Polymeric Heart Valves: Do They Represent a Reliable Alternative to Current Prosthetic Devices?
Abstract
1. Introduction
Methodological Approach and Scope
2. Native Heart Valves
3. Valvular Diseases
- -
- Rheumatic Heart Disease (RHD): It is a chronic condition that mainly affects children and young adults in developing countries, where access to adequate healthcare and antibiotic treatments is limited [11]. RHD results from acute rheumatic fever (ARF) [12]. If not treated, repeated infections can occur, leading to long-term complications and increased morbidity and mortality [12,13].
- -
- Infective Endocarditis (IE): It is a severe microbial infection that can affect the inner layer of the heart chambers and valves or indwelling cardiac devices [14], causing a high mortality rate: about 19–82% for 5-year mortality and 6–50% for in-hospital mortality [14]. The main risk factors for developing IE include valve replacement, cardiac factors (e.g., congenital valvular abnormalities, rheumatic heart disease, degenerative valvular disease, or post-cardiac implant of cardiac devices), and non-cardiac risks (e.g., intravenous drug use, chronic liver disease, hemodialysis, poor dentition, or advanced age) [15].
- -
- Heart Valve Prolapse: It is a condition in which one leaflet bulges or prolapses backward during contraction. This typically affects the mitral valve, but rarely, it can also involve other valves. Prolapse means that the valve does not close properly, resulting in valve regurgitation, complicated by heart failure or arrhythmia, that could also lead to sudden death [16]. Mitral valve prolapse (MVP) occurs in about 2–3% of the general population [17].
4. Current Therapeutic Approaches
4.1. Pharmacological Approaches
4.2. Surgical Approaches
- -
- Mitral valve Transcatheter Edge-to-Edge Repair (M-TEER): It is a non-surgical treatment mainly for mitral regurgitation; it is suitable for patients who are not candidates for open-heart surgery. The M-TEER procedure involves a device to clip together the valve leaflets to reduce regurgitation [28]. Specifically, a guide catheter is used in the percutaneous procedure, which is inserted typically from the right femoral vein into the left atrium. A device with a clip is then steered through the mitral valve and monitored (e.g., by echocardiography and fluoroscopy) until the mitral regurgitation is reduced [29].
- -
- Percutaneous Balloon Valvuloplasty (PBV): It is a minimally invasive procedure used to treat stenotic heart valves and aims to restore its normal functionality [30,31]. The procedure involves the insertion of a guidewire through a vascular access site to the stenotic valve, threading a balloon catheter over the guidewire, and carefully positioning it across the stenotic valve [28]. The balloon is then inflated up to a specific pressure to dilate the valve. Once the valve has been adequately dilated, the balloon is deflated and removed [28].
- -
- Transcatheter Valve Replacement: It is a minimally invasive procedure used to replace a diseased heart valve without the need for open-heart surgery. This procedure can be used to treat both aortic and mitral valves. Vascular access is typically performed through the femoral artery (transfemoral approach), although other access points may be used if the femoral route is unsuitable [32]. A catheter is inserted through the access site and guided to the heart under imaging monitoring. For transcatheter aortic valve replacement (TAVR), a crimped valve mounted on a balloon-expandable or self-expanding stent is advanced through the catheter to the diseased valve. Once in the correct position, the new valve is deployed either by inflating the balloon or allowing the stent to self-expand, pushing the diseased valve leaflets aside and anchoring the new valve in place [33]. For transcatheter mitral valve replacement (TMVR), a similar approach is used, but navigation and deployment can be more complex due to the anatomical position of the native valve [34]. This type of valve replacement offers better results and might be technically less challenging than other surgical procedures. Nevertheless, it may come with a higher number of complications, and long-term follow-up data are limited [32].
5. Prosthetic Heart Valves
- -
- Allografts: They are the valves withdrawn from human donors (cadavers), exhibiting several advantages. They mold well to the infected aortic annulus, have good resistance to infection compared to synthetic materials, do not require anticoagulation, and have excellent hemodynamic performances (especially for small sizes) [38]. This makes them particularly useful in cases of infection, such as IE. Allografts are commonly used for aortic valve replacement and are especially valuable for patients with complex valve infections or those undergoing reoperative procedures. Several studies have proven that allograft replacements can significantly improve long-term clinical outcomes, but the lack of donors and possible incompatibilities remain issues [38,39].
- -
- Autografts: The Ross procedure implies the use of the patient’s own pulmonary valve to replace the diseased aortic valve. The pulmonary valve is then replaced with an allograft. This procedure offers more advantages than allografts, such as the potential for use in pediatric patients due to its propensity for repair and growth, the internal innervation of the cusps, and higher cellular viability [38,40]. However, the increased complexity and longer duration of surgery complicate the replacement procedure [38]. Several studies have shown long-term outcomes for patients, but the procedure is still characterized by limited suitability and possible complications [39].
- -
- Mechanical Heart Valves (MHVs): They are made of synthetic materials, such as titanium and pyrolytic carbon. On average, they can function for up to 25 years due to their high durability, reducing the need for revision surgeries [41]. On the other hand, since they are made of non-biological materials, they require lifelong anticoagulation therapy to prevent thromboembolic events [40]. Since the 1960s, different types of valve designs have been developed: from the caged ball [42] and non-tilting disk valves [43] to the more recent tilting disk valves [39,42]. Presently, the most widely used MHVs are the bileaflet ones, which have two oscillating leaflets that open and close to regulate blood flow [41]. Since the St. Jude valve was introduced in 1977, more than 600,000 have been implanted; currently, they are the most implanted MHVs due to their reliability and efficient blood flow dynamics [39]. Despite the durability of MHVs, they present several drawbacks. Blood flow around the valves causes high shear stress, which can trigger platelet activation, leading to clot formation on the valve surface and increasing the chance of thromboembolic effects [41]. The use of lifelong anticoagulation therapy (e.g., warfarin) reduces the risk but increases the hemorrhagic probability. Other factors that hinder the use of MHVs include the presence of other diseases, such as thrombotic diseases or atrial fibrillation [41].
- -
- Bioprosthetic Heart Valves (BHVs): They are made of animal tissues, typically bovine pericardium or porcine heart valves, after chemical treatment with glutaraldehyde, which sterilizes the tissues and makes them immunologically compatible with the recipients, avoiding any adverse event [44]. Unlike MHVs, BHVs do not require lifelong anticoagulation therapy, reducing the risk of bleeding. Additionally, they offer good hemodynamic performance similar to native valves and do not produce any audible noise, which can be a comfort factor for some patients [41]. On the other hand, they have a shorter lifespan than MHVs (typically 10–20 years), mainly due to calcification and degradation, making them not suitable for younger patients [41,44,45]. Annually, tens of thousands of BHVs are implanted in elderly patients, but the number of younger people with heart valve diseases is growing [42].
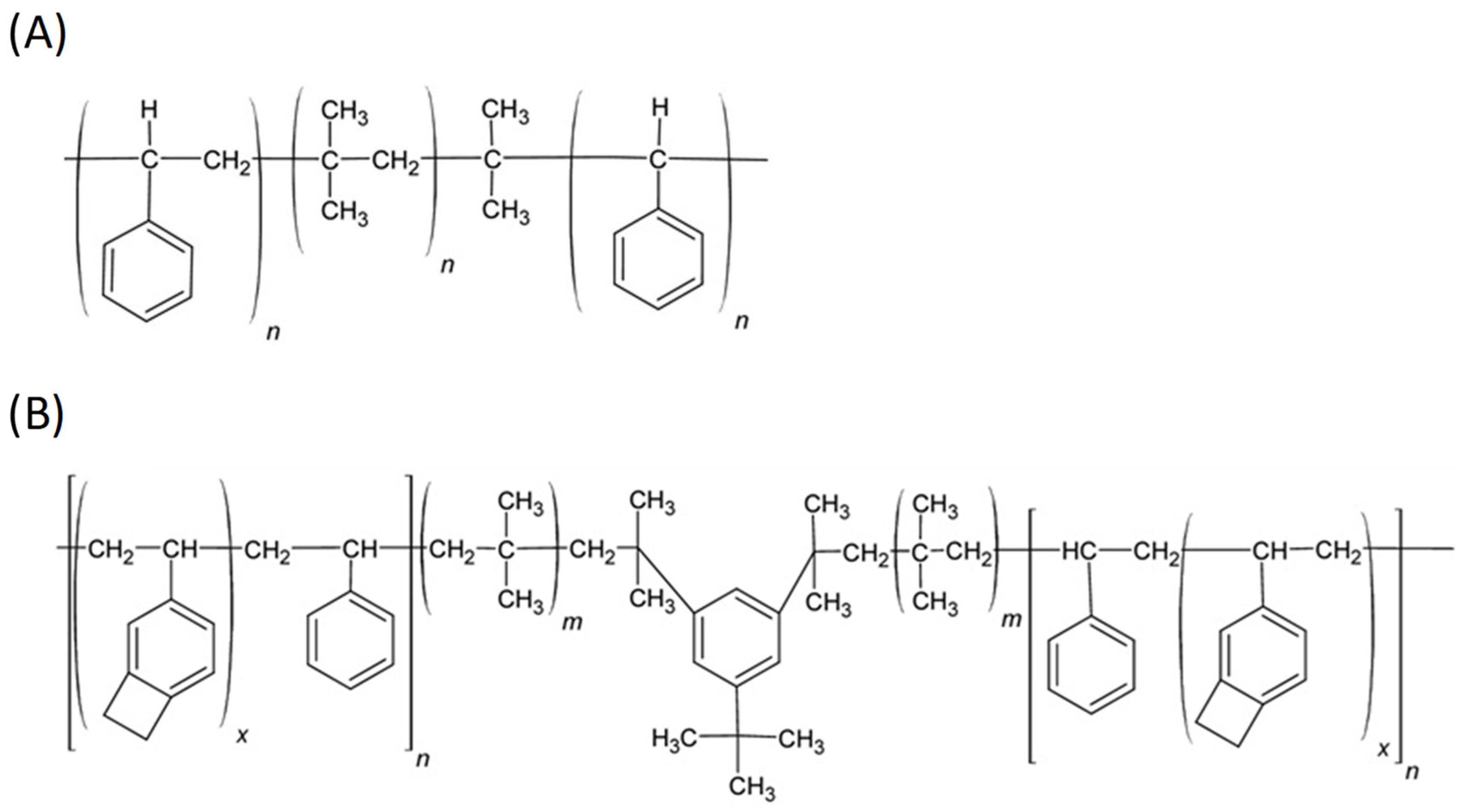
6. Polymeric Heart Valves
6.1. The First Generation of Polymers for PHVs
6.1.1. Polysiloxanes
6.1.2. Polytetrafluoroethylene
6.1.3. Polyurethanes
6.2. Novel Polymers for Prosthetic Heart Valves
6.2.1. POSS-PCU
6.2.2. FGO-PCU (Hastalex)
6.2.3. SiPUU
6.2.4. SIBS and xSIBS
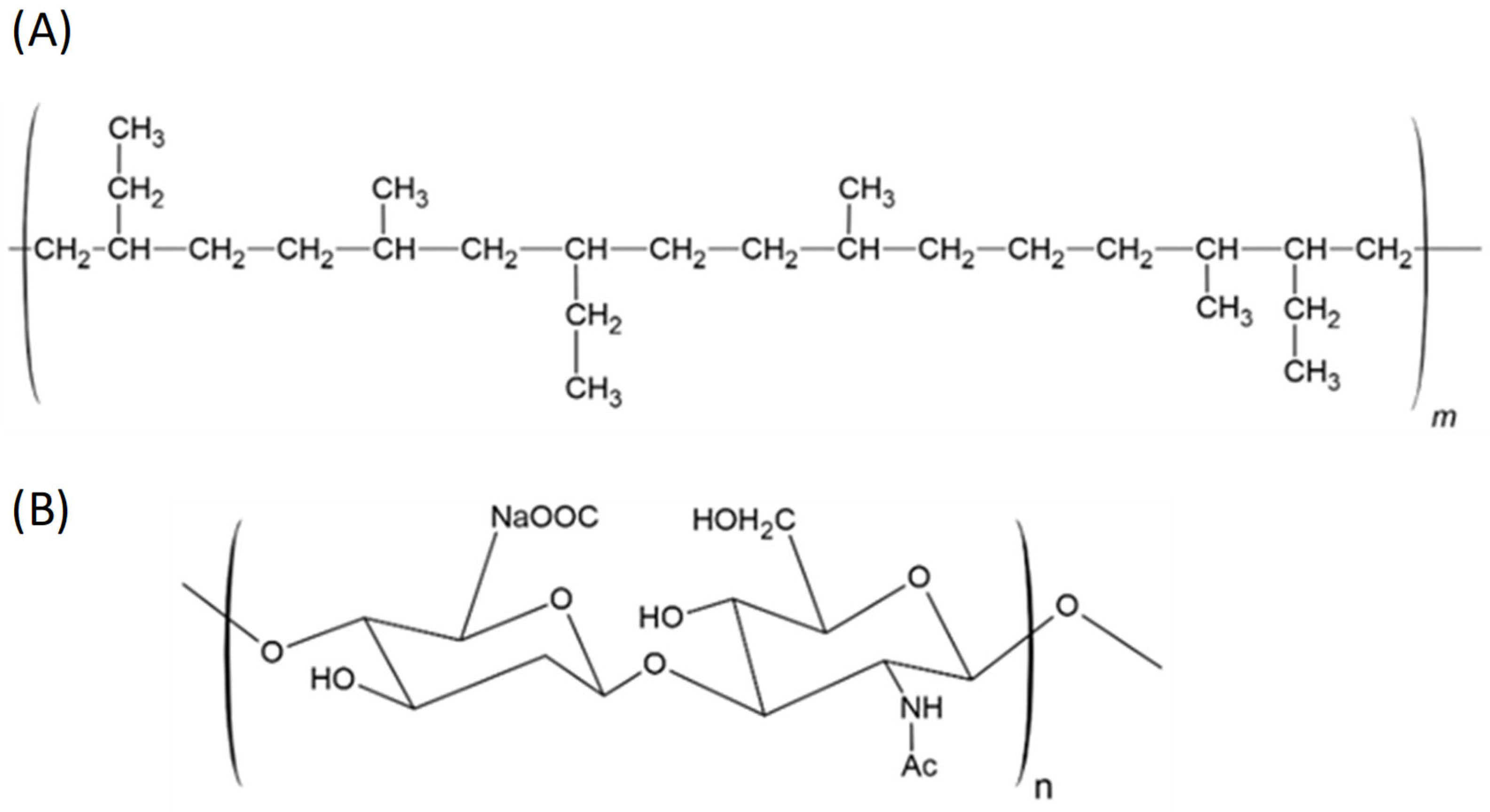
6.2.5. PVA and PVA-BC
6.2.6. LLDPE and HA-LLDPE
6.2.7. SEPS and SEBS
6.2.8. Other Nanocomposites
7. Manufacturing Techniques
7.1. Injection Molding
7.2. Compression Molding
7.3. Dip Molding
7.4. Melt Blending
7.5. Additive Manufacturing
- -
- Fused deposition modeling (FDM): It is an AM extrusion process that involves feeding a filament feedstock (polymer blend) through an electric motor-controlled pinch roller into a heated extrusion head. The filament melts as it moves through the head and is extruded through a nozzle [142]. The print head’s planar x-y motion, combined with the z motion of the building stage, allows the layer-by-layer deposition of the fused material. A second nozzle can deposit temporary supporting material. This technique is inexpensive, fast, and relatively simple, and can be expanded to multi-material printing using multiple nozzles [142]. However, it is limited to thermoplastic polymers with favorable viscosity, and due to the heated process, cells or temperature-sensitive biological components cannot be incorporated [141]. The final printed items can exhibit a layer-by-layer effect, particularly on sloping surfaces, which may reduce surface smoothness and require further refinement steps.
