Modified Castor Oil-Based Polyurethane Films with Streptomyces Extracts Presenting Anti-Methicillin-Resistant Staphylococcus aureus Activity
Abstract
1. Introduction
2. Materials and Methods
2.1. Materials
2.2. Obtention of Streptomyces sp. Extract
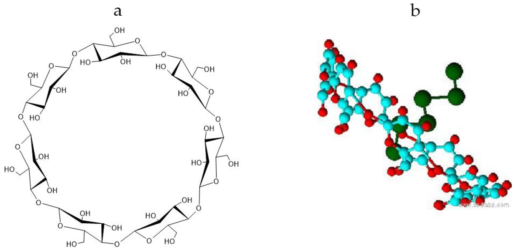
2.3. Synthesis of Inclusion Complexes
2.4. IC Confirmation
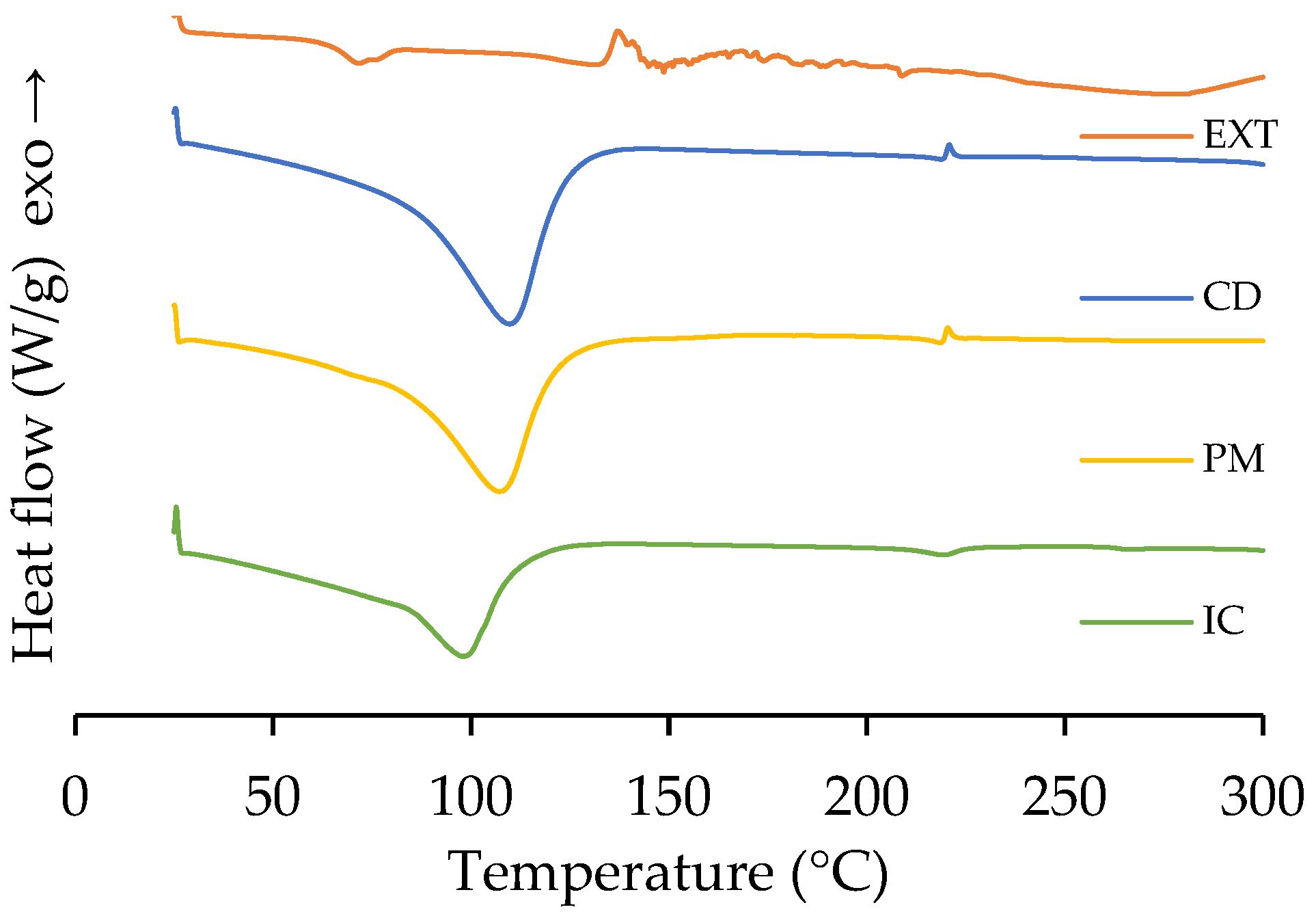
2.4.1. Thermal Analysis
2.4.2. Furrier Infrared Spectroscopy (FTIR)
2.4.3. X-Ray Diffraction
2.4.4. Nuclear Magnetic Resonance (H-NMR)
2.4.5. Antibacterial Activity
2.5. Castor Oil Modification
2.6. Synthesis of Polyurethane Films
2.7. Film Characterization
2.7.1. Structural, Morphological, and Crystalline Characterization
2.7.2. Physicochemical Analysis
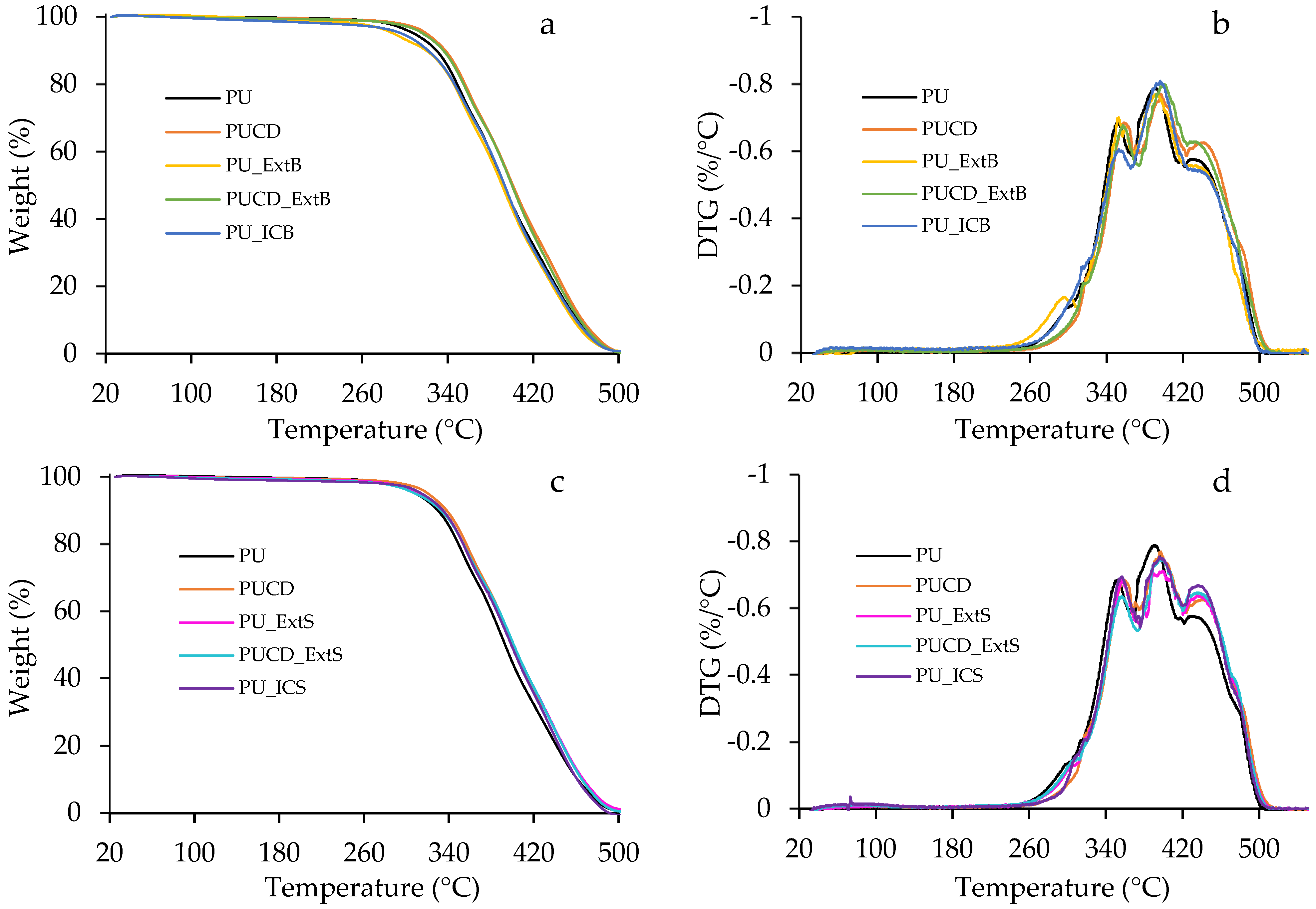
2.7.3. Thermal Analysis
2.7.4. Mechanical Analysis
2.8. Film Biological Activity
2.8.1. In Vitro Antibacterial Activity
2.8.2. Human Whole Blood Collection
2.8.3. Hemolysis
2.8.4. Blood Clotting Time
2.8.5. Platelet Adhesion
2.8.6. Cell Culture
2.8.7. Cell Viability
2.9. Statistical Analysis
3. Results
3.1. Inclusion Complex Confirmation
3.2. PU Film Structure, Morphology, and Crystalline Characterization
3.3. Physicochemical Analysis
3.4. Thermal Analysis
3.5. Mechanical Analysis
3.6. Antibacterial Activity
3.7. Hemolysis
3.8. Blood Clotting Time
3.9. Platelet Adhesion
3.10. Cell Viability
4. Conclusions
Author Contributions
Funding
Institutional Review Board Statement
Data Availability Statement
Conflicts of Interest
References
- Monegro, A.F.; Muppidi, V.; Regunath, H. Hospital-Acquired Infections. Available online: https://www.ncbi.nlm.nih.gov/books/NBK441857/ (accessed on 19 April 2025).
- World Health Organization. WHO Bacterial Priority Pathogens List, 2024: Bacterial Pathogens of Public Health Importance, to Guide Research, Development and Strategies to Prevent and Control Antimicrobial Resistance; World Health Organization: Geneva, Switzerland, 2024; ISBN 9789240093461 (electronic version). [Google Scholar]
- Sun, L.; Zhu, F.; Chen, Y.; Shi, Y.; Wang, H.; Yu, Y.; Lu, Z.; Chen, Y. Genomic Characterization of Healthcare-Associated ST5 MRSA Causing Severe Pseudomembranous Enteritis in Intensive Care Unit. BMC Infect. Dis. 2025, 25, 208. [Google Scholar] [CrossRef]
- Shoaib, M.; Aqib, A.I.; Muzammil, I.; Majeed, N.; Bhutta, Z.A.; Kulyar, M.F.-A.; Fatima, M.; Zaheer, C.-N.F.; Muneer, A.; Murtaza, M.; et al. MRSA Compendium of Epidemiology, Transmission, Pathophysiology, Treatment, and Prevention within One Health Framework. Front. Microbiol. 2023, 13, 1067284. [Google Scholar] [CrossRef]
- Silva-Santana, G. Staphylococcus Aureus: Dynamics of Pathogenicity and Antimicrobial-Resistance in Hospital and Community Environments—Comprehensive Overview. Res. Microbiol. 2025, 176, 104267. [Google Scholar] [CrossRef] [PubMed]
- Jaśkiewicz, M.; Janczura, A.; Nowicka, J.; Kamysz, W. Methods Used for the Eradication of Staphylococcal Biofilms. Antibiotics 2019, 8, 174. [Google Scholar] [CrossRef] [PubMed]
- Pahlevanzadeh, F.; Setayeshmehr, M.; Bakhsheshi-Rad, H.R.; Emadi, R.; Kharaziha, M.; Poursamar, S.A.; Ismail, A.F.; Sharif, S.; Chen, X.; Berto, F. A Review on Antibacterial Biomaterials in Biomedical Applications: From Materials Perspective to Bioinks Design. Polymers 2022, 14, 2238. [Google Scholar] [CrossRef] [PubMed]
- Kalelkar, P.P.; Riddick, M.; García, A.J. Biomaterial-Based Antimicrobial Therapies for the Treatment of Bacterial Infections. Nat. Rev. Mater. 2022, 7, 39–54. [Google Scholar] [CrossRef]
