Design and Evaluation of a Inonotus obliquus–AgNP–Maltodextrin Delivery System: Antioxidant, Antimicrobial, Acetylcholinesterase Inhibitory and Cytotoxic Potential
Abstract
1. Introduction
2. Materials and Methods
2.1. Chemicals and Reagents
2.2. Fungal Material (IO Sample)
2.3. Preparation of AgNPs
2.4. Cell Lines
2.5. Bacterial Strains
2.6. Fungal Sample Preparation for Mycochemical Screening
2.7. GC–MS Analysis
2.8. MS Analysis
2.9. Spray Drying Process
2.10. Preparation of I. obliquus–AgNP (IO–AgNP) System
2.11. Preparation of Maltodextrin–I. obliquus (MIO) System
2.12. Preparation of Maltodextrin–IO–AgNP (MIO–AgNP) System
2.13. Characterization of New Prepared I. obliquus-Based Systems
2.13.1. FTIR Spectroscopy
2.13.2. XRD Analysis
2.13.3. Scanning Electron Microscopy (SEM) Analysis
2.13.4. DLS Analysis
2.13.5. Encapsulation Efficiency, Loading Capacity, and Yield
2.14. Thermal Analysis
2.15. Estimation of Total Phenolic Content and Antioxidant Activity
2.15.1. Sample Preparation Procedure
2.15.2. TPC Assay
2.15.3. FRAP Assay
2.15.4. DPPH Radical Scavenging Assay
2.16. AChE Inhibitory Assay
2.17. Antimicrobial Activity
2.17.1. Agar Well Diffusion Assay
2.17.2. MIC and MBC Determination
2.18. Cell Culture and Cytotoxicity Assessment
2.18.1. Cell Culture and Treatment
2.18.2. Cell Viability Assessment
2.19. Statistical Analysis
3. Results
3.1. Mycochemical Screening
3.1.1. GC–MS Analysis
- Triterpenoids and sterols: inotodiol (14.42%), lupeol (2.55%), lupenone (2.61%), β-sitosterol (2.33%), ergosterol (1.91%), trametenolic acid (2.14%);
- Fatty acid esters: methyl palmitate (1.69%), methyl linoleate (2.45%);
- Sesquiterpenes and aromatic compounds: α-curcumene (1.73%), α-turmerone (2.71%), coumarin (1.94%), benzyl benzoate (1.81%);
- Hydrocarbons: hexadecane, heptadecane, octadecane;
- Other notable compounds: betulin (2.29%), brassicasterol (1.96%).
3.1.2. ESI–MS Analysis
3.1.3. VOC Analysis
3.2. Engineered Hybrid System
3.2.1. FTIR Analysis
3.2.2. XRD Analysis
3.2.3. SEM Analysis
3.2.4. EDX Analysis
3.2.5. DLS Analysis
3.2.6. PSD Analysis by Laser Diffraction
3.2.7. Encapsulation Efficiency, Loading Capacity, and Encapsulation Yield
3.3. Thermal Behavior
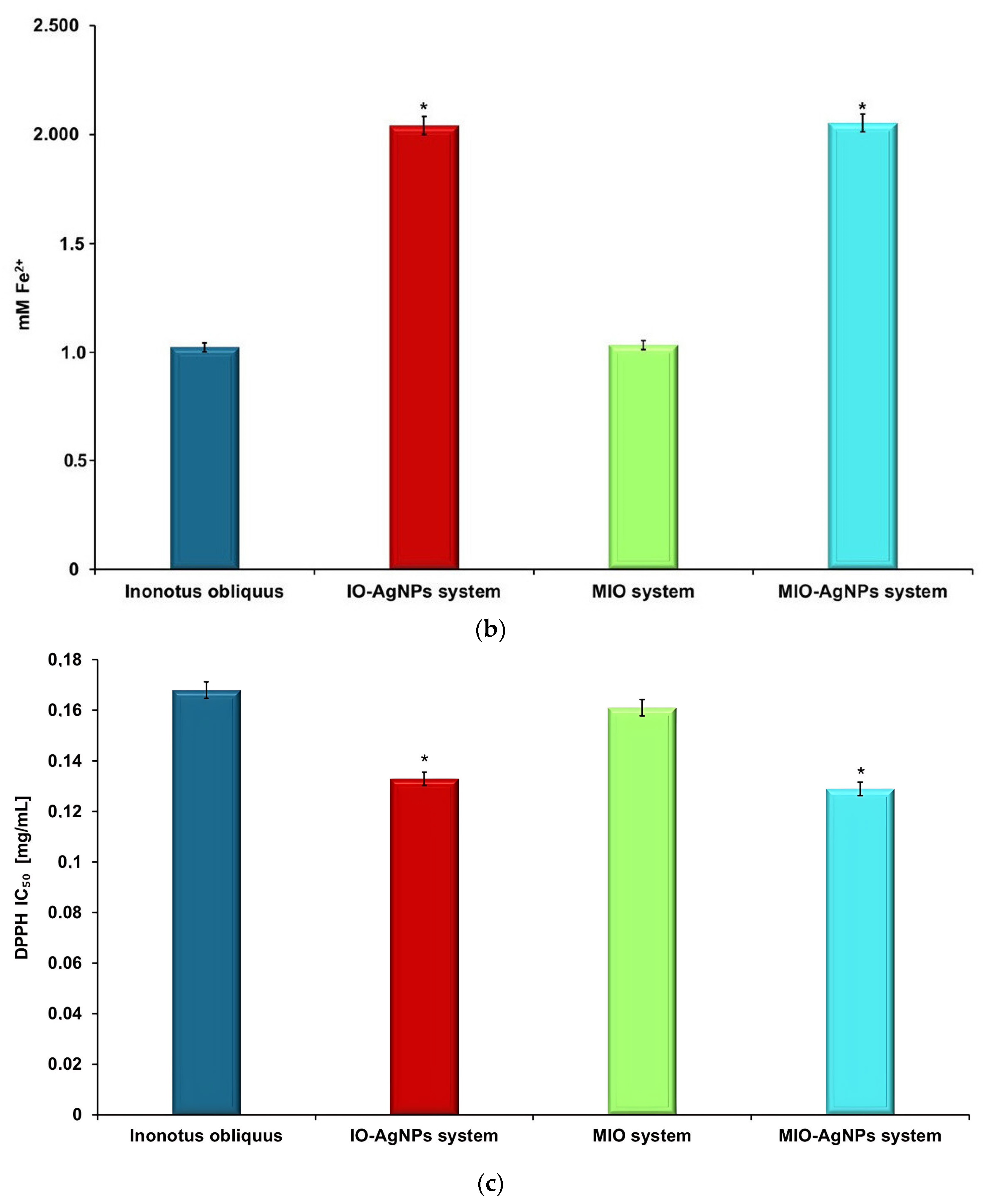
3.4. TPC and Estimation of Antioxidant Potential
3.5. AChE Inhibitory Activity
3.6. Antimicrobial Activity
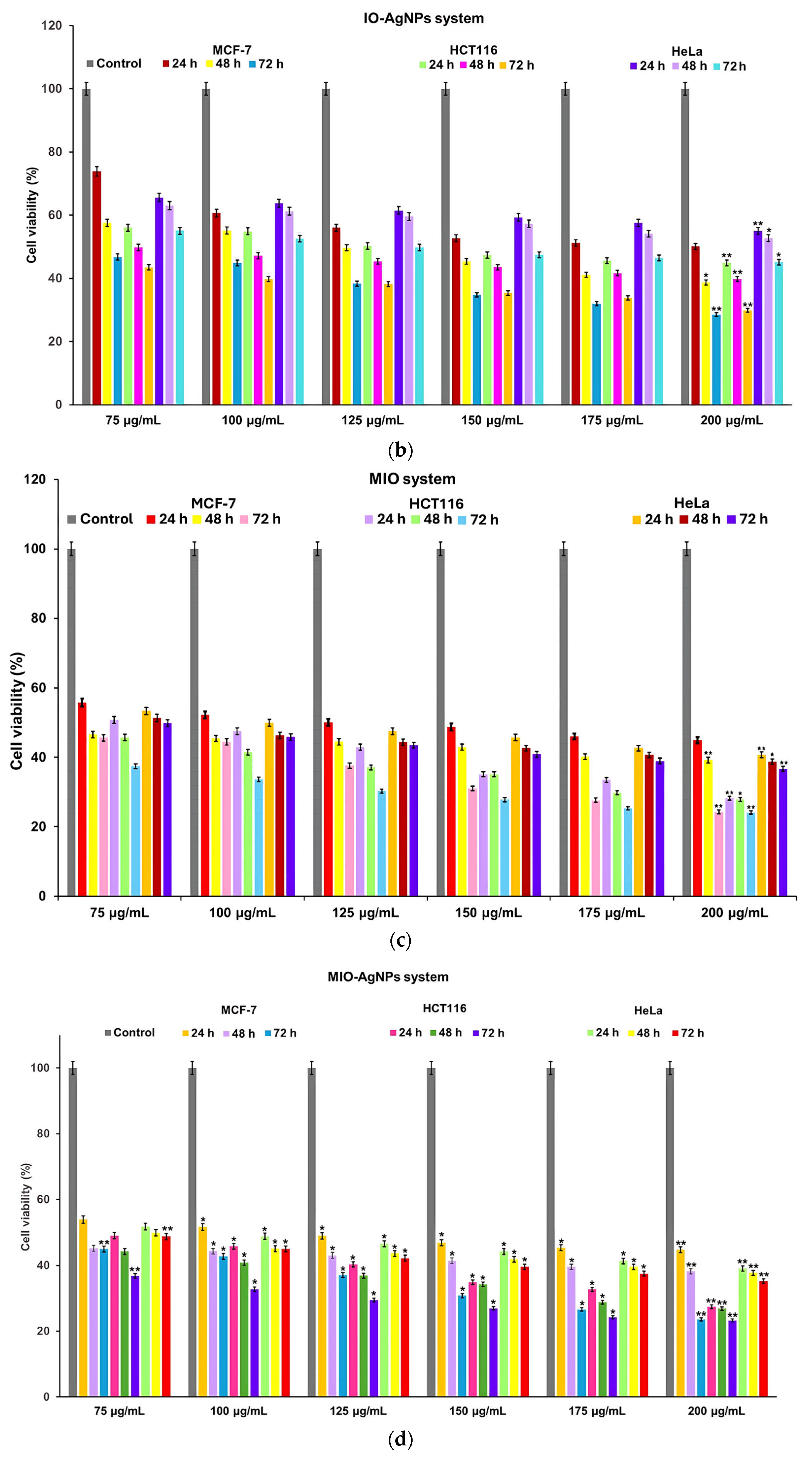
3.7. Cell Viability Assay
4. Discussion
4.1. Mycochemical Screening
4.2. Impact of Spray Drying and Formulation Architecture on Particle Characteristics and Biomedical Relevance
4.3. Comparative Encapsulation Efficiency and Novelty of Fungal-Based Systems
4.4. Assessment of TPC and Antioxidant Capacity
4.5. AChE Inhibitory Activity
4.6. Antimicrobial Activity
4.7. Cytotoxic Activity
4.8. Future Perspectives
5. Conclusions
Author Contributions
Funding
Institutional Review Board Statement
Data Availability Statement
Conflicts of Interest
Abbreviations
| AChE | Acetylcholinesterase |
| Ag | Silver |
| AgNPs | Silver nanoparticles |
| AMR | Antimicrobial resistance |
| ANOVA | Analysis of variance |
| ATCC | American Type Culture Collection |
| ATR | Attenuated total reflectance |
| Bcl-2 | B-cell lymphoma 2 |
| CFU | Colony-forming units |
| CO2 | Carbon dioxide |
| CV | Coefficient of variation |
| D[3,2] | Surface-weighted mean diameter |
| D[4,3] | Volume-weighted mean diameter |
| d50 | Median particle diameter |
| DLS | Dynamic light scattering |
| DMEM | Dulbecco’s Modified Eagle’s Medium |
| DMSO | Dimethyl sulfoxide |
| DNA | Deoxyribonucleic acid |
| DPPH | 2,2-Diphenyl-1-picrylhydrazyl |
| DSC | Differential scanning calorimetry |
| DTA | Differential thermal analysis |
| DTG | Differential thermogravimetry |
| EDS | Energy-dispersive X-ray spectroscopy |
| EDX | Energy-dispersive X-ray |
| EE% | Encapsulation efficiency |
| ESI | Electrospray ionization |
| EY% | Encapsulation yield |
| FBS | Fetal bovine serum |
| FCC | Face-centered cubic |
| FeCl3 | Ferric chloride |
| FEG | Field emission gun |
| FeSO4·7H2O | Ferrous sulfate heptahydrate |
| FRAP | Ferric reducing antioxidant power |
| FTIR | Fourier-transform infrared |
| GAE | Gallic acid equivalents |
| GC | Gas chromatography |
| HCl | Hydrochloric acid |
| HF | Heat flow |
| HSD | Honestly significant difference |
| IC50 | Half-maximal inhibitory concentration |
| ICDD | International Centre for Diffraction Data |
| IO | Inonotus obliquus |
| IZ | Inhibition zone |
| JCPDS | Joint Committee on Powder Diffraction Standards |
| LC% | Loading capacity |
| MAPK | Mitogen-activated protein kinase |
| MBC | Minimum bactericidal concentration |
| MIC | Minimum inhibitory concentration |
| MIO | Maltodextrin—I. obliquus |
| MS | Mass spectrometry |
| MTT | 3-(4,5-Dimethylthiazol-2-yl)-2,5-diphenyltetrazolium bromide |
| NIST | National Institute of Standards and Technology |
| NP | Nanoparticle |
| PDI | Polydispersity index |
| PI3K/Akt | Phosphoinositide 3-kinase/protein kinase B |
| PSD | Particle size distribution |
| QTOF | Quadrupole time-of-flight |
| RI | Retention index |
| ROS | Reactive oxygen species |
| SD | Standard deviation |
| SEM | Scanning electron microscopy |
| TPC | Total phenolic content |
| TPTZ | 2,4,6-Tris(2-pyridyl)-1,3,5-triazine |
| tR | Retention time |
| TG | Thermogravimetry |
| TGA | Thermogravimetric analysis |
| UAE | Ultrasound-assisted extraction |
| VOC | Volatile organic compound |
| WPPF | Whole powder pattern fitting |
| XRD | X-ray diffraction |
References
- Camilleri, E.; Blundell, R.; Baral, B.; Karpinski, T.M.; Aruci, E.; Atrooz, O.M. A brief overview of the medicinal and nutraceutical importance of Inonotus obliquus (chaga) mushrooms. Heliyon 2024, 10, e35638. [Google Scholar] [CrossRef]
- Glamočlija, J.; Ćirić, A.; Nikolić, M.; Fernandes, Â.; Barros, L.; Calhelha, R.C.; Ferreira, I.C.; Soković, M.; Van Griensven, L.J. Chemical characterization and biological activity of Chaga (Inonotus obliquus), a medicinal “mushroom”. J. Ethnopharmacol. 2015, 162, 323–332. [Google Scholar] [CrossRef] [PubMed]
- Silva, R.; Lopes, C.; Ferreira, S.; Bernardo, M.; Bernardo, N.; Fonseca, M. Chaga (Inonotus obliquus) in Healthspan: An Integrative perspective of naturopathy and traditional Chinese medicine. J. Complement. Ther. Health 2025, 3, 1–10. [Google Scholar] [CrossRef]
- Fordjour, E.; Manful, C.F.; Javed, R.; Galagedara, L.W.; Cuss, C.W.; Cheema, M.; Thomas, R. Chaga mushroom: A super-fungus with countless facets and untapped potential. Front. Pharmacol. 2023, 14, 1273786. [Google Scholar] [CrossRef] [PubMed]
- Peng, H.; Shahidi, F. Bioactive compounds and bioactive properties of chaga (Inonotus obliquus) mushroom: A review. J. Food Bioact. 2020, 12, 9–75. [Google Scholar] [CrossRef]
- Ern, P.T.Y.; Quan, T.Y.; Yee, F.S.; Yin, A.C.Y. Therapeutic properties of Inonotus obliquus (Chaga mushroom): A review. Mycology 2023, 15, 144–161. [Google Scholar] [CrossRef]
- Wontcheu Fotso, Y.A.; Ghazi, S.; Belkaid, A.; Soucy, J.; Tremblay, L.; Lamarre, S.; Clarisse, O.; Touaibia, M. Extraction, Chemical Composition, Antiradical Capacity, and Photoprotective Effect of Inonotus obliquus from Eastern Canada. Nutraceuticals 2023, 3, 380–402. [Google Scholar] [CrossRef]