- -
- Stereolithography (SLA): The manufacture of 3D objects by SLA relies on the spatially controlled solidification of a liquid resin through photopolymerization [143]. A digital light projector with a computer-driven building stage or a computer-controlled laser beam illuminates a pattern on the resin’s surface. The resin solidifies to a defined depth, determined by the energy of the UV beam/light, making it adhere to the support platform. After the photopolymerization of the first layer, the platform is moved away from the surface, and the newly exposed layer is coated with liquid resin. A pattern is then cured in this second layer. Since the curing depth slightly exceeds the platform step height, it ensures good adherence to the previous layer [143]. These steps are repeated to construct a solid, three-dimensional object. After excess resin is drained and washed off, the desired structure is obtained. Compared to other AM techniques, SLA has the highest print quality in terms of complexity and accuracy [141]. Complex internal features and cell viability can be achieved. However, the main limitations of this process are due to the limited availability and the high cost of photopolymerizable materials.
- -
- Selective laser sintering (SLS): With this technique, a machine uses fine powder material to fabricate a 3D object based on a digital model. The powder is selectively heated with a laser beam to a point where the surface tension of individual particles is overcome, causing them to fuse together, solidifying layer by layer [144]. After each layer is finished, the supporting bed is lowered, a new layer of powder is spread with a roller, and the sintering process is repeated. Once the object fabrication is completed, the excess powder is removed and recycled [144]. SLS offers high accuracy and material versatility, but fabricated parts often require post-processing to improve surface quality. Polymers in fabricated parts may shrink or warp due to thermal distortion, and bioactive molecules cannot be incorporated due to the high temperature used [141].

7.6. Solvent Casting
8. Overall Consideration of Valve Design and Geometry
- The valve must fit well within the recipient’s anatomy.
- The leaflets should offer minimal resistance to forward flow and rapidly open at a minimal variation in systolic transvalvular pressure.
- They must ensure adequate sealing in the closed position to prevent/minimize the backward flow.
- Efforts should be made to reduce damage to blood cells and thrombogenic effects.
- Stress peaks in the valve components should be kept as low as possible throughout the cardiac cycle to ensure durability [153]
Valve Design over the Years
- In 1977, Ghista and Reul proposed an optimized design for achieving smooth washout, good coaptation, and minimal leaflet stress [155]. After the analytical study defined by Chong, based on the subtending angles and principal radii of curvature [156], the optimized design facilitated tangential flow and mutual support of the leaflets along the entire closure rim, achieving durability in vitro of more than 350 million cycles [155].
- In 1982, Wisman et al. proposed a trileaflet PHV made of segmented polyurethane [157]: the valve was composed of hemicylindrical leaflets and a flexible support, and it showed good efficiency in vitro, but dystrophic calcification and thrombosis arose in animal tests [157]. Later, other studies were proposed, such as one on valve geometry using a cylindrical model, which showed important considerations regarding reduced dilatation pressure and low bending strains [158].
- In 1994, Lean and Fisher proposed a novel design for a polyurethane heart valve [159]. They started by analyzing previous leaflet geometries and demonstrated that increasing the radius of curvature at the base of the leaflets enhanced opening characteristics. A new geometry, termed ‘alpharabola’, was proposed, which has a variable radius of curvature and a varied leaflet thickness, leading to a reduced opening pressure by over 40% and a minimal pressure differential [159].
- In 1995, Mackay et al. developed a novel polyurethane valve that comprised a cylindrical support frame and, in the closed position, a leaflet shape defined by different conic sections: hyperbolic in the circumferential and elliptical in the radial direction [71]. Furthermore, hyperbolic parameters were adjusted to allow efficient coaptation with minimal stretching of the leaflets. The valve showed good hydrodynamic performance and durability without any sign of failure [71].
- In 2001, the same researchers proposed a novel design for a trileaflet heart valve with conical geometry for the leaflet region next to the frame and a spherical upper leaflet region, allowing facilitated opening and closing phases, good coaptation, and a stable closed position [160]. The valve showed improved hydrodynamic function, with a greater EOA and reduced regurgitation, and the pulsatile flow results showed a lower total energy loss.
- In 2003, Jiang et al., during the development of a heart valve made of PVA, proposed two novel designs based on the hyperbolic geometries described by Mackay’s group, defining leaflet shape using a hyperboloid of revolution around an axis and an arc subtending two straight lines [105]. The second one provided better control of the central opening and leaflet curvature, but both designs experienced gaps between adjacent leaflets and a large central orifice when the valve closes [105].
- In 2008, Mohammadi et al. developed a novel PVA-BC heart valve, and by using Bezier surfaces (a spline that could be easily altered by manipulating control points in CAD software) combined with structural FEA and including material properties (i.e., the elastic moduli in orthogonal directions), they were able to analyze and select the optimal geometry, addressing the shortcomings of previous hyperboloid designs [106]. Even though fluid flow was not accounted for in the analysis, structural simulations demonstrated favorable opening and closing dynamics and stress distributions within the physiological range [106].
- In 2010, Burriesci et al. proposed a novel polymeric heart valve design optimized by means of FEA [161]. The geometry, specifically conceived to minimize stress amplitudes in the leaflet and maximize the geometric orifice area, was defined as a ruled surface between the intersection of the stent cylinder with a plane and an arc joining the commissures. In vitro tests proved a larger EOA compared to Mackay’s ellipto-hyperbolic geometry, as well as reductions in regurgitation and transvalvular pressure drop [161]. Different studies have proven that a larger EOA, like that exhibited by valves with the thinnest leaflets, is preferable due to lower pressure differential, regurgitation, and energy loss [78]. This design was later used by Rahmani et al. in developing the novel TRISKELE transcatheter aortic valve [78].
- Li and Sun investigated around 500 distinct leaflet designs by means of simulations of TAV closure under nominal circular deployment and physiological loading conditions. This study was aimed to observe how variations in leaflet geometry can affect valve peak stresses in both circular and elliptical configurations [162]. The optimization study led to the identification of an optimal leaflet design capable of reducing peak stress on the TAV leaflets by approximately 5% compared to the original design.
- In 2015, Gharaie and Morsi utilized an FSI model to optimize and evaluate the performance of their design [163]: they compared previously published data with predicted results to validate the FSI model, developing a design characterized by two curves (radial and circumferential). These curves were optimized to achieve reduced stress concentration in the leaflets and minimal regurgitation. The optimized valve prototype demonstrated high hemodynamic performance with the absence of damage due to the stress concentration during the entire cardiac cycle [163].
- In 2018, Ghosh et al. developed a polymeric SAVR valve using the FSI technique with a boundary-fitted method, the Arbitrary Lagrangian–Eulerian (ALE) method, which deforms the fluid cells according to the structural motion [164]. The valve showed a large opening area and a high flow rate, while the wall shear stress distribution and mechanical stress magnitudes were stable, demonstrating the enhanced performance of the prototype.
- In 2021, Farokhi et al. developed a double-coupled fluid–structure interaction model using ALE and steered adaptive mesh (SAM) to investigate the impact of valve elasticity and valve positions on hemodynamics and solid parameters [165]. The simulation results indicated that a lower elastic modulus causes an increase in the EOA. Furthermore, the results of valve positioning showed that, when the valve is closer to the sinuses, greater EOA and lower stresses imposed on the leaflet are achievable [165].
- Zhou et al. studied the correlation between valve thickness and material properties [166]. They utilized the FSI analysis to obtain a more accurate solution of the stress and strain distribution, EOA, and the regurgitation fraction of the valves with varying thicknesses across three different materials: Carbothane PC-3585A, xSIBS, and SIBS-CNTs. For each valve, they found specific optimal constraints for thickness based on the elastic modulus of each material: a smaller elastic modulus like the one of Carbothane PC-3585A allowed the production of a thicker valve (>0.3 mm); conversely, with an elastic modulus greater than that of xSIBS (2.8 MPa), excellent results can be obtained with a thickness less than 0.2 mm [166].
9. Potential Complications Associated with the Use of PHVs
- Hemocompatibility: Generally speaking, it is one of the major factors limiting the clinical applicability of all blood-contacting biomaterials. Adverse interactions between material and blood must be extensively analyzed to prevent the activation and/or destruction of blood components. The protein layer initially adsorbed on the biomaterial surface primarily triggers adverse reactions, such as coagulation activation via the intrinsic pathway, leukocyte activation leading to inflammation, and platelet adhesion and activation, which can result in decreased blood cells and/or thrombus formation [167]. Prior to clinical application, the hemocompatibility of blood-contacting materials has to be investigated, as outlined in ISO 10993-4 [168]. This standard describes five categories for analysis: thrombosis, coagulation, platelets, hematology, and immunology.
- Thrombosis: It is an in vivo phenomenon that results in the partial or complete occlusion of a blood vessel or device due to blood clot formation (coagulation). Events such as intraoperative stroke, transient ischemic attacks (TIAs), sudden death, and myocardial infarction may be due to prosthesis-generated thromboemboli [169]. Proteins’ adsorption has a crucial effect in determining the level of thrombogenicity of any given material. Unlike mechanical valves, PHVs significantly reduce thrombotic risks and, as a consequence, the amount of anticoagulation required [100]. This reduction is important because anticoagulation often results in bleeding episodes, which can cause death, stroke, reoperation, or hospitalization. Indeed, MHV recipients require lifelong anticoagulation, typically with vitamin K antagonists (e.g., warfarin), which brings significant challenges, including frequent blood analyses, possible drug–drug interactions, dietary and activity restrictions, medication costs, and the need to travel long distances for anticoagulation monitoring [170].