- Greenhalgh, R.; Dempsey-Hibbert, N.C.; Whitehead, K.A. Antimicrobial Strategies to Reduce Polymer Biomaterial Infections and Their Economic Implications and Considerations. Int. Biodeterior. Biodegrad. 2019, 136, 1–14. [Google Scholar] [CrossRef]
- Firoozbahr, M.; Kingshott, P.; Palombo, E.A.; Zaferanloo, B. Recent Advances in Using Natural Antibacterial Additives in Bioactive Wound Dressings. Pharmaceutics 2023, 15, 644. [Google Scholar] [CrossRef]
- Hall, T.J.; Villapún, V.M.; Addison, O.; Webber, M.A.; Lowther, M.; Louth, S.E.T.; Mountcastle, S.E.; Brunet, M.Y.; Cox, S.C. A Call for Action to the Biomaterial Community to Tackle Antimicrobial Resistance. Biomater. Sci. 2020, 8, 4951–4974. [Google Scholar] [CrossRef]
- Aparicio-Blanco, J.; López-Torres, I.I.; Alonso-Berenguel, M.; Torres-Suárez, A.I.; Martín-Sabroso, C. Local Antimicrobial Delivery Systems for Prophylaxis and Treatment of Periprosthetic Traumatological Infections. Eur. J. Pharm. Sci. 2025, 204, 106940. [Google Scholar] [CrossRef]
- Khan, R.S.; Rather, A.H.; Rafiq, M.; Wani, T.U.; Jadhav, A.H.; Abdal-hay, A.; Kanjwal, M.A.; Ahmad, S.M.; Sheikh, F.A. Polyurethane Nanofiber Scaffolds for Future Bone Tissue Applications: Using β-Cyclodextrin and Zinc Oxide Nanoparticles to Improve the Properties. Polym. Adv. Technol. 2024, 35, e6438. [Google Scholar] [CrossRef]
- Li, S.; Yang, L.; Zhao, Z.; Yang, X.; Lv, H. A Polyurethane-Based Hydrophilic Elastomer with Multi-Biological Functions for Small-Diameter Vascular Grafts. Acta Biomater. 2024, 176, 234–249. [Google Scholar] [CrossRef]
- Moreira, M.P.; Andrade, G.R.S.; De Araujo, M.V.G.; Kubota, T.; Gimenez, I.F. Ternary Cyclodextrin Polyurethanes Containing Phosphate Groups: Synthesis and Complexation of Ciprofloxacin. Carbohydr. Polym. 2016, 151, 557–564. [Google Scholar] [CrossRef]
- Wang, X.; Zhang, Y.; Liang, H.; Zhou, X.; Fang, C.; Zhang, C.; Luo, Y. Synthesis and Properties of Castor Oil-Based Waterborne Polyurethane/Sodium Alginate Composites with Tunable Properties. Carbohydr. Polym. 2019, 208, 391–397. [Google Scholar] [CrossRef]
- Ristić, I.; Cakić, S.; Vukić, N.; Teofilović, V.; Tanasić, J.; Pilić, B. The Influence of Soft Segment Structure on the Properties of Polyurethanes. Polymers 2023, 15, 3755. [Google Scholar] [CrossRef]
- Ramezani, M.; Monroe, M.B.B. Biostable Segmented Thermoplastic Polyurethane Shape Memory Polymers for Smart Biomedical Applications. ACS Appl. Polym. Mater. 2022, 4, 1956–1965. [Google Scholar] [CrossRef]
- Patil, C.K.; Jirimali, H.D.; Paradeshi, J.S.; Chaudhari, B.L.; Gite, V.V. Functional Antimicrobial and Anticorrosive Polyurethane Composite Coatings from Algae Oil and Silver Doped Egg Shell Hydroxyapatite for Sustainable Development. Prog. Org. Coat. 2019, 128, 127–136. [Google Scholar] [CrossRef]
- Morales-González, M.; Navas-Gómez, K.; Diaz, L.E.; Gómez-Tejedor, J.A.; Valero, M.F. Incorporation of Chitosan in Polyurethanes Based on Modified Castor Oil for Cardiovascular Applications. Polymers 2023, 15, 3733. [Google Scholar] [CrossRef] [PubMed]
- Konovalov, D.S.; Saprykina, N.N.; Zuev, V.V. High-Performance Castor Oil-Based Polyurethane Composites Reinforced by Birch Wood Fibers. Appl. Sci. 2023, 13, 8258. [Google Scholar] [CrossRef]
- Wu, Y.C.; Chen, Y.C. Castor Oil and Its Glyceride-Based Polyurethane Flexible and Rigid Foam with Vanillin for Antibacterial Material. Ind. Crops Prod. 2025, 232, 121275. [Google Scholar] [CrossRef]
- Shen, C.; Cao, Y.; Rao, J.; Zou, Y.; Zhang, H.; Wu, D.; Chen, K. Application of Solution Blow Spinning to Rapidly Fabricate Natamycin-Loaded Gelatin/Zein/Polyurethane Antimicrobial Nanofibers for Food Packaging. Food Packag. Shelf Life 2021, 29, 100721. [Google Scholar] [CrossRef]
