Production and Characterization of H. perforatum Oil-Loaded, Semi-Resorbable, Tri-Layered Hernia Mesh
Abstract
1. Introduction
2. Materials and Methods
2.1. Production of Three-Layered Composite Hernia Mesh
2.2. Hernia Mesh Characterization
2.2.1. Chemical Structure Characterization
2.2.2. Morphological Analysis by Scanning Electron Microscope (SEM)
2.2.3. Density and Porosity
2.2.4. Water Contact Angle
2.2.5. Moisture Retention Capacity (Swelling Tests)
2.2.6. Time-Dependent Mass Loss
2.2.7. Controlled Release
2.2.8. Mechanical Strength
2.2.9. Cytotoxicity (% Cell Viability, % Apoptosis, % Necrosis)
2.2.10. Investigation of Cell Adhesion to the Visceral Layer Surface of Patches
3. Results
3.1. Chemical Structure Characterization
3.2. Morphological Analysis by Scanning Electron Microscope (SEM)
3.3. Density and Porosity
3.4. Water Contact Angle
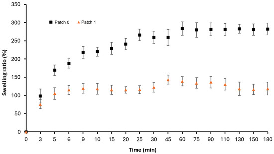
3.5. Moisture Retention Capacity (Swelling Tests)
3.6. Time-Dependent Mass Loss
3.7. Controlled Release
3.8. Mechanical Strength
3.9. Cytotoxicity (% Cell Viability, % Apoptosis, % Necrosis)
3.10. Investigation of Cell Adhesion to the Visceral Layer Surface of Patches
4. Discussion
5. Conclusions
Supplementary Materials
Author Contributions
Funding
Institutional Review Board Statement
Data Availability Statement
Conflicts of Interest
References
- Lau, B.; Kim, H.; Tejirian, T.; Haigh, P. Obesity Increases the Odds of Acquiring and Incarcerating Noninguinal Abdominal Wall Hernias. Am. Surg. 2012, 78, 1118–1121. [Google Scholar] [CrossRef] [PubMed]
- Hopper, P.D.; Williams, L.S. Understanding Medical Surgical Nursing, 5th ed.; FA Davis: Philadelphia, PA, USA, 2015; pp. 760–761. [Google Scholar]
- Kalaba, S.; Gerhard, E.; Winder, J.S.; Pauli, E.M.; Haluck, R.S.; Yang, J. Design strategies and applications of biomaterials and devices for hernia repair. Bioact. Mater. 2016, 1, 2–17. [Google Scholar] [CrossRef] [PubMed]
- Baylon, K.; Rodriguez-Camarillo, P.; Elias-Zuniga, A.; Diaz-Elizondo, J.A.; Gilkerson, R.; Lazano, K. Past, Present and Future of Surgical Meshes: A Review. Membranes 2017, 7, 47. [Google Scholar] [CrossRef] [PubMed]
- Cobb, W.S.; Kercher, K.W.; Heniford, B.T. The argument for lightweight polypropylene mesh in hernia repair. Surg. Innov. 2005, 12, 63–69. [Google Scholar] [CrossRef]
- Brown, C.; Finch, J. Which mesh for hernia repair? Ann. R. Coll. Surg. Engl. 2010, 92, 272–278. [Google Scholar] [CrossRef]
- Novitsky, Y.W.; Cristiano, J.A.; Harrell, A.G.; Newcomb, W.; Norton, J.H.; Kercher, K.W.; Heniford, B.T. Immuno histochemical analysis of host reaction to heavy weight-, reduced-weight-, and expanded polytetrafluoroethylene (ePTFE)-based meshes after short-and long-term intra-abdominal implantations. Surg. Endosc. 2008, 22, 1070–1076. [Google Scholar] [CrossRef]
- Patel, H.; Ostergard, D.R.; Sternschuss, G. Polypropylene mesh and the host response. Int. Urogynecol. J. 2012, 23, 669–679. [Google Scholar] [CrossRef]
- Maddah, H.A. Polypropylene as a promising plastic: A review. Am. J. Polym. Sci. 2016, 6, 1–11. [Google Scholar]
- Watanabe, K.; Kim, B.S.; Kim, I.S. Development of polypropylene nanofiber production system. Polym. Rev. 2011, 51, 288–308. [Google Scholar] [CrossRef]
- Bilsel, Y.; Abci, I. The search for ideal hernia repair; mesh materials and types. Int. J. Surg. 2012, 10, 317–321. [Google Scholar] [CrossRef]
