Effect of Plasticization/Annealing on Thermal, Dynamic Mechanical, and Rheological Properties of Poly(Lactic Acid)
Abstract
1. Introduction
2. Materials and Methods
2.1. Materials
2.2. Sample Preparation
2.3. Characterization
2.3.1. Differential Scanning Calorimetry (DSC)
2.3.2. Dynamic Mechanical Analysis (DMA)
2.3.3. Dynamic Rheological Measurements
3. Results and Discussion
3.1. Plasticization
3.1.1. Thermal Behavior and Miscibility
3.1.2. Non-Isothermal Cold Crystallization Kinetics
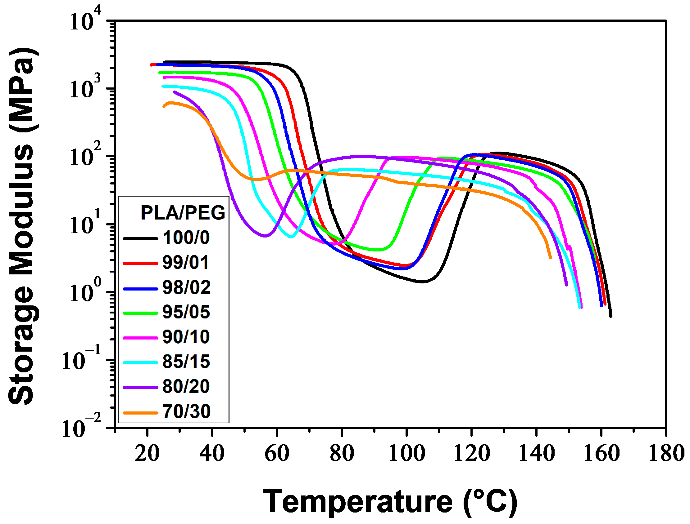
3.1.3. Dynamic Mechanical Behavior
3.1.4. Rheological Properties
3.2. Annealing
3.2.1. Thermal Properties and Crystalline Structure
3.2.2. Dynamic Mechanical Behavior
4. Conclusions
Author Contributions
Funding
Institutional Review Board Statement
Informed Consent Statement
Data Availability Statement
Acknowledgments
Conflicts of Interest
References
- Zhao, X.; Hu, H.; Wang, X.; Yu, X.; Zhou, W.; Peng, S. Super Tough Poly(Lactic Acid) Blends: A Comprehensive Review. RSC Adv. 2020, 10, 13316–13368. [Google Scholar] [CrossRef]
- Sangeetha, V.H.; Deka, H.; Varghese, T.O.; Nayak, S.K. State of the Art and Future Prospectives of Poly(Lactic Acid) Based Blends and Composites. Polym. Compos. 2018, 39, 81–101. [Google Scholar] [CrossRef]
- Lunt, J. Large-Scale Production, Properties and Commercial Applications of Poly Lactic Acid Polymers. Polym. Degrad. Stab. 1998, 59, 145–152. [Google Scholar] [CrossRef]
- Garlotta, D. A Literature Review of Poly(Lactic Acid). J. Polym. Environ. 2001, 9, 63–84. [Google Scholar] [CrossRef]
- Rasal, R.M.; Janorkar, A.V.; Hirt, D.E. Poly (Lactic Acid) Modifications. Prog. Polym. Sci. 2010, 35, 338–356. [Google Scholar] [CrossRef]
- Martin, O.; Avérous, L. Poly(Lactic Acid): Plasticization and Properties of Biodegradable Multiphase Systems. Polymer 2001, 42, 6209–6219. [Google Scholar] [CrossRef]
- Taib, N.A.A.B.; Rahman, M.R.; Huda, D.; Kuok, K.K.; Hamdan, S.; Bakri, M.K.B.; Julaihi, M.R.M.B.; Khan, A. A Review on Poly Lactic Acid (PLA) as a Biodegradable Polymer. Polym. Bull. 2023, 80, 1179–1213. [Google Scholar] [CrossRef]
- Auras, R.; Harte, B.; Selke, S. An Overview of Polylactides as Packaging Materials. Macromol. Biosci. 2004, 4, 835–864. [Google Scholar] [CrossRef]
- Lim, L.T.; Auras, R.; Rubino, M. Processing Technologies for Poly(Lactic Acid). Prog. Polym. Sci. 2008, 33, 820–852. [Google Scholar] [CrossRef]
- Arrieta, M.P.; Peponi, L.; López, D.; Fernández-García, M. Recovery of Yerba Mate (Ilex paraguariensis) Residue for the Development of PLA-Based Bionanocomposite Films. Ind. Crops Prod. 2018, 111, 317–328. [Google Scholar] [CrossRef]
- Castro-Aguirre, E.; Iñiguez-Franco, F.; Samsudin, H.; Fang, X.; Auras, R. Poly(Lactic Acid)—Mass Production, Processing, Industrial Applications, and End of Life. Adv. Drug Deliv. Rev. 2016, 107, 333–366. [Google Scholar] [CrossRef]
