Agronomic Responses of Major Fruit Crops to Fertilization in China: A Meta-Analysis
Abstract
1. Introduction
2. Materials and Methods
2.1. Data Collection
2.2. Data Analysis
2.3. Statistical and Sensitivity Analyses
3. Results
3.1. Yield Response and Relative Yield of Fruit Crops in China
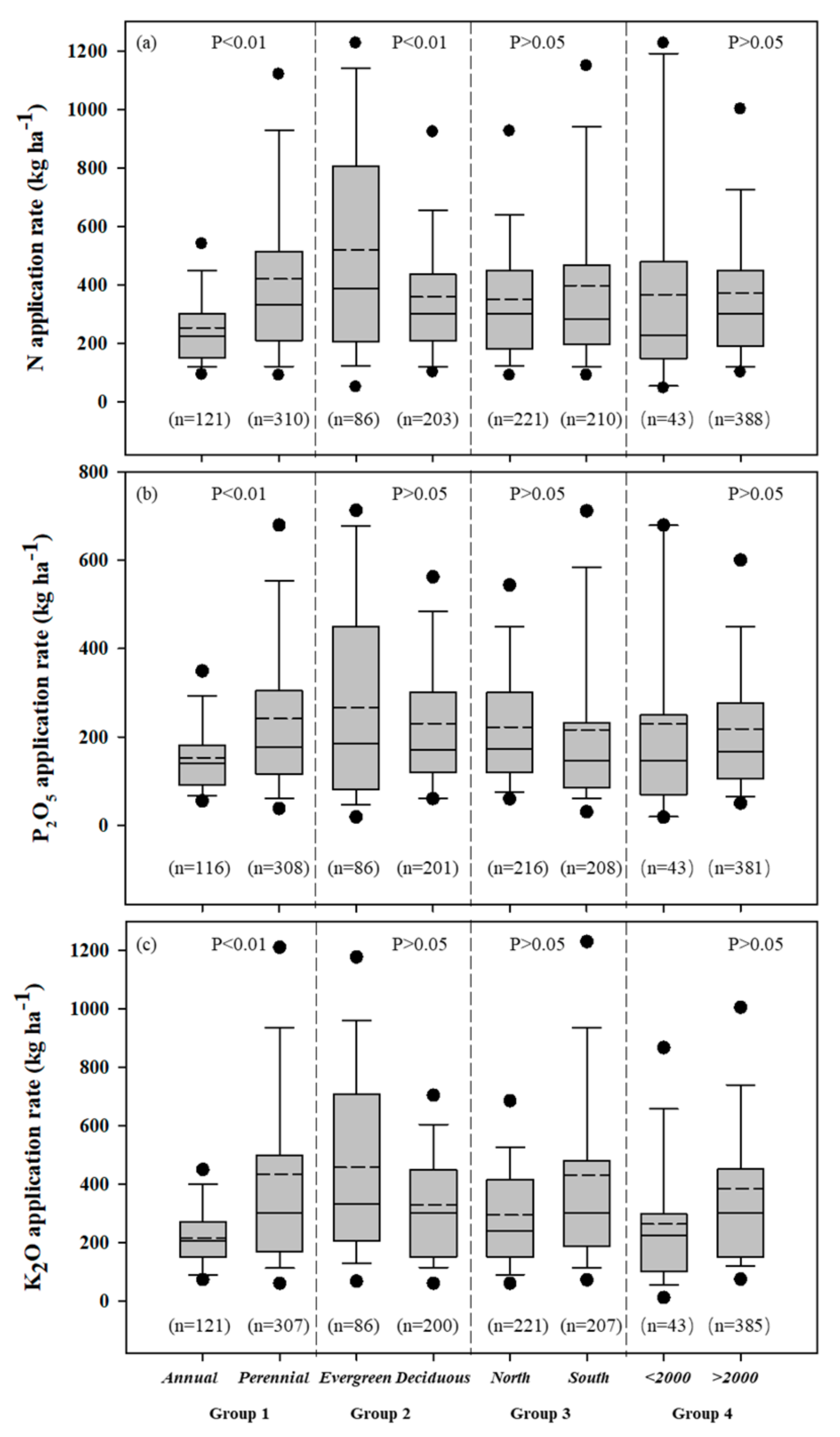
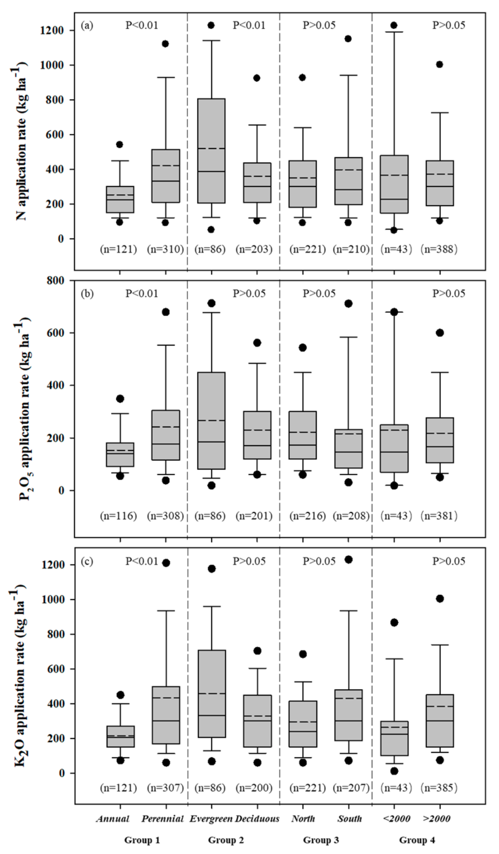
3.2. Optimal Fertilization Characteristics of Fruit Crops in China
3.3. Agronomic Efficiency of Fruit Crops in China
3.4. Partial Factor Productivity of Fertilizer in Fruit Crops in China
4. Discussion
4.1. Agronomic Response of Fruit Crops in China to Fertilization
4.2. Nutrient use Efficiency of Fruit Crops in China
4.3. Uncertainties
5. Conclusions
Supplementary Materials
Author Contributions
Funding
Conflicts of Interest
References
- China Agriculture Yearbook. Editorial Board of Agriculture Yearbook of China; China Agriculture Press: Beijing, China, 2017. [Google Scholar]
- Hou, M.Y.; Zhang, L.; Wang, Z.W. Estimation of fertilizer usage from main crops in China. J. Agric. Resour. Environ. 2017, 34, 360–367. (In Chinese) [Google Scholar]
- Wu, L.; Zhang, W.F.; Chen, X.P.; Cui, Z.L.; Fan, M.S.; Chen, Q.; Zhang, F.S. Nitrogen fertilizer input and nitrogen use efficiency in Chinese farmland. Soil Fertil. Sci. China 2016, 2016, 76–83. (In Chinese) [Google Scholar]
- Zhao, R.F.; Chen, X.P.; Zhang, F.S.; Zhang, H.L.; Schroder, J.; Römheld, V. Fertilization and nitrogen balance in a wheat–maize rotation system in North China. Agron. J. 2006, 98, 938–945. [Google Scholar] [CrossRef]
- Zhang, F.S.; Wang, J.Q.; Zhang, W.F.; Cui, Z.L.; Ma, W.Q.; Chen, X.P.; Jiang, R.F. Nutrient use efficiencies of major cereal crops in China and measures for improvement. Acta Pedol. Sin. 2008, 45, 915–924. (In Chinese) [Google Scholar]
- Ju, X.T.; Xing, G.X.; Chen, X.P.; Zhang, S.L.; Zhang, L.J.; Liu, X.J.; Cui, Z.L.; Yin, B.; Christie, P.; Zhu, Z.L.; et al. Reducing environmental risk by improving N management in intensive Chinese agricultural systems. Proc. Natl. Acad. Sci. USA 2009, 106, 3041–3046. [Google Scholar] [CrossRef] [PubMed]
- Le, C.; Zha, Y.; Li, Y.; Sun, D.; Lu, H.; Yin, B. 2010. Eutrophication of lake waters in China: Cost, causes, and control. Environ. Manag. 2010, 45, 662–668. [Google Scholar] [CrossRef]
- Gao, Q.; Li, C.; Feng, G.; Wang, J.; Cui, Z.L.; Chen, X.P. 2012. Understanding yield response to nitrogen to achieve high yield and high nitrogen use efficiency in rainfed corn. Agron. J. 2012, 104, 165–168. [Google Scholar] [CrossRef]
- Zhang, F.S.; Cui, Z.L.; Fan, M.S.; Zhang, W.F.; Chen, X.P.; Jiang, R.F. Integrated soil-crop system management: Reducing environmental risk while increasing crop productivity and improving nutrient use efficiency in China. J. Environ. Qual. 2011, 40, 1051–1057. [Google Scholar] [CrossRef]