- Calcification: It involves the gradual accumulation of calcium salts over and inside valvular tissue, potentially leading to various complications. While PHVs are designed to be less prone to calcification than bioprosthetic ones, they are not entirely exempt, prompting numerous studies aimed at minimizing or eliminating this event. Calcific deposits commonly occur in the commissural and basal regions of the cusp. This phenomenon can lead to adverse outcomes in both preclinical studies and long-term implantation. Growing calcific masses can block the leaflets, causing structural valve deterioration and potentially resulting in stenosis or regurgitation [171]. PHVs have a distinct advantage over traditional bioprostheses because they lack animal-derived proteins, such as Neu5Gc and αGal: this may lead to longer durability [100].
- Infection: Infection of the valve and/or surrounding tissues (prosthetic valve endocarditis) is a severe complication that may necessitate antibiotic treatment and eventually valve replacement [172]. The risk of endocarditis associated with PHVs has not been extensively studied, necessitating further research to clearly define these risks compared to BHVs and MHVs. Further complications related to infective endocarditis include congestive heart failure, embolization, and paravalvular abscesses.
- Degradation: Polymers must withstand the aggressive assault due to the chemically severe and mechanically dynamic physiological environment [173]. Biostability is the term used to identify the ability to not experience any measurable deterioration over the course of service: it has to be thoroughly tested by exposing the polymer in vitro and/or in vivo, but the duration of exposure is usually a fraction of the intended exposure time of the device. In-service degradation is addressed in ISO 10993 (Biological Evaluation of Medical Devices Part 13 (polymers)). In particular, Section 4.1.4 from ISO 10993-13 [174] (allowing for accelerated testing) is not recognized by the FDA: the current FDA standard requires a six-month preclinical exposure in combination with an oxidation challenge, or alternatively, a two-year preclinical exposure, where the polymer must perform comparably to (or better than) the historical materials [173]. Degradation is due to chemical reactions whose byproducts can result in adverse effects inside the body (affecting its biocompatibility), even changing the intended performances of the device. Typically, polymers are exposed to hydrolysis and oxidation, which are related to the chemical structure and morphology of the polymer [90].
- Mechanical complications: Some complications related to PHVs can be categorized as mechanical issues. Due to the repetitive opening and closing cycles, PHVs are susceptible to fatigue failure that, over time, can lead to the development of cracks and eventually structural failure. As previously mentioned, developing proper valve geometry is a crucial step, along with conducting appropriate fatigue tests, often under conditions more severe than those for a native valve. Additionally, the cyclic application of mechanical stress can cause wear and tear, leading to the thinning of valve leaflets and potential rupture. This scenario depends on the given material or, once again, on the leaflet’s configuration.
- Failure mode: While the mechanism of tissue degeneration (e.g., the main cause of failure for BHVs) is slow, gradual, and progressive [172], PHVs are exposed to sudden failure (catastrophic failure). Indeed, discontinuities and defects can be produced during handling/suturing polymeric materials, leading to rupture through crack propagation [175]. Resistance to tearing is therefore essential to evaluate the feasibility of PHVs [176]: it can be experimentally determined by measuring tear propagation strength and suture retention strength [175]. Many variables can affect the in vivo resistance to failure, both of mechanical and chemical origin; therefore, it is quite difficult to obtain a reliable estimation of tear onset and time from onset to breakage.
- Hydrodynamic complications: Some problems with PHV function can be categorized as hydrodynamic issues. Poor valve design can lead to significant abnormalities in blood flow dynamics and/or damages of blood components; improper valve design can also result in the incomplete closure of the valve leaflets, leading to the backflow of blood or regurgitation.
10. Conclusions
10.1. Future Directions
10.2. Is Clinical Translation near or Far?
Author Contributions
Funding
Conflicts of Interest
References
- Coffey, S.; Roberts-Thomson, R.; Brown, A.; Carapetis, J.; Chen, M.; Enriquez-Sarano, M.; Zühlke, L.; Prendergast, B.D. Global Epidemiology of Valvular Heart Disease. Nat. Rev. Cardiol. 2021, 18, 853–864. [Google Scholar] [CrossRef] [PubMed]
- Martin, S.S.; Aday, A.W.; Almarzooq, Z.I.; Anderson, C.A.M.; Arora, P.; Avery, C.L.; Baker-Smith, C.M.; Barone Gibbs, B.; Beaton, A.Z.; Boehme, A.K.; et al. 2024 Heart Disease and Stroke Statistics: A Report of US and Global Data From the American Heart Association. Circulation 2024, 149, e347–e913. [Google Scholar] [CrossRef] [PubMed]
- Azari, S.; Rezapour, A.; Omidi, N.; Alipour, V.; Tajdini, M.; Sadeghian, S.; Bragazzi, N.L. A Systematic Review of the Cost-Effectiveness of Heart Valve Replacement with a Mechanical versus Biological Prosthesis in Patients with Heart Valvular Disease. Heart Fail. Rev. 2020, 25, 495–503. [Google Scholar] [CrossRef]
- Oleksy, M.; Dynarowicz, K.; Aebisher, D. Advances in Biodegradable Polymers and Biomaterials for Medical Applications—A Review. Molecules 2023, 28, 6213. [Google Scholar] [CrossRef]
- Resor, C.D.; Bhatt, D.L. Polymeric Heart Valves: Back to the Future? Matter 2019, 1, 30–32. [Google Scholar] [CrossRef]
- Hinton, R.B.; Yutzey, K.E. Heart Valve Structure and Function in Development and Disease. Annu. Rev. Physiol. 2011, 73, 29–46. [Google Scholar] [CrossRef]
- Anderson, R.H.; Ho, S.Y.; Becker, A.E. Anatomy of the Human Atrioventricular Junctions Revisited. Anat. Rec. 2000, 260, 81–91. [Google Scholar] [CrossRef]
- Misfeld, M.; Sievers, H.-H. Heart Valve Macro- and Microstructure. Philos. Trans. R. Soc. B Biol. Sci. 2007, 362, 1421–1436. [Google Scholar] [CrossRef]
- Sacks, M.S.; David Merryman, W.; Schmidt, D.E. On the Biomechanics of Heart Valve Function. J. Biomech. 2009, 42, 1804–1824. [Google Scholar] [CrossRef]
- Tseng, H.; Grande-Allen, K.J. Elastic Fibers in the Aortic Valve Spongiosa: A Fresh Perspective on Its Structure and Role in Overall Tissue Function. Acta Biomater. 2011, 7, 2101–2108. [Google Scholar] [CrossRef]
- He, V.Y.F.; Condon, J.R.; Ralph, A.P.; Zhao, Y.; Roberts, K.; De Dassel, J.L.; Currie, B.J.; Fittock, M.; Edwards, K.N.; Carapetis, J.R. Long-Term Outcomes From Acute Rheumatic Fever and Rheumatic Heart Disease: A Data-Linkage and Survival Analysis Approach. Circulation 2016, 134, 222–232. [Google Scholar] [CrossRef] [PubMed]
- Peters, F.; Karthikeyan, G.; Abrams, J.; Muhwava, L.; Zühlke, L. Rheumatic Heart Disease: Current Status of Diagnosis and Therapy. Cardiovasc. Diagn. Ther. 2020, 10, 305–315. [Google Scholar] [CrossRef] [PubMed]
- Sika-Paotonu, D.; Beaton, A.; Raghu, A.; Steer, A.; Carapetis, J. Acute Rheumatic Fever and Rheumatic Heart Disease. In Streptococcus pyogenes: Basic Biology to Clinical Manifestations; Ferretti, J.J., Stevens, D.L., Fischetti, V.A., Eds.; University of Oklahoma Health Sciences Center: Oklahoma City, OK, USA, 2016. [Google Scholar]
- Kouijzer, J.J.P.; Noordermeer, D.J.; Van Leeuwen, W.J.; Verkaik, N.J.; Lattwein, K.R. Native Valve, Prosthetic Valve, and Cardiac Device-Related Infective Endocarditis: A Review and Update on Current Innovative Diagnostic and Therapeutic Strategies. Front. Cell Dev. Biol. 2022, 10, 995508. [Google Scholar] [CrossRef] [PubMed]
- Hu, W.; Wang, X.; Su, G. Infective Endocarditis Complicated by Embolic Events: Pathogenesis and Predictors. Clin. Cardiol. 2021, 44, 307–315. [Google Scholar] [CrossRef]
- Delwarde, C.; Capoulade, R.; Mérot, J.; Le Scouarnec, S.; Bouatia-Naji, N.; Yu, M.; Huttin, O.; Selton-Suty, C.; Sellal, J.-M.; Piriou, N.; et al. Genetics and Pathophysiology of Mitral Valve Prolapse. Front. Cardiovasc. Med. 2023, 10, 1077788. [Google Scholar] [CrossRef]
- Singh, A.; Khurana, K.V.; Kumar, J.; Agrawal, G.; Lohakare, A.; Gutte, R.; Chaturvedi, A. An Extremely Rare Case of Isolated Aortic Valve Prolapse Causing Aortic Regurgitation in the Absence of Any Other Pre-Existing Cardiovascular or Non-Cardiovascular Condition. Cureus 2023, 15, e46144. [Google Scholar] [CrossRef]
- Shah, S.M.; Shah, J.; Lakey, S.M.; Garg, P.; Ripley, D.P. Pathophysiology, Emerging Techniques for the Assessment and Novel Treatment of Aortic Stenosis. Open Heart 2023, 10, e002244. [Google Scholar] [CrossRef]
- Baumgartner, H.; Hung, J.; Bermejo, J.; Chambers, J.B.; Evangelista, A.; Griffin, B.P.; Iung, B.; Otto, C.M.; Pellikka, P.A.; Quinones, M. Echocardiographic Assessment of Valve Stenosis: EAE/ASE Recommendations for Clinical Practice. Eur. J. Echocardiogr. 2009, 10, 1–25. [Google Scholar] [CrossRef]
- Ancona, R.; Comenale Pinto, S. Epidemiology of Aortic Valve Stenosis (AS) and of Aortic Valve Incompetence (AI): Is the Prevalence of AS/AI Similar in Different Parts of the World? J. Cardiol. Pract. 2020, 18, 18. [Google Scholar]
- Del Forno, B.; De Bonis, M.; Agricola, E.; Melillo, F.; Schiavi, D.; Castiglioni, A.; Montorfano, M.; Alfieri, O. Mitral Valve Regurgitation: A Disease with a Wide Spectrum of Therapeutic Options. Nat. Rev. Cardiol. 2020, 17, 807–827. [Google Scholar] [CrossRef]
- Zoghbi, W.A.; Adams, D.; Bonow, R.O.; Enriquez-Sarano, M.; Foster, E.; Grayburn, P.A.; Hahn, R.T.; Han, Y.; Hung, J.; Lang, R.M.; et al. Recommendations for Noninvasive Evaluation of Native Valvular Regurgitation. J. Am. Soc. Echocardiogr. 2017, 30, 303–371. [Google Scholar] [CrossRef] [PubMed]
- Borer, J.S.; Sharma, A. Drug Therapy for Heart Valve Diseases. Circulation 2015, 132, 1038–1045. [Google Scholar] [CrossRef] [PubMed]
- Baddour, L.M.; Wilson, W.R.; Bayer, A.S.; Fowler, V.G.; Tleyjeh, I.M.; Rybak, M.J.; Barsic, B.; Lockhart, P.B.; Gewitz, M.H.; Levison, M.E.; et al. Infective Endocarditis in Adults: Diagnosis, Antimicrobial Therapy, and Management of Complications: A Scientific Statement for Healthcare Professionals From the American Heart Association. Circulation 2015, 132, 1435–1486. [Google Scholar] [CrossRef] [PubMed]
- Ralph, A.P.; Currie, B.J. Therapeutics for Rheumatic Fever and Rheumatic Heart Disease. Aust. Prescr. 2022, 45, 104–112. [Google Scholar] [CrossRef]
- Oliva, A.; Cogliati Dezza, F.; Cancelli, F.; Curtolo, A.; Falletta, A.; Volpicelli, L.; Venditti, M. New Antimicrobials and New Therapy Strategies for Endocarditis: Weapons That Should Be Defended. J. Clin. Med. 2023, 12, 7693. [Google Scholar] [CrossRef]
- Carnicelli, A.P.; O’Gara, P.T.; Giugliano, R.P. Anticoagulation After Heart Valve Replacement or Transcatheter Valve Implantation. Am. J. Cardiol. 2016, 118, 1419–1426. [Google Scholar] [CrossRef]
- Hausleiter, J.; Stocker, T.J.; Adamo, M.; Karam, N.; Swaans, M.J.; Praz, F. Mitral Valve Transcatheter Edge-to-Edge Repair. EuroIntervention 2023, 18, 957–976. [Google Scholar] [CrossRef]
- Al-Attar, N. Percutaneous Approach for Valve Repair. Available online: https://www.escardio.org/Journals/E-Journal-of-Cardiology-Practice/Volume-7/Percutaneous-approach-for-valve-repair (accessed on 31 January 2025).