- Sehmi, S.K.; Allan, E.; MacRobert, A.J.; Parkin, I. The Bactericidal Activity of Glutaraldehyde-Impregnated Polyurethane. Microbiologyopen 2016, 5, 891–897. [Google Scholar] [CrossRef]
- Gulmez, F.; Yercan, A.; Kocaaga, B.; Guner, F.S. PH-Sensitive Castor Oil/PEG-Based Polyurethane Films for Drug Delivery. J. Drug Deliv. Sci. Technol. 2021, 61, 102160. [Google Scholar] [CrossRef]
- Xu, L.C.; Siedlecki, C.A. Antibacterial Polyurethanes. In Advances in Polyurethane Biomaterials; Woodhead Publishing: Cambridge, UK, 2016; pp. 247–284. ISBN 9780081006221. [Google Scholar]
- Nguyen, C.T.; Nguyen, H.T.; Dao, V.T.H.; Do, K.P.; Ta, T.T.T. Phenotypic Characterization and Whole-Genome Analysis Revealing the Promising Metabolic Potential of a Newly Isolated Streptomyces sp. CH6. Appl. Sci. 2025, 15, 7126. [Google Scholar] [CrossRef]
- Shirokikh, I.G.; Osterman, I.A.; Lukianov, D.A.; Marina, V.I.; Biryukov, M.V.; Belozerova, O.A.; Guglya, E.B.; Shirokikh, A.A.; Nazarova, Y.I.; Bokov, N.A.; et al. Biocontrol Potential of Novel Borrelidin-Producing Streptomyces rochei 3IZ-6 Isolated from Soil. Eurasian Soil Sci. 2023, 56, 619–627. [Google Scholar] [CrossRef]
- Lee, L.H.; Goh, B.H.; Chan, K.G. Editorial: Actinobacteria: Prolific Producers of Bioactive Metabolites. Front. Microbiol. 2020, 11, 558173. [Google Scholar] [CrossRef] [PubMed]
- Thamer, B.M.; Esmail, G.A.; Al-Dhabi, N.A.; Moydeen, A.M.; Arasu, M.V.; Al-Enizi, A.M.; El-Newehy, M.H. Fabrication of Biohybrid Electrospun Nanofibers for the Eradication of Wound Infection and Drug-Resistant Pathogens. Colloids Surf. A Physicochem. Eng. Asp. 2021, 609, 125691. [Google Scholar] [CrossRef]
- Ben Amara, F.; Jemli, S.; Marques, H.C.; Akermi, S.; Ennouri, M.; Smaoui, S.; Ben Mansour, R.; Bejar, S. Preparation and Characterization of Inclusion Complexes of Nigella Sativa Seed Oil with β-Cyclodextrin: In Vitro Biological Applications and in Silico Assessment. Biomass Convers. Biorefin. 2025, 15, 12287–12300. [Google Scholar] [CrossRef]
- Zlotnikov, I.D.; Belogurova, N.G.; Krylov, S.S.; Semenova, M.N.; Semenov, V.V.; Kudryashova, E.V. Plant Alkylbenzenes and Terpenoids in the Form of Cyclodextrin Inclusion Complexes as Antibacterial Agents and Levofloxacin Synergists. Pharmaceuticals 2022, 15, 861. [Google Scholar] [CrossRef]
- Boczar, D.; Michalska, K. Cyclodextrin Inclusion Complexes with Antibiotics and Antibacterial Agents as Drug-Delivery Systems—A Pharmaceutical Perspective. Pharmaceutics 2022, 14, 1389. [Google Scholar] [CrossRef]
- Jiang, L.; Yang, J.; Wang, Q.; Ren, L.; Zhou, J. Physicochemical Properties of Catechin/β-Cyclodextrin Inclusion Complex Obtained via Co-Precipitation|Propiedades Fisicoquímicas Del Complejo de Inclusión de Catequina/β-Ciclodextrina Obtenido Por Coprecipitación. CYTA-J. Food 2019, 17, 544–551. [Google Scholar] [CrossRef]
- Silva, R.M.; de Araújo, M.P.; Piauilino, C.A.; Rocha, M.D.S.; Silva, I.D.S.; da Silva, F.I.; Lima, F.D.C.A.; Almeida, F.R.D.C.; Meneses, A.K.S.; de Sousa, S.A.A.; et al. Inclusion Complex of 2-Phenylethanol in β-Cyclodextrin: Preparation, Characterization, Computational Study and Evaluation of Antinociceptive Activity. J. Mol. Struct. 2024, 1318, 139236. [Google Scholar] [CrossRef]
- Branković, J.; Matejić, V.; Simijonović, D.; Petrović, Z.D.; Vukić, M.D.; Kacaniova, M.; Rakić, S.; Petrović, V.P. Molecular Encapsulation of the Protocatechuic and Vanillic Acid Derivatives with β-Cyclodextrin: Structural Determination, Antibacterial Assessment, and Molecular Docking Analysis. J. Mol. Struct. 2024, 1312, 138615. [Google Scholar] [CrossRef]