- Cui, Z.L.; Zhang, H.Y.; Chen, X.P.; Zhang, C.C.; Ma, W.Q.; Huang, C.D.; Zhang, W.F.; Mi, G.H.; Li, X.L.; Gao, Q.; et al. Pursuing sustainable productivity with millions of smallholder farmers. Nature 2018, 555, 363–366. [Google Scholar] [CrossRef]
- Sahrawat, K.L.; Wani, S.P. Soil testing as a tool for on-farm fertility management: Experience from the semi-arid zone of India. Commun. Soil Sci. Plant Anal. 2013, 44, 1011–1032. [Google Scholar] [CrossRef]
- Geisseler, D.; Miyao, G. Soil testing for P and K has value in nutrient management for annual crops. Calif. Agric. 2016, 70, 152–159. [Google Scholar] [CrossRef]
- He, P.; Li, S.T.; Jin, J.Y.; Wang, H.T.; Li, C.J.; Wang, Y.L.; Cui, R.Z. Performance of an optimized nutrient management system for double-cropped wheat–maize rotations in North-central China. Agron. J. 2009, 101, 1489–1496. [Google Scholar] [CrossRef]
- Huang, S.; Jin, J.; Zuo, Y.; Yang, L.; Cheng, M. Evaluation of agricultural soil nutrient balance for Yutian County and Lingxian experimental area in Huang-Huai-Hai Plain. Plant Nutr. Fertil. Sci. 2002, 8, 137–143. (In Chinese) [Google Scholar]
- Chuan, L.; He, P.; Pampolino, M.F.; Johnston, A.M.; Jin, J.Y.; Xu, X. Establishing a scientific basis for fertilizer recommendations for wheat in China: Yield response and agronomic efficiency. Field Crops Res. 2013, 140, 1–8. [Google Scholar] [CrossRef]
- Chuan, L.M.; He, P.; Jin, J.Y.; Li, S.T.; Grantc, C.; Xu, X.P.; Qiu, S.J.; Zhao, S.C.; Zhou, W. Estimating nutrient uptake requirements for wheat in China. Field Crops Res. 2013, 146, 96–104. [Google Scholar] [CrossRef]
- Xu, X.P.; He, P.; Pampolinoc, M.F.; Johnston, A.M.; Qiu, S.J.; Zhao, S.C.; Chuan, L.M.; Zhou, W. Fertilizer recommendation for maize in China based on yield response and agronomic efficiency. Field Crops Res. 2014, 157, 27–34. [Google Scholar] [CrossRef]
- Wang, W.N.; Lu, J.W.; Li, Y.S.; Zou, J.; Su, W.; Li, X.K.; Li, Y.C. Study on fertilization effect and fertilizer contribution rate of different crops at present production conditions. Sci. Agric. Sin. 2010, 43, 3997–4007. [Google Scholar]
- Wu, L.Q.; Wu, L.; Cui, Z.L.; Chen, X.P.; Zhang, F.S. Basic NPK fertilizer recommendation and fertilization formula for maize production regions in China. Acta Pedol. Sin. 2015, 52, 802–817. [Google Scholar]
- Dobermann, A.; Witt, C.; Abdulrachman, S.; Gines, H.C.; Nagarajan, R.; Nagarajan, T.T.; Son, T.T.; Tan, P.S.; Wang, G.H.; Chien, N.V.; et al. Fertilizer management, soil fertility and indigenous nutrient supply in irrigated rice domains of Asia. Agron. J. 2003, 95, 913–923. [Google Scholar] [CrossRef]
