74 | 73.5 | 1.94 | 76.7 | 1.25 |
| d70 | 75.6 | 1.19 | 84.4 | 1.30 | 86.4 | 0.92 | |
| d100 | 75.8 | 0.91 | 95.6 | 1.08 | 93.3 | 0.55 | |
| Red Rubin | d40 | 44.7 | 1.16 | 47.9 | 0.73 | 48.2 | 1.09 |
| d70 | 47.7 | 1.07 | 55.1 | 1.14 | 57.1 | 0.95 | |
| d100 | 54.3 | 0.74 | 61.9 | 0.95 | 62.3 | 1.18 | |
| Thai | d40 | 37.0 | 0.74 | 43.2 | 1.50 | 40.9 | 0.96 |
| d70 | 38.7 | 0.95 | 43.1 | 1.41 | 44.8 | 0.77 | |
| d100 | 43.7 | 0.99 | 50.4 | 0.97 | 53.7 | 0.57 | |
| 2016 | |||||||
| Mrs Burns | d40 | 44.1 | 1.28 | 54.4 | 0.91 | 65.1 | 1.70 |
| d70 | 44.1 | 0.82 | 57.4 | 0.82 | 71.0 | 1.46 | |
| d100 | 51.0 | 1.17 | 68.5 | 0.89 | 84.2 | 2.21 | |
| Cinnamon | d40 | 39.2 | 0.75 | 45.7 | 1.25 | 53.2 | 0.97 |
| d70 | 39.9 | 0.64 | 49.9 | 0.70 | 57.2 | 1.09 | |
| d100 | 44.4 | 0.58 | 54.0 | 1.41 | 62.4 | 2.89 | |
| Sweet | d40 | 50.6 | 0.95 | 57.9 | 0.95 | 64.1 | 1.63 |
| d70 | 48.5 | 0.68 | 63.3 | 0.69 | 67.1 | 1.18 | |
| d100 | 50.2 | 0.86 | 70.2 | 0.77 | 73.5 | 1.71 | |
| Red Rubin | d40 | 34.9 | 0.96 | 42.8 | 1.29 | 49.0 | 1.01 |
| d70 | 31.7 | 1.16 | 45.7 | 0.57 | 50.1 | 1.31 | |
| d100 | 37.7 | 0.96 | 46.8 | 1.37 | 54.1 | 1.23 | |
| Thai | d40 | 25.8 | 1.53 | 29.2 | 1.22 | 30.9 | 1.03 |
| d70 | 28.2 | 1.10 | 26.4 | 1.19 | 33.5 | 0.98 | |
| d100 | 30.0 | 1.24 | 32.6 | 1.21 | 40.8 | 1.50 | |
| LSD0.05 | 4.8 | 0.8 | 4.8 | 0.8 | 4.8 | 0.8 | |
© 2020 by the authors. Licensee MDPI, Basel, Switzerland. This article is an open access article distributed under the terms and conditions of the Creative Commons Attribution (CC BY) license (http://creativecommons.org/licenses/by/4.0/).
Share and Cite
Kalamartzis, I.; Dordas, C.; Georgiou, P.; Menexes, G. The Use of Appropriate Cultivar of Basil (Ocimum basilicum) Can Increase Water Use Efficiency under Water Stress. Agronomy 2020, 10, 70. https://doi.org/10.3390/agronomy10010070
Kalamartzis I, Dordas C, Georgiou P, Menexes G. The Use of Appropriate Cultivar of Basil (Ocimum basilicum) Can Increase Water Use Efficiency under Water Stress. Agronomy. 2020; 10(1):70. https://doi.org/10.3390/agronomy10010070
Chicago/Turabian StyleKalamartzis, Iakovos, Christos Dordas, Pantazis Georgiou, and George Menexes. 2020. "The Use of Appropriate Cultivar of Basil (Ocimum basilicum) Can Increase Water Use Efficiency under Water Stress" Agronomy 10, no. 1: 70. https://doi.org/10.3390/agronomy10010070
APA StyleKalamartzis, I., Dordas, C., Georgiou, P., & Menexes, G. (2020). The Use of Appropriate Cultivar of Basil (Ocimum basilicum) Can Increase Water Use Efficiency under Water Stress. Agronomy, 10(1), 70. https://doi.org/10.3390/agronomy10010070