- Balla, E.; Daniilidis, V.; Karlioti, G.; Kalamas, T.; Stefanidou, M.; Bikiaris, N.D.; Vlachopoulos, A.; Koumentakou, I.; Bikiaris, D.N. Poly(Lactic Acid): A Versatile Biobased Polymer for the Future with Multifunctional Properties—From Monomer Synthesis, Polymerization Techniques and Molecular Weight Increase to PLA Applications. Polymers 2021, 13, 1822. [Google Scholar] [CrossRef]
- Auras, R.A.; Lim, L.T.; Selke, S.E.M.; Tsuji, H. Poly (Lactic Acid): Synthesis, Structures, Properties, Processing, Applications, and End of Life, 2nd ed.; John Wiley & Sons, Inc.: Hoboken, NJ, USA, 2022; ISBN 978-1-119-76746-6. [Google Scholar]
- Ren, Z.; Dong, L.; Yang, Y. Dynamic Mechanical and Thermal Properties of Plasticized Poly(Lactic Acid). J. Appl. Polym. Sci. 2006, 101, 1583–1590. [Google Scholar] [CrossRef]
- Orue, A.; Eceiza, A.; Arbelaiz, A. The Effect of Sisal Fiber Surface Treatments, Plasticizer Addition and Annealing Process on the Crystallization and the Thermo-Mechanical Properties of Poly(Lactic Acid) Composites. Ind. Crops Prod. 2018, 118, 321–333. [Google Scholar] [CrossRef]
- Athanasoulia, I.G.I.; Christoforidis, M.N.; Korres, D.M.; Tarantili, P.A. The Effect of Poly(Ethylene Glycol) Mixed with Poly(l-Lactic Acid) on the Crystallization Characteristics and Properties of Their Blends. Polym. Int. 2019, 68, 788–804. [Google Scholar] [CrossRef]
- Shi, X.; Qin, J.; Wang, L.; Ren, L.; Rong, F.; Li, D.; Wang, R.; Zhang, G. Introduction of Stereocomplex Crystallites of PLA for the Solid and Microcellular Poly(Lactide)/Poly(Butylene Adipate- Co -Terephthalate) Blends. RSC Adv. 2018, 8, 11850–11861. [Google Scholar] [CrossRef]
- Balakrishnan, H.; Hassan, A.; Imran, M.; Wahit, M.U. Toughening of Polylactic Acid Nanocomposites: A Short Review. Polym. Plast. Technol. Eng. 2012, 51, 175–192. [Google Scholar] [CrossRef]
- Enumo, A.; Gross, I.P.; Saatkamp, R.H.; Pires, A.T.N.; Parize, A.L. Evaluation of Mechanical, Thermal and Morphological Properties of PLA Films Plasticized with Maleic Acid and Its Propyl Ester Derivatives. Polym. Test. 2020, 88, 106552. [Google Scholar] [CrossRef]
- Gurgel, M.; Vieira, A.; Altenhofen, M.; Oliveira, L.; Beppu, M.M. Natural-Based Plasticizers and Biopolymer Films: A Review. Eur. Polym. J. 2011, 47, 254–263. [Google Scholar] [CrossRef]
- Mancilla-Rico, A.; de Gyves, J.; Rodríguez de San Miguel, E. Structural Characterization of the Plasticizers’ Role in Polymer Inclusion Membranes Used for Indium (III) Transport Containing IONQUEST® 801 as Carrier. Membranes 2021, 11, 401. [Google Scholar] [CrossRef]
- Sheth, M.; Kumar, R.A.; Davé, V.; Gross, R.A.; McCarthy, S.P. Biodegradable Polymer Blends of Poly(Lactic Acid) and Poly(Ethylene Glycol). J. Appl. Polym. Sci. 1997, 66, 1495–1505. [Google Scholar] [CrossRef]
- Jacobsen, S.; Fritz, H.G. Plasticizing Polylactide—The Effect of Different Plasticizers on the Mechanical Properties. Polym. Eng. Sci. 1999, 39, 1303–1310. [Google Scholar] [CrossRef]