- Drenkhan, R.; Kaldmäe, H.; Silm, M.; Adamson, K.; Bleive, U.; Aluvee, A.; Erik, M.; Raal, A. Comparative Analyses of Bioactive Compounds in Inonotus obliquus conks growing on Alnus and Betula. Biomolecules 2022, 12, 1178. [Google Scholar] [CrossRef]
- Mazurkiewicz, W. Analysis of aqueous extract of Inonotus obliquus. Acta Pol. Pharm. 2006, 63, 497–501. [Google Scholar]
- Huynh, N.; Beltrame, G.; Tarvainen, M.; Suomela, J.-P.; Yang, B. Supercritical CO2 extraction of triterpenoids from Chaga Sterile conk of Inonotus obliquus. Molecules 2022, 27, 1880. [Google Scholar] [CrossRef]
- Raal, A.; Kaldmäe, H.; Kütt, K.; Jürimaa, K.; Silm, M.; Bleive, U.; Aluvee, A.; Adamson, K.; Vester, M.; Erik, M.; et al. Chemical content and cytotoxic activity on various cancer cell lines of Chaga (Inonotus obliquus) Growing on Betula pendula and Betula pubescens. Pharmaceuticals 2024, 17, 1013. [Google Scholar] [CrossRef] [PubMed]
- Nguyen, T.M.N.; Ban, S.-Y.; Park, K.-B.; Lee, C.-K.; Lee, S.-W.; Lee, Y.-J.; Baek, S.-M.; Park, J.-K.; Nguyen, M.T.T.; Kim, J.; et al. Evaluation of toxicity and efficacy of inotodiol as an anti-inflammatory agent using animal model. Molecules 2022, 27, 4704. [Google Scholar] [CrossRef] [PubMed]
- Milyuhina, A.K.; Zabodalova, L.A.; Kyzdarbek, U.; Romazyaeva, I.R.; Kurbonova, M.K. Assessment of antimicrobial and antioxidant components of Inonotus obliquus extract as a food ingredient. IOP Conf. Ser. Earth Environ. Sci. 2021, 689, 012025. [Google Scholar] [CrossRef]
- Ma, L.; Chen, H.; Dong, P.; Lu, X. Anti-inflammatory and anticancer activities of extracts and compounds from the mushroom Inonotus obliquus. Food Chem. 2013, 139, 503–508. [Google Scholar] [CrossRef]
- Kim, J.; Yang, S.C.; Hwang, A.Y.; Cho, H.; Hwang, K.T. Composition of triterpenoids in Inonotus obliquus and their anti-proliferative activity on cancer cell lines. Molecules 2020, 25, 4066. [Google Scholar] [CrossRef]
- Dincă, L.; Timiş-Gânsac, V. The Usage of non-wood forest products—Culinary and artisanal traditions in Romania. Sust. Dev. Res. 2020, 2, 50–57. [Google Scholar] [CrossRef]
- Kobus, Z.; Krzywicka, M.; Blicharz-Kania, A.; Bosacka, A.; Pecyna, A.; Ivanišová, E.; Kozłowicz, K.; Kovačiková, E. Impact of incorporating dried Chaga mushroom (Inonotus obliquus) into gluten-free bread on its antioxidant and sensory characteristics. Molecules 2024, 29, 3801. [Google Scholar] [CrossRef]
- Upska, K.; Klavins, L.; Radenkovs, V.; Nikolajeva, V.; Faven, L.; Isosaari, E.; Lauberts, M.; Busa, L.; Viksna, A.; Klavins, M. Extraction possibilities of lipid fraction and authentication assessment of chaga (Inonotus obliquus). Biomass Conv. Bioref. 2023, 13, 14005–14021. [Google Scholar] [CrossRef]
- Segneanu, A.-E.; Cepan, M.; Bobica, A.; Stanusoiu, I.; Dragomir, I.C.; Parau, A.; Grozescu, I. Chemical screening of metabolites profile from Romanian Tuber spp. Plants 2021, 10, 540. [Google Scholar] [CrossRef]
- Lee, M.J.; Seog, E.J.; Lee, J.H. Physicochemical properties of Chaga (Inonotus obliquus) mushroom powder as influenced by drying methods. Prev. Nutr. Food Sci. 2007, 12, 40–45. [Google Scholar] [CrossRef]
- Razumov, E.Y.; Safin, R.R.; Mukhametzyanov, S.R.; Baigildeeva, E.I.; Safina, A.V.; Lebedev, D.O. Studies of the composition of the cryogenic ground chaga. IOP Conf. Ser. Mater. Sci. Eng. 2020, 986, 012029. [Google Scholar] [CrossRef]
- Bejenaru, L.E.; Segneanu, A.-E.; Bejenaru, C.; Biţă, A.; Tuţulescu, F.; Radu, A.; Ciocîlteu, M.V.; Mogoşanu, G.D. Seasonal variations in chemical composition and antibacterial and antioxidant activities of Rosmarinus officinalis L. essential oil from Southwestern Romania. Appl. Sci. 2025, 15, 681. [Google Scholar] [CrossRef]
- Segneanu, A.E.; Damian, D.; Hulka, I.; Grozescu, I.; Salifoglou, A. A simple and rapid method for calixarene-based selective extraction of bioactive molecules from natural products. Amino Acids 2016, 48, 849–858. [Google Scholar] [CrossRef] [PubMed]
- Segneanu, A.E.; Dabici, A.; Zuguang, Y.; Jianrong, L.; Grozescu, I. Comparative analytical study of active compounds from Zingiber officinale. Optoelectron. Adv. Mater. 2012, 6, 652–655. [Google Scholar]
- Vaszilcsin, C.G.; Segneanu, A.E.; Balcu, I.; Pop, R.; Fitigău, F.; Mirica, M.C. Eco-friendly extraction and separation methods of capsaicines. Environ. Eng. Manag. J. 2010, 9, 971–976. [Google Scholar] [CrossRef]
- Popescu, C.; Fitigau, F.; Segneanu, A.E.; Balcu, I.; Martagiu, R.; Vaszilcsin, C.G. Separation and characterization of anthocyanins by analytical and electrochemical methods. Environ. Eng. Manag. J. 2011, 10, 697–701. [Google Scholar] [CrossRef]
- Segneanu, A.E.; Macarie, C.; Ungureanu, M.; Gherman, V.; Grozescu, I. Comparative study on enzymatic hydrolysis of cellulose. Dig. J. Nanomater. Biostruct. 2013, 8, 1061–1068. [Google Scholar]
- Bejenaru, L.E.; Radu, A.; Segneanu, A.-E.; Biţă, A.; Manda, C.-V.; Mogoşanu, G.D.; Bejenaru, C. Innovative strategies for upcycling agricultural residues and their various pharmaceutical applications. Plants 2024, 13, 2133. [Google Scholar] [CrossRef]
- Segneanu, A.-E.; Grozescu, I.; Cziple, F.; Berki, D.; Damian, D.; Niculite, C.M.; Florea, A.; Leabu, M. Helleborus purpurascens—Amino acid and peptide analysis linked to the chemical and antiproliferative properties of the extracted compounds. Molecules 2015, 20, 22170–22187. [Google Scholar] [CrossRef]
- Yang, L.; Wen, K.-S.; Ruan, X.; Zhao, Y.-X.; Wei, F.; Wang, Q. Response of plant secondary metabolites to environmental Factors. Molecules 2018, 23, 762. [Google Scholar] [CrossRef]
- Nath, R.; Roy, R.; Barai, G.; Bairagi, S.; Manna, S.; Chakraborty, R. Modern developments of nano based drug delivery System by combined with phytochemicals—Presenting new aspects. Int. J. Sci. Res. Sci. Technol. 2021, 8, 107–129. [Google Scholar] [CrossRef]
- Aparicio-Blanco, J.; Vishwakarma, N.; Lehr, C.M.; Prestidge, C.A.; Thomas, N.; Roberts, R.J.; Thorn, C.R.; Melero, A. Antibiotic resistance and tolerance: What can drug delivery do against this global threat? Drug Deliv. Transl. Res. 2024, 14, 1725–1734. [Google Scholar] [CrossRef]
- Ahmed, S.K.; Hussein, S.; Qurbani, K.; Ibrahim, R.H.; Fareeq, A.; Mahmood, K.A.; Mohamed, M.G. Antimicrobial resistance: Impacts, challenges, and future prospects. J. Med. Surg. Publ. Health. 2024, 2, 100081. [Google Scholar] [CrossRef]
- Patra, J.K.; Das, G.; Fraceto, L.F.; Campos, E.V.R.; Rodriguez-Torres, M.D.P.; Acosta-Torres, L.S.; Diaz-Torres, L.A.; Grillo, R.; Swamy, M.K.; Sharma, S.; et al. Nano based drug delivery systems: Recent developments and future prospects. J. Nanobiotechnol. 2018, 16, 71. [Google Scholar] [CrossRef] [PubMed]
- Wang, S.; Jiang, Y.; Yang, A.; Meng, F.; Zhang, J. The expanding burden of neurodegenerative diseases: An unmet Medical and social need. Aging Dis. 2025, 16, 1–16. [Google Scholar] [CrossRef] [PubMed]
- Zaky, M.Y.; Mohamed, E.E.; Ahmed, O.M. Neurodegenerative Disorders: Available Therapies and Their Limitations. In Nanocarriers in Neurodegenerative Disorders: Therapeutic Hopes and Hypes, 1st ed.; Mohamed, W., Ed.; CRC Press, Taylor & Francis Group, LLC.: Boca Raton, FL, USA, 2024; Chapter 3; pp. 27–46. [Google Scholar] [CrossRef]