- Silva, E.D.S.; Pessoa, R.T.; de Morais Oliveira-Tintino, C.D.; Tintino, S.R.; Gonçalves Alencar, G.; de Araújo, G.A.; Siqueira, G.M.; Coutinho, H.D.M.; Silva, T.M.; Oliveira, N.C.; et al. Antibacterial Activity and Modulatory Effects of Bowdichia virgilioides Ethanolic Extract and Its β-Cyclodextrin Inclusion Complex against Multidrug-Resistant Bacteria. J. Drug Deliv. Sci. Technol. 2025, 111, 107200. [Google Scholar] [CrossRef]
- Oprea, S.; Potolinca, V.O. Synthesis and Characterization of Linear and Cross-Linked Cyclodextrin Polyurethane Elastomers. Polym.-Plast. Technol. Eng. 2013, 52, 1550–1556. [Google Scholar] [CrossRef]
- Fan, Y.; Song, X.; Liu, L.; Zhou, C.; Wu, G. Dual Network Interpenetrating Degradable Waterborne Polyurethanes with Hydrogen Bonded Cross-Linked Modified β-Cyclodextrin Hydrophobic Cavities. J. Appl. Polym. Sci. 2023, 140, e54298. [Google Scholar] [CrossRef]
- Kantarcıoğlu, M.; Karaaslan Tunç, M.G.; Gürses, C.; Ateş, B.; Köytepe, S. Fabrication, Thermal and in Vitro Behaviors of Ciprofloxacin Loaded β-Cyclodextrin-PEG Based Polyurethanes as Potential Biomaterial for Wound Dressing Applications. J. Macromol. Sci. Part A Pure Appl. Chem. 2022, 59, 329–345. [Google Scholar] [CrossRef]
- Mao, D.; Wei, B.; Liu, C.; Zhang, B.; Zhang, Z.; Zhang, Y.; Li, Z.; Ding, B.; Ye, H.; Wang, J.; et al. Discovery, Total Synthesis, and Biological Evaluation of Tyrcinnamins as Antibacterial Agents and Tyrosinase Activators. Eur. J. Med. Chem. 2025, 291, 117665. [Google Scholar] [CrossRef]
- Sarmiento-Tovar, A.A.; Prada-Rubio, S.J.; Gonzalez-Ronseria, J.; Coy-Barrera, E.; Diaz, L. Exploration of the Bioactivity of Pigmented Extracts from Streptomyces Strains Isolated Along the Banks of the Guaviare and Arauca Rivers (Colombia). Fermentation 2024, 10, 529. [Google Scholar] [CrossRef]
- Li, W.; Yang, F.; Chen, L.; Ding, K.; Chen, X. Preparation of Eugenol–Thymol–Cuminal Composite Essential Oil Microcapsules with AITC & β-Cyclodextrin Inclusion Complex and Its Effect on Quality of Chilled Pork. Foods 2025, 14, 1029. [Google Scholar] [CrossRef]
- Uscátegui, Y.L.; Díaz, L.E.; Valero, M.F. In Vitro and in Vivo Biocompatibility of Polyurethanes Synthesized with Castor Oil Polyols for Biomedical Devices. J. Mater. Res. 2019, 34, 519–531. [Google Scholar] [CrossRef]
- Uscátegui Maldonado, Y.L.; Díaz Barrera, L.E.; Valero Valdivieso, M.F.; Coy-Barrera, E. Synthesis and Characterization of Polyurethane Films Based on Castor Oil-Derived Polyols with Heparin and Low-Molecular-Weight Chitosan for Cardiovascular Implants. J. Mater. Res. 2023, 38, 3349–3361. [Google Scholar] [CrossRef]
- Morales-González, M.; Valero, M.F.; Díaz, L.E. Physicochemical and Mechanical Properties of Non-Isocyanate Polyhydroxyurethanes (NIPHUs) from Epoxidized Soybean Oil: Candidates for Wound Dressing Applications. Polymers 2024, 16, 1514. [Google Scholar] [CrossRef] [PubMed]
- Cespedes, J.F.; Arévalo-Alquichire, S.; Diaz, L.E.; Valero, M.F. Influence of Starch on the Structure–Properties Relationship in Polyethylene Glycol/Polycaprolactone Diol Polyurethanes. Polymers 2022, 14, 3184. [Google Scholar] [CrossRef]
- ASTM D570-22; Standard Test Method for Water Absorption of Plastics. ASTM International: West Conshohocken, PA, USA, 2022.
- Ruiz, D.; Uscátegui, Y.L.; Diaz, L.; Arrieta-Pérez, R.R.; Gómez-Tejedor, J.A.; Valero, M.F. Obtention and Study of Polyurethane-Based Active Packaging with Curcumin and/or Chitosan Additives for Fruits and Vegetables—Part I: Analysis of Morphological, Mechanical, Barrier, and Migration Properties. Polymers 2023, 15, 4456. [Google Scholar] [CrossRef]