- Hu, Y.; Rogunova, M.; Topolkaraev, V.; Hiltner, A.; Baer, E. Aging of Poly(Lactide)/Poly(Ethylene Glycol) Blends. Part 1. Poly(Lactide) with Low Stereoregularity. Polymer 2003, 44, 5701–5710. [Google Scholar] [CrossRef]
- Baiardo, M.; Frisoni, G.; Scandola, M.; Rimelen, M.; Lips, D.; Ruffieux, K.; Wintermantel, E. Thermal and Mechanical Properties of Plasticized Poly(l-Lactic Acid). J. Appl. Polym. Sci. 2003, 90, 1731–1738. [Google Scholar] [CrossRef]
- Kulinski, Z.; Piorkowska, E. Crystallization, Structure and Properties of Plasticized Poly(l-Lactide). Polymer 2005, 46, 10290–10300. [Google Scholar] [CrossRef]
- Pillin, I.; Montrelay, N.; Grohens, Y. Thermo-Mechanical Characterization of Plasticized PLA: Is the Miscibility the Only Significant Factor? Polymer 2006, 47, 4676–4682. [Google Scholar] [CrossRef]
- Li, F.J.; Zhang, S.D.; Liang, J.Z.; Wang, J.Z. Effect of Polyethylene Glycol on the Crystallization and Impact Properties of Polylactide-Based Blends. Polym. Adv. Technol. 2015, 26, 465–475. [Google Scholar] [CrossRef]
- Wang, B.; Hina, K.; Zou, H.; Zuo, D.; Yi, C. Thermal, Crystallization, Mechanical and Decomposition Properties of Poly(Lactic Acid) Plasticized with Poly(Ethylene Glycol). J. Vinyl Addit. Technol. 2018, 24, E154–E163. [Google Scholar] [CrossRef]
- Guo, J.; Liu, X.; Liu, M.; Han, M.; Liu, Y.; Ji, S. Effect of Molecular Weight of Poly(Ethylene Glycol) on Plasticization of Poly(ʟ-Lactic Acid). Polymer 2021, 223, 123720. [Google Scholar] [CrossRef]
- Shin, H.; Thanakkasaranee, S.; Sadeghi, K.; Seo, J. Preparation and Characterization of Ductile PLA/PEG Blend Films for Eco-Friendly Flexible Packaging Application. Food Packag. Shelf Life 2022, 34, 100966. [Google Scholar] [CrossRef]
- Piorkowska, E.; Kulinski, Z.; Galeski, A.; Masirek, R. Plasticization of Semicrystalline Poly(l-Lactide) with Poly(Propylene Glycol). Polymer 2006, 47, 7178–7188. [Google Scholar] [CrossRef]
- Kulinski, Z.; Piorkowska, E.; Gadzinowska, K.; Stasiak, M. Plasticization of Poly(l-Lactide) with Poly(Propylene Glycol. Biomacromolecules 2006, 7, 2128–2135. [Google Scholar] [CrossRef] [PubMed]
- Burgos, N.; Martino, V.P.; Jiménez, A. Characterization and Ageing Study of Poly(Lactic Acid) Films Plasticized with Oligomeric Lactic Acid. Polym. Degrad. Stab. 2013, 98, 651–658. [Google Scholar] [CrossRef]
- Rojas-Lema, S.; Quiles-Carrillo, L.; Garcia-Garcia, D.; Melendez-Rodriguez, B.; Balart, R.; Torres-Giner, S. Tailoring the Properties of Thermo-Compressed Polylactide Films for Food Packaging Applications by Individual and Combined Additions of Lactic Acid Oligomer and Halloysite Nanotubes. Molecules 2020, 25, 1976. [Google Scholar] [CrossRef]
- Labrecque, L.V.; Kumar, R.A.; Davé, V.; Gross, R.A.; McCarthy, S.P. Citrate Esters as Plasticizers for Poly(Lactic Acid). J. Appl. Polym. Sci. 1997, 66, 1507–1513. [Google Scholar] [CrossRef]
- Ljungberg, N.; Wesslén, B. The Effects of Plasticizers on the Dynamic Mechanical and Thermal Properties of Poly(Lactic Acid). J. Appl. Polym. Sci. 2002, 86, 1227–1234. [Google Scholar] [CrossRef]