- Segneanu, A.-E.; Vlase, G.; Lukinich-Gruia, A.T.; Herea, D.-D.; Grozescu, I. Untargeted metabolomic approach of Curcuma longa to neurodegenerative phytocarrier system based on silver nanoparticles. Antioxidants 2022, 11, 2261. [Google Scholar] [CrossRef]
- Segneanu, A.-E.; Vlase, G.; Vlase, T.; Bita, A.; Bejenaru, C.; Buema, G.; Bejenaru, L.E.; Dumitru, A.; Boia, E.R. An innovative approach to a potential neuroprotective Sideritis scardica–clinoptilolite phyto-nanocarrier: In vitro investigation and Evaluation. Int. J. Mol. Sci. 2024, 25, 1712. [Google Scholar] [CrossRef]
- Segneanu, A.-E.; Vlase, G.; Vlase, T.; Bejenaru, L.E.; Mogoşanu, G.D.; Buema, G.; Herea, D.-D.; Ciocîlteu, M.V.; Bejenaru, C. Insight into Romanian wild-grown Heracleum sphondylium: Development of a new phytocarrier based on silver nanoparticles with antioxidant, antimicrobial and cytotoxicity potential. Antibiotics 2024, 13, 911. [Google Scholar] [CrossRef]
- Lima, M.T.N.S.; Santos, L.B.D.; Bastos, R.W.; Nicoli, J.R.; Takahashi, J.A. Antimicrobial activity and acetylcholinesterase inhibition by extracts from chromatin modulated fungi. Braz. J. Microbiol. 2018, 49, 169–176. [Google Scholar] [CrossRef]
- Chapla, V.M.; Honório, A.E.; Gubiani, J.R.; Vilela, A.F.L.; Young, M.C.M.; Cardoso, C.L.; Pavan, F.R.; Cicarelli, R.M.; Ferreira, P.M.P.; Bolzani, V.S.; et al. Acetylcholinesterase inhibition and antifungal activity of cyclohexanoids from the endophytic fungus Saccharicola sp. Phytochem. Lett. 2020, 39, 116–123. [Google Scholar] [CrossRef]
- Bejenaru, L.E.; Biţă, A.; Mogoşanu, G.D.; Segneanu, A.-E.; Radu, A.; Ciocîlteu, M.V.; Bejenaru, C. Polyphenols investigation and antioxidant and anticholinesterase activities of Rosmarinus officinalis L. species from Southwest Romania flora. Molecules 2024, 29, 4438. [Google Scholar] [CrossRef]
- Olivo-Flores, K.G.; Couttolenc, A.; Suárez-Medellín, J.; Trigos, Á.; Espinoza, C. Acetylcholinesterase inhibition exerted by the extract of Daldinia eschscholtzii, a marine fungus associated with the coral Siderastrea siderea: GC-MS analysis and molecular docking of identified compounds. Electron. J. Biotechnol. 2024, 72, 12–19. [Google Scholar] [CrossRef]
- Bejenaru, C.; Segneanu, A.-E.; Bejenaru, L.E.; Biţă, A.; Radu, A.; Mogoşanu, G.D.; Ciocîlteu, M.V.; Manda, C.V. Phenolic acid profile and in vitro antioxidant and anticholinesterase activities of Romanian wild-grown Acer spp. (Sapindaceae). Appl. Sci. 2025, 15, 1235. [Google Scholar] [CrossRef]
- Petrović, P.; Ivanović, K.; Octrue, C.; Tumara, M.; Jovanović, A.; Vunduk, J.; Nikšić, M.; Pjanović, R.; Bugarski, B.; Klaus, A. immobilization of Chaga extract in alginate beads for modified release: Simplicity meets efficiency. Hem. Ind. 2019, 73, 325–335. [Google Scholar] [CrossRef]
- Dewi, M.K.; Chaerunisaa, A.Y.; Muhaimin, M.; Joni, I.M. Improved activity of herbal medicines through nanotechnology. Nanomaterials 2022, 12, 4073. [Google Scholar] [CrossRef]
- Malik, A.; Khan, J.M.; Alhomida, A.S.; Ola, M.S.; Alshehri, M.A.; Ahmad, A. Metal nanoparticles: Biomedical applications and their molecular mechanisms of toxicity. Chem. Pap. 2022, 76, 6073–6095. [Google Scholar] [CrossRef]
- Meher, A.; Tandi, A.; Moharana, S.; Chakroborty, S.; Mohapatra, S.S.; Mondal, A.; Dey, S.; Chandra, P. Silver nanoparticle for biomedical applications: A review. Hybrid Adv. 2024, 6, 100184. [Google Scholar] [CrossRef]
- Segneanu, A.-E.; Vlase, G.; Vlase, T.; Sicoe, C.A.; Ciocalteu, M.V.; Herea, D.D.; Ghirlea, O.-F.; Grozescu, I.; Nanescu, V. Wild-grown Romanian Helleborus purpurascens approach to novel chitosan phyto-nanocarriers—Metabolite profile and antioxidant properties. Plants 2023, 12, 3479. [Google Scholar] [CrossRef]
- Laureanti, E.J.G.; Paiva, T.S.; De Matos Jorge, L.M.; Jorge, R.M.M. Microencapsulation of bioactive compound extracts using maltodextrin and gum Arabic by spray and freeze-drying techniques. Int. J. Biol. Macromol. 2023, 253, 126969. [Google Scholar] [CrossRef]
- Xu, Y.; Yan, X.; Zheng, H.; Li, J.; Wu, X.; Xu, J.; Zhen, Z.; Du, C. The application of encapsulation technology in the food Industry: Classifications, recent Advances, and perspectives. Food Chem. X 2024, 21, 101240. [Google Scholar] [CrossRef]
- Bejenaru, C.; Radu, A.; Segneanu, A.-E.; Biţă, A.; Ciocîlteu, M.V.; Mogoşanu, G.D.; Bradu, I.A.; Vlase, T.; Vlase, G.; Bejenaru, L.E. Pharmaceutical applications of biomass polymers: Review of current research and perspectives. Polymers 2024, 16, 1182. [Google Scholar] [CrossRef]
- Segneanu, A.-E.; Bradu, I.A.; Vlase, G.; Vlase, T.; Bejenaru, C.; Bejenaru, L.E.; Mogoşanu, G.D.; Ciocîlteu, M.V.; Herea, D.-D.; Boia, E.R. Design and evaluation of a Zingiber officinale–kaolinite–maltodextrin delivery system: Antioxidant, antimicrobial, and cytotoxic activity assessment. Pharmaceutics 2025, 17, 751. [Google Scholar] [CrossRef]
- Vlase, G.; Segneanu, A.-E.; Bejenaru, L.E.; Bradu, I.A.; Sicoe, C.; Vlase, T.; Mogoşanu, G.D.; Buema, G.; Herea, D.-D.; Ciocîlteu, M.V.; et al. Wild-grown Romanian Eupatorium cannabinum: Advancing phyto-nanocarriers via maltodextrin micro-spray encapsulation—Metabolite profiling, antioxidant, antimicrobial, and cytotoxicity insights. Polymers 2025, 17, 482. [Google Scholar] [CrossRef] [PubMed]
- Lucero, M.; Estell, R.; Tellez, M.; Fredrickson, E. A retention index calculator simplifies identification of plant volatile organic compounds. Phytochem. Anal. 2009, 20, 378–384. [Google Scholar] [CrossRef] [PubMed]
- McNaught, A.D.; Wilkinson, A. (Eds.) Compendium of Chemical Terminology: IUPAC Recommendations, 2nd ed.; International Union of Pure and Applied Chemistry (IUPAC) Gold Book; Online Version (2019) Created by S.J. Chalk; Blackwell Scientific Publications: Oxford, UK, 1997. [Google Scholar] [CrossRef]
- Vargas, V.; Saldarriaga, S.; Sánchez, F.S.; Cuellar, L.N.; Paladines, G.M. Effects of the spray-drying process using maltodextrin on bioactive compounds and antioxidant activity of the pulp of the tropical fruit açai (Euterpe oleracea Mart.). Heliyon 2024, 10, e33544. [Google Scholar] [CrossRef] [PubMed]
- Kyriakoudi, A.; Tsimidou, M.Z. Properties of encapsulated saffron extracts in maltodextrin using the Büchi B-90 nano spray-dryer. Food Chem. 2018, 266, 458–465. [Google Scholar] [CrossRef]
- Segneanu, A.-E.; Vlase, G.; Vlase, T.; Ciocalteu, M.-V.; Bejenaru, C.; Buema, G.; Bejenaru, L.E.; Boia, E.R.; Dumitru, A.; Boia, S. Romanian wild-growing Chelidonium majus—An emerging approach to a potential antimicrobial engineering carrier System based on AuNPs: In vitro investigation and evaluation. Plants 2024, 13, 734. [Google Scholar] [CrossRef]
- Segneanu, A.E.; Vlase, G.; Marin, C.N.; Vlase, T.; Sicoe, C.; Herea, D.D.; Ciocîlteu, M.V.; Bejenaru, L.E.; Minuti, A.E.; Zară, C.M.; et al. Wild grown Portulaca oleracea as a novel magnetite based carrier with in vitro antioxidant and cytotoxicity potential. Sci. Rep. 2025, 15, 8694. [Google Scholar] [CrossRef]
- Kar, S.; Sengupta, D.; Deb, M.; Shilpi, A.; Parbin, S.; Rath, S.K.; Pradhan, N.; Rakshit, M.; Patra, S.K. Expression profiling of DNA methylation-mediated epigenetic gene-silencing factors in breast cancer. Clin. Epigenetics 2014, 6, 20. [Google Scholar] [CrossRef]