- Dobermann, A.; Witt, C.; Abdulrachman, S.; Gines, H.C.; Nagarajan, R.; Son, T.T.; Tan, P.S.; Wang, G.H.; Chien, N.V.; Thoa, V.T.K.; et al. Estimating indigenous nutrient supplies for site-specific nutrient management in irrigated rice. Agron. J. 2003, 95, 924–935. [Google Scholar] [CrossRef]
- He, P.; Jin, J.Y.; Pampolino, M.F.; Johnston, A.M. Approach and decision support system based on crop yield response and agronomic efficiency. Plant Nutr. Fertil. Sci. 2012, 18, 499–505. (In Chinese) [Google Scholar]
- Pampolino, M.F.; Witt, C.; Pasuquin, J.M.; Johnston, A.; Fisher, M.J. Development approach and evaluation of the Nutrient Expert software for nutrient management in cereal crops. Comput. Electron. Agric. 2012, 88, 103–110. [Google Scholar] [CrossRef]
- Cassman, K.G.; Dobermann, A.; Walters, D.T. Agroecosystems, nitrogen use efficiency, and nitrogen management. Ambio 2002, 31, 132–140. [Google Scholar] [CrossRef]
- Liu, X.Y.; Ping, H.; Jin, J.Y.; Wei, Z.; Sulewski, G.; Phillips, S. Yield gaps, indigenous nutrient supply, and nutrient use efficiency of wheat in china. Agron. J. 2011, 103, 1452–1463. [Google Scholar] [CrossRef]
- Martin, W. A Calculation Tool for Analyzing Nitrogen Use Efficiency in Annual and Perennial Crops. Agronomy 2014, 4, 470–477. [Google Scholar]
- Getachew, S.; Jens, B.A. Maize Response to Fertilizer Dosing at Three Sites in the Central Rift Valley of Ethiopia. Agronomy 2014, 4, 436–451. [Google Scholar]
- Hameed, F.; Xu, J.Z.; Rahim, S.F.; Wei, Q.; Khail, A.U.R.; Liao, Q. Optimizing Nitrogen Options for Improving Nitrogen Use Efficiency of Rice under Different Water Regimes. Agronomy 2019, 9, 39. [Google Scholar] [CrossRef]
- Zhou, H.M.; Niu, X.L.; Yan, H.; Zhao, N.; Zhang, F.C.; Wu, L.F.; Yin, D.X.; Kjelgren, R. Interactive Effects of Water and Fertilizer on Yield, Soil Water and Nitrate Dynamics of Young Apple Tree in Semiarid Region of Northwest China. Agronomy 2019, 9, 360. [Google Scholar] [CrossRef]
- Ierna, A.; Pandino, G.; Lombardo, S.; Mauromicale, G. Tuber yield. Water and fertilizer productivity in early potato as affected by a combination of irrigation and fertilization. Agric. Water Manag. 2011, 101, 35–41. [Google Scholar] [CrossRef]
- Buresh, R.J.; Pampolino, M.F.; Witt, C. Field-specific potassium and phosphorus balances and fertilizer requirements for irrigated rice-based cropping systems. Plant Soil 2010, 335, 35–64. [Google Scholar] [CrossRef]
- Dobermann, A.; White, P.F. Strategies for nutrient management in irrigated and rainfed lowland rice systems. Nutr. Cycl. Agroecosyst. 1999, 53, 1–18. [Google Scholar] [CrossRef]
- Reganold, J.P.; Glover, J.D.; Andrews, P.K.; Hinman, H.R. Sustainability of three apple production systems. Nature 2001, 410, 926–930. [Google Scholar] [CrossRef]