- Maiza, M.; Benaniba, M.T.; Massardier-Nageotte, V. Plasticizing Effects of Citrate Esters on Properties of Poly(Lactic Acid). J. Polym. Eng. 2016, 36, 371–380. [Google Scholar] [CrossRef]
- Chieng, B.W.; Ibrahim, N.A.; Then, Y.Y.; Loo, Y.Y. Epoxidized Vegetable Oils Plasticized Poly(Lactic Acid) Biocomposites: Mechanical, Thermal and Morphology Properties. Molecules 2014, 19, 16024–16038. [Google Scholar] [CrossRef]
- Bhasney, S.M.; Patwa, R.; Kumar, A.; Katiyar, V. Plasticizing Effect of Coconut Oil on Morphological, Mechanical, Thermal, Rheological, Barrier, and Optical Properties of Poly(Lactic Acid): A Promising Candidate for Food Packaging. J. Appl. Polym. Sci. 2017, 134, 45390. [Google Scholar] [CrossRef]
- Kang, H.; Li, Y.; Gong, M.; Guo, Y.; Guo, Z.; Fang, Q.; Li, X. An Environmentally Sustainable Plasticizer Toughened Polylactide. RSC Adv. 2018, 8, 11643–11651. [Google Scholar] [CrossRef]
- Greco, A.; Ferrari, F. Thermal Behavior of PLA Plasticized by Commercial and Cardanol-Derived Plasticizers and the Effect on the Mechanical Properties. J. Therm. Anal. Calorim. 2021, 146, 131–141. [Google Scholar] [CrossRef]
- Vasile, C.; Tudorachi, N.; Zaharescu, T.; Darie-Nita, R.N.; Cheaburu-Yilmaz, C.N. Study on Thermal Behavior of Some Biocompatible and Biodegradable Materials Based on Plasticized PLA, Chitosan, and Rosemary Ethanolic Extract. Int. J. Polym. Sci. 2020, 2020, 4269792. [Google Scholar] [CrossRef]
- Xiao, H.W.; Li, P.; Ren, X.; Jiang, T.; Yeh, J.T. Isothermal Crystallization Kinetics and Crystal Structure of Poly(Lactic Acid): Effect of Triphenyl Phosphate and Talc. J. Appl. Polym. Sci. 2010, 118, 3558–3569. [Google Scholar] [CrossRef]
- Saad, G.R.; Elsawy, M.A.; Aziz, M.S.A. Nonisothermal Crystallization Behavior and Molecular Dynamics of Poly(Lactic Acid) Plasticized with Jojoba Oil. J. Therm. Anal. Calorim. 2017, 128, 211–223. [Google Scholar] [CrossRef]
- Tábi, T.; Hajba, S.; Kovács, J.G. Effect of Crystalline Forms (α′ and α) of Poly(Lactic Acid) on Its Mechanical, Thermo-Mechanical, Heat Deflection Temperature and Creep Properties. Eur. Polym. J. 2016, 82, 232–243. [Google Scholar] [CrossRef]
- Di Lorenzo, M.L.; Androsch, R. Crystallization of Poly(Lactic Acid). In Biodegradable Polyesters; Fakirov, S., Ed.; Wiley-VCH Verlag GmbH & Co. KGaA: Weinheim, Germany, 2015; pp. 109–130. [Google Scholar] [CrossRef]
- Zhang, J.; Duan, Y.; Sato, H.; Tsuji, H.; Noda, I.; Yan, S.; Ozaki, Y. Crystal Modifications and Thermal Behavior of Poly(l-Lactic Acid) Revealed by Infrared Spectroscopy. Macromolecules 2005, 38, 8012–8021. [Google Scholar] [CrossRef]
- Zhang, J.; Tashiro, K.; Domb, A.J.; Tsuji, H. Confirmation of Disorder α Form of Poly(l-Lactic Acid) by the X-Ray Fiber Pattern and Polarized IR/Raman Spectra Measured for Uniaxially-Oriented Samples. Macromol. Symp. 2006, 242, 274–278. [Google Scholar] [CrossRef]