- Sambalova, O.; Thorwarth, K.; Heeb, N.V.; Bleiner, D.; Zhang, Y.; Borgschulte, A.; Kroll, A. Carboxylate Functional Groups Mediate Interaction with Silver Nanoparticles in Biofilm Matrix. ACS Omega 2018, 3, 724–733. [Google Scholar] [CrossRef]
- Wang, M.; Mo, F.; Li, H.; Li, Y.; Zhang, S.; Zhu, L.; Li, Z.; Xu, J.; Deng, N.; Wang, K.; et al. Adsorption based on weak interaction between phenolic hydroxyl, carboxyl groups and silver nanoparticles in aqueous environment: Experimental and DFT-D3 exploration. J. Environ. Chem. Eng. 2021, 9, 106816. [Google Scholar] [CrossRef]
- Poyedinok, N.; Mykhaylova, O.; Sergiichuk, N.; Tugay, T.; Tugay, A.; Lopatko, S.; Matvieieva, N. Effect of colloidal metal nanoparticles on biomass, polysaccharides, flavonoids, and melanin accumulation in medicinal mushroom Inonotus obliquus (Ach.:Pers.) Pilát. Appl. Biochem. Biotechnol. 2020, 191, 1315–1325. [Google Scholar] [CrossRef]
- Tapak, N.S.; Senin, S.; Mohamed, A.H.; Dzulkifli, N.N.; Zain, Z.M.; Ahmad, N.M. Detection of myristic and palmitic Acid in butter by hydrolysis and acid methylation. IOP Conf. Ser. Mater. Sci. Eng. 2021, 1176, 012043. [Google Scholar] [CrossRef]
- Adams, R.P. Identification of Essential Oil Components by Gas Chromatography/Mass Spectrometry, 4th ed.; Allured Publishing Corp.: Carol Stream, IL, USA, 2017; pp. 1–788. [Google Scholar]
- Honda, M.; Tint, G.S.; Honda, A.; Batta, A.K.; Chen, T.S.; Shefer, S.; Salen, G. Measurement of 3β-hydroxysteroid Δ7-reductase activity in cultured skin fibroblasts utilizing ergosterol as a substrate: A new method for the diagnosis of the Smith-Lemli-Opitz syndrome. J. Lipid Res. 1996, 37, 2433–2438. [Google Scholar] [CrossRef]
- Mickus, R.; Jančiukė, G.; Raškevičius, V.; Mikalayeva, V.; Matulytė, I.; Marksa, M.; Maciūnas, K.; Bernatonienė, J.; Skeberdis, V.A. The effect of nutmeg essential oil constituents on Novikoff hepatoma cell viability and communication through Cx43 gap junctions. Biomed. Pharmacother. 2021, 135, 111229. [Google Scholar] [CrossRef]
- Cheng, A.Y.F.; Teoh, P.L.; Jayasinghe, L.; Cheong, B.E. Volatile profiling aided in the isolation of anti-proliferative lupeol from the roots of Clinacanthus nutans (Burm. f.) Lindau. Processes 2021, 9, 1383. [Google Scholar] [CrossRef]
- Bakir, D.; Akdeniz, M.; Ertas, A.; Yilmaz, M.A.; Yener, I.; Firat, M.; Kolak, U. A GC–MS method validation for quantitative investigation of some chemical markers in Salvia hypargeia Fisch. & C.A. Mey. of Turkey: Enzyme inhibitory potential of ferruginol. J. Food Biochem. 2020, 44, e13350. [Google Scholar] [CrossRef] [PubMed]
- Koli, P.; Agarwal, M.; Kessell, D.; Mahawar, S.; Du, X.; Ren, Y.; McKirdy, S.J. Metabolite profiling of annual ryegrass cultivars to assess disease resistance and susceptibility. J. Agric. Food Chem. 2024, 72, 24944–24952. [Google Scholar] [CrossRef] [PubMed]
- Beltrame, G.; Trygg, J.; Hemming, J.; Han, Z.; Yang, B. Comparison of polysaccharides extracted from cultivated Mycelium of Inonotus obliquus with polysaccharide fractions obtained from sterile conk (Chaga) and Birch Heart Rot. J. Fungi 2021, 7, 189. [Google Scholar] [CrossRef]
- Šiman, P.; Filipová, A.; Tichá, A.; Niang, M.; Bezrouk, A.; Havelek, R. Effective method of purification of betulin from birch bark: The importance of its purity for scientific and medicinal Use. PLoS ONE 2016, 11, e0154933. [Google Scholar] [CrossRef]
- Yeo, D.; Yun, Y.G.; Shin, S.J.; Dashnyam, K.; Khurelbaatar, A.; Lee, J.H.; Kim, H.W. Chaga mushroom extract suppresses oral cancer cell growth via inhibition of energy metabolism. Sci. Rep. 2024, 14, 10616. [Google Scholar] [CrossRef]
- Wang, J.; Beghelli, D.; Amici, A.; Sut, S.; Dall’Acqua, S.; Lupidi, G.; Dal Ben, D.; Bistoni, O.; Tomassoni, D.; Belletti, B.; et al. Chaga mushroom triterpenoids inhibit dihydrofolate reductase and act synergistically with conventional therapies in breast cancer. Biomolecules 2024, 14, 1454. [Google Scholar] [CrossRef]
- Wold, C.W.; Gerwick, W.H.; Wangensteen, H.; Inngjerdingen, K.T. Bioactive triterpenoids and water-soluble melanin from Inonotus obliquus (Chaga) with immunomodulatory activity. J. Funct. Foods 2020, 71, 104025. [Google Scholar] [CrossRef]
- Eid, J.I.; Al-Tuwaijri, M.M. Chaga mushroom (Inonotus obliquus) inhibits growth of both lung adenocarcinoma (A549) cells but not Aspergillus fumigatus. Curr. Top. Nutraceut. Res. 2018, 16, 289–296. [Google Scholar] [CrossRef]
- Lu, Y.; Jia, Y.; Xue, Z.; Li, N.; Liu, J.; Chen, H. Recent developments in Inonotus obliquus (Chaga mushroom) polysaccharides: Isolation, structural characteristics, biological activities and application. Polymers 2021, 13, 1441. [Google Scholar] [CrossRef] [PubMed]
- Lee, I.-K.; Yun, B.-S. Styrylpyrone-class compounds from medicinal fungi Phellinus and Inonotus spp., and their medicinal importance. J. Antibiot. 2011, 64, 349–359. [Google Scholar] [CrossRef] [PubMed]
- Sun, S.; Liu, Z.; Lin, M.; Gao, N.; Wang, X. Polyphenols in health and food processing: Antibacterial, anti-inflammatory, and antioxidant insights. Front. Nutr. 2024, 11, 1456730. [Google Scholar] [CrossRef] [PubMed]
- El-Saadony, M.T.; Yang, T.; Saad, A.M.; Alkafaas, S.S.; Elkafas, S.S.; Eldeeb, G.S.; Mohammed, D.M.; Salem, H.M.; Korma, S.A.; Loutfy, S.A.; et al. Polyphenols: Chemistry, bioavailability, bioactivity, nutritional aspects and human health benefits: A review. Int. J. Biol. Macromol. 2024, 277, 134223. [Google Scholar] [CrossRef]
- Sarkar, J.; Naskar, A.; Nath, A.; Gangopadhyay, B.; Tarafdar, E.; Das, D.; Chakraborty, S.; Chattopadhyay, D.; Acharya, K. Innovative utilization of harvested mushroom substrate for green synthesis of silver nanoparticles: A multi-response optimization approach. Environ. Res. 2024, 248, 118297. [Google Scholar] [CrossRef]
- Tayeb, A.M.; Othman, R.H.; Barakat, N.A.M.; Monazie, A.M.; Mahmoud, M.A. Optimization and characterization of mushroom-derived flocculants for reducing turbidity in clay suspensions. Discov. Sustain. 2025, 6, 9. [Google Scholar] [CrossRef]
- Nagardeolekar, A.; Dongre, P.; Bujanovic, B.M. Lignin-based hydrogels for the delivery of bioactive Chaga mushroom Extract. Polymers 2024, 16, 807. [Google Scholar] [CrossRef]
- Nwachukwu, I.D.; Sarteshnizi, R.A.; Udenigwe, C.C.; Aluko, R.E. A Concise review of current in vitro chemical and Cell-Based antioxidant assay methods. Molecules 2021, 26, 4865. [Google Scholar] [CrossRef]
- Lamuela-Raventós, R.M. Folin-Ciocalteu method for the measurement of total phenolic content and antioxidant capacity. In Measurement of Antioxidant Activity & Capacity: Recent Trends and Applications, 1st ed.; Apak, R., Capanoglu, E., Shahidi, F., Eds.; John Wiley & Sons Ltd.: Oxford, UK, 2018; Chapter 6; pp. 107–115. [Google Scholar] [CrossRef]
- Haida, Z.; Hakiman, M. A comprehensive review on the determination of enzymatic assay and nonenzymatic antioxidant activities. Food Sci. Nutr. 2019, 7, 1555–1563. [Google Scholar] [CrossRef]
- Sharpe, E.; Farragher-Gnadt, A.P.; Igbanugo, M.; Huber, T.; Michelotti, J.C.; Milenkowic, A.; Ludlam, S.; Walker, M.; Hanes, D.; Bradley, R.; et al. Comparison of antioxidant activity and extraction techniques for commercially and laboratory prepared extracts from six mushroom species. J. Agric. Food Res. 2021, 4, 100130. [Google Scholar] [CrossRef]