- Chen, H.; Li, X.; Hu, F.; Shi, W. Soil nitrous oxide emissions following crop residue addition: A meta-analysis. Glob. Chang. Sci. 2013, 19, 2956–2964. [Google Scholar] [CrossRef]
- Lin, J.J.; Zhang, Q. Characteristics of climate state and change of temperature and precipitation in north and south China and their impact on climate detection results. Clim. Chang. Res. 2015, 11, 281–287. [Google Scholar]
- Fan, M.S.; Rattan, L.; Cao, J.; Qiao, L.; Su, Y.S.; Jiang, R.F.; Zhang, F.S. Plant-based assessment of inherent soil productivity and contributions to china’s cereal crop yield increase since 1980. PLoS ONE 2018, 8, e74617. [Google Scholar] [CrossRef]
- Hedges, L.V.; Gurevitch, J.; Curtism, P.S. The meta-analysis of response ratios in experimental ecology. Ecology 1999, 80, 1150–1156. [Google Scholar] [CrossRef]
- Kim, D.G.; Giltrap, D.; Hernandez-Ramirez, G. Background nitrous oxide missions in agricultural and natural lands: A meta-analysis. Plant Soil 2013, 17, 17–30. [Google Scholar] [CrossRef]
- Xu, X.P. Methodology of Fertilizer Recommendation Based on Yield Response and Agronomic Efficiency for Maize. Master’s Thesis, Chinese Academy of Agricultural Sciences, Beijing, China, 2012. (In Chinese). [Google Scholar]
- Xu, X.P.; Liu, X.Y.; He, P.; Johnston, A.M.; Zhao, S.C.; Qiu, S.J.; Zhou, W. Yield gap, indigenous nutrient supply and nutrient use efficiency for maize in China. PLoS ONE 2015, 10, e0140767. [Google Scholar] [CrossRef]
- Han, T.F.; Ma, C.B.; Huang, J.; Liu, K.L.; Xue, Y.D.; Li, D.C.; Liu, L.S.; Zhang, L.; Liu, S.J.; Zhang, H.M. Variation in Rice Yield Response to Fertilization in China: Meta-analysis. Sci. Agric. Sin. 2019, 52, 1918–1929. [Google Scholar]
- Koenig, K.W.D. Site fertility and leaf nutrients of sympatric evergreen and deciduous species of Quercus in central coastal California. Plant Ecol. 1997, 130, 121–131. [Google Scholar]
- Benavides, R.; Douglas, G.B.; Osoro, K. Silvopastoralism in New Zealand: Review of effects of evergreen and deciduous trees on pasture dynamics. Agrofor. Syst. 2009, 76, 327–350. [Google Scholar] [CrossRef]
- Corina, C.; Gustavo, B.; Massimo, T. Nitrogen nutrition of fruit crops to reconcile productivity and environmental concerns. Plants 2018, 7, 4. [Google Scholar]
- Zhang, D.; Wang, C.; Li, X.L.; Yang, X.S.; Zhao, L.B.; Xia, S.J. Correlation of production constraints with the yield gap of apple cropping systems in Luochuan County, China. J. Integr. Agric. 2019, 18, 1714–1725. [Google Scholar] [CrossRef]
- Dalorima, T.; Khandaker, M.M.; Mat, N.; Zakaria, A. Influence of organic matter on the physiology, growth and yield of watermelon (citrullus lanatus): A review. Biosci. Res. 2017, 14, 504–512. [Google Scholar]
- Ren, Y.; Zhang, S.X.; Mo, L.; Tian, Y.G.; Lu, C.G. Differences and trends of soil nutrients in different regions of China. China Soil Fertil. 2009, 6, 18–22. [Google Scholar]