- Pan, P.; Zhu, B.; Kai, W.; Dong, T.; Inoue, Y. Polymorphic Transition in Disordered Poly(l-Lactide) Crystals Induced by Annealing at Elevated Temperatures. Macromolecules 2008, 41, 4296–4304. [Google Scholar] [CrossRef]
- Kawai, T.; Rahman, N.; Matsuba, G.; Nishida, K.; Kanaya, T.; Nakano, M.; Okamoto, H.; Kawada, J.; Usuki, A.; Honma, N.; et al. Crystallization and Melting Behavior of Poly (l-Lactic Acid). Macromolecules 2007, 40, 9463–9469. [Google Scholar] [CrossRef]
- Pan, P.; Kai, W.; Zhu, B.; Dong, T.; Inoue, Y. Polymorphous Crystallization and Multiple Melting Behavior of Poly(l-Lactide): Molecular Weight Dependence. Macromolecules 2007, 40, 6898–6905. [Google Scholar] [CrossRef]
- Zhang, J.; Tashiro, K.; Tsuji, H.; Domb, A.J. Disorder-to-Order Phase Transition and Multiple Melting Behavior of Poly(l-Lactide) Investigated by Simultaneous Measurements of WAXD and DSC. Macromolecules 2008, 41, 1352–1357. [Google Scholar] [CrossRef]
- Zennaki, A.; Zair, L.; Arabeche, K.; Benkraled, L.; Maschke, U.; Berrayah, A. Effect of Annealing on Thermal and Dynamic Mechanical Properties of Poly(Lactic Acid). J. Appl. Polym. Sci. 2022, 139, e53095. [Google Scholar] [CrossRef]
- Havriliak, S.; Negami, S. A Complex Plane Representation of Dielectric and Mechanical Relaxation Processes in Some Polymers. Polymer 1967, 8, 161–210. [Google Scholar] [CrossRef]
- Lehermeier, H.J.; Dorgan, J.R. Melt Rheology of Poly(Lactic Acid): Consequences of Blending Chain Architectures. Polym. Eng. Sci. 2001, 41, 2172–2184. [Google Scholar] [CrossRef]
- Stadler, F.J.; Münstedt, H. Terminal Viscous and Elastic Properties of Linear Ethene∕α-Olefin Copolymers. J. Rheol. 2008, 52, 697–712. [Google Scholar] [CrossRef]
- Lertwimolnun, W.; Vergnes, B. Influence of Compatibilizer and Processing Conditions on the Dispersion of Nanoclay in a Polypropylene Matrix. Polymer 2005, 46, 3462–3471. [Google Scholar] [CrossRef]
- Berzin, F.; Vergnes, B.; Delamare, L. Rheological Behavior of Controlled-Rheology Polypropylenes Obtained by Peroxide-Promoted Degradation during Extrusion: Comparison between Homopolymer and Copolymer. J. Appl. Polym. Sci. 2001, 80, 1243–1252. [Google Scholar] [CrossRef]
- Fischer, E.W.; Sterzel, H.J.; Wegner, G. Investigation of the Structure of Solution Grown Crystals of Lactide Copolymers by Means of Chemical Reactions. Kolloid-Zeitschrift und Zeitschrift für Polym. 1973, 251, 980–990. [Google Scholar] [CrossRef]
- Jalali, A.; Huneault, M.A.; Elkoun, S. Effect of Thermal History on Nucleation and Crystallization of Poly(Lactic Acid). J. Mater. Sci. 2016, 51, 7768–7779. [Google Scholar] [CrossRef]
- Mele, G.; Bloise, E.; Cosentino, F.; Lomonaco, D.; Avelino, F.; Marcianò, T.; Massaro, C.; Mazzetto, S.E.; Tammaro, L.; Scalone, A.G.; et al. Influence of Cardanol Oil on the Properties of Poly(Lactic Acid) Films Produced by Melt Extrusion. ACS Omega 2019, 4, 718–726. [Google Scholar] [CrossRef]