- Alhallaf, W.; Bishop, K.; Perkins, L.B. Optimization of accelerated solvent extraction of phenolic compounds from Chaga using response surface methodology. Food Anal. Methods 2022, 15, 2777–2790. [Google Scholar] [CrossRef]
- Luque, F.J.; Muñoz-Torrero, D. Acetylcholinesterase: A versatile template to coin potent modulators of multiple therapeutic targets. Acc. Chem. Res. 2024, 57, 450–467. [Google Scholar] [CrossRef]
- Walczak-Nowicka, Ł.J.; Herbet, M. Acetylcholinesterase inhibitors in the treatment of neurodegenerative diseases and the Role of acetylcholinesterase in their pathogenesis. Int. J. Mol. Sci. 2021, 22, 9290. [Google Scholar] [CrossRef] [PubMed]
- Wei, Y.-M.; Yang, L.; Wang, H.; Cai, C.-H.; Chen, Z.-B.; Chen, H.-Q.; Mei, W.-L.; Dai, H.-F. Triterpenoids as bivalent and dual inhibitors of acetylcholinesterase/butyrylcholinesterase from the fruiting bodies of Inonotus obliquus. Phytochemistry 2022, 200, 113182. [Google Scholar] [CrossRef]
- Šinko, G.; Vinković Vrček, I.; Goessler, W.; Leitinger, G.; Dijanošić, A.; Miljanić, S. Alteration of cholinesterase activity as possible mechanism of silver nanoparticle toxicity. Environ. Sci. Pollut. Res. Int. 2014, 21, 1391–1400. [Google Scholar] [CrossRef]
- Abdelwahab, G.M.; Mira, A.; Cheng, Y.-B.; Abdelaziz, T.A.; Lahloub, M.F.I.; Khalil, A.T. Acetylcholine esterase inhibitory activity of green synthesized nanosilver by naphthopyrones isolated from marine-derived Aspergillus niger. PLoS ONE 2021, 16, e0257071. [Google Scholar] [CrossRef]
- Soliman, W.E.; Khan, S.; Rizvi, S.M.D.; Moin, A.; Elsewedy, H.S.; Abulila, A.S.; Shehata, T.M. Therapeutic applications of biostable silver nanoparticles synthesized using peel extract of Benincasa hispida: Antibacterial and anticancer activities. Nanomaterials 2020, 10, 1954. [Google Scholar] [CrossRef] [PubMed]
- Dash, D.K.; Tyagi, C.K.; Sahu, A.K.; Tripathi, V. Revisiting the Medicinal Value of Terpenes and Terpenoids. In Revisiting Plant Biostimulants, 1st ed.; Meena, V.S., Parewa, H.P., Meena, S.K., Eds.; IntechOpen: London, UK, 2022; pp. 1–17. [Google Scholar] [CrossRef]
- Lieu, E.L.; Nguyen, T.; Rhyne, S.; Kim, J. Amino acids in cancer. Exp. Mol. Med. 2020, 52, 15–30. [Google Scholar] [CrossRef]
- Liga, S.; Paul, C.; Péter, F. Flavonoids: Overview of biosynthesis, biological activity, and current extraction techniques. Plants 2023, 12, 2732. [Google Scholar] [CrossRef] [PubMed]
- Coniglio, S.; Shumskaya, M.; Vassiliou, E. Unsaturated fatty acids and their immunomodulatory properties. Biology 2023, 12, 279. [Google Scholar] [CrossRef] [PubMed]
- Vezza, T.; Canet, F.; De Marañón, A.M.; Bañuls, C.; Rocha, M.; Víctor, V.M. Phytosterols: Nutritional health players in the management of obesity and its related disorders. Antioxidants 2020, 9, 1266. [Google Scholar] [CrossRef]
- Zhang, Y.; Cai, P.; Cheng, G.; Zhang, Y. A Brief review of phenolic compounds identified from plants: Their extraction, Analysis, and biological activity. Nat. Prod. Commun. 2022, 17, 1934578X211069721. [Google Scholar] [CrossRef]
- Kamfar, W.W.; Khraiwesh, H.M.; Ibrahim, M.O.; Qadhi, A.H.; Azhar, W.F.; Ghafouri, K.J.; Alhussain, M.H.; Aldairi, A.F.; AlShahrani, A.M.; Alghannam, A.F.; et al. Comprehensive review of melatonin as a promising nutritional and nutraceutical supplement. Heliyon 2024, 10, e24266. [Google Scholar] [CrossRef]
- Segneanu, A.E.; Sfirloaga, P.; David, I.; Balcu, I.; Grozescu, I. Characterisation of truffles using electrochemical and analytical methods. Dig. J. Nanomater. Biostruct. 2012, 7, 199–205. [Google Scholar]
















| No. | tR (min) | RI Determined | Kováts Index | Compound | Formula | Molecular Weight (g/mol) | Area (%) | Refs. |
|---|---|---|---|---|---|---|---|---|
| 1 | 5.78 | 1903 | 1904 | methyl palmitate | C17H34O2 | 270.50 | 1.69 | [65] |
| 2 | 11.89 | 2061 | 2063 | methyl linoleate | C19H34O | 294.50 | 2.45 | [66] |
| 3 | 13.91 | 1149 | 1150 | benzyl acetate | C9H10O2 | 150.17 | 2.52 | [66] |
| 4 | 15.71 | 1993 | 1994 | henicosane | C21H44 | 296.58 | 1.84 | [66] |
| 5 | 16.82 | 2165 | 2167 | brassicasterol | C28H46O | 398.70 | 1.96 | [67] |
| 6 | 18.43 | 3273 | 3274 | ergosterol | C28H44O | 396.60 | 1.91 | [67] |
| 7 | 19.98 | 1483 | 1485 | α-curcumene | C15H22 | 202.33 | 1.73 | [37,39,53] |
| 8 | 25.93 | 1429 | 1431 | coumarin | C9H6O2 | 146.14 | 1.94 | [66] |
| 9 | 27.76 | 1879 | 1880 | α-turmerone | C15H22O | 218.33 | 2.71 | [37] |
| 10 | 28.42 | 1447 | 1449 | bergamotene | C15H24 | 204.35 | 2.67 | [68] |
| 11 | 28.81 | 3266 | 3268 | lupeol | C30H50O | 426.70 | 2.55 | [69] |
| 12 | 31.47 | 3383 | 3385 | lupenone | C30H48O | 424.70 | 2.61 | [70] |
| 13 | 32.91 | 1597 | 1599 | hexadecane | C16H34 | 226.44 | 2.47 | [54,66] |
| 14 | 38.44 | 1696 | 1698 | heptadecane | C17H36 | 240.50 | 2.12 | [54,66] |
| 15 | 38.87 | 1753 | 1755 | benzyl benzoate | C14H12O2 | 212.24 | 1.81 | [66] |
| 16 | 39.51 | 3291 | 3293 | β-sitosterol | C29H50O | 414.70 | 2.33 | [54] |
| 17 | 41.78 | 1801 | 1802 | octadecane | C18H38 | 254.50 | 1.78 | [66] |
| 18 | 49.03 | 3611 | 3613 | ergosterol peroxide | C28H44O3 | 428.60 | 1.89 | [71] |
| 19 | 57.92 | 2756 | 2757 | inotodiol | C30H50O2 | 442.70 | 14.42 | [72] |
| 20 | 61.77 | 1628 | 1629 | β-eudesmol | C15H26O | 222.37 | 1.87 | [54,66] |
| 21 | 63.27 | 2969 | 2971 | betulin | C30H50O2 | 442.70 | 2.29 | [73] |
| 22 | 66.39 | 2853 | 2855 | trametenolic acid | C30H48O3 | 456.70 | 2.14 | [18] |
| No. | m/z Detected | Theoretic m/z | Formula | Tentative Identification | Category | Refs. |
|---|---|---|---|---|---|---|
| 1 | 76.07 | 75.07 | C2H5NO2 | glycine | amino acids | [1,2,3,4,5,6,7,8,9,10,11,12,13,14,21] |
| 2 | 90.09 | 89.09 | C3H7NO2 | alanine | amino acids | [1,2,3,4,5,6,7,8,9,10,11,12,13,14,21] |
| 3 | 106.09 | 105.09 | C3H7NO3 | serine | amino acids | [1,2,3,4,5,6,7,8,9,10,11,12,13,14,21] |
| 4 | 116.14 | 115.13 | C5H9NO2 | proline | amino acids | [1,2,3,4,5,6,7,8,9,10,11,12,13,14,21] |
| 5 | 120.12 | 119.12 | C4H9NO3 | threonine | amino acids | [1,2,3,4,5,6,7,8,9,10,11,12,13,14,21] |
| 6 | 132.17 | 131.17 | C6H13NO2 | leucine | amino acids | [1,2,3,4,5,6,7,8,9,10,11,12,13,14,21] |
| 7 | 134.11 | 133.10 | C4H7NO4 | aspartic acid | amino acids | [1,2,3,4,5,6,7,8,9,10,11,12,13,14,21] |
| 8 | 147.18 | 146.19 | C6H14N2O2 | lysine | amino acids | [1,2,3,4,5,6,7,8,9,10,11,12,13,14,21] |
| 9 | 148.12 | 147.13 | C5H9NO4 | glutamic acid | amino acids | [1,2,3,4,5,6,7,8,9,10,11,12,13,14,21] |
| 10 | 150.22 | 149.21 | C5H11NO2S | methionine | amino acids | [1,2,3,4,5,6,7,8,9,10,11,12,13,14,21] |
| 11 | 156.14 | 155.15 | C6H9N3O2 | histidine | amino acids | [1,2,3,4,5,6,7,8,9,10,11,12,13,14,21] |
| 12 | 175.21 | 174.20 | C6H14N4O2 | arginine | amino acids | [1,2,3,4,5,6,7,8,9,10,11,12,13,14,21] |
| 13 | 182.18 | 181.19 | C9H11NO3 | tyrosine | amino acids | [1,2,3,4,5,6,7,8,9,10,11,12,13,14,21] |
| 14 | 205.23 | 204.22 | C11H12N2O2 | tryptophan | amino acids | [1,2,3,4,5,6,7,8,9,10,11,12,13,14,21] |
| 15 | 241.29 | 240.30 | C6H12N2O4S2 | cystine | amino acids | [1,2,3,4,5,6,7,8,9,10,11,12,13,14,21] |