- Ren, Q.Y.; Chu, Y.C.; Chu, Q.H.; Lu, K. Problems about the formulation of fertilizer and its application in the main crop regions of China. J. Shanxi Agric. Sci. 2016, 22, 199–203. (In Chinese) [Google Scholar]
- Zhang, F.S.; Cui, Z.L.; Wang, J.Q.; Li, C.J.; Chen, X.P. Current status of soil and plant nutrient management in China and improvement strategies. Chin. Bull. Bot. 2007, 24, 687–694. [Google Scholar]
- Zhang, F.S.; Wang, J.Q.; Zhang, W.F.; Cui, Z.L.; Ma, W.Q.; Chen, X.P.; Jiang, R.F. Current Status and Improvement of Fertilizer Utilization Rate of Main Grain Crops in China. Acta Pedol. Sin. 2008, 45, 148–157. [Google Scholar]
- Chen, H.B.; Lan, J.Q.; Zu, X.D.; Liu, k.; Zhang, Z.Y. The Changes of Nutrients on the Cultivated Soils in Liaoning Province in 1979–1999. J. Shenyang Agric. Univ. 2003, 34, 106–109. (In Chinese) [Google Scholar]
- Liu, H.B.; Li, Z.H.; Zhang, Y.G.; Zhang, W.L.; Lin, B. Characteristics of Nitrate Distribution and Accumulation in Soil Profiles Under Main Agro-land Use Types in Beijing. Sci. Agric. Sin. 2004, 37, 692–698. [Google Scholar]
- Huang, Y.; Sun, W.J. Trends of topsoil organic carbon content in farmland of China in the past 20 years. Chin. Sci. Bull. 2006, 51, 1. (In Chinese) [Google Scholar]
- Wan, S.Z.; Gu, H.J.; Yang, Q.P.; Hu, X.F.; Fang, X.M.; Singh, A.N.; Chen, F.S. Long-term fertilization increases soil nutrient accumulations but decreases biological activity in navel orange orchards of subtropical China. J. Soil Sediment. 2017, 17, 2346–2356. [Google Scholar] [CrossRef]
- Peng, S.; Buresh, R.J.; Huang, J.; Yang, J.; Zou, Y.; Zhong, X.; Wang, G.; Zhang, F. Strategies for overcoming low agronomic nitrogen use efficiency in irrigated rice systems in china. Field Crops Res. 2006, 96, 37–47. [Google Scholar] [CrossRef]
- Khurana, H.S.; Phillips, S.B.; Dobermann, A.; Sidhu, A.S.; Peng, S. Performance of Site-Specific Nutrient Management for Irrigated, Transplanted rice in Northwest India. Agron. J. 1952, 99, 1436–1447. [Google Scholar] [CrossRef]
- Zhang, T.Q.; Tan, C.S.; Liu, K.; Drury, C.F.; Papadopoulos, A.P.; Warner, J. Yield and economic assessments of fertilizer nitrogen and phosphorus for processing tomato with drip fertigation. Agron. J. 2010, 102, 774. [Google Scholar] [CrossRef]
- Quaggio, J.A.; Souza, T.R.; Zambrosi, F.C.B.; Mattos, D.; Boaretto, R.M.; Silva, G. Citrus fruit yield response to nitrogen and potassium fertilization depends on nutrient-water management system. Sci. Hortic. 2019, 249, 329–333. [Google Scholar] [CrossRef]
- Vitousek, P.M.; Naylor, R.; Crews, T.; David, M.B.; Drinkwater, L.E.; Holland, E.; Johnes, P.J.; Katzenberger, J.; Martinelli, L.A.; Matson, P.A.; et al. Nutrient imbalances in agricultural development. Science 2009, 324, 1519–1520. [Google Scholar] [CrossRef]