- Fox, T.G. Influence of Diluent and of Copolymer Composition on the Glass Temperature of a Polymer System. Bull. Am. Phs. Soc. 1956, 1, 123. [Google Scholar]
- Oh, H.J.; Freeman, B.D.; McGrath, J.E.; Lee, C.H.; Paul, D.R. Thermal Analysis of Disulfonated Poly(Arylene Ether Sulfone) Plasticized with Poly(Ethylene Glycol) for Membrane Formation. Polymer 2014, 55, 235–247. [Google Scholar] [CrossRef]
- Papadopoulou, K.; Tarani, E.; Chrissafis, K.; Mašek, O.; Bikiaris, D.N. Non-Isothermal Crystallization Kinetics of PBSu/Biochar Composites Studied by Isoconversional and Model Fitting Methods. Polymers 2023, 15, 1603. [Google Scholar] [CrossRef]
- Supaphol, P.; Dangseeyun, N.; Srimoaon, P. Non-Isothermal Melt Crystallization Kinetics for Poly(Trimethylene Terephthalate)/Poly(Butylene Terephthalate) Blends. Polym. Test. 2004, 23, 175–185. [Google Scholar] [CrossRef]
- Gumus, S.; Ozkoc, G.; Aytac, A. Plasticized and Unplasticized PLA/Organoclay Nanocomposites: Short- and Long-term Thermal Properties, Morphology, and Nonisothermal Crystallization Behavior. J. Appl. Polym. Sci. 2012, 123, 2837–2848. [Google Scholar] [CrossRef]
- Kodal, M.; Sirin, H.; Ozkoc, G. Non-Isothermal Crystallization Kinetics of PEG Plasticized PLA/G-POSS Nanocomposites. Polym. Compos. 2017, 38, 1378–1389. [Google Scholar] [CrossRef]
- Avrami, M. Kinetics of Phase Change. II Transformation-Time Relations for Random Distribution of Nuclei. J. Chem. Phys. 1940, 8, 212–224. [Google Scholar] [CrossRef]
- Jeziorny, A. Parameters Characterizing the Kinetics of the Non-Isothermal Crystallization of Poly (Ethylene Terephthalate) Determined by DSC. Polymer 1978, 19, 1142–1144. [Google Scholar] [CrossRef]
- Saeidlou, S.; Huneault, M.A.; Li, H.; Park, C.B. Poly(Lactic Acid) Crystallization. Prog. Polym. Sci. 2012, 37, 1657–1677. [Google Scholar] [CrossRef]
- Li, D.; Luo, C.; Zhou, J.; Dong, L.; Chen, Y.; Liu, G.; Qiao, S. The Role of the Interface of PLA with Thermoplastic Starch in the Nonisothermal Crystallization Behavior of PLA in PLA/Thermoplastic Starch/SiO2 Composites. Polymers 2023, 15, 1579. [Google Scholar] [CrossRef]
- Hassouna, F.; Raquez, J.M.; Addiego, F.; Dubois, P.; Toniazzo, V.; Ruch, D. New Approach on the Development of Plasticized Polylactide (PLA): Grafting of Poly(Ethylene Glycol) (PEG) via Reactive Extrusion. Eur. Polym. J. 2011, 47, 2134–2144. [Google Scholar] [CrossRef]
- Cristea, M.; Ionita, D.; Iftime, M.M. Dynamic Mechanical Analysis Investigations of PLA-Based Renewable Materials: How Are They Useful? Materials 2020, 13, 5302. [Google Scholar] [CrossRef] [PubMed]
- Averous, L.; Moro, L.; Dole, P.; Fringant, C. Properties of Thermoplastic Blends: Starch-Polycaprolactone. Polymer 2000, 41, 4157–4167. [Google Scholar] [CrossRef]
- Song, P.; Chen, G.; Wei, Z.; Zhang, W.; Liang, J. Calorimetric Analysis of the Multiple Melting Behavior of Melt-Crystallized Poly(l-Lactic Acid) with a Low Optical Purity. J. Therm. Anal. Calorim. 2013, 111, 1507–1514. [Google Scholar] [CrossRef]