- Açık, G.; Altınkök, C. Polypropylene microfibers via solution electrospinning under ambient conditions. J. Appl. Polym. Sci. 2019, 136, 48199. [Google Scholar] [CrossRef]
- Bölgen, N.; Vargel, İ.; Korkusuz, P.; Menceloğlu, Y.Z.; Pişkin, E. In vivo performance of antibiotic embedded electrospun PCL membranes for prevention of abdominal adhesions. J. Biomed. Mater. Res. Part B Appl. Biomater. 2007, 81, 530–543. [Google Scholar] [CrossRef]
- Wölfle, U.; Seelinger, G.; Schempp, C.M. Topical Application of St. John’s Wort (Hypericum perforatum). Planta Med. 2013, 80, 109–120. [Google Scholar] [CrossRef] [PubMed]
- Eğri, Ö.; Erdemir, N. Production of Hypericum perforatum oil-loaded membranes for wound dressing material and in vitro tests. Artif. Cells Nanomed. Biotechnol. 2019, 47, 1404–1415. [Google Scholar] [CrossRef] [PubMed]
- Eğri, Ö.; Erdemir, N.; Gevrek, F. Effect of H. perforatum oil containing membranes on the second degree burn wounds in rats. Mater. Today Commun. 2020, 24, 100954. [Google Scholar] [CrossRef]
- Augustine, R.; Kalarikkal, N.; Thomas, S. Electrospun PCL membranes incorporated with biosynthesized silver nanoparticles as antibacterial wound dressings. Appl. Nanosci. 2015, 6, 337–344. [Google Scholar] [CrossRef]
- Zhou, X.; Wang, H.; Zhang, J.; Li, X.; Wu, Y.; Wei, Y.; Ji, S.; Kong, D.; Zhao, Q. Functional Poly(ɛ-caprolactone)/Chitosan Dressings with Nitric Oxide releasing Property Improve Wound Healing. Acta Biomater. 2017, 54, 128–137. [Google Scholar] [CrossRef]
- Gupta, B.; Saxena, S. Chitosan-Polyethylene Glycol Coated Cotton Membranes for Wound Dressing. Indian J. Fibre Text. Res. 2011, 36, 272–280. [Google Scholar]
- Sinha, M.; Banik, R.M.; Haldar, C.; Maiti, P. Development of Ciprofloxacinhydrochloride Loaded Poly(Ethylene Glycol)/Chitosan Scaffold as Wound Dressing. J. Porous Mater. 2013, 20, 799–807. [Google Scholar] [CrossRef]
- Zavoi, S.; Fetea, F.; Ranga, F.; Pop, R.M.; Baciu, A.; Socaciu, C. Comparative Fingerprint and Extraction Yield of Medicinal Herb Phenolics with Hepatoprotective Potential, as Determined by UV-Vis and FT-MIR Spectroscopy. Not. Bot. Horti Agrobot. 2011, 39, 82–89. [Google Scholar] [CrossRef]
- Kaya, S.; Yilmaz, D.E.; Akmayan, I.; Egri, O.; Arasoglu, T.; Derman, S. Caffeic acid phenethyl ester loaded electrospun nanofibers for wound dressing application. J. Pharm. Sci. 2022, 111, 734–742. [Google Scholar] [CrossRef] [PubMed]
- Neumayer, L.; Giobbie-Hurder, A.; Jonasson, O.; Fitzgibbons Jr, R.; Dunlop, D.; Gibbs, J.; Henderson, W. Open mesh versus laparoscopic mesh repair of inguinal hernia. N. Engl. J. Med. 2004, 350, 1819–1827. [Google Scholar] [CrossRef] [PubMed]
- Acik, G.; Altinkok, C.; Tasdelen, M.A. Synthesis and characterization of polypropylene-graft-poly (l-lactide) copolymers by CuAAC click chemistry. J. Polym. Sci. Part A Polym. Chem. 2018, 56, 2595–2601. [Google Scholar] [CrossRef]
- Miao, L.; Wang, F.; Wang, L.; Zou, T.; Brochu, G.; Guidoin, R. Physical characteristics of medical textile prostheses designed for hernia repair: A comprehensive analysis of select commercial devices. Materials 2015, 8, 8148–8168. [Google Scholar] [CrossRef]
- Ahmad, D.; van den Boogaert, I.; Miller, J.; Presswell, R.; Jouhara, H. Hydrophilic and hydrophobic materials and their applications. Energy Sources Part A 2018, 40, 2686–2725. [Google Scholar] [CrossRef]