- Zhang, W.F.; Dou, Z.X.; He, P.; Ju, X.T.; Powlson, D.; Chadwick, D.; Norse, D.; Lu, Y.L.; Zhang, Y.; Wu, L.; et al. New technologies reduce greenhouse gas emissions from nitrogenous fertilizer in China. Proc. Natl. Acad. Sci. USA 2013, 110, 8375–8380. [Google Scholar] [CrossRef]
- Parvizi, H.; Sepaskhah, A.R. Effect of drip irrigation and fertilizer regimes on fruit quality of a pomegranate (Punica granatum (L.) cv. Rabab) orchard. Agric. Water Manag. 2015, 156, 70–78. [Google Scholar] [CrossRef]
- Ma, Z.M.; Du, S.P.; Xue, L. Effects of nitrogen management on yield, quality, nitrogen accumulation and its transportation of watermelon in gravel-mulched field. Chin. J. Appl. Ecol. 2015, 26, 3353–3360. [Google Scholar]
- Li, Y.J.; Yang, M.; Zhang, Z.Z.; Li, W.L.; Guo, C.Y.; Chen, X.P.; Shi, X.J.; Zhou, P.; Tang, X.D.; Zhang, Y.Q. An ecological research on potential for zero-growth of chemical fertilizer use in citrus production in China. Ekoloji 2019, 28, 1049–1059. [Google Scholar]
- Aerts, R.; Berendse, F.; Caluwe, H.D.; Schmitz, M. Competition in heathland along an experimental gradient of nutrient availability. Oikos 1990, 57, 310–318. [Google Scholar] [CrossRef]
- Srivastava, A.K.; Malhotra, S.K. Nutrient use efficiency in perennial fruit crops—A review. J. Plant Nutr. 2016, 39, 1–37. [Google Scholar] [CrossRef]
- Srivastava, A.K.; Shyam, S. Analysis of citrus orchard efficiency in relation to soil properties. J. Plant Nutr. 2008, 30, 2077–2090. [Google Scholar] [CrossRef]
- Scholberg, J.; Morgan, K.T. Nutrient Use Efficiency in Citrus. Adv. Citrus Nutr. 2012, 2012, 205–229. [Google Scholar]
- Wang, N.; Joost, W.; Zhang, F.S. Towards sustainable intensification of apple production in China-Yield gaps and nutrient use efficiency in apple farming systems. J. Integr. Agric. 2016, 15, 716–725. [Google Scholar] [CrossRef]
- Zhu, Z.L.; Wen, Q.X. Nitrogen in Soil of China; Jiangsu Science and Technology Press: Nanjing, China, 1992. (In Chinese) [Google Scholar]
- Yang, X.G.; Li, Y.; Dai, S.W.; Liu, Z.J.; Wang, W.F. Changes of China agricultural climate resources under the background of climate change IX: Spatiotemporal change characteristics of China agricultural climate resources. Chin. J. Appl. Ecol. 2011, 22, 3177–3188. [Google Scholar]
- Zhang, F.S.; Ma, W.Q. The relationship between fertilizer input level and nutrient use efficiency. Soil Environ. Sci. 2000, 9, 154–157. [Google Scholar]










| Grouping Characteristic | Sub-Group | Group Criterion | Sample Number (n) for YR, RY and AE | Sample Number (n) for PFP | ||||||
|---|---|---|---|---|---|---|---|---|---|---|
| YOPT-N | YOPT-P | YOPT-K | Total | PFP-N | PFP-P | PFP-K | Total | |||