- ASTM D882-18; Standard Test Method for Tensile Properties of Thin Plastic Sheeting. ASTM International: West Conshohocken, PA, USA, 2018.
- Cespedes, J.F.; Arévalo-Alquichire, S.; Diaz, L.E.; Valero, M.F. Assessment of the Anti-Thrombogenic Activity of Polyurethane Starch Composites. J. Funct. Biomater. 2022, 13, 184. [Google Scholar] [CrossRef]
- Mohandoss, S.; Sakthi Velu, K.; Wahab, R.; Ahmad, N.; Dhanasekaran, K.; Arumugam Napoleon, A.; Saeed Akhtar, M.; Rok Lee, Y. Synergistic Effects of β-Cyclodextrin Derivative Inclusion Complexes with Favipiravir to Enhance Solubility and Antiviral Efficacy against Herpes Simplex Virus Type 1 (HSV-1). J. Mol. Liq. 2024, 413, 126064. [Google Scholar] [CrossRef]
- Puebla-Duarte, A.L.; Bernal-Mercado, A.T.; Santos-Sauceda, I.; Acosta-Elias, M.; Fernández-Quiroz, D.; Burruel-Ibarra, S.E.; Ornelas-Paz, J.D.J.; Pérez-Cabral, I.D.; Rodríguez-Félix, F.; Iturralde-García, R.D.; et al. The Characterization and Antioxidant and Erythroprotective Effects of β-Carotene Complexed in β-Cyclodextrin. Int. J. Mol. Sci. 2025, 26, 3902. [Google Scholar] [CrossRef]
- Nguyen, V.A.; Vu, A.T.N.; Huynh, H.T.; Nguyen, V.T.; Phung, G.M.; Nguyen, N.T.; Deineka, V.I.; Kovalchukova, O. Inclusion Complex of Fatty Acids of Pomegranate Seed Oil with Betacyclodextrin: Preparation, Characterization and Bioactivity. J. Food Sci. Technol. 2025. [Google Scholar] [CrossRef]
- Swarnkar, N.; Kamalakaran, A.S.; Chintha, J.; Kambhampati, N.S.V.; Sripada, L.; Balakrishnan, S.B. Host-Guest Inclusion Complexes of Tafamidis with β-Cyclodextrin: Preparation, Characterization, and in Vitro Antibacterial and Antioxidant Approach. J. Mol. Struct. 2025, 1332, 141649. [Google Scholar] [CrossRef]
- de Almeida Magalhães, T.S.S.; de Oliveira Macedo, P.C.; Kawashima Pacheco, S.Y.; da Silva, S.S.; Barbosa, E.G.; Pereira, R.R.; Costa, R.M.R.; Silva Junior, J.O.C.; da Silva Ferreira, M.A.; de Almeida, J.C.; et al. Development and Evaluation of Antimicrobial and Modulatory Activity of Inclusion Complex of Euterpe Oleracea Mart Oil and β-Cyclodextrin or HP-β-Cyclodextrin. Int. J. Mol. Sci. 2020, 21, 942. [Google Scholar] [CrossRef] [PubMed]
- Sangsanoh, P.; Chaiarwut, S.; Choipang, C.; Supaphol, P.; Niyompanich, J.; Suwantong, O.; Lirdprapamongkol, K.; Svasti, J.; Chuysinuan, P.; Techasakul, S. Cannabidiol/β-Cyclodextrin Inclusion Complex-Loaded Poly(Vinyl Alcohol) Semi-Solid Hydrogels for Potential Use in Wound Management. J. Polym. Environ. 2023, 31, 3982–3997. [Google Scholar] [CrossRef]
- Floare, C.G.; Bogdan, M.; Tomoaia-Cotişel, M.; Mocanu, A. 1H NMR Spectroscopic Characterization of Inclusion Complex of Desferrioxamine B Chelator and β-Cyclodextrin. J. Mol. Struct. 2022, 1248, 131477. [Google Scholar] [CrossRef]
- Betlejewska-Kielak, K.; Bednarek, E.; Budzianowski, A.; Michalska, K.; Maurin, J.K. Comprehensive Characterisation of the Flurbiprofen/β-Cyclodextrin Inclusion Complex Using X-Ray Techniques and NMR Spectroscopy. J. Mol. Struct. 2023, 1285, 135450. [Google Scholar] [CrossRef]
- Betlejewska-Kielak, K.; Bednarek, E.; Budzianowski, A.; Michalska, K.; Maurin, J.K. Comprehensive Characterisation of the Ketoprofen-β-Cyclodextrin Inclusion Complex Using x-Ray Techniques and Nmr Spectroscopy. Molecules 2021, 26, 4089. [Google Scholar] [CrossRef]
- Ashraf, N.; Bechthold, A.; Anwar, M.A.; Ghauri, M.A.; Anjum, M.S.; Khan, A.N.; Akhtar, K.; Khaliq, S. Production of a Broad Spectrum Streptothricin like Antibiotic from Halotolerant Streptomyces Fimbriatus Isolate G1 Associated with Marine Sediments. Folia Microbiol. 2021, 66, 639–649. [Google Scholar] [CrossRef]