- Turi, Z.G. The 40th Anniversary of Percutaneous Balloon Valvuloplasty for Mitral Stenosis: Current Status. Struct. Heart 2022, 6, 100087. [Google Scholar] [CrossRef]
- Nishimura, R.A.; Holmes, D.R.; Reeder, G.S. Percutaneous Balloon Valvuloplasty. Mayo Clin. Proc. 1990, 65, 198–220. [Google Scholar] [CrossRef]
- Mahmaljy, H.; Yelamanchili, V.S.; Singhal, M. Dilated Cardiomyopathy. In StatPearls; StatPearls Publishing: Treasure Island, FL, USA, 2024. [Google Scholar]
- Vinayak, M.; Leone, P.P.; Tanner, R.; Dhulipala, V.; Camaj, A.; Makhija, R.R.K.; Hooda, A.; Kini, A.S.; Sharma, S.K.; Khera, S. Transcatheter Aortic Valve Replacement: Current Status and Future Indications. J. Clin. Med. 2024, 13, 373. [Google Scholar] [CrossRef]
- Xiling, Z.; Puehler, T.; Sondergaard, L.; Frank, D.; Seoudy, H.; Mohammad, B.; Müller, O.J.; Sellers, S.; Meier, D.; Sathananthan, J.; et al. Transcatheter Mitral Valve Repair or Replacement: Competitive or Complementary? J. Clin. Med. 2022, 11, 3377. [Google Scholar] [CrossRef] [PubMed]
- Schaff, H.V.; Nguyen, A. Contemporary Techniques for Mitral Valve Repair—The Mayo Clinic Experience. Indian J. Thorac. Cardiovasc. Surg. 2020, 36, 18–26. [Google Scholar] [CrossRef] [PubMed]
- Antunes, M.J. Closed Mitral Commissurotomy—A Cheap, Reproducible and Successful Way to Treat Mitral Stenosis. J. Thorac. Dis. 2020, 12, 146–149. [Google Scholar] [CrossRef]
- Svensson, L.G. The Art of Aortic Valve Repair. JTCVS Tech. 2021, 7, 121–125. [Google Scholar] [CrossRef]
- Niwaya, K.; Knott-Craig, C.J.; Santangelo, K.; Lane, M.M.; Chandrasekaran, K.; Elkins, R.C. Advantage of Autograft and Homograft Valve Replacement for Complex Aortic Valve Endocarditis. Ann. Thorac. Surg. 1999, 67, 1603–1608. [Google Scholar] [CrossRef]
- El-Hamamsy, I.; Eryigit, Z.; Stevens, L.-M.; Sarang, Z.; George, R.; Clark, L.; Melina, G.; Takkenberg, J.J.; Yacoub, M.H. Long-Term Outcomes after Autograft versus Homograft Aortic Root Replacement in Adults with Aortic Valve Disease: A Randomised Controlled Trial. Lancet 2010, 376, 524–531. [Google Scholar] [CrossRef]
- Santini, F.; Dyke, C.; Edwards, S.; Stavri, G.; Feccia, M.; Khan, H.; Birks, E.; Yacoub, M.H. Pulmonary Autograft versus Homograft Replacement of the Aortic Valve: A Prospective Randomized Trial. J. Thorac. Cardiovasc. Surg. 1997, 113, 894–900. [Google Scholar] [CrossRef]
- Kumar, T.; Singh, A.; Thakre, S.; Acharya, S.; Shukla, S.; Kumar, S. Scientific Evolution of Artificial Heart Valves: A Narrative Review. Cureus 2023, 15, e42131. [Google Scholar] [CrossRef]
- Bloomfield, P. Choice of Heart Valve Prosthesis. Heart 2002, 87, 583–589. [Google Scholar] [CrossRef]
- Gott, V.L.; Alejo, D.E.; Cameron, D.E. Mechanical Heart Valves: 50 Years of Evolution. Ann. Thorac. Surg. 2003, 76, S2230–S2239. [Google Scholar] [CrossRef]
- Manji, R.A.; Menkis, A.H.; Ekser, B.; Cooper, D.K.C. Porcine Bioprosthetic Heart Valves: The next Generation. Am. Heart J. 2012, 164, 177–185. [Google Scholar] [CrossRef] [PubMed]
- Vesely, I. The Evolution of Bioprosthetic Heart Valve Design and Its Impact on Durability. Cardiovasc. Pathol. 2003, 12, 277–286. [Google Scholar] [CrossRef] [PubMed]
- Zare, M.; Ghomi, E.R.; Venkatraman, P.D.; Ramakrishna, S. Silicone-based Biomaterials for Biomedical Applications: Antimicrobial Strategies and 3D Printing Technologies. J. Appl. Polym. Sci. 2021, 138, 50969. [Google Scholar] [CrossRef]
- Colas, A.; Curtis, J. Silicone Biomaterials: History and Chemistry. In Biomaterials Science: An Introduction to Materials in Medicine; Academic Press: Cambridge, MA, USA, 1996; Volume Biomaterials Science. [Google Scholar]
- Roe, B.B.; Moore, D. Design and Fabrication of Prosthetic Valves. Exp. Med. Surg. 1958, 16, 177–182. [Google Scholar]
- Roe, B.B.; Burke, M.F.; Zehner, H. The Subcoronary Implantation of a Flexible Tricuspid Aortic Valve Prosthesis. J. Thorac. Cardiovasc. Surg. 1960, 40, 561–567. [Google Scholar] [CrossRef]
- Roe, B.B.; Kelly, P.B.; Myers, J.L.; Moore, D.W. Tricuspid Leaflet Aortic Valve Prosthesis. Circulation 1966, 33, 4s1. [Google Scholar] [CrossRef]
- Roe, B.B. Late Follow-up Studies on Flexible Leaflet Prosthetic Valves. J. Thorac. Cardiovasc. Surg. 1969, 58, 59–61. [Google Scholar] [CrossRef]
- Fishbein, M.C.; Roberts, W.C.; Golden, A.; Hufnagel, C.A. Cardiac Pathology after Aortic Valve Replacement Using Hufnagel Trileaflet Prostheses: A Study of 20 Necropsy Patients. Am. Heart J. 1975, 89, 443–448. [Google Scholar] [CrossRef]
- Mohri, H.; Hessel, E.A.; Nelson, R.J.; Anderson, H.N.; Dillard, D.H.; Merendino, K.A. Design and Durability Test of Silastic Trileaflet Aortic Valve Prostheses. J. Thorac. Cardiovasc. Surg. 1973, 65, 576–582. [Google Scholar] [CrossRef]
- Simmons, A.; Hyvarinen, J.; Odell, R.A.; Martin, D.J.; Gunatillake, P.A.; Noble, K.R.; Poole-Warren, L.A. Long-Term in Vivo Biostability of Poly(Dimethylsiloxane)/Poly(Hexamethylene Oxide) Mixed Macrodiol-Based Polyurethane Elastomers. Biomaterials 2004, 25, 4887–4900. [Google Scholar] [CrossRef]
- Gunatillake, P.A.; Martin, D.J.; Meijs, G.F.; McCarthy, S.J.; Adhikari, R. Designing Biostable Polyurethane Elastomers for Biomedical Implants. Aust. J. Chem. 2003, 56, 545. [Google Scholar] [CrossRef]
- Mathur, A.B.; Collier, T.O.; Kao, W.J.; Wiggins, M.; Schubert, M.A.; Hiltner, A.; Anderson, J.M. In Vivo Biocompatibility and Biostability of Modified Polyurethanes. J. Biomed. Mater. Res. 1997, 36, 246–257. [Google Scholar] [CrossRef]
- Dabagh, M.; Abdekhodaie, M.J.; Khorasani, M.T. Effects of Polydimethylsiloxane Grafting on the Calcification, Physical Properties, and Biocompatibility of Polyurethane in a Heart Valve. J. Appl. Polym. Sci. 2005, 98, 758–766. [Google Scholar] [CrossRef]
- Li, Z.; Yang, J.; Ye, H.; Ding, M.; Luo, F.; Li, J.; Li, J.; Tan, H.; Fu, Q. Simultaneous Improvement of Oxidative and Hydrolytic Resistance of Polycarbonate Urethanes Based on Polydimethylsiloxane/Poly(Hexamethylene Carbonate) Mixed Macrodiols. Biomacromolecules 2018, 19, 2137–2145. [Google Scholar] [CrossRef] [PubMed]
- Kim, S.; Ye, S.; Adamo, A.; Orizondo, R.A.; Jo, J.; Cho, S.K.; Wagner, W.R. A Biostable, Anti-Fouling Zwitterionic Polyurethane-Urea Based on PDMS for Use in Blood-Contacting Medical Devices. J. Mater. Chem. B 2020, 8, 8305–8314. [Google Scholar] [CrossRef]
- Teo, A.J.T.; Mishra, A.; Park, I.; Kim, Y.-J.; Park, W.-T.; Yoon, Y.-J. Polymeric Biomaterials for Medical Implants and Devices. ACS Biomater. Sci. Eng. 2016, 2, 454–472. [Google Scholar] [CrossRef]
- Muller, W.H.; Warren, W.D.; Dammann, J.F.; Beckwith, J.R.; Wood, J.E. Surgical Relief of Aortic Insufficiency by Direct Operation on the Aortic Valve. Circulation 1960, 21, 587–597. [Google Scholar] [CrossRef]
- Braunwald, N.S.; Morrow, A.G. A Late Evaluation of Flexible Teflon Prostheses Utilized for Total Aortic Valve Replacement. J. Thorac. Cardiovasc. Surg. 1965, 49, 485–496. [Google Scholar] [CrossRef]
- Roina, Y.; Auber, F.; Hocquet, D.; Herlem, G. ePTFE-based Biomedical Devices: An Overview of Surgical Efficiency. J. Biomed. Mater. Res. B Appl. Biomater. 2022, 110, 302–320. [Google Scholar] [CrossRef]
- Nistal, F.; García-Martínez, V.; Arbe, E.; Fernàndez, D.; Artiñano, E.; Mazorra, F.; Gallo, I. In Vivo Experimental Assessment of Polytetrafluoroethylene Trileaflet Heart Valve Prosthesis. J. Thorac. Cardiovasc. Surg. 1990, 99, 1074–1081. [Google Scholar] [CrossRef]
- De Souza, F.M.; Kahol, P.K.; Gupta, R.K. Introduction to Polyurethane Chemistry. In ACS Symposium Series; Gupta, R.K., Kahol, P.K., Eds.; American Chemical Society: Washington, DC, USA, 2021; Volume 1380, pp. 1–24. ISBN 978-0-8412-9840-8. [Google Scholar]
- Jaganathan, S.K.; Supriyanto, E.; Murugesan, S.; Balaji, A.; Asokan, M.K. Biomaterials in Cardiovascular Research: Applications and Clinical Implications. BioMed Res. Int. 2014, 2014, 459465. [Google Scholar] [CrossRef] [PubMed]
- Braunwald, N.S.; Cooper, T.; Morrow, A.G. Complete Replacement of the Mitral Valve. J. Thorac. Cardiovasc. Surg. 1960, 40, 1–11. [Google Scholar] [CrossRef] [PubMed]
- Braunwald, N.S. It Will Work: The First Successful Mitral Valve Replacement. Ann. Thorac. Surg. 1989, 48, S1–S3. [Google Scholar] [CrossRef] [PubMed]
- Lo, H.B.; Herold, M.; Reul, H.; Mückter, H.; Taguchi, K.; Surmann, M.; Hildinger, K.H.; Lambertz, H.; de Haan, H.; Handt, S. A Tricuspid Polyurethane Heart Valve as an Alternative to Mechanical Prostheses or Bioprostheses. ASAIO Trans. 1988, 34, 839–844. [Google Scholar]