| 16 | 163.15 | 162.14 | C9H6O3 | hydroxycoumarin | coumarins | [1,2,3,4,5,6,7,8,9,10,11,12,13,14,21] |
| 17 | 147.13 | 146.14 | C9H6O2 | coumarin | coumarins | [1,2,3,4,5,6,7,8,9,10,11,12,13,14,21] |
| 18 | 189.17 | 188.18 | C11H8O3 | 3-acetylcoumarin | coumarins | [1,2,3,4,5,6,7,8,9,10,11,12,13,14,21] |
| 19 | 291.19 | 290.18 | C13H6O8 | phelligridin J | coumarins | [1,2,3,4,5,6,7,8,9,10,11,12,13,14,21] |
| 20 | 365.29 | 364.30 | C20H12O7 | phelligridin C | coumarins | [1,2,3,4,5,6,7,8,9,10,11,12,13,14,21] |
| 21 | 381.50 | 380.30 | C20H12O8 | phelligridin D | coumarins | [1,2,3,4,5,6,7,8,9,10,11,12,13,14,21] |
| 22 | 623.49 | 622.50 | C33H18O13 | phelligridin H | coumarins | [1,2,3,4,5,6,7,8,9,10,11,12,13,14,21] |
| 23 | 625.51 | 624.50 | C33H20O13 | phelligridin I | coumarins | [1,2,3,4,5,6,7,8,9,10,11,12,13,14,21] |
| 24 | 201.31 | 200.32 | C12H24O2 | lauric acid | fatty acids | [1,2,3,4,5,6,7,8,9,10,11,12,13,14,21] |
| 25 | 229.37 | 228.37 | C14H28O2 | myristic acid | fatty acids | [1,2,3,4,5,6,7,8,9,10,11,12,13,14,21] |
| 26 | 257.43 | 256.42 | C16H32O2 | palmitic acid | fatty acids | [1,2,3,4,5,6,7,8,9,10,11,12,13,14,21] |
| 27 | 271.49 | 270.50 | C17H34O2 | margaric acid | fatty acids | [1,2,3,4,5,6,7,8,9,10,11,12,13,14,21] |
| 28 | 279.41 | 278.40 | C18H30O2 | linolenic acid | fatty acids | [1,2,3,4,5,6,7,8,9,10,11,12,13,14,21] |
| 29 | 281.39 | 280.40 | C18H32O2 | linoleic acid | fatty acids | [1,2,3,4,5,6,7,8,9,10,11,12,13,14,21] |
| 30 | 285.51 | 284.50 | C18H36O2 | stearic acid | fatty acids | [1,2,3,4,5,6,7,8,9,10,11,12,13,14,21] |
| 31 | 297.39 | 296.40 | C18H32O3 | α-hydroxylinoleic acid | fatty acids | [1,2,3,4,5,6,7,8,9,10,11,12,13,14,21] |
| 32 | 315.49 | 314.50 | C18H34O4 | octadecanedioic acid | fatty acids | [1,2,3,4,5,6,7,8,9,10,11,12,13,14,21] |
| 33 | 321.49 | 320.50 | C20H32O3 | hydroxyarachidic acid | fatty acids | [1,2,3,4,5,6,7,8,9,10,11,12,13,14,21] |
| 34 | 331.51 | 330.50 | C18H34O5 | trihydroxyoctadecenoic acid | fatty acids | [1,2,3,4,5,6,7,8,9,10,11,12,13,14,21] |
| 35 | 341.59 | 340.60 | C22H44O2 | behemic acid | fatty acids | [1,2,3,4,5,6,7,8,9,10,11,12,13,14,21] |
| 36 | 343.51 | 342.50 | C20H38O4 | eicosanedioic acid | fatty acids | [1,2,3,4,5,6,7,8,9,10,11,12,13,14,21] |
| 37 | 355.59 | 354.60 | C23H46O2 | tricosanoic acid | fatty acids | [1,2,3,4,5,6,7,8,9,10,11,12,13,14,21] |
| 38 | 369.61 | 368.60 | C24H48O2 | lignoceric acid | fatty acids | [1,2,3,4,5,6,7,8,9,10,11,12,13,14,21] |
| 39 | 367.60 | 366.60 | C24H46O2 | nervonic acid | fatty acids | [1,2,3,4,5,6,7,8,9,10,11,12,13,14,21] |
| 40 | 271.25 | 270.24 | C15H10O5 | apigenin | flavonoids | [1,2,3,4,5,6,7,8,9,10,11,12,13,14,21,64] |
| 41 | 273.23 | 272.25 | C15H12O5 | naringenin | flavonoids | [1,2,3,4,5,6,7,8,9,10,11,12,13,14,21,64] |
| 42 | 287.23 | 286.24 | C15H10O6 | kaempferol | flavonoids | [1,2,3,4,5,6,7,8,9,10,11,12,13,14,21,64] |
| 43 | 291.27 | 290.27 | C15H14O6 | catechin | flavonoids | [1,2,3,4,5,6,7,8,9,10,11,12,13,14,21,64] |
| 44 | 303.24 | 302.23 | C15H10O7 | quercetin | flavonoids | [1,2,3,4,5,6,7,8,9,10,11,12,13,14,21,64] |
| 45 | 317.25 | 316.26 | C16H12O7 | isorhamnetin | flavonoids | [1,2,3,4,5,6,7,8,9,10,11,12,13,14,21,64] |
| 46 | 319.23 | 318.23 | C15H10O8 | myricetin | flavonoids | [1,2,3,4,5,6,7,8,9,10,11,12,13,14,21,64] |
| 47 | 373.41 | 372.40 | C20H20O7 | tangeretin | flavonoids | [1,2,3,4,5,6,7,8,9,10,11,12,13,14,21,64] |
| 48 | 393.39 | 392.40 | C22H16O7 | luteolin | flavonoids | [1,2,3,4,5,6,7,8,9,10,11,12,13,14,21,64] |
| 49 | 423.09 | 422.10 | C23H18O8 | interfungin B | flavonoids | [1,2,3,4,5,6,7,8,9,10,11,12,13,14,21,64] |
| 50 | 429.51 | 428.50 | C26H28N4O2 | corin | flavonoids | [1,2,3,4,5,6,7,8,9,10,11,12,13,14,21,64] |
| 51 | 451.39 | 450.40 | C21H22O11 | astilbin | flavonoids | [1,2,3,4,5,6,7,8,9,10,11,12,13,14,21,64] |
| 52 | 477.41 | 476.40 | C26H20O9 | methylinoscavin A | flavonoids | [1,2,3,4,5,6,7,8,9,10,11,12,13,14,21,64] |
| 53 | 565.49 | 564.50 | C26H28O14 | vicenin 1 | flavonoids | [1,2,3,4,5,6,7,8,9,10,11,12,13,14,21,64] |
| 54 | 579.51 | 578.50 | C27H30O14 | rhoifolin | flavonoids | [1,2,3,4,5,6,7,8,9,10,11,12,13,14,21,64] |
| 55 | 581.49 | 580.50 | C27H32O14 | naringin | flavonoids | [1,2,3,4,5,6,7,8,9,10,11,12,13,14,21,64] |
| 56 | 608.49 | 608.50 | C28H32O15 | diosmin | flavonoids | [1,2,3,4,5,6,7,8,9,10,11,12,13,14,21,64] |
| 57 | 611.49 | 610.50 | C27H30O16 | rutin | flavonoids | [1,2,3,4,5,6,7,8,9,10,11,12,13,14,21,64] |
| 58 | 139.13 | 138.12 | C7H6O3 | salicylic acid | phenolic acids | [1,2,3,4,5,6,7,8,9,10,11,12,13,14,21,64,72,73,74,75] |
| 59 | 155.12 | 154.12 | C7H6O4 | protocatechuic acid | phenolic acids | [1,2,3,4,5,6,7,8,9,10,11,12,13,14,21,64,72,73,74,75] |
| 60 | 165.15 | 164.16 | C9H8O3 | p-coumaric acid | phenolic acids | [1,2,3,4,5,6,7,8,9,10,11,12,13,14,21,64,72,73,74,75] |
| 61 | 169.15 | 168.15 | C8H8O4 | vanillic acid | phenolic acids | [1,2,3,4,5,6,7,8,9,10,11,12,13,14,21,64,72,73,74,75] |
| 62 | 171.11 | 170.12 | C7H6O5 | gallic acid | phenolic acids | [1,2,3,4,5,6,7,8,9,10,11,12,13,14,21,64,72,73,74,75] |
| 63 | 179.19 | 178.18 | C10H10O3 | 4-methoxy cinnamic acid | phenolic acids | [1,2,3,4,5,6,7,8,9,10,11,12,13,14,21,64,72,73,74,75] |
| 64 | 181.15 | 180.16 | C9H8O4 | caffeic acid | phenolic acids | [1,2,3,4,5,6,7,8,9,10,11,12,13,14,21,64,72,73,74,75] |
| 65 | 195.17 | 194.18 | C10H10O4 | ferulic acid | phenolic acids | [1,2,3,4,5,6,7,8,9,10,11,12,13,14,21,64,72,73,74,75] |
| 66 | 199.17 | 198.17 | C9H10O5 | syringic acid | phenolic acids | [1,2,3,4,5,6,7,8,9,10,11,12,13,14,21,64,72,73,74,75] |
| 67 | 355.31 | 354.31 | C16H18O9 | chlorogenic acid | phenolic acids | [1,2,3,4,5,6,7,8,9,10,11,12,13,14,21,64,72,73,74,75] |
| 68 | 397.61 | 396.60 | C28H44O | ergosterol | sterols | [1,2,3,4,5,6,7,8,9,10,11,12,13,14] |
| 69 | 399.71 | 398.70 | C28H46O | brassicasterol | sterols | [1,2,3,4,5,6,7,8,9,10,11,12,13,14] |
| 70 | 415.71 | 414.70 | C29H50O | β-sitosterol | sterols | [1,2,3,4,5,6,7,8,9,10,11,12,13,14] |
| 71 | 427.69 | 426.70 | C30H50O | lanosterol | sterols | [1,2,3,4,5,6,7,8,9,10,11,12,13,14] |
| 72 | 179.17 | 178.18 | C10H10O3 | osmundacetone | terpenes | [1,2,3,4,5,6,7,8,9,10,11,12,13,14,64,72,74,75,76,77] |
| 73 | 203.33 | 202.33 | C15H22 | α-curcumene | terpenes | [1,2,3,4,5,6,7,8,9,10,11,12,13,14,64,72,74,75,76,77] |
| 74 | 205.34 | 204.35 | C15H24 | bergamotene | terpenes | [1,2,3,4,5,6,7,8,9,10,11,12,13,14,64,72,74,75,76,77] |
| 75 | 219.33 | 218.33 | C15H22O | α-turmerone | terpenes | [1,2,3,4,5,6,7,8,9,10,11,12,13,14,64,72,74,75,76,77] |
| 76 | 223.36 | 222.37 | C15H26O | β-eudesmol | terpenes | [1,2,3,4,5,6,7,8,9,10,11,12,13,14,64,72,74,75,76,77] |
| 77 | 255.37 | 254.36 | C15H26O3 | inonotin I | terpenes | [1,2,3,4,5,6,7,8,9,10,11,12,13,14,64,72,74,75,76,77] |
| 78 | 307.51 | 306.50 | C20H34O2 | fusicoserpenol A | terpenes | [1,2,3,4,5,6,7,8,9,10,11,12,13,14,64,72,74,75,76,77] |
| 79 | 313.39 | 312.40 | C21H28O2 | inonotusic acid | terpenes | [1,2,3,4,5,6,7,8,9,10,11,12,13,14,64,72,74,75,76,77] |
| 80 | 425.69 | 424.70 | C30H48O | lupenone | terpenes | [1,2,3,4,5,6,7,8,9,10,11,12,13,14,64,72,74,75,76,77] |
| 81 | 427.59 | 426.60 | C28H42O3 | 9,11-dehydroergosterol peroxide | terpenes | [1,2,3,4,5,6,7,8,9,10,11,12,13,14,64,72,74,75,76,77] |