- P, S.; Reshmi, C.R.; Sundaran, S.P.; Binoy, A.; Mishra, N.; A, S. β-Cyclodextrin Functionalized Polyurethane Nano Fibrous Membranes for Drug Delivery. J. Drug Deliv. Sci. Technol. 2021, 65, 102759. [Google Scholar] [CrossRef]
- Liao, Y.H.; Chen, Y.C. Preparation and Optimization of WPU Dispersion from Polyether/Polyester Polyols for Film and Coating Applications. J. Taiwan Inst. Chem. Eng. 2023, 145, 104832. [Google Scholar] [CrossRef]
- Allauddin, S.; Somisetti, V.; Narayan, R.; Kothapalli, R.V.S.N. Surface Morphology of Chlorine and Castor Oil-Based Polyurethane–Urea Coatings. Polym. Bull. 2018, 75, 5269–5285. [Google Scholar] [CrossRef]
- Rahayu, S.S.; Kaewsaneha, C.; Opaprakasit, P.; Wongngam, Y.; Polpanich, D. Fabrication of Lavender Essential Oil-Loaded Polyurethane Nanoparticles via a Facile Swelling-Diffusion Method as Hydrocolloid Agents for Wound Healing Applications. Emergent Mater. 2025, 8, 971–983. [Google Scholar] [CrossRef]
- Mohammadi, A.; Kerdabadi, Z.G.; Ayati Najafabadi, S.A.; Pourali, A.; Nejaddehbashi, F.; Azarbarz, N.; Kahkesh, K.H.; Ebrahimibagha, M. A High-Efficient Antibacterial and Biocompatible Polyurethane Film with Ag@rGO Nanostructures Prepared by Microwave-Assisted Method: Physicochemical and Dermal Wound Healing Evaluation. Heliyon 2023, 9, e21783. [Google Scholar] [CrossRef]
- Patil, A.M.; Jirimali, H.D.; Gite, V.V.; Jagtap, R.N. Synthesis and Performance of Bio-Based Hyperbranched Polyol in Polyurethane Coatings. Prog. Org. Coat. 2020, 149, 105895. [Google Scholar] [CrossRef]
- Zhou, Y.; Jiang, X.; Yang, X.; Liang, H.; Xie, X.; Fu, W. Self-Lubricating and Self-Healing Polyurethane Elastomer as a Meniscal Prosthesis to Delay Osteoarthritis Progression. Adv. Funct. Mater. 2025, 2420344. [Google Scholar] [CrossRef]
- Pardini, F.; Faccia, P.; Amalvy, J. Evaluation of PH-Sensitive Polyurethane/2-Diethylaminoethyl Methacrylate Hybrids Potentially Useful for Drug Delivery Developments. J. Drug Deliv. Sci. Technol. 2015, 30, 199–208. [Google Scholar] [CrossRef]
- Bhosale, N.; Shaik, A.; Mandal, S.K. Synthesis and Characterization of Castor Oil Based Hybrid Polymers and Their Polyurethane–Urea/Silica Coatings. RSC Adv. 2015, 5, 103625–103635. [Google Scholar] [CrossRef]
- Liang, H.; Liu, L.; Lu, J.; Chen, M.; Zhang, C. Castor Oil-Based Cationic Waterborne Polyurethane Dispersions: Storage Stability, Thermo-Physical Properties and Antibacterial Properties. Ind. Crops Prod. 2018, 117, 169–178. [Google Scholar] [CrossRef]
- Wang, T.; Zhang, J.; Yan, Y.; Wang, X.; Liu, Y.; Hou, J.; Li, J. Designing Polyurethane-Based Microcapsules with Tailored Swelling Behaviours for Enhanced Oil Recovery. Mol. Syst. Des. Eng. 2023, 9, 46–55. [Google Scholar] [CrossRef]
- Zhang, J.; Yao, M.; Chen, J.; Jiang, Z.; Ma, Y. Synthesis and Properties of Polyurethane Elastomers Based on Renewable Castor Oil Polyols. J. Appl. Polym. Sci. 2019, 136, 47309. [Google Scholar] [CrossRef]
- Uscátegui, Y.L.; Díaz, L.E.; Gómez-Tejedor, J.A.; Vallés-Lluch, A.; Vilariño-Feltrer, G.; Serrano, M.A.; Valero, M.F. Candidate Polyurethanes Based on Castor Oil (Ricinus communis), with Polycaprolactone Diol and Chitosan Additions, for Use in Biomedical Applications. Molecules 2019, 24, 237. [Google Scholar] [CrossRef]
- Li, J.; Zhang, H.; Hong, C.; Liu, M.; Wang, Y.; Han, Y.; Song, Y.; Zhou, C. Realization of Customizable Performance Castor Oil-Based Waterborne Polyurethane Antiseptic Coatings via Arbutin. Ind. Crops Prod. 2024, 212, 118315. [Google Scholar] [CrossRef]