- Tábi, T. The Application of the Synergistic Effect between the Crystal Structure of Poly(Lactic Acid) (PLA) and the Presence of Ethylene Vinyl Acetate Copolymer (EVA) to Produce Highly Ductile PLA/EVA Blends. J. Therm. Anal. Calorim. 2019, 138, 1287–1297. [Google Scholar] [CrossRef]


















| PLA/PEG (wt/wt) | Tg (°C) | Tcc (°C) | Tm1 (°C) | Tm2 (°C) | ΔHcc (J/g) | ΔHm (J/g) | Xc (%) |
|---|---|---|---|---|---|---|---|
| 100/0 | 59.3 | 121.5 | 151.9 | — | 13.19 | 13.80 | 14.8 |
| 99/01 | 56.5 | 116.0 | 149.8 | 153.8 | 14.07 | 15.16 | 16.5 |
| 98/02 | 54.2 | 113.3 | 148.9 | 154.0 | 14.18 | 16.21 | 17.8 |
| 95/05 | 45.9 | 102.3 | 148.4 | 152.0 | 14.78 | 17.00 | 19.2 |
| 90/10 | 32.5 | 83.7 | 134.3 | 149.3 | 15.52 | 18.52 | 22.1 |
| 85/15 | 27.0 | 77.2 | 132.9 | 150.5 | 13.01 | 17.58 | 22.2 |
| 80/20 | 16.5 | 62.3 | 147.5 | — | 9.42 | 17.59 | 23.6 |
| 70/30 | — | 76.7 | 145.0 | — | 2.31 | 17.02 | 26.1 |
| PLA/PEG (wt/wt) | t1/2 (min) | n | k | kc | R2 |
|---|---|---|---|---|---|
| 100/0 | 2.071 | 3.34 | 0.061 | 0.756 | 0.9999 |
| 99/01 | 1.938 | 3.54 | 0.067 | 0.763 | 0.9999 |
| 98/02 | 1.786 | 3.55 | 0.088 | 0.784 | 0.9999 |
| 95/05 | 1.633 | 4.12 | 0.092 | 0.788 | 0.9997 |
| 90/10 | 1.354 | 4.40 | 0.183 | 0.844 | 0.9987 |
| 85/15 | 1.312 | 4.73 | 0.192 | 0.848 | 0.9983 |
| PLA/PEG (wt/wt) | Eg (MPa) | (MPa) | EN (MPa) | ΔTN (°C) | Tα (°C) | Tcc′ (°C) |
|---|---|---|---|---|---|---|
| 100/0 | 2428 | 1.4 | 107 | 22.2 | 76.8 | 105.0 |
| 99/01 | 2230 | 2.5 | 103 | 25.8 | 71.8 | 99.6 |
| 98/02 | 2239 | 2.2 | 101 | 27.0 | 69.4 | 98.9 |
| 95/05 | 1727 | 4.2 | 92 | 32.8 | 64.2 | 91.2 |
| 90/10 | 1470 | 5.1 | 90 | 41.2 | 59.1 | 77.7 |
| 85/15 | 1074 | 6.5 | 76 | 49.8 | 52.4 | 64.3 |
| 80/20 | 890 | 6.7 | 87 | 54.5 | 45.9 | 56.5 |
| 70/30 | 611 | 45.3 | 58 | 68.2 | 44.3 | 53.5 |
| PLA/PEG (wt/wt) | σe (Pa) | (Pa.s) | λ (s) | n | a | R2 |
|---|---|---|---|---|---|---|
| 100/0 | 19.5 | 490 | 0.0251 | 0.31983 | 0.786 | 0.9995 |
| 99/01 | 12.5 | 379 | 0.0186 | 0.26112 | 0.798 | 0.9997 |
| 98/02 | 7.5 | 214 | 0.0233 | 0.32032 | 0.832 | 0.9995 |
| 95/05 | 0.7 | 71 | 0.0123 | 0.31301 | 0.919 | 0.9995 |
| 90/10 | 0.5 | 23 | 0.0046 | 3.1 × 10−14 | 1.069 | 0.9909 |
| 85/15 | 0.3 | 16 | 0.0045 | 2.9 × 10−14 | 1.763 | 0.9676 |
| 80/20 | 0 | 10 | 0.0054 | 5.0 × 10−1 | 4.893 | 0.8649 |
| ta (h) | Ta (°C) | Tg (°C) | Tcc (°C) | ΔHcc (J/g) | Texo (°C) | Tm1 (°C) | Tm2 (°C) | ΔHm (J/g) | (%) |
|---|---|---|---|---|---|---|---|---|---|
| - | - | 54.2 | 116.6 | 16.47 | — | 149.1 | — | 17.64 | 1.3 |
| 1 | 80 | 52.0 | 102.9 | 11.43 | 135.9 | — | 152.4 | 18.78 | 7.9 |
| 1 | 90 | 53.4 | — | — | — | 141.9 | 152.5 | 21.36 | 22.9 |
| 1 | 100 | 59.6 | — | — | — | 146.7 | 153.2 | 22.97 | 24.7 |
| 1 | 110 | 52.4 | — | — | — | 150.6 | — | 23.35 | 25.1 |
| 1 | 120 | 56.4 | — | — | — | 150.8 | — | 24.74 | 26.6 |