| 82 | 427.71 | 426.70 | C30H50O | lupeol | terpenes | [1,2,3,4,5,6,7,8,9,10,11,12,13,14,64,72,74,75,76,77] |
| 83 | 429.61 | 428.60 | C28H44O3 | ergosterol peroxide | terpenes | [1,2,3,4,5,6,7,8,9,10,11,12,13,14,64,72,74,75,76,77] |
| 84 | 441.71 | 440.70 | C30H48O2 | inoterpene F | terpenes | [1,2,3,4,5,6,7,8,9,10,11,12,13,14,64,72,74,75,76,77] |
| 85 | 443.71 | 442.70 | C30H50O2 | betulin | terpenes | [1,2,3,4,5,6,7,8,9,10,11,12,13,14,64,72,74,75,76,77] |
| 86 | 457.71 | 456.70 | C30H48O3 | trametenolic acid | terpenes | [1,2,3,4,5,6,7,8,9,10,11,12,13,14,64,72,74,75,76,77] |
| 87 | 451.29 | 450.30 | C23H14O10 | inonoblin B | terpenes | [1,2,3,4,5,6,7,8,9,10,11,12,13,14,64,72,74,75,76,77] |
| 88 | 457.69 | 456.70 | C30H48O3 | ganodecochlearin A | terpenes | [1,2,3,4,5,6,7,8,9,10,11,12,13,14,64,72,74,75,76,77] |
| 89 | 459.37 | 458.37 | C30H50O3 | inonotus oxide B | terpenes | [1,2,3,4,5,6,7,8,9,10,11,12,13,14,64,72,74,75,76,77] |
| 90 | 459.69 | 458.70 | C30H50O3 | inonotusane A | terpenes | [1,2,3,4,5,6,7,8,9,10,11,12,13,14,64,72,74,75,76,77] |
| 91 | 459.73 | 458.72 | C30H50O3 | inonotus oxide A | terpenes | [1,2,3,4,5,6,7,8,9,10,11,12,13,14,64,72,74,75,76,77] |
| 92 | 461.71 | 460.70 | C30H52O3 | inoterpene A | terpenes | [1,2,3,4,5,6,7,8,9,10,11,12,13,14,64,72,74,75,76,77] |
| 93 | 469.71 | 468.70 | C31H48O3 | inonotusol F | terpenes | [1,2,3,4,5,6,7,8,9,10,11,12,13,14,64,72,74,75,76,77] |
| 94 | 471.71 | 470.70 | C30H46O4 | inonotusolide B | terpenes | [1,2,3,4,5,6,7,8,9,10,11,12,13,14,64,72,74,75,76,77] |
| 95 | 489.69 | 488.70 | C30H48O5 | inonotusol D | terpenes | [1,2,3,4,5,6,7,8,9,10,11,12,13,14,64,72,74,75,76,77] |
| 96 | 585.41 | 584.40 | C36H56O6 | inonotustriol D triacetate | terpenes | [1,2,3,4,5,6,7,8,9,10,11,12,13,14,64,72,74,75,76,77] |
| 97 | 247.21 | 246.21 | C13H10O5 | hispidin | styrylpyrones | [1,2,3,4,5,6,7,8,9,10,11,12,13,14,64,72,74,75,76,77] |
| 98 | 393.39 | 392.40 | C22H16O7 | phelliribsin A | styrylpyrones | [1,2,3,4,5,6,7,8,9,10,11,12,13,14,64,72,74,75,76,77] |
| 99 | 397.29 | 396.30 | C21H16O8 | inoscavin D | styrylpyrones | [1,2,3,4,5,6,7,8,9,10,11,12,13,14,64,72,74,75,76,77] |
| 100 | 411.39 | 410.40 | C22H18O8 | methylinoscavin D | styrylpyrones | [1,2,3,4,5,6,7,8,9,10,11,12,13,14,64,72,74,75,76,77] |
| 101 | 421.41 | 420.40 | C23H16O8 | inoscavin C | styrylpyrones | [1,2,3,4,5,6,7,8,9,10,11,12,13,14,64,72,74,75,76,77] |
| 102 | 435.40 | 434.40 | C24H18O8 | methylinoscavin C | styrylpyrones | [1,2,3,4,5,6,7,8,9,10,11,12,13,14,64,72,74,75,76,77] |
| 103 | 437.41 | 436.40 | C24H20O8 | inoscavin B | styrylpyrones | [1,2,3,4,5,6,7,8,9,10,11,12,13,14,64,72,74,75,76,77] |
| 104 | 451.31 | 450.30 | C23H14O10 | inonoblin B | styrylpyrones | [1,2,3,4,5,6,7,8,9,10,11,12,13,14,64,72,74,75,76,77] |
| 105 | 463.41 | 462.40 | C25H18O9 | inoscavin A | styrylpyrones | [1,2,3,4,5,6,7,8,9,10,11,12,13,14,64,72,74,75,76,77] |
| 106 | 465.39 | 464.40 | C25H20O9 | davallialactone | styrylpyrones | [1,2,3,4,5,6,7,8,9,10,11,12,13,14,64,72,74,75,76,77] |
| 107 | 475.39 | 474.40 | C25H14O10 | phelligridin E | styrylpyrones | [1,2,3,4,5,6,7,8,9,10,11,12,13,14,64,72,74,75,76,77] |
| 108 | 477.41 | 476.40 | C26H20O9 | methylinoscavin A | styrylpyrones | [1,2,3,4,5,6,7,8,9,10,11,12,13,14,64,72,74,75,76,77] |
| 109 | 479.41 | 478.40 | C26H22O9 | methyldavallialactone | styrylpyrones | [1,2,3,4,5,6,7,8,9,10,11,12,13,14,64,72,74,75,76,77] |
| 110 | 479.45 | 478.45 | C26H22O9 | phelligridin F | styrylpyrones | [1,2,3,4,5,6,7,8,9,10,11,12,13,14,64,72,74,75,76,77] |
| 111 | 595.51 | 594.50 | C32H18O12 | phelligridin G | styrylpyrones | [1,2,3,4,5,6,7,8,9,10,11,12,13,14,64,72,74,75,76,77] |
| 112 | 179.21 | 178.20 | C10H10O3 | osmundacetone | other polyphenols | [1,2,3,4,5,6,7,8,9,10,11,12,13,14,64,72,74,75,76,77] |
| 113 | 221.23 | 220.22 | C12H12O4 | hispolon | other polyphenols | [1,2,3,4,5,6,7,8,9,10,11,12,13,14,64,72,74,75,76,77] |
| 114 | 229.24 | 228.24 | C14H12O3 | resveratrol | other polyphenols | [1,2,3,4,5,6,7,8,9,10,11,12,13,14,64,72,74,75,76,77] |
| 115 | 303.19 | 302.19 | C14H6O8 | ellagic acid | other polyphenols | [1,2,3,4,5,6,7,8,9,10,11,12,13,14,64,72,74,75,76,77] |
| 116 | 305.29 | 304.29 | C16H16O6 | inonophenol C | other polyphenols | [1,2,3,4,5,6,7,8,9,10,11,12,13,14,64,72,74,75,76,77] |
| 117 | 317.23 | 316.22 | C15H8O8 | 3-O-methylellagic acid | other polyphenols | [1,2,3,4,5,6,7,8,9,10,11,12,13,14,64,72,74,75,76,77] |
| 118 | 465.39 | 464.40 | C25H20O9 | interfungin A | other polyphenols | [1,2,3,4,5,6,7,8,9,10,11,12,13,14,64,72,74,75,76,77] |
| 119 | 151.13 | 150.13 | C5H10O5 | xylulose | carbohydrates | [1,2,3,4,5,6,7,8,9,10,11,12,13,14,64,72,74,75,76,77] |
| 120 | 165.17 | 164.16 | C6H12O5 | rhamnose | carbohydrates | [1,2,3,4,5,6,7,8,9,10,11,12,13,14,64,72,74,75,76,77,78] |
| 121 | 181.17 | 180.16 | C6H12O6 | inositol | carbohydrates | [1,2,3,4,5,6,7,8,9,10,11,12,13,14,64,72,74,75,76,77,78] |
| 122 | 47.01 | 46.02 | CH2O2 | formic acid | organic acids | [1,2,3,4,5,6,7,8,9,10,11,12,13,14,64,72,74,75,76,77] |
| 123 | 61.05 | 60.05 | C2H4O2 | acetic acid | organic acids | [1,2,3,4,5,6,7,8,9,10,11,12,13,14,64,72,74,75,76,77] |
| 124 | 89.11 | 88.11 | C4H8O2 | butyric acid | organic acids | [1,2,3,4,5,6,7,8,9,10,11,12,13,14,64,72,74,75,76,77] |
| 125 | 91.04 | 90.03 | C2H2O4 | oxalic acid | organic acids | [1,2,3,4,5,6,7,8,9,10,11,12,13,14,64,72,74,75,76,77] |
| 126 | 199.14 | 198.13 | C8H6O6 | 2,5-dihydroxylterephtalic acid | organic acids | [1,2,3,4,5,6,7,8,9,10,11,12,13,14,64,72,74,75,76,77] |
| 127 | 227.45 | 226.44 | C16H34 | hexadecane | hydrocarbons | [1,2,3,4,5,6,7,8,9,10,11,12,13,14,64,72,74,75,76,77] |
| 128 | 241.51 | 240.50 | C17H36 | heptadecane | hydrocarbons | [1,2,3,4,5,6,7,8,9,10,11,12,13,14,64,72,74,75,76,77] |
| 129 | 255.49 | 254.50 | C18H38 | octadecane | hydrocarbons | [1,2,3,4,5,6,7,8,9,10,11,12,13,14,64,72,74,75,76,77] |
| 130 | 297.61 | 296.60 | C21H44 | henicosane | hydrocarbons | [1,2,3,4,5,6,7,8,9,10,11,12,13,14,64,72,74,75,76,77] |
| 131 | 109.15 | 108.14 | C7H8O | benzyl alcohol | miscellaneous | [1,2,3,4,5,6,7,8,9,10,11,12,13,14,64,72,74,75,76,77] |
| 132 | 111.12 | 110.11 | C6H6O2 | resorcinol | miscellaneous | [1,2,3,4,5,6,7,8,9,10,11,12,13,14,64,72,74,75,76,77] |
| 133 | 139.13 | 138.12 | C7H6O3 | protocatechuic aldehyde | miscellaneous | [1,2,3,4,5,6,7,8,9,10,11,12,13,14,64,72,74,75,76,77] |
| 134 | 161.23 | 160.22 | C10H12N2 | tryptamine | miscellaneous | [1,2,3,4,5,6,7,8,9,10,11,12,13,14,64,72,74,75,76,77] |
| 135 | 175.25 | 174.24 | C11H14N2 | 5-methyltryptamine | miscellaneous | [1,2,3,4,5,6,7,8,9,10,11,12,13,14,64,72,74,75,76,77] |
| 136 | 287.50 | 286.50 | C20H30O | retinol | miscellaneous | [1,2,3,4,5,6,7,8,9,10,11,12,13,14,64,72,74,75,76,77] |
| 137 | 319.31 | 318.30 | C18H10N2O4 | melanin | miscellaneous | [1,2,3,4,5,6,7,8,9,10,11,12,13,14,64,72,74,75,76,77] |
| 138 | 151.17 | 150.17 | C9H10O2 | benzyl acetate | ester | [1,2,3,4,5,6,7,8,9,10,11,12,13,14,64,72,74,75,76,77] |
| 139 | 213.23 | 212.24 | C14H12O2 | benzyl benzoate | ester | [1,2,3,4,5,6,7,8,9,10,11,12,13,14,64,72,74,75,76,77] |