- Zahedi, P.; Rezaeian, I.; Ranaei-Siada, S.O.; Jafari, S.H.; Supaphol, P. A review on wound dressings with an emphasis on electrospun nanofibrous polymeric bandages. Polym. Adv. Technol. 2010, 21, 77–95. [Google Scholar] [CrossRef]
- Kweon, H.; Ha, H.C.; Um, I.C.; Park, Y.H. Physical Properties of Silk Fibroin/Chitosan Blend Films. J. Appl. Polym. Sci. 2000, 80, 928–934. [Google Scholar] [CrossRef]
- Patil, B.S.; Mastiholimath, V.S.; Kulkarni, A.R. Development and Evaluation of Psyllium Seed Husk Polysaccharide Based Wound Dressing Films. Orient. Pharm. Exp. Med. 2011, 11, 123–129. [Google Scholar] [CrossRef]
- Deshpande, M.V.; Girase, A.; King, M.W. Degradation of Poly (ε-caprolactone) Resorbable Multifilament Yarn under Physiological Conditions. Polymers 2023, 15, 3819. [Google Scholar] [CrossRef]









| Patch | PEG (w/w%) | PCL (w/w%) | PP-Cl (w/w%) | Oil (w/w%) | Specific Volume (V0) (cm3/g) | Specific Volume (Vm) (cm3/g) | Density (g/cm3) | Porosity (%) |
|---|---|---|---|---|---|---|---|---|
| 0 | 0.137 | 0.517 | 0.345 | 0 | 0.894 | 5.102 ± 1.071 | 0.20 ± 0.04 | 82 ± 4 |
| 1 | 0.104 | 0.392 | 0.261 | 0.244 | 0.932 | 3.703 ± 0.967 | 0.27 ± 0.06 | 75 ± 6 |
| Patch | Bottom (Visceral) Layer (θ) | Top (Parietal) Layer (θ) |
|---|---|---|
| 0 | 39.34° ± 3.93° | 96.58° ± 1.82° |
| 1 | 64.04° ± 5.84° | 108.29° ± 5.87° |
| Patch | Elongation at Break (mm) | Ultimate Tensile Stress (N/mm2) | Yield Point (N/mm2) | Young Modulus (MPa) |
|---|---|---|---|---|
| 0 | 222.14 | 2.1 | 1.20 | 3.85 ± 1.06 |
| 1 | 306.99 | 2.5 | 1.04 | 2.71 ± 0.07 |
| Groups | Apoptosis% | Necrosis% | Cell Viability% |
|---|---|---|---|
| Positive control (DMSO) | 2 | 80 | 29.83 ± 5.06 |
| Negative control (cells only) | 1 | 3 | 100 (Reference) |
| Patch 0 | 2 | 2 | 91.79 ± 7.14 |
| Patch 1 | 2 | 3 | 108.34 ± 3.64 |
| H. perforatum oil | - | - | 88.36 ± 4.15 |
Disclaimer/Publisher’s Note: The statements, opinions and data contained in all publications are solely those of the individual author(s) and contributor(s) and not of MDPI and/or the editor(s). MDPI and/or the editor(s) disclaim responsibility for any injury to people or property resulting from any ideas, methods, instructions or products referred to in the content. |
© 2025 by the authors. Licensee MDPI, Basel, Switzerland. This article is an open access article distributed under the terms and conditions of the Creative Commons Attribution (CC BY) license (https://creativecommons.org/licenses/by/4.0/).
Share and Cite
Eğri, Ö.; Güneş, F.; Eğri, S. Production and Characterization of H. perforatum Oil-Loaded, Semi-Resorbable, Tri-Layered Hernia Mesh. Polymers 2025, 17, 240. https://doi.org/10.3390/polym17020240
Eğri Ö, Güneş F, Eğri S. Production and Characterization of H. perforatum Oil-Loaded, Semi-Resorbable, Tri-Layered Hernia Mesh. Polymers. 2025; 17(2):240. https://doi.org/10.3390/polym17020240
Chicago/Turabian StyleEğri, Özlem, Feyza Güneş, and Sinan Eğri. 2025. "Production and Characterization of H. perforatum Oil-Loaded, Semi-Resorbable, Tri-Layered Hernia Mesh" Polymers 17, no. 2: 240. https://doi.org/10.3390/polym17020240
APA StyleEğri, Ö., Güneş, F., & Eğri, S. (2025). Production and Characterization of H. perforatum Oil-Loaded, Semi-Resorbable, Tri-Layered Hernia Mesh. Polymers, 17(2), 240. https://doi.org/10.3390/polym17020240