- Jansen, J.; Willeke, S.; Reiners, B.; Harbott, P.; Reul, H.; Rau, G. New J-3 Flexible-Leaflet Polyurethane Heart Valve Prosthesis with Improved Hydrodynamic Performance. Int. J. Artif. Organs 1991, 14, 655–660. [Google Scholar] [CrossRef] [PubMed]
- Mackay, T.G.; Wheatley, D.J.; Bernacca, G.M.; Fisher, A.C.; Hindle, C.S. New Polyurethane Heart Valve Prosthesis: Design, Manufacture and Evaluation. Biomaterials 1996, 17, 1857–1863. [Google Scholar] [CrossRef]
- Bernacca, G.M.; Mackay, T.G.; Wilkinson, R.; Wheatley, D.J. Calcification and Fatigue Failure in a Polyurethane Heart Valve. Biomaterials 1995, 16, 279–285. [Google Scholar] [CrossRef]
- Bernacca, G.M.; Mackay, T.G.; Wilkinson, R.; Wheatley, D.J. Polyurethane Heart Valves: Fatigue Failure, Calcification, and Polyurethane Structure. J. Biomed. Mater. Res. 1997, 34, 371–379. [Google Scholar] [CrossRef]
- Daebritz, S.H.; Sachweh, J.S.; Hermanns, B.; Fausten, B.; Franke, A.; Groetzner, J.; Klosterhalfen, B.; Messmer, B.J. Introduction of a Flexible Polymeric Heart Valve Prosthesis With Special Design for Mitral Position. Circulation 2003, 108, II-134–II-139. [Google Scholar] [CrossRef]
- Kannan, R.Y.; Salacinski, H.J.; De Groot, J.; Clatworthy, I.; Bozec, L.; Horton, M.; Butler, P.E.; Seifalian, A.M. The Antithrombogenic Potential of a Polyhedral Oligomeric Silsesquioxane (POSS) Nanocomposite. Biomacromolecules 2006, 7, 215–223. [Google Scholar] [CrossRef]
- Kannan, R.Y.; Salacinski, H.J.; Odlyha, M.; Butler, P.E.; Seifalian, A.M. The Degradative Resistance of Polyhedral Oligomeric Silsesquioxane Nanocore Integrated Polyurethanes: An in Vitro Study. Biomaterials 2006, 27, 1971–1979. [Google Scholar] [CrossRef] [PubMed]
- Kidane, A.G.; Burriesci, G.; Edirisinghe, M.; Ghanbari, H.; Bonhoeffer, P.; Seifalian, A.M. A Novel Nanocomposite Polymer for Development of Synthetic Heart Valve Leaflets. Acta Biomater. 2009, 5, 2409–2417. [Google Scholar] [CrossRef] [PubMed]
- Rahmani, B.; Tzamtzis, S.; Ghanbari, H.; Burriesci, G.; Seifalian, A.M. Manufacturing and Hydrodynamic Assessment of a Novel Aortic Valve Made of a New Nanocomposite Polymer. J. Biomech. 2012, 45, 1205–1211. [Google Scholar] [CrossRef] [PubMed]
- Rahmani, B.; Tzamtzis, S.; Sheridan, R.; Mullen, M.J.; Yap, J.; Seifalian, A.M.; Burriesci, G. In Vitro Hydrodynamic Assessment of a New Transcatheter Heart Valve Concept (the TRISKELE). J. Cardiovasc. Transl. Res. 2017, 10, 104–115. [Google Scholar] [CrossRef]
- Rahmani, B.; Tzamtzis, S.; Sheridan, R.; Mullen, M.J.; Yap, J.; Seifalian, A.M.; Burriesci, G. A New Transcatheter Heart Valve Concept (the TRISKELE): Feasibility in an Acute Preclinical Model. EuroIntervention 2016, 12, 901–908. [Google Scholar] [CrossRef]
- Ovcharenko, E.A.; Seifalian, A.; Rezvova, M.A.; Klyshnikov, K.Y.; Glushkova, T.V.; Akenteva, T.N.; Antonova, L.V.; Velikanova, E.A.; Chernonosova, V.S.; Shevelev, G.Y.; et al. A New Nanocomposite Copolymer Based On Functionalised Graphene Oxide for Development of Heart Valves. Sci. Rep. 2020, 10, 5271. [Google Scholar] [CrossRef]
- Dandeniyage, L.S.; Adhikari, R.; Bown, M.; Shanks, R.; Adhikari, B.; Easton, C.D.; Gengenbach, T.R.; Cookson, D.; Gunatillake, P.A. Morphology and Surface Properties of High Strength Siloxane Poly(Urethane-urea)s Developed for Heart Valve Application. J. Biomed. Mater. Res. B Appl. Biomater. 2019, 107, 112–121. [Google Scholar] [CrossRef]
- Dandeniyage, L.S.; Gunatillake, P.A.; Adhikari, R.; Bown, M.; Shanks, R.; Adhikari, B. Development of High Strength Siloxane Poly(Urethane-urea) Elastomers Based on Linked Macrodiols for Heart Valve Application. J. Biomed. Mater. Res. B Appl. Biomater. 2018, 106, 1712–1720. [Google Scholar] [CrossRef]
- Dandeniyage, L.S.; Adhikari, R.; Bown, M.; Shanks, R.; Adhikari, B.; Gunatillake, P.A. Hard Segment Composition, Morphology, Tensile Properties and Biostability of Linked-Macrodiol Based Siloxane Poly(Urethane Urea). Mater. Today Commun. 2019, 18, 110–118. [Google Scholar] [CrossRef]
- Dandeniyage, L.S.; Knower, W.; Adhikari, R.; Bown, M.; Shanks, R.; Adhikari, B.; Gunatillake, P.A. In Vitro Oxidative Stability of High Strength Siloxane Poly(Urethane-urea) Elastomers Based on Linked-macrodiol. J. Biomed. Mater. Res. B Appl. Biomater. 2019, 107, 2557–2565. [Google Scholar] [CrossRef]
- Jenney, C.; Millson, P.; Grainger, D.W.; Grubbs, R.; Gunatillake, P.; McCarthy, S.J.; Runt, J.; Beith, J. Assessment of a Siloxane Poly(Urethane-urea) Elastomer Designed for Implantable Heart Valve Leaflets. Adv. NanoBiomed Res. 2021, 1, 2000032. [Google Scholar] [CrossRef]
- Kereiakes, D.J.; Answini, G.A.; Yakubov, S.J.; Rai, B.; Smith, J.M.; Duff, S.; Shannon, F.L.; Sakwa, M.; Beith, J.; Heimansohn, D. Preliminary Evaluation of a Novel Polymeric Valve Following Surgical Implantation for Symptomatic Aortic Valve Disease. JACC Cardiovasc. Interv. 2021, 14, 2754–2756. [Google Scholar] [CrossRef] [PubMed]
- TRIATM Polymer Surgical Valves Surpass 200 Patient Life Years. Available online: https://www.pcronline.com/News/Press-releases/2024/TRIA-polymer-surgical-valves-surpass-200-patient-life-years (accessed on 31 January 2025).
- Yakubov, S.J.; Wittel, J.; Johnson, G. CRT-700.20 Foldax TRIA TAVI: A Novel-Polymer Transcatheter Aortic Valve: Pilot Chronic Ovine Model Study. JACC Cardiovasc. Interv. 2022, 15, S59–S60. [Google Scholar] [CrossRef]
- Rezvova, M.A.; Klyshnikov, K.Y.; Gritskevich, A.A.; Ovcharenko, E.A. Polymeric Heart Valves Will Displace Mechanical and Tissue Heart Valves: A New Era for the Medical Devices. Int. J. Mol. Sci. 2023, 24, 3963. [Google Scholar] [CrossRef] [PubMed]
- Pinchuk, L.; Wilson, G.J.; Barry, J.J.; Schoephoerster, R.T.; Parel, J.-M.; Kennedy, J.P. Medical Applications of Poly(Styrene-Block-Isobutylene-Block-Styrene) (“SIBS”). Biomaterials 2008, 29, 448–460. [Google Scholar] [CrossRef]
- Gallocher, S.L.; Aguirre, A.F.; Kasyanov, V.; Pinchuk, L.; Schoephoerster, R.T. A Novel Polymer for Potential Use in a Trileaflet Heart Valve. J. Biomed. Mater. Res. B Appl. Biomater. 2006, 79B, 325–334. [Google Scholar] [CrossRef]
- Wang, Q.; McGoron, A.J.; Bianco, R.; Kato, Y.; Pinchuk, L.; Schoephoerster, R.T. In-Vivo Assessment of a Novel Polymer (SIBS) Trileaflet Heart Valve. J. Heart Valve Dis. 2010, 19, 499–505. [Google Scholar]
- Claiborne, T.E.; Sheriff, J.; Kuetting, M.; Steinseifer, U.; Slepian, M.J.; Bluestein, D. In Vitro Evaluation of a Novel Hemodynamically Optimized Trileaflet Polymeric Prosthetic Heart Valve. J. Biomech. Eng. 2013, 135, 021021. [Google Scholar] [CrossRef]
- Pinchuk, L.; Boden, M.; Bluestein, D. The Use of Poly(Styrene-Block-Isobutylene-Block-Styrene) and Analogs for Long-Term Implant Applications. In Macromolecular Engineering; Elsevier: Amsterdam, The Netherlands, 2021; pp. 211–235. ISBN 978-0-12-821998-0. [Google Scholar]
- Claiborne, T.; Bluestein, D.; Schoephoerster, R.T. Development and Evaluation of a Novel Artificial Catheter-Deliverable Prosthetic Heart Valve and Method for in Vitro Testing. Int. J. Artif. Organs 2009, 32, 262–271. [Google Scholar] [CrossRef]
- Rotman, O.M.; Kovarovic, B.; Chiu, W.-C.; Bianchi, M.; Marom, G.; Slepian, M.J.; Bluestein, D. Novel Polymeric Valve for Transcatheter Aortic Valve Replacement Applications: In Vitro Hemodynamic Study. Ann. Biomed. Eng. 2019, 47, 113–125. [Google Scholar] [CrossRef]
- Rotman, O.M.; Kovarovic, B.; Bianchi, M.; Slepian, M.J.; Bluestein, D. In Vitro Durability and Stability Testing of a Novel Polymeric Transcatheter Aortic Valve. ASAIO J. 2020, 66, 190–198. [Google Scholar] [CrossRef] [PubMed]
- Kovarovic, B.; Helbock, R.; Baylous, K.; Rotman, O.M.; Slepian, M.J.; Bluestein, D. Visions of TAVR Future: Development and Optimization of a Second Generation Novel Polymeric TAVR. J. Biomech. Eng. 2022, 144, 061008. [Google Scholar] [CrossRef] [PubMed]
- Singh, S.K.; Kachel, M.; Castillero, E.; Xue, Y.; Kalfa, D.; Ferrari, G.; George, I. Polymeric Prosthetic Heart Valves: A Review of Current Technologies and Future Directions. Front. Cardiovasc. Med. 2023, 10, 1137827. [Google Scholar] [CrossRef] [PubMed]
- Rezvova, M.A.; Yuzhalin, A.E.; Glushkova, T.V.; Makarevich, M.I.; Nikishau, P.A.; Kostjuk, S.V.; Klyshnikov, K.Y.; Matveeva, V.G.; Khanova, M.Y.; Ovcharenko, E.A. Biocompatible Nanocomposites Based on Poly(Styrene-Block-Isobutylene-Block-Styrene) and Carbon Nanotubes for Biomedical Application. Polymers 2020, 12, 2158. [Google Scholar] [CrossRef] [PubMed]