| 140 | 229.25 | 228.25 | C14H12O3 | 2-methoxyphenyl benzoate | ester | [1,2,3,4,5,6,7,8,9,10,11,12,13,14,64,72,74,75,76,77] |
| 141 | 271.49 | 270.50 | C17H34O2 | methyl palmitate | ester | [1,2,3,4,5,6,7,8,9,10,11,12,13,14,64,72,74,75,76,77] |
| 142 | 295.51 | 294.50 | C19H34O2 | methyl linoleate | ester | [1,2,3,4,5,6,7,8,9,10,11,12,13,14,64,72,74,75,76,77] |
| VOC | Odor Profile |
|---|---|
| benzyl acetate | floral |
| α-curcumene | herbal |
| bergamotene | spice |
| β-eudesmol | woody |
| henicosane | waxy |
| benzyl alcohol | almond |
| resorcinol | phenolic |
| protocatechuic aldehyde | bitter |
| tryptamine | phenolic |
| formic acid | pungent |
| acetic acid | vinegar |
| retinol | floral |
| butyric acid | pungent |
| benzyl benzoate | balsamic |
| methyl linoleate | oily |
| 2-methoxyphenyl benzoate | spicy |
| methyl palmitate | oily |
| Sample | Particle Size Diameter (μm) | Volume Diameter (μm) | |||
|---|---|---|---|---|---|
| D[3,2] | D[4,3] | d10 | d50 | d90 | |
| MIO system | 1.72 ± 0.011 | 2.45 ± 0.008 | 1.20 ± 0.016 | 2.10 ± 0.003 | 4.88 ± 0.019 |
| MIO–AgNP system | 1.65 ± 0.015 | 1.62 ± 0.002 | 0.25 ± 0.019 | 1.50 ± 0.005 | 3.05 ± 0.007 |
| Sample | EE% | LC% | EY% |
|---|---|---|---|
| MIO system | 77.65 ± 0.17 | 72.33 ± 0.11 | 74.58 ± 0.15 |
| MIO–AgNP system | 71.77 ± 0.07 | 68.55 ± 0.21 | 63.12 ± 0.14 |
| Pathogenic Microorganism | Sample | Inhibition Zone Diameter (mm) | ||||||
|---|---|---|---|---|---|---|---|---|
| Sample Concentration (μg/mL) | Positive Control (Gentamicin, 100 μg/mL) | Negative Control (DMSO) | ||||||
| 100 | 125 | 150 | 175 | 200 | ||||
| Staphylococcus aureus | I. obliquus | 27.08 ± 0.17 | 38.15 ± 0.32 | 45.22 ± 0.19 | 50.38 ± 0.29 | 57.63 ± 0.29 | 22.21 ± 0.18 | 0 |
| citrate-coated AgNPs | 13.01 ± 0.41 | 16.43 ± 0.42 | 19.02 ± 0.32 | 26.97 ± 0.55 | 30.14 ± 0.21 | |||
| IO–AgNPs | 39.05 ± 0.21 | 47.43 ± 0.33 | 60.18 ± 0.22 | 69.16 ± 0.13 | 74.55 ± 0.32 | |||
| MIO system | 29.72 ± 0.17 | 39.98 ± 0.44 | 47.21 ± 0.17 | 52.09 ± 0.14 | 59.06 ± 0.52 | |||
| MIO–AgNP system | 42.07 ± 0.32 | 49.75 ± 0.21 | 62.64 ± 0.33 | 73.05 ± 0.32 | 78.02 ± 0.44 | |||
| Bacillus cereus | I. obliquus | 26.75 ± 0.31 | 33.24 ± 0.05 | 39.82 ± 0.16 | 42.13 ± 0.34 | 47.53 ± 0.27 | 18.24 ± 0.11 | 0 |
| citrate-coated AgNPs | 38.06 ± 0.12 | 43.47 ± 0.16 | 47.02 ± 0.04 | 50.18 ± 0.21 | 53.07 ± 0.23 | |||
| IO–AgNPs | 43.75 ± 0.09 | 49.91 ± 0.17 | 52.38 ± 0.26 | 59.07 ± 0.31 | 63.58 ± 0.22 | |||
| MIO system | 29.89 ± 0.22 | 37.33 ± 0.07 | 43.53 ± 0.16 | 46.21 ± 0.24 | 51.19 ± 0.25 | |||
| MIO–AgNP system | 46.22 ± 0.19 | 52.21 ± 0.53 | 55.08 ± 0.15 | 62.75 ± 0.31 | 65.17 ± 0.32 | |||
| Pseudomonas aeruginosa | I. obliquus | 16.54 ± 0.11 | 24.12 ± 0.21 | 39.76 ± 0.12 | 46.63 ± 0.16 | 55.32 ± 0.21 | 30.52 ± 0.23 | 0 |
| citrate-coated AgNPs | 9.82 ± 0.14 | 11.63 ± 0.14 | 13.79 ± 0.23 | 16.42 ± 0.34 | 18.47 ± 0.27 | |||
| IO–AgNPs | 29.43 ± 0.18 | 47.65 ± 0.32 | 54.79 ± 0.43 | 60.56 ± 0.16 | 67.87 ± 0.23 | |||
| MIO system | 19.35 ± 0.22 | 28.05 ± 0.23 | 44.21 ± 0.17 | 50.64 ± 0.28 | 58.61 ± 0.32 | |||
| MIO–AgNP system | 34.58 ± 0.32 | 52.53 ± 0.23 | 58.04 ± 0.17 | 65.01 ± 0.26 | 71.19 ± 0.31 | |||
| Escherichia coli | I. obliquus | 18.25 ± 0.31 | 25.42 ± 0.21 | 30.51 ± 0.19 | 39.44 ± 0.12 | 43.43 ± 0.27 | 20.53 ± 0.33 | 0 |
| citrate-coated AgNPs | 13.11 ± 0.17 | 17.24 ± 0.23 | 20.08 ± 0.26 | 22.19 ± 0.32 | 25.83 ± 0.33 | |||
| IO–AgNPs | 28.03 ± 0.24 | 35.22 ± 0.46 | 42.54 ± 0.23 | 50.32 ± 0.18 | 54.29 ± 0.45 | |||
| MIO system | 20.43 ± 0.05 | 29.12 ± 0.31 | 33.43 ± 0.28 | 42.53 ± 0.37 | 47.92 ± 0.25 | |||
| MIO–AgNP system | 32.41 ± 0.15 | 41.43 ± 0.25 | 45.73 ± 0.31 | 50.21 ± 0.43 | 57.72 ± 0.43 | |||
| Pathogenic Microorganism | Sample | MIC (μg/mL) | MBC (μg/mL) | Gentamicin | |
|---|---|---|---|---|---|
| MIC (μg/mL) | MBC (μg/mL) | ||||
| Staphylococcus aureus | I. obliquus | 0.25 ± 0.04 | 0.24 ± 0.12 | 0.62 ± 0.02 | 0.62 ± 0.02 |
| citrate-coated AgNPs | 0.14 ± 0.07 | 0.13 ± 0.08 | |||
| IO–AgNPs | 0.12 ± 0.02 | 0.11 ± 0.06 | |||
| MIO system | 0.22 ± 0.01 | 0.22 ± 0.13 | |||
| MIO–AgNP system | 0.08 ± 0.05 | 0.09 ± 0.04 | |||
| Bacillus cereus | I. obliquus | 1.09 ± 0.11 | 1.10 ± 0.17 | 1.30 ± 0.03 | 1.29 ± 0.02 |
| citrate-coated AgNPs | 10.04 ± 0.24 | 10.02 ± 0.23 | |||
| IO–AgNPs | 0.81 ± 0.17 | 0.82 ± 0.33 | |||
| MIO system | 0.93 ± 0.08 | 4.07 ± 0.12 | |||
| MIO–AgNP system | 0.78 ± 0.09 | 0.95 ± 0.03 | |||
| Pseudomonas aeruginosa | I. obliquus | 1.07 ± 0.08 | 1.06 ± 0.53 | 1.95 ± 0.22 | 1.96 ± 0.24 |
| citrate-coated AgNPs | 0.68 ± 0.11 | 0.67 ± 0.21 | |||
| IO–AgNPs | 0.44 ± 0.12 | 0.45 ± 0.43 | |||
| MIO system | 0.97 ± 0.02 | 0.98 ± 0.09 | |||
| MIO–AgNP system | 0.38 ± 0.13 | 0.36 ± 0.16 | |||
| Escherichia coli | I. obliquus | 0.47 ± 0.13 | 0.46 ± 0.08 | 1.12 ± 0.23 | 1.12 ± 0.22 |
| citrate-coated AgNPs | 0.30 ± 0.11 | 0.31 ± 0.13 | |||
| IO–AgNPs | 0.28 ± 0.31 | 0.29 ± 0.07 | |||
| MIO system | 0.41 ± 0.04 | 0.42 ± 0.13 | |||
| MIO–AgNP system | 0.23 ± 0.21 | 0.25 ± 0.03 | |||
Disclaimer/Publisher’s Note: The statements, opinions and data contained in all publications are solely those of the individual author(s) and contributor(s) and not of MDPI and/or the editor(s). MDPI and/or the editor(s) disclaim responsibility for any injury to people or property resulting from any ideas, methods, instructions or products referred to in the content. |
© 2025 by the authors. Licensee MDPI, Basel, Switzerland. This article is an open access article distributed under the terms and conditions of the Creative Commons Attribution (CC BY) license (https://creativecommons.org/licenses/by/4.0/).
Share and Cite
Stanoiu, A.-M.; Bejenaru, C.; Segneanu, A.-E.; Vlase, G.; Bradu, I.A.; Vlase, T.; Mogoşanu, G.D.; Ciocîlteu, M.V.; Biţă, A.; Kostici, R.; et al. Design and Evaluation of a Inonotus obliquus–AgNP–Maltodextrin Delivery System: Antioxidant, Antimicrobial, Acetylcholinesterase Inhibitory and Cytotoxic Potential. Polymers 2025, 17, 2163. https://doi.org/10.3390/polym17152163
Stanoiu A-M, Bejenaru C, Segneanu A-E, Vlase G, Bradu IA, Vlase T, Mogoşanu GD, Ciocîlteu MV, Biţă A, Kostici R, et al. Design and Evaluation of a Inonotus obliquus–AgNP–Maltodextrin Delivery System: Antioxidant, Antimicrobial, Acetylcholinesterase Inhibitory and Cytotoxic Potential. Polymers. 2025; 17(15):2163. https://doi.org/10.3390/polym17152163
Chicago/Turabian StyleStanoiu, Ana-Maria, Cornelia Bejenaru, Adina-Elena Segneanu, Gabriela Vlase, Ionela Amalia Bradu, Titus Vlase, George Dan Mogoşanu, Maria Viorica Ciocîlteu, Andrei Biţă, Roxana Kostici, and et al. 2025. "Design and Evaluation of a Inonotus obliquus–AgNP–Maltodextrin Delivery System: Antioxidant, Antimicrobial, Acetylcholinesterase Inhibitory and Cytotoxic Potential" Polymers 17, no. 15: 2163. https://doi.org/10.3390/polym17152163
APA StyleStanoiu, A.-M., Bejenaru, C., Segneanu, A.-E., Vlase, G., Bradu, I. A., Vlase, T., Mogoşanu, G. D., Ciocîlteu, M. V., Biţă, A., Kostici, R., Herea, D.-D., & Bejenaru, L. E. (2025). Design and Evaluation of a Inonotus obliquus–AgNP–Maltodextrin Delivery System: Antioxidant, Antimicrobial, Acetylcholinesterase Inhibitory and Cytotoxic Potential. Polymers, 17(15), 2163. https://doi.org/10.3390/polym17152163