- Liang, M.; Guan, F.; Zhang, M.; Nie, J.; Bao, L. Castor Oil-Based Self-Healing Polyurethane Based on Multiple Hydrogen Bonding and Disulfide Bonds. J. Polym. Res. 2025, 32, 131. [Google Scholar] [CrossRef]
- Balcioglu, S.; Karaaslan, M.G.; Ulu, A.; Ozcan, I.; Ali Noma, S.A.; Gurses, C.; Ates, B.; Koytepe, S. Sericin and Gentamicin-Enhanced Polyurethane-Acrylate Adhesives for Superior Adhesion, Biocompatibility and Antibacterial Property. Int. J. Adhes. Adhes. 2025, 139, 103988. [Google Scholar] [CrossRef]
- Sekiya, T.; Shibata, M. Self-Healing Castor Oil-Based Polyurethane Networks Featuring Cyclodextrin–Adamantane Host–Guest Interactions. Polym. Bull. 2023, 80, 10125–10138. [Google Scholar] [CrossRef]
- Wang, R.; Xu, T.; Yang, Y.; Zhang, M.; Xie, R.; Cheng, Y.; Zhang, Y. Tough Polyurethane Hydrogels with a Multiple Hydrogen-Bond Interlocked Bicontinuous Phase Structure Prepared by In Situ Water-Induced Microphase Separation. Adv. Mater. 2025, 37, 2412083. [Google Scholar] [CrossRef] [PubMed]
- Khan, R.S.; Wani, T.U.; Rather, A.H.; Rafiq, M.; Sheikh, F.A. Inhibition of Biofilm Growth of Gram-Positive and Gram-Negative Bacteria on Tuned Polyurethane Nanofibers. Indian J. Nat. Prod. Resour. 2023, 14, 112–121. [Google Scholar] [CrossRef]
- Li, Z.; Crago, M.; Schofield, T.; Zeng, H.; Vyas, H.K.N.; Müllner, M.; Mai-Prochnow, A.; Farajikhah, S.; Naficy, S.; Dehghani, F.; et al. Synthesis and Evaluation of Functionalized Polyurethanes for PH-Responsive Delivery of Compounds in Chronic Wounds. Gels 2023, 9, 611. [Google Scholar] [CrossRef] [PubMed]
- Sadeghi-avalshahr, A.; Nazarnezhad, S.; Noughabi, M.K.; Hassanzadeh, H.; Namaei-Ghasemnia, N.; Jalali, M. Development and Characterization of a Double-Layered Lyophilized Carrageenan/Polyurethane Bioactive Dressing Loaded with Secretome of Mesenchymal Stem Cells for Chronic Wound Healing. Int. J. Biol. Macromol. 2025, 320, 145725. [Google Scholar] [CrossRef]
- Wang, D.J.; Hsu, S. Green Waterborne Synthesis of Hemocompatible Polycarbonate–Polyether Polyurethanes. Mater. Today Commun. 2024, 39, 109351. [Google Scholar] [CrossRef]
- Azhar, H.; Khadim, H.; Zeeshan, R.; Zahra, M.; Irshad, M.; Ansari, A.A.; Iqbal, F.; Khalid, H.; Asif, A. Bilayer Electrospun Membranes Incorporated with Chitosan-Based Nanoparticles, a Novel Approach Targeting Wound Repair Applications. Colloids Surf. A Physicochem. Eng. Asp. 2025, 719, 136989. [Google Scholar] [CrossRef]
- ASTM F756-17; Standard Practice for Assessment of Hemolytic Properties of Materials. ASTM International: West Conshohocken, PA, USA, 2017.
- Zhang, Y.; Demir, B.; Bertsch, G.; Qiao, M. Zwitterion and N-Halamine Functionalized Cotton Wound Dressing with Enhanced Antifouling, Antibacterial, and Hemostatic Properties. Int. J. Biol. Macromol. 2023, 230, 123121. [Google Scholar] [CrossRef]
- Xin, Z.; Du, B.; Yan, S.; Du, S.; Zhao, C.; Sun, M.; Gao, Y. Surface Modification of Polyurethane via Covalent Immobilization of Sugar-Based Trisiloxane Surfactants. Des. Monomers Polym. 2015, 18, 284–294. [Google Scholar] [CrossRef]
- Zeng, Z.; Zhang, J.; Gao, Y.; Song, Y.; Liu, L.; Zhu, M.; Ma, W.; Fu, J.; Miao, D.; Huang, C.; et al. Bioadhesive First-Aid Patch with Rapid Hemostasis and High Toughness Designed for Sutureless Sealing of Acute Bleeding Wounds. Adv. Healthc. Mater. 2025, 14, 2403412. [Google Scholar] [CrossRef]
- ISO 10993-5:2009; Biological Evaluation of Medical Devices—Part 5: Tests for In Vitro Cytotoxicity. International Organization for Standardization: Geneva, Switzerland, 2009.