- Rezvova, M.A.; Nikishau, P.A.; Makarevich, M.I.; Glushkova, T.V.; Klyshnikov, K.Y.; Akentieva, T.N.; Efimova, O.S.; Nikitin, A.P.; Malysheva, V.Y.; Matveeva, V.G.; et al. Biomaterials Based on Carbon Nanotube Nanocomposites of Poly(Styrene-b-Isobutylene-b-Styrene): The Effect of Nanotube Content on the Mechanical Properties, Biocompatibility and Hemocompatibility. Nanomaterials 2022, 12, 733. [Google Scholar] [CrossRef] [PubMed]
- Afghan, N. Mechanical Properties of Poly (Vinyl Alcohol) Based Blends and Composites. Master’s Thesis, The University of Western Ontario, London, ON, Canada, 2016. [Google Scholar]
- Wan, W.K.; Campbell, G.; Zhang, Z.F.; Hui, A.J.; Boughner, D.R. Optimizing the Tensile Properties of Polyvinyl Alcohol Hydrogel for the Construction of a Bioprosthetic Heart Valve Stent. J. Biomed. Mater. Res. 2002, 63, 854–861. [Google Scholar] [CrossRef]
- Jiang, H.; Campbell, G.; Boughner, D.; Wan, W.-K.; Quantz, M. Design and Manufacture of a Polyvinyl Alcohol (PVA) Cryogel Tri-Leaflet Heart Valve Prosthesis. Med. Eng. Phys. 2004, 26, 269–277. [Google Scholar] [CrossRef]
- Mohammadi, H.; Boughner, D.; Millon, L.E.; Wan, W.K. Design and Simulation of a Poly(Vinyl Alcohol)—Bacterial Cellulose Nanocomposite Mechanical Aortic Heart Valve Prosthesis. Proc. Inst. Mech. Eng. 2009, 223, 697–711. [Google Scholar] [CrossRef]
- Eichhorn, S.J.; Baillie, C.A.; Zafeiropoulos, N.; Mwaikambo, L.Y.; Ansell, M.P.; Dufresne, A.; Entwistle, K.M.; Herrera-Franco, P.J.; Escamilla, G.C.; Groom, L.; et al. Current International Research into Cellulosic Fibres and Composites. J. Mater. Sci. 2001, 36, 2107–2131. [Google Scholar] [CrossRef]
- Millon, L.E.; Wan, W.K. The Polyvinyl Alcohol–Bacterial Cellulose System as a New Nanocomposite for Biomedical Applications. J. Biomed. Mater. Res. B Appl. Biomater. 2006, 79B, 245–253. [Google Scholar] [CrossRef]
- Vellayappan, M.V.; Balaji, A.; Subramanian, A.P.; John, A.A.; Jaganathan, S.K.; Murugesan, S.; Mohandas, H.; Supriyanto, E.; Yusof, M. Tangible Nanocomposites with Diverse Properties for Heart Valve Application. Sci. Technol. Adv. Mater. 2015, 16, 033504. [Google Scholar] [CrossRef] [PubMed]
- Zhang, L.; Wang, Z.; Xu, C.; Li, Y.; Gao, J.; Wang, W.; Liu, Y. High Strength Graphene Oxide/Polyvinyl Alcohol Composite Hydrogels. J. Mater. Chem. 2011, 21, 10399. [Google Scholar] [CrossRef]
- Xiao, Z.; Li, Q.; Liu, H.; Zhao, Q.; Niu, Y.; Zhao, D. Adhesion Mechanism and Application Progress of Hydrogels. Eur. Polym. J. 2022, 173, 111277. [Google Scholar] [CrossRef]
- Mohammadi, H.; Goode, D.; Fradet, G.; Mequanint, K. Proposed Percutaneous Aortic Valve Prosthesis Made of Cryogel. Proc. Inst. Mech. Eng. 2019, 233, 515–524. [Google Scholar] [CrossRef]
- Goode, D.; Dhaliwal, R.; Mohammadi, H. Transcatheter Mitral Valve Replacement: State of the Art. Cardiovasc. Eng. Technol. 2020, 11, 229–253. [Google Scholar] [CrossRef]
- James, S.P.; Dean IV, H.; Dasi, L.P.; Forleo, M.H.; Popat, K.C.; Lewis, N.R.; Prawel, D.A. Glycosaminoglycan and Synthetic Polymer Material for Blood-Contacting Applications. U.S. Patent No 10,071,186, 11 September 2018. [Google Scholar]
- Prawel, D.A.; Dean, H.; Forleo, M.; Lewis, N.; Gangwish, J.; Popat, K.C.; Dasi, L.P.; James, S.P. Hemocompatibility and Hemodynamics of Novel Hyaluronan–Polyethylene Materials for Flexible Heart Valve Leaflets. Cardiovasc. Eng. Technol. 2014, 5, 70–81. [Google Scholar] [CrossRef]
- Simon-Walker, R.; Cavicchia, J.; Prawel, D.A.; Dasi, L.P.; James, S.P.; Popat, K.C. Hemocompatibility of Hyaluronan Enhanced Linear Low Density Polyethylene for Blood Contacting Applications. J. Biomed. Mater. Res. B Appl. Biomater. 2018, 106, 1964–1975. [Google Scholar] [CrossRef]
- Yousefi, A.; Bark, D.L.; Dasi, L.P. Effect of Arched Leaflets and Stent Profile on the Hemodynamics of Tri-Leaflet Flexible Polymeric Heart Valves. Ann. Biomed. Eng. 2017, 45, 464–475. [Google Scholar] [CrossRef]
- Heitkemper, M.; Hatoum, H.; Dasi, L.P. In Vitro Hemodynamic Assessment of a Novel Polymeric Transcatheter Aortic Valve. J. Mech. Behav. Biomed. Mater. 2019, 98, 163–171. [Google Scholar] [CrossRef]
- Tsai, B.-H.; Lin, T.-A.; Cheng, C.-H.; Lin, J.-C. Studies of the Sulfonated Hydrogenated Styrene–Isoprene–Styrene Block Copolymer and Its Surface Properties, Cytotoxicity, and Platelet-Contacting Characteristics. Polymers 2021, 13, 235. [Google Scholar] [CrossRef]
- Maji, P.; Naskar, K. Styrenic Block Copolymer-based Thermoplastic Elastomers in Smart Applications: Advances in Synthesis, Microstructure, and Structure–Property Relationships—A Review. J. Appl. Polym. Sci. 2022, 139, e52942. [Google Scholar] [CrossRef]
- Lin, F.; Wu, C.; Cui, D. Synthesis and Characterization of Crystalline Styrene-b-(Ethylene-Co-Butylene)-b-Styrene Triblock Copolymers. J. Polym. Sci. Part Polym. Chem. 2017, 55, 1243–1249. [Google Scholar] [CrossRef]
- Kekec, N.C.; Akolpoglu, M.B.; Bozuyuk, U.; Kizilel, S.; Nugay, N.; Nugay, T.; Kennedy, J.P. Calcification Resistance of Polyisobutylene and Polyisobutylene-based Materials. Polym. Adv. Technol. 2019, 30, 1836–1846. [Google Scholar] [CrossRef]
- Stasiak, J.R.; Serrani, M.; Biral, E.; Taylor, J.V.; Zaman, A.G.; Jones, S.; Ness, T.; De Gaetano, F.; Costantino, M.L.; Bruno, V.D.; et al. Design, Development, Testing at ISO Standards and in Vivo Feasibility Study of a Novel Polymeric Heart Valve Prosthesis. Biomater. Sci. 2020, 8, 4467–4480. [Google Scholar] [CrossRef]
- Zomer Volpato, F.; Fernandes Ramos, S.L.; Motta, A.; Migliaresi, C. Physical and in Vitro Biological Evaluation of a PA 6/MWCNT Electrospun Composite for Biomedical Applications. J. Bioact. Compat. Polym. 2011, 26, 35–47. [Google Scholar] [CrossRef]
- Stout, D.A.; Yoo, J.; Santiago-Miranda, A.N.; Webster, T.J. Mechanisms of Greater Cardiomyocyte Functions on Conductive Nanoengineered Composites for Cardiovascular Application. Int. J. Nanomed. 2012, 7, 5653–5669. [Google Scholar] [CrossRef]
- Liu, T.; Hao, Y.; Zhang, Z.; Zhou, H.; Peng, S.; Zhang, D.; Li, K.; Chen, Y.; Chen, M. Advanced Cardiac Patches for the Treatment of Myocardial Infarction. Circulation 2024, 149, 2002–2020. [Google Scholar] [CrossRef]
- Sitharaman, B.; Shi, X.; Walboomers, X.F.; Liao, H.; Cuijpers, V.; Wilson, L.J.; Mikos, A.G.; Jansen, J.A. In Vivo Biocompatibility of Ultra-Short Single-Walled Carbon Nanotube/Biodegradable Polymer Nanocomposites for Bone Tissue Engineering. Bone 2008, 43, 362–370. [Google Scholar] [CrossRef]
- Jin, S.; Zhou, N.; Xu, D.; Wu, Y.; Tang, Y.; Lu, C.; Zhang, J.; Shen, J. Synthesis and Anticoagulation Activities of Polymer/Functional Graphene Oxide Nanocomposites via Reverse Atom Transfer Radical Polymerization (RATRP). Colloids Surf. B Biointerfaces 2013, 101, 319–324. [Google Scholar] [CrossRef]
- Jin, S.; Xu, D.; Zhou, N.; Yuan, J.; Shen, J. Antibacterial and Anticoagulation Properties of Polyethylene/geneO-MPC Nanocomposites. J. Appl. Polym. Sci. 2013, 129, 884–891. [Google Scholar] [CrossRef]
- Oveissi, F.; Naficy, S.; Lee, A.; Winlaw, D.S.; Dehghani, F. Materials and Manufacturing Perspectives in Engineering Heart Valves: A Review. Mater. Today Bio 2020, 5, 100038. [Google Scholar] [CrossRef] [PubMed]
- Sacristan, E.; Corona, F.; Suarez, B.; Rodriguez, G.; Duenas, B.; Gorzelewski, A.; Calderon, M. Development of a Universal Second Generation Pneumatic Ventricular Assist Device and Drive Unit. In Proceedings of the 25th Annual International Conference of the IEEE Engineering in Medicine and Biology Society (IEEE Cat. No.03CH37439), Cancun, Mexico, 17–21 September 2003; pp. 427–430. [Google Scholar]
- Garcia, J.; Kadem, L.; Pibarot, P. Silicone Rubber Trileaflet Valve Assessment Using Cardiovascular Magnetic Resonance Imaging. In Proceedings of the 2010 Annual International Conference of the IEEE Engineering in Medicine and Biology, Buenos Aires, Argentina, 31 August–4 September 2010; pp. 5169–5172. [Google Scholar]
- Weber, M.; Gonzalez De Torre, I.; Moreira, R.; Frese, J.; Oedekoven, C.; Alonso, M.; Rodriguez Cabello, C.J.; Jockenhoevel, S.; Mela, P. Multiple-Step Injection Molding for Fibrin-Based Tissue-Engineered Heart Valves. Tissue Eng. Part C Methods 2015, 21, 832–840. [Google Scholar] [CrossRef] [PubMed]
- Masheane, R.; Combrinck, J.; Masheane, L. Development of a Compression Moulding Process for the Manufacturing of Artificial Polymer Heart Valves. MATEC Web Conf. 2023, 388, 06002. [Google Scholar] [CrossRef]