| Life cycle | Annual 1 | Melons, watermelons, strawberries 2 | 54 | 33 | 47 | 134 | 121 | 116 | 121 | 358 |
| Perennial | Apple, apricot, banana, cherry, citrus, dragon fruit, grape, jujube, kiwi, loquat, lychee, mango, papaya, peach, pear, persimmon, pineapple, plum, pomegranate | 151 | 111 | 156 | 418 | 310 | 308 | 307 | 925 | |
| Woody fruit species | Evergreen | Citrus, dragon fruit, loquat, lychee, mango, papaya | 40 | 27 | 37 | 104 | 86 | 86 | 86 | 258 |
| Deciduous | Apple, apricot, cherry, grapes, jujube, kiwi, peach, pear, persimmon plum, pomegranate | 99 | 70 | 99 | 268 | 203 | 201 | 200 | 604 | |
| Geography and climate | South | Provinces: Anhui, Fujian, Guangdong, Guangxi, Guangzhou, Guizhou, Hainan, Hangzhou, Hubei, Hunan, Jiangsu (southern part), Jiangxi, Nanjing, Sichuan, Wuhan, Yunnan, Zhejiang Independently administered municipal districts: Chongqing, Shanghai | 85 | 62 | 90 | 237 | 210 | 208 | 207 | 625 |
| North | Provinces: Gansu, Hebei, Heilongjiang, Henan, Jiangsu (northern part), Ningxia, Shaanxi, Shandong, Shanxi, Xi’an, Independently administered municipal districts: Beijing, Inner Mongolia, Liaoning, Xinjiang | 120 | 82 | 113 | 315 | 221 | 216 | 221 | 658 | |
| Historical change | <2000 | Field trials conducted before 2000 | 9 | 13 | 25 | 47 | 43 | 43 | 43 | 129 |
| >2000 | Field trials conducted after 2000 | 196 | 131 | 178 | 505 | 388 | 381 | 385 | 1154 | |
© 2019 by the authors. Licensee MDPI, Basel, Switzerland. This article is an open access article distributed under the terms and conditions of the Creative Commons Attribution (CC BY) license (http://creativecommons.org/licenses/by/4.0/).
Share and Cite
Li, W.; Yang, M.; Wang, J.; Wang, Z.; Fan, Z.; Kang, F.; Wang, Y.; Luo, Y.; Kuang, D.; Chen, Z.; et al. Agronomic Responses of Major Fruit Crops to Fertilization in China: A Meta-Analysis. Agronomy 2020, 10, 15. https://doi.org/10.3390/agronomy10010015
Li W, Yang M, Wang J, Wang Z, Fan Z, Kang F, Wang Y, Luo Y, Kuang D, Chen Z, et al. Agronomic Responses of Major Fruit Crops to Fertilization in China: A Meta-Analysis. Agronomy. 2020; 10(1):15. https://doi.org/10.3390/agronomy10010015
Chicago/Turabian StyleLi, Wenli, Min Yang, Jie Wang, Zhichao Wang, Zihan Fan, Furong Kang, Yuheng Wang, Yayin Luo, Dejiao Kuang, Zhihui Chen, and et al. 2020. "Agronomic Responses of Major Fruit Crops to Fertilization in China: A Meta-Analysis" Agronomy 10, no. 1: 15. https://doi.org/10.3390/agronomy10010015
APA StyleLi, W., Yang, M., Wang, J., Wang, Z., Fan, Z., Kang, F., Wang, Y., Luo, Y., Kuang, D., Chen, Z., Guo, C., Li, Y., He, X., Chen, X., Shi, X., & Zhang, Y. (2020). Agronomic Responses of Major Fruit Crops to Fertilization in China: A Meta-Analysis. Agronomy, 10(1), 15. https://doi.org/10.3390/agronomy10010015