- De La Hoz-Romo, M.C.; Díaz, L.; Gómez-León, J.; Quintero, M.; Villamil, L. Marine Actinobacteria Metabolites: Unlocking New Treatments for Acne Vulgaris. Front. Microbiol. 2025, 15, 1951. [Google Scholar] [CrossRef]














| H | CD (ppm) | PM (ppm) | IC (ppm) | EXT (ppm) | ΔδPM (ppm) | ΔδIC (ppm) |
|---|---|---|---|---|---|---|
| H1 | 5.0003 | 5.0003 | 4.9977 | --- | 0.0000 | 0.0026 |
| H2 | 3.5660 | 3.5655 | 3.5623 | --- | 0.0005 | 0.0037 |
| H3 | 3.8997 | 3.8956 | 3.8947 | --- | 0.0041 | 0.0050 |
| H4 | 3.5168 | 3.5181 | 3.5147 | --- | −0.0013 | 0.0021 |
| H5 | 3.7900 | 3.7814 | 3.7822 | --- | 0.0086 | 0.0078 |
| H6 | 3.8101 | 3.8077 | 3.8064 | --- | 0.0024 | 0.0037 |
| HEXT | --- | 0.9630 | 1.1040 | 0.9629 | −0.1411 | −0.0001 |
| PU | Contact Angle (°) *1 | Water Uptake (%) **2 | Decomposition Steps, DTG Peaks (°C) | Tg (°C) | Stress (MPa) **2 | Strain (%) **2 |
|---|---|---|---|---|---|---|
| PU | 88.96 ± 3.71 a | 0.42 ± 0.031 a | T1. 351 T2. 389 T3. 430 | −9 | 2.68 ± 0.39 ab | 257.17 ± 24.88 a |
| PUCD | 84.49 ± 4.29 a | 0.50 ± 0.051 a | T1. 358 T2. 397 T3. 442 | −12 | 2.75 ± 0.14 ab | 244.03 ± 33.40 ab |
| PU_ExtB | 78.84 ± 7.18 ab | 0.49 ± 0.076 a | (T. 296) T1. 353 T2. 393 T3. 434 | −8.9 | 1.86 ± 0.15 b | 210.49 ± 24.81 abc |
| PUCD_ExtB | 79.47 ± 3.78 ab | 0.46 ± 0.097 a | T1. 357 T2. 400 T3. 432 | −14 | 2.03 ± 0.31 b | 217.17 ± 37.22 abc |
| PU_ICB | 81.48 ± 3.92 a | 0.39 ± 0.044 a | T1. 352 T2. 396 T3. 430 | −15.8 | 2.53 ± 0.22 ab | 226.07 ± 44.85 ab |
| PU_ExtS | 62.31 ± 5.32 b | 0.52 ± 0.044 a | (T. 305) T1. 356 T2. 400 T3. 435 | −16.9 | 2.73 ± 0.58 ab | 164.26 ± 22.81 bc |
| PUCD_ExtS | 62.01 ± 5.11 b | 0.18 ± 0.028 b | (T. 310) T1. 357 T2. 396 T3. 435 | −14.5 | 2.97 ± 0.29 a | 130.27 ± 9.56 c |
| PU_ICS | 83.02 ± 3.55 a | 0.50 ± 0.043 a | T1. 356 T2. 395 T3. 436 | −15.9 | 3.23 ± 0.29 a | 210.76 ± 41.84 abc |
| PU | Hemolysis (%) *1 | Clot (ABS) t = 10 min *1 | Clot (ABS) t = 20 min | Clot (ABS) t = 40 min | Platelet Adhesion (ABS) *1 | Viability (%) *1 |
|---|---|---|---|---|---|---|
| Control | 100 | 0.27 ± 0.0025 b | 0.069 ± 0.0026 a | 0.068 ± 0.0066 a | 0.29 ± 0.077 a | DMSO 2 |
| PU | 0.70 ± 0.16 abc | 0.051 ± 0.0090 a | 0.083 ± 0.033 a | 0.053 ± 0.0085 a | 0.28 ± 0.016 a | 93.33 ± 5.74 a |
| PUCD | 0.83 ± 0.098 ab | 0.052 ± 0.0062 a | 0.048 ± 0.0062 a | 0.074 ± 0.016 a | 0.26 ± 0.062 a | 74.67 ± 3.64 b |
| PU_ExtB | 0.77 ± 0.26 abc | 0.062 ± 0.0051 a | 0.065 ± 0.0047 a | 0.078 ± 0.017 a | 0.29 ± 0.005 a | 51.77 ± 5.20 de |
| PUCD_ExtB | 1.05 ± 0.34 a | 0.052 ± 0.0078 a | 0.076 ± 0.047 a | 0.088 ± 0.058 a | 0.29 ± 0.041 a | 60.04 ± 1.51 cd |
| PU_ICB | 0.42 ± 0.11 bc | 0.050 ± 0.0083 a | 0.099 ± 0.043 a | 0.062 ± 0.0096 a | 0.27 ± 0.011 a | 71.82 ± 4.05 bc |
| PU_ExtS | 0.29 ± 0.10 c | 0.056 ± 0.0079 a | 0.052 ± 0.012 a | 0.055 ± 0.0050 a | 0.34 ± 0.008 a | 37.06 ± 1.62 f |
| PUCD_ExtS | 0.78 ± 0.11 abc | 0.048 ± 0.0026 a | 0.053 ± 0.0097 a | 0.057 ± 0.0015 a | 0.31 ± 0.048 a | 41.63 ± 1.57 ef |
| PU_ICS | 0.82 ± 0.078 ab | 0.054 ± 0.017 a | 0.057 ± 0.078 a | 0.093 ± 0.034 a | 0.32 ± 0.039 a | 51.77 ± 6.29 de |
Disclaimer/Publisher’s Note: The statements, opinions and data contained in all publications are solely those of the individual author(s) and contributor(s) and not of MDPI and/or the editor(s). MDPI and/or the editor(s) disclaim responsibility for any injury to people or property resulting from any ideas, methods, instructions or products referred to in the content. |
© 2025 by the authors. Licensee MDPI, Basel, Switzerland. This article is an open access article distributed under the terms and conditions of the Creative Commons Attribution (CC BY) license (https://creativecommons.org/licenses/by/4.0/).
Share and Cite
Rodriguez, O.T.; Diaz, L.E.; Valero, M.F. Modified Castor Oil-Based Polyurethane Films with Streptomyces Extracts Presenting Anti-Methicillin-Resistant Staphylococcus aureus Activity. Polymers 2025, 17, 2383. https://doi.org/10.3390/polym17172383
Rodriguez OT, Diaz LE, Valero MF. Modified Castor Oil-Based Polyurethane Films with Streptomyces Extracts Presenting Anti-Methicillin-Resistant Staphylococcus aureus Activity. Polymers. 2025; 17(17):2383. https://doi.org/10.3390/polym17172383
Chicago/Turabian StyleRodriguez, Oscar T., Luis E. Diaz, and Manuel F. Valero. 2025. "Modified Castor Oil-Based Polyurethane Films with Streptomyces Extracts Presenting Anti-Methicillin-Resistant Staphylococcus aureus Activity" Polymers 17, no. 17: 2383. https://doi.org/10.3390/polym17172383
APA StyleRodriguez, O. T., Diaz, L. E., & Valero, M. F. (2025). Modified Castor Oil-Based Polyurethane Films with Streptomyces Extracts Presenting Anti-Methicillin-Resistant Staphylococcus aureus Activity. Polymers, 17(17), 2383. https://doi.org/10.3390/polym17172383