- Roe, B.B.; Owsley, J.W.; Boudoures, P.C. Experimental Results With a Prosthetic Aortic Valve. J. Thorac. Surg. 1958, 36, 563–570. [Google Scholar] [CrossRef]
- Li, R.L.; Russ, J.; Paschalides, C.; Ferrari, G.; Waisman, H.; Kysar, J.W.; Kalfa, D. Mechanical Considerations for Polymeric Heart Valve Development: Biomechanics, Materials, Design and Manufacturing. Biomaterials 2019, 225, 119493. [Google Scholar] [CrossRef]
- Jansen, J.; Reul, H. A Synthetic Three-Leaflet Valve. J. Med. Eng. Technol. 1992, 16, 27–33. [Google Scholar] [CrossRef]
- Daebritz, S.H.; Fausten, B.; Hermanns, B.; Franke, A.; Schroeder, J.; Groetzner, J.; Autschbach, R.; Messmer, B.J.; Sachweh, J.S. New Flexible Polymeric Heart Valve Prostheses for the Mitral and Aortic Positions. Heart Surg. Forum 2004, 7, E525–E532. [Google Scholar] [CrossRef]
- Zagho, M.; Hussein, E.; Elzatahry, A. Recent Overviews in Functional Polymer Composites for Biomedical Applications. Polymers 2018, 10, 739. [Google Scholar] [CrossRef]
- Rane, A.V.; Kanny, K.; Abitha, V.K.; Thomas, S. Methods for Synthesis of Nanoparticles and Fabrication of Nanocomposites. In Synthesis of Inorganic Nanomaterials; Elsevier: Amsterdam, The Netherlands, 2018; pp. 121–139. ISBN 978-0-08-101975-7. [Google Scholar]
- Toh, H.W.; Toong, D.W.Y.; Ng, J.C.K.; Ow, V.; Lu, S.; Tan, L.P.; Wong, P.E.H.; Venkatraman, S.; Huang, Y.; Ang, H.Y. Polymer Blends and Polymer Composites for Cardiovascular Implants. Eur. Polym. J. 2021, 146, 110249. [Google Scholar] [CrossRef]
- Goh, G.D.; Yap, Y.L.; Agarwala, S.; Yeong, W.Y. Recent Progress in Additive Manufacturing of Fiber Reinforced Polymer Composite. Adv. Mater. Technol. 2019, 4, 1800271. [Google Scholar] [CrossRef]
- Melchels, F.P.W.; Feijen, J.; Grijpma, D.W. A Review on Stereolithography and Its Applications in Biomedical Engineering. Biomaterials 2010, 31, 6121–6130. [Google Scholar] [CrossRef] [PubMed]
- Duan, B.; Wang, M. Selective Laser Sintering and Its Application in Biomedical Engineering. MRS Bull. 2011, 36, 998–1005. [Google Scholar] [CrossRef]
- Vernon, M.J.; Mela, P.; Dilley, R.J.; Jansen, S.; Doyle, B.J.; Ihdayhid, A.R.; De-Juan-Pardo, E.M. 3D Printing of Heart Valves. Trends Biotechnol. 2024, 42, 612–630. [Google Scholar] [CrossRef] [PubMed]
- Cavallo, A.; Gasparotti, E.; Losi, P.; Foffa, I.; Al Kayal, T.; Vignali, E.; Celi, S.; Soldani, G. Fabrication and In-Vitro Characterization of a Polymeric Aortic Valve for Minimally Invasive Valve Replacement. J. Mech. Behav. Biomed. Mater. 2021, 115, 104294. [Google Scholar] [CrossRef]
- Schröter, F.; Kühnel, R.-U.; Hartrumpf, M.; Ostovar, R.; Albes, J.M. Progress on a Novel, 3D-Printable Heart Valve Prosthesis. Polymers 2023, 15, 4413. [Google Scholar] [CrossRef]
- Siemann, U. Solvent Cast Technology—A Versatile Tool for Thin Film Production. In Scattering Methods and the Properties of Polymer Materials; Springer: Berlin/Heidelberg, Germany, 2005; pp. 1–14. ISBN 978-3-540-25323-5. [Google Scholar]
- Boloori Zadeh, P.; Corbett, S.C.; Nayeb-Hashemi, H. In-Vitro Calcification Study of Polyurethane Heart Valves. Mater. Sci. Eng. C 2014, 35, 335–340. [Google Scholar] [CrossRef]
- Wang, Q.; McGoron, A.J.; Pinchuk, L.; Schoephoerster, R.T. A Novel Small Animal Model for Biocompatibility Assessment of Polymeric Materials for Use in Prosthetic Heart Valves. J. Biomed. Mater. Res. A 2010, 93A, 442–453. [Google Scholar] [CrossRef]
- Ovcharenko, E.; Rezvova, M.; Nikishau, P.; Kostjuk, S.; Glushkova, T.; Antonova, L.; Trebushat, D.; Akentieva, T.; Shishkova, D.; Krivikina, E.; et al. Polyisobutylene-Based Thermoplastic Elastomers for Manufacturing Polymeric Heart Valve Leaflets: In Vitro and In Vivo Results. Appl. Sci. 2019, 9, 4773. [Google Scholar] [CrossRef]
- Ghista, D.N. Toward an Optimum Prosthetic Trileaflet Aortic-Valve Design. Med. Biol. Eng. 1976, 14, 122–129. [Google Scholar] [CrossRef]
- Ghanbari, H.; Viatge, H.; Kidane, A.G.; Burriesci, G.; Tavakoli, M.; Seifalian, A.M. Polymeric Heart Valves: New Materials, Emerging Hopes. Trends Biotechnol. 2009, 27, 359–367. [Google Scholar] [CrossRef]
- Sachweh, J.S.; Daebritz, S.H. Novel “Biomechanical” Polymeric Valve Prostheses with Special Design for Aortic and Mitral Position: A Future Option for Pediatric Patients? In American Society for Artificial Internal Organs (ASAIO) Platinum 70th Anniversary Special Edition; CRC Press: Boca Raton, FL, USA, 2024. [Google Scholar]
- Ghista, D.N.; Reul, H. Optimal Prosthetic Aortic Leaflet Valve: Design Parametric and Longevity Analyses: Development of the Avcothane-51 Leaflet Valve Based on the Optimum Design Analysis. J. Biomech. 1977, 10, 313–324. [Google Scholar] [CrossRef] [PubMed]
- Chong, K.P.; Wieting, D.W.; Hwang, N.H.C.; Kennedy, J.H. Stress Analysis of Normal Human Aortic Valve Leaflets during Diastole. Biomater. Med. Devices Artif. Organs 1973, 1, 307–321. [Google Scholar] [CrossRef]
- Wisman, C.B.; Pierce, W.S.; Donachy, J.H.; Pae, W.E.; Myers, J.L.; Prophet, G.A. A Polyurethane Trileaflet Cardiac Valve Prosthesis In Vitro and In Vivo Studies. ASAIO J. 1982, 28, 164–168. [Google Scholar]
- Lockie, K.J.; Butterfield, M.; Fisher, J.; Juster, N.P.; Watterson, K.; Davies, G.A. Geometry of Homograft Valve Leaflets: Effect of Dilation of the Aorta and the Aortic Root. Ann. Thorac. Surg. 1993, 56, 125–130. [Google Scholar] [CrossRef] [PubMed]
- Leat, M.E.; Fisher, J. A Synthetic Leaflet Heart Valve with Improved Opening Characteristics. Med. Eng. Phys. 1994, 16, 470–476. [Google Scholar] [CrossRef]
- Butterfield, M.; Wheatley, D.J.; Williams, D.F.; Fisher, J. A New Design for Polyurethane Heart Valves. J. Heart Valve Dis. 2001, 10, 105–110. [Google Scholar]
- Burriesci, G.; Marincola, F.C.; Zervides, C. Design of a Novel Polymeric Heart Valve. J. Med. Eng. Technol. 2010, 34, 7–22. [Google Scholar] [CrossRef]
- Li, K.; Sun, W. Simulated Transcatheter Aortic Valve Deformation: A Parametric Study on the Impact of Leaflet Geometry on Valve Peak Stress. Int. J. Numer. Methods Biomed. Eng. 2017, 33, e02814. [Google Scholar] [CrossRef]
- Gharaie, S.H.; Morsi, Y. A Novel Design of a Polymeric Aortic Valve. Int. J. Artif. Organs 2015, 38, 259–270. [Google Scholar] [CrossRef]
- Ghosh, R.P.; Marom, G.; Rotman, O.M.; Slepian, M.J.; Prabhakar, S.; Horner, M.; Bluestein, D. Comparative Fluid–Structure Interaction Analysis of Polymeric Transcatheter and Surgical Aortic Valves’ Hemodynamics and Structural Mechanics. J. Biomech. Eng. 2018, 140, 121002. [Google Scholar] [CrossRef]
- Farokhi, E.A.; Niroomand-Oscuii, H.; Yazdanpanah, K. Investigation the Effect of Geometry and Position of Polymeric Heart Valves on Hemodynamic with Fluid-Structure Interaction Numerical Method. Med. Eng. Phys. 2021, 97, 10–17. [Google Scholar] [CrossRef] [PubMed]
- Zhou, J.; Li, Y.; Li, T.; Tian, X.; Xiong, Y.; Chen, Y. Analysis of the Effect of Thickness on the Performance of Polymeric Heart Valves. J. Funct. Biomater. 2023, 14, 309. [Google Scholar] [CrossRef] [PubMed]
- Weber, M.; Steinle, H.; Golombek, S.; Hann, L.; Schlensak, C.; Wendel, H.P.; Avci-Adali, M. Blood-Contacting Biomaterials: In Vitro Evaluation of the Hemocompatibility. Front. Bioeng. Biotechnol. 2018, 6, 99. [Google Scholar] [CrossRef] [PubMed]
- ISO 10993-4:2017; Biological Evaluations of Medical Devices. Part 4: Selection of Tests for Interactions with Blood. International Organization for Standardization: Geneva, Switzerland, 2017.
- Edmunds, L.H. Thrombotic and Bleeding Complications of Prosthetic Heart Valves. Ann. Thorac. Surg. 1987, 44, 430–445. [Google Scholar] [CrossRef]
- Choudhary, S.K.; Talwar, S.; Airan, B. Choice of Prosthetic Heart Valve in a Developing Country. Heart Asia 2016, 8, 65–72. [Google Scholar] [CrossRef]
- Vesey, J.M.; Otto, C.M. Complications of Prosthetic Heart Valves. Curr. Cardiol. Rep. 2004, 6, 106–111. [Google Scholar] [CrossRef]
- Siddiqui, R.F.; Abraham, J.R.; Butany, J. Bioprosthetic Heart Valves: Modes of Failure. Histopathology 2009, 55, 135–144. [Google Scholar] [CrossRef]
- Chaffin, K.A. Longevity Expectations for Polymers in Medical Devices Demand New Approaches to Evaluating Their Biostability. ACS Macro Lett. 2020, 9, 1793–1798. [Google Scholar] [CrossRef]
- ISO 10993-13:2010; Biological Evaluation of Medical Devices. Part 13: Identification and Quantification of Degradation Products from Polymeric Medical Devices. International Organization for Standardization: Geneva, Switzerland, 2010.