| 24 | 80 | 51.6 | — | — | 138.4 | — | 151.7 | 17.39 | 18.7 |
| 24 | 90 | 55.4 | — | — | — | 144.8 | 153.9 | 22.25 | 23.9 |
| 24 | 100 | 56.0 | — | — | — | 150.0 | 153.9 | 24.21 | 26.0 |
| 24 | 110 | 57.0 | — | — | — | 153.1 | — | 29.39 | 31.6 |
| 24 | 120 | 57.5 | — | — | — | 154.2 | — | 30.59 | 32.9 |
| ta (h) | Ta (°C) | Tg (°C) | Tcc (°C) | ΔHcc (J/g) | Texo (°C) | Tm1 (°C) | Tm2 (°C) | ΔHm (J/g) | (%) |
|---|---|---|---|---|---|---|---|---|---|
| - | - | 37.4 | 82.7 | 14.89 | — | 134.2 | 148.1 | 17.13 | 2.7 |
| 1 | 80 | 40.8 | — | — | — | 132.2 | 146.7 | 22.17 | 26.5 |
| 1 | 90 | 40.7 | — | — | — | 136.1 | 148.3 | 23.77 | 28.4 |
| 1 | 100 | 41.3 | — | — | — | 135.3 | 146.9 | 25.13 | 30.0 |
| 1 | 110 | 40.9 | — | — | — | 143.0 | 152.2 | 24.03 | 28.7 |
| 1 | 120 | 36.6 | — | — | — | 144.1 | 149.1 | 25.40 | 30.3 |
| 24 | 80 | 41.9 | — | — | — | 137.3 | 149.7 | 28.36 | 33.8 |
| 24 | 90 | 41.2 | — | — | — | 137.2 | 148.5 | 28.45 | 34.0 |
| 24 | 100 | 48.1 | — | — | — | 141.7 | 149.9 | 29.44 | 35.1 |
| 24 | 110 | 43.7 | — | — | — | 142.3 | 149.0 | 32.44 | 38.7 |
| 24 | 120 | 43.1 | — | — | — | 150.1 | — | 34.45 | 41.1 |
Disclaimer/Publisher’s Note: The statements, opinions and data contained in all publications are solely those of the individual author(s) and contributor(s) and not of MDPI and/or the editor(s). MDPI and/or the editor(s) disclaim responsibility for any injury to people or property resulting from any ideas, methods, instructions or products referred to in the content. |
© 2024 by the authors. Licensee MDPI, Basel, Switzerland. This article is an open access article distributed under the terms and conditions of the Creative Commons Attribution (CC BY) license (https://creativecommons.org/licenses/by/4.0/).
Share and Cite
Benkraled, L.; Zennaki, A.; Zair, L.; Arabeche, K.; Berrayah, A.; Barrera, A.; Bouberka, Z.; Maschke, U. Effect of Plasticization/Annealing on Thermal, Dynamic Mechanical, and Rheological Properties of Poly(Lactic Acid). Polymers 2024, 16, 974. https://doi.org/10.3390/polym16070974
Benkraled L, Zennaki A, Zair L, Arabeche K, Berrayah A, Barrera A, Bouberka Z, Maschke U. Effect of Plasticization/Annealing on Thermal, Dynamic Mechanical, and Rheological Properties of Poly(Lactic Acid). Polymers. 2024; 16(7):974. https://doi.org/10.3390/polym16070974
Chicago/Turabian StyleBenkraled, Lina, Assia Zennaki, Latifa Zair, Khadidja Arabeche, Abdelkader Berrayah, Ana Barrera, Zohra Bouberka, and Ulrich Maschke. 2024. "Effect of Plasticization/Annealing on Thermal, Dynamic Mechanical, and Rheological Properties of Poly(Lactic Acid)" Polymers 16, no. 7: 974. https://doi.org/10.3390/polym16070974
APA StyleBenkraled, L., Zennaki, A., Zair, L., Arabeche, K., Berrayah, A., Barrera, A., Bouberka, Z., & Maschke, U. (2024). Effect of Plasticization/Annealing on Thermal, Dynamic Mechanical, and Rheological Properties of Poly(Lactic Acid). Polymers, 16(7), 974. https://doi.org/10.3390/polym16070974