- Schüller-Ravoo, S.; Feijen, J.; Grijpma, D.W. Flexible, Elastic and Tear-Resistant Networks Prepared by Photo-Crosslinking Poly(Trimethylene Carbonate) Macromers. Acta Biomater. 2012, 8, 3576–3585. [Google Scholar] [CrossRef]
- Sun, M.; Elkhodiry, M.; Shi, L.; Xue, Y.; Abyaneh, M.H.; Kossar, A.P.; Giuglaris, C.; Carter, S.L.; Li, R.L.; Bacha, E.; et al. A Biomimetic Multilayered Polymeric Material Designed for Heart Valve Repair and Replacement. Biomaterials 2022, 288, 121756. [Google Scholar] [CrossRef]
- Heath, D.E. Promoting Endothelialization of Polymeric Cardiovascular Biomaterials. Macromol. Chem. Phys. 2017, 218, 1600574. [Google Scholar] [CrossRef]
- Bernacca, G.M.; Wheatley, D.J. Surface Modification of Polyurethane Heart Valves: Effects on Fatigue Life and Calcification. Int. J. Artif. Organs 1998, 21, 814–819. [Google Scholar] [CrossRef] [PubMed]
- Jana, S. Endothelialization of Cardiovascular Devices. Acta Biomater. 2019, 99, 53–71. [Google Scholar] [CrossRef] [PubMed]
- Douglass, M.; Garren, M.; Devine, R.; Mondal, A.; Handa, H. Bio-Inspired Hemocompatible Surface Modifications for Biomedical Applications. Prog. Mater. Sci. 2022, 130, 100997. [Google Scholar] [CrossRef]
- Mao, C.; Qiu, Y.; Sang, H.; Mei, H.; Zhu, A.; Shen, J.; Lin, S. Various Approaches to Modify Biomaterial Surfaces for Improving Hemocompatibility. Adv. Colloid Interface Sci. 2004, 110, 5–17. [Google Scholar] [CrossRef]
- Cassari, L.; Todesco, M.; Zamuner, A.; Imran, S.J.; Casarin, M.; Sandrin, D.; Ródenas-Rochina, J.; Gomez Ribelles, J.L.; Romanato, F.; Bagno, A.; et al. Covalently Grafted Peptides to Decellularized Pericardium: Modulation of Surface Density. Int. J. Mol. Sci. 2023, 24, 2932. [Google Scholar] [CrossRef]
- Butruk, B.; Bąbik, P.; Marczak, B.; Ciach, T. Surface Endothelialization of Polyurethanes. Procedia Eng. 2013, 59, 126–132. [Google Scholar] [CrossRef][Green Version]
- Adipurnama, I.; Yang, M.-C.; Ciach, T.; Butruk-Raszeja, B. Surface Modification and Endothelialization of Polyurethane for Vascular Tissue Engineering Applications: A Review. Biomater. Sci. 2017, 5, 22–37. [Google Scholar] [CrossRef]
- Alves, P.; Cardoso, R.; Correia, T.R.; Antunes, B.P.; Correia, I.J.; Ferreira, P. Surface Modification of Polyurethane Films by Plasma and Ultraviolet Light to Improve Haemocompatibility for Artificial Heart Valves. Colloids Surf. B Biointerfaces 2014, 113, 25–32. [Google Scholar] [CrossRef]
- Benson, A.M.; Omrane, K.; Graves, E.M.; Haas, A.L.; Bryant, E.; Mandalaywala, M.; Mueller, A. Synthesis of a Low Thrombogenic Heart Valve Coating with Horseradish Peroxidase. Polym. Adv. Technol. 2005, 16, 117–122. [Google Scholar] [CrossRef]
- Todesco, M.; Zardin, C.; Iop, L.; Palmosi, T.; Capaldo, P.; Romanato, F.; Gerosa, G.; Bagno, A. Hybrid Membranes for the Production of Blood Contacting Surfaces: Physicochemical, Structural and Biomechanical Characterization. Biomater. Res. 2021, 25, 26. [Google Scholar] [CrossRef] [PubMed]
- Casarin, M.; Todesco, M.; Fontanella, C.G.; Morlacco, A.; Dal Moro, F.; Bagno, A. Hybrid Materials for Tissue Repair and Replacement: Another Frontier in Biomaterial Exploitation Focusing on Cardiovascular and Urological Fields. Processes 2023, 11, 2013. [Google Scholar] [CrossRef]
- Todesco, M.; Merigliano, G.; Candela, V.; Iop, L.; Palmosi, T.; Gerosa, G.; Bagno, A. Hybrid Membranes for Blood-Contacting Surfaces: Preliminary Characterization. In Seventh National Congress of Bioengineering; Patron Editore: Granarolo dell’Emilia, Italy, 2020; Volume 3. [Google Scholar]
- Lancellotti, P.; Aqil, A.; Musumeci, L.; Jacques, N.; Ditkowski, B.; Debuisson, M.; Thiry, M.; Dupont, J.; Gougnard, A.; Sandersen, C.; et al. Bioactive Surface Coating for Preventing Mechanical Heart Valve Thrombosis. J. Thromb. Haemost. 2023, 21, 2485–2498. [Google Scholar] [CrossRef] [PubMed]
- Chen, Y.; Guo, Y.; Li, X.; Chen, Y.; Wang, J.; Qian, H.; Wang, J.; Wang, Y.; Hu, X.; Wang, J.; et al. Comparison Study of Surface-Initiated Hydrogel Coatings with Distinct Side-Chains for Improving Biocompatibility of Polymeric Heart Valves. Biomater. Sci. 2024, 12, 2717–2729. [Google Scholar] [CrossRef]
- Boggs, T.; Carroll, R.; Tran-Son-Tay, R.; Yamaguchi, H.; Al-Mousily, F.; DeGroff, C. Blood Cell Adhesion on a Polymeric Heart Valve Leaflet Processed Using Magnetic Abrasive Finishing. J. Med. Devices 2014, 8, 011005. [Google Scholar] [CrossRef]
- Ye, X.; Shao, Y.; Zhou, M.; Li, J.; Cai, L. Research on Micro-Structure and Hemo-Compatibility of the Artificial Heart Valve Surface. Appl. Surf. Sci. 2009, 255, 6686–6690. [Google Scholar] [CrossRef]
- Vigano, G.; Ten Brink, G.H.; Groenendijk, M.; Sipkema, R.; Pollack, D.K.M.; Mariani, M.A.; Kooi, B.J. Laser Texturing of a St. Jude Medical RegentTM Mechanical Heart Valve Prosthesis: The Proof of Concept. Interact. Cardiovasc. Thorac. Surg. 2021, 33, 986–991. [Google Scholar] [CrossRef]
- Hofferberth, S.C.; Saeed, M.Y.; Tomholt, L.; Fernandes, M.C.; Payne, C.J.; Price, K.; Marx, G.R.; Esch, J.J.; Brown, D.W.; Brown, J.; et al. A Geometrically Adaptable Heart Valve Replacement. Sci. Transl. Med. 2020, 12, eaay4006. [Google Scholar] [CrossRef]






















| Section | References |
|---|---|
| 1. Introduction | [1,2,3,4,5] |
| 2. Native heart valves | [6,7,8,9,10] |
| 3. Valvular diseases | [11,12,13,14,15,16,17,18,19,20,21,22] |
| 4. Current therapeutic approaches | [15,23,24,25,26,27,28,29,30,31,32,33,34,35,36,37] |
| 5. Prosthetic heart valves | [38,39,40,41,42,43,44,45] |
| 6. Polymeric heart valves | [46,47,48,49,50,51,52,53,54,55,56,57,58,59,60,61,62,63,64,65,66,67,68,69,70,71,72,73,74,75,76,77,78,79,80,81,82,83,84,85,86,87,88,89,90,91,92,93,94,95,96,97,98,99,100,101,102,103,104,105,106,107,108,109,110,111,112,113,114,115,116,117,118,119,120,121,122,123,124,125,126,127,128,129] |
| 7. Manufacturing techniques | [48,50,51,71,74,78,80,118,123,130,131,132,133,134,135,136,137,138,139,140,141,142,143,144,145,146,147,148,149,150,151] |
| 8. Overall consideration of valve design and geometry | [48,67,71,73,78,105,106,134,135,136,152,153,154,155,156,157,158,159,160,161,162,163,164,165,166] |
| 9. Potential complications associated with the use of PHVs | [90,167,168,169,170,171,172,173,174,175] |
| 10. Conclusions | [81,87,100,176,177,178,179,180,181,182,183,184,185,186,187,188,189,190,191,192,193,194,195] |
| Description | Reference |
|---|---|
| One of the first designs for PHVs, with cone-shaped leaflets and made of silicon | Roe et al. [48] |
| Polyurethane trileaflet valve: composed of three hemicylindrical leaflets, each with a 10 mm diameter with respect to the flow axis, and an orifice diameter of 23.5 mm | Wisman et al. [157] |
| Cylindrical trileaflet heart valve | Lockie et al. [158] |
| Polyurethane heart valve: in the closed position, the leaflet shape is characterized by a conic section: hyperbolic in the circumferential (x-y plane) and elliptical in the radial direction (x-z plane) | Mackay et al. [71] |
| Leaflet geometry defined by a (a) hyperboloid of revolution around an axis and (b) revolution around an axis of an arc subtending two straight lines | Jiang et al. [105] |
| PVA-BC heart valve: without gaps between the two adjacent leaflets and a middle orifice area < 5% of the total orifice area in the closed position | Mohammadi et al. [106] |
| SSAV prototype made of POSS-PCU with an internal diameter of 21 mm, external diameter of 22 mm, aortic protrusion of 14 mm, and total height of 20 mm | Rahmani et al. [78] |
| Valve design characterized by two curves (circumferential and radial), optimized to achieve the maximum EOA, minimal regurgitation, and less damage concentration in the leaflets | Gharaie and Morsi [163] |
| Material | Processing Methods * | In Vitro Test | In Vivo Test | Mechanical Performances | Hydrodinamic Performances | Chemical Stability | Calcification | Biocompatibility | Blood Compatibility | |
|---|---|---|---|---|---|---|---|---|---|---|
| First generation of polymers | PDMS [46,47,49,52] | A.M., D.M. | ● | ● | ● | ● | ● | ? | ● | ● |
| PDMS-PET [50] | I.M., D.M., A.M. | ? | ● | ● | ● | ? | ? | ● | ● | |
| PDMS-PP [52] | M.B., S.C., A.M. | ? | ● | ● | ● | ● | ? | ● | ● | |
| PDMS-PHMO [54] | D.M., S.C. | ● | ● | ● | ● | ● | ? | ● | ● | |
| PDMS + PU [55,56,57] | D.M., S.C., A.M. | ● | ● | ● | ? | ● | ● | ● | ● | |
| PDMS + PCU [58] | S.C., D.M., E.S. | ● | ● | ● | ? | ● | ? | ● | ? | |
| PDMS-SB-UU [59] | S.C., D.M., E.S. | ● | ● | ? | ? | ● | ? | ● | ● | |
| PTFE [60,61,62] | M.B., S.C., I.M., A.M. | ? | ● | ● | ● | ● | ● | ● | ● | |
| ePTFE [63] | D.M., I.M., A.M. | ? | ● | ● | ● | ● | ● | ● | ● | |
| PU [69] | D.M., I.M., A.M., E.S. | ● | ● | ● | ● | ? | ● | ● | ● | |
| PEU [72] | ? | ● | ? | ? | ● | ? | ? | |||
| PEUE [73] | ? | ● | ● | ? | ? | ? | ? | ? | ||
| PCU [74] | ● | ● | ● | ● | ● | ● | ● | ● | ||
| Second generation of polymers | POSS-PCU [75,76] | I.M., D.M., A.M. | ? | ● | ? | ● | ● | ? | ● | ● |
| FGO-PCU [81] | D.M., I.M., A.M., E.S. | ? | ● | ● | ● | ● | ● | ? | ? | |
| SiPUU [82] | I.M., D.M., A.M. | ● | ? | ● | ? | ● | ? | ● | ? | |
| SiPUU-PEEK-PTFE [86] | ? | ● | ? | ● | ● | ● | ● | ● | ||
| SIBS [91] | I.M., D.M., A.M. | ? | ● | ● | ? | ● | ? | ? | ? | |
| SIBS-PP [92] | ● | ? | ● | ? | ? | ? | ● | ● | ||
| SIBS + PET [94] | ? | ● | ● | ? | ● | ● | ? | ? | ||
| xSIBS [93,94,96,97] | ? | ● | ● | ● | ? | ? | ? | ● | ||
| SIBS + HDPET [94] | ? | ● | ● | ? | ? | ● | ● | ● | ||
| SIBS + CNTs [99,101] | ● | ? | ● | ? | ? | ● | ● | ● | ||
| PVA [103,104,105] | A.M., S.C. | ● | ? | ● | ● | ? | ? | ? | ? | |
| PVA-BC [106] | ● | ● | ● | ● | ? | ? | ● | ? | ||
| GO-PVA [110,111] | ? | ? | ● | ● | ? | ? | ? | ? | ||
| LLDPE [114] | I.M., A.M., D.M. | ● | ? | ● | ? | ? | ? | ● | ● | |
| HA-LLDPE [116,118] | ● | ? | ● | ? | ? | ? | ● | ● | ||
| SEPS [119,120] | I.M., A.M., D.M. | ● | ? | ● | ? | ● | ? | ● | ● | |
| SEBS [121,122] | ● | ● | ● | ? | ● | ● | ? | ● | ||
| Other nanocomposites | MWCNTs-PA [124] | I.M., D.M., A.M., S.C. | ● | ? | ● | ? | ? | ? | ● | ? |
| PLGA-CNF [125] | A.M., S.C., E.S. | ● | ? | ? | ? | ? | ? | ● | ? | |
| PPF [121] | A.M., S.C., I.M. | ● | ? | ? | ? | ? | ? | ● | ? | |
| PPFU [126] | A.M., S.C. | ● | ● | ● | ? | ? | ? | ● | ? | |
| SWNT-PPF [127] | ? | ● | ? | ? | ● | ? | ● | ? | ||
| PU/GO-g-pMPC [128,129] | ● | ? | ● | ? | ? | ? | ● | ● |
Disclaimer/Publisher’s Note: The statements, opinions and data contained in all publications are solely those of the individual author(s) and contributor(s) and not of MDPI and/or the editor(s). MDPI and/or the editor(s) disclaim responsibility for any injury to people or property resulting from any ideas, methods, instructions or products referred to in the content. |
© 2025 by the authors. Licensee MDPI, Basel, Switzerland. This article is an open access article distributed under the terms and conditions of the Creative Commons Attribution (CC BY) license (https://creativecommons.org/licenses/by/4.0/).
Share and Cite
Todesco, M.; Lezziero, G.; Gerosa, G.; Bagno, A. Polymeric Heart Valves: Do They Represent a Reliable Alternative to Current Prosthetic Devices? Polymers 2025, 17, 557. https://doi.org/10.3390/polym17050557
Todesco M, Lezziero G, Gerosa G, Bagno A. Polymeric Heart Valves: Do They Represent a Reliable Alternative to Current Prosthetic Devices? Polymers. 2025; 17(5):557. https://doi.org/10.3390/polym17050557
Chicago/Turabian StyleTodesco, Martina, Gianluca Lezziero, Gino Gerosa, and Andrea Bagno. 2025. "Polymeric Heart Valves: Do They Represent a Reliable Alternative to Current Prosthetic Devices?" Polymers 17, no. 5: 557. https://doi.org/10.3390/polym17050557
APA StyleTodesco, M., Lezziero, G., Gerosa, G., & Bagno, A. (2025). Polymeric Heart Valves: Do They Represent a Reliable Alternative to Current Prosthetic Devices? Polymers, 17(5), 557. https://doi.org/10.3390/polym17050557

