The Catalytic Degradation of Waste PU and the Preparation of Recycled Materials
Abstract
1. Introduction
2. Experimental Section
2.1. Main Raw Materials and Reagents
2.2. Major Equipment and Instruments
2.3. Experimental Methods
2.3.1. Degradation of Used Polyurethane
2.3.2. Preparation of Recycled Polyurethane Materials
2.4. Performance Testing and Characterization
2.4.1. Fourier Transform Infrared Spectrometer (FTIR)
2.4.2. Nuclear Magnetic Resonance (NMR)
2.4.3. Viscosity Test
2.4.4. Hydroxyl Value Test
2.4.5. Gel Permeation Chromatography (GPC)
2.4.6. Compression Strength Test
2.4.7. Apparent Density Test
2.4.8. Thermal Conductivity Test
2.4.9. Scanning Electron Microscope (SEM)
2.4.10. Heat Loss Analysis
3. Results and Discussion
3.1. Recovered Polyol (RP) Test Results and Discussion
3.1.1. Selection of Degradation Time

3.1.2. Selection of Reaction Temperature
3.1.3. Selection of PN Catalyst Dosage
3.1.4. GPC Analysis of Recovered Polyols
3.1.5. Infrared Spectroscopy of Recovered Polyols
3.1.6. NMR Analysis of Recycled Polyols
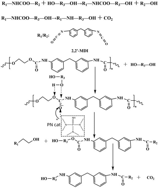
3.1.7. Mechanism of Degradation of Waste Polyurethane by PN Catalyst
3.2. Test Results and Discussion of Recycled Polyurethane
3.2.1. Infrared Analysis of Recycled Polyurethane
3.2.2. Compressive Strength and Apparent Density Analysis of Recycled Polyurethane
3.2.3. Analysis of the Thermal Conductivity of Recycled Polyurethane
3.2.4. Scanning Electron Microscopy Analysis of Recycled Polyurethane
3.2.5. Heat Loss Analysis of Recycled Polyurethane
4. Conclusions
- (1)
- Waste PU was successfully degraded with a solid–liquid mass ratio of 1:1.5 by using diol as the alcoholysis agent and a PN catalyst, and the changing rules of hydroxyl value, viscosity, and the molecular weight of polyols recovered from degradation products were obtained under different dosages of metal-free PN catalyst through the influence of factors such as reaction temperature and time on the hydroxyl value and the viscosity of degradation products. The optimal experimental conditions were determined to be a reaction temperature of 180 °C, a reaction time of 3 h, a PN dosage of 0.08%, a polyol viscosity of 3716 mPa·s, a hydroxyl value of 409.2 mgKOH/g, and an average molecular weight of 2616, etc. The tests of FTIR, 1H, NMR, and other tests showed that the waste polyurethanes were degraded into oligomers successfully, and the regenerated polyether polyol was obtained.
- (2)
- A series of recycled polyurethane materials with different substitution rates were prepared by replacing part of polyether 4110 with recycled polyol RP-0.08 obtained under optimal conditions, which were characterized by FTIR, SEM, compression strength, and thermal conductivity tests, and the results showed that the recycled polyurethane foams possessed good physical properties such as compression strength and apparent density. Within a certain range, the compressive strength of the regenerated polyurethane foam increased from 0.272 MPa at the original (substitution rate of 0%) to a maximum value of 0.390 MPa (substitution rate of 20%) with the increase in the substitution rate, which was an increase of 43.38%. When the substitution rate is 20%, the thermal conductivity of the foam is increased from 0.0242 W/m·K to 0.0272 W/m·K, which is increased by 12.40%, although the thermal insulation performance is reduced, but it is maintained within a certain range, and it also has a certain degree of thermal insulation.
- (3)
- The vesicles of polyurethane showed different degrees of changes after the addition of different recycled polyols, and the SEM images showed that the increase in the amount of PN helped to improve the vesicle structure of the polyurethane foam formed by the addition of recycled polyol. When the recycled polyol RP-0.08 was used to prepare recycled polyurethane with 10% and 20% substitution rates, it helped to improve the microstructure of polyurethane foam, which had a good vesicle skeleton with uniform vesicle size and regular arrangement, reflecting good compression properties. When the substitution rate continues to increase, the pores gradually become larger and even rupture.
Author Contributions
Funding
Institutional Review Board Statement
Informed Consent Statement
Data Availability Statement
Conflicts of Interest
References
- Zhang, G.; Yin, T.; Nian, G.; Suo, Z. Fatigue-resistant polyurethane elastomer composites. Extrem. Mech. Lett. 2021, 48, 101434. [Google Scholar] [CrossRef]
- Watando, H.; Saya, S.; Fukaya, T.; Fujieda, S.; Yamamoto, M. Improving chemical recycling rate by reclaiming polyurethane elastomer from polyurethane foam. Polym. Degrad. Stab. 2006, 91, 3354–3359. [Google Scholar] [CrossRef]
- Muuronen, M.; Deglmann, P.; Tomovic, Z. Design Principles for Rational Polyurethane Catalyst Development. J. Org. Chem. 2019, 84, 8202–8209. [Google Scholar] [CrossRef]
- Sun, M.; Sheppard, D.T.; Brutman, J.P.; Alsbaiee, A.; Dichtel, W.R. Green Catalysts for Reprocessing Thermoset Polyurethanes. Macromolecules 2023, 56, 6978–6987. [Google Scholar] [CrossRef]
- Sadeghi, G.M.M.; Shamsi, R.; Sayaf, M. From Aminolysis Product of PET Waste to Novel Biodegradable Polyurethanes. J. Polym. Environ. 2011, 19, 522–534. [Google Scholar] [CrossRef]
- Schara, P.; Cristadoro, A.M.; Sijbesma, R.P.; Tomovic, Z. Solvent-Free Synthesis of Acetal-Containing Polyols for Use in Recyclable Polyurethanes. Macromolecules 2023, 56, 8866–8877. [Google Scholar] [CrossRef]
- Simón, D.; de Lucas, A.; Rodríguez, J.F.; Borreguero, A.M. Glycolysis of high resilience flexible polyurethane foams containing polyurethane dispersion polyol. Polym. Degrad. Stab. 2016, 133, 119–130. [Google Scholar] [CrossRef]
- Liang, H.R.; Chen, Y.B.; Cui, Y.X.; Yin, L.X.; Wang, Z. Preparation of High-Performance Thermosetting Polyurethanes for Rapid Degradation and Recycling via Quadruple Boron-Oxygen Bonds. ACS Appl. Polym. Mater. 2024, 6, 10019–10028. [Google Scholar] [CrossRef]
- Gao, Y.; Dong, H.J.; Liu, L.C.; Yu, Y.F.; Tang, Z.M.; Bai, C.Y.; Schmidt, T.; Feng, Y.L.; Chen, H.Y. Tin-Containing Crystalline Copolymers as Latent Catalysts for Polyurethanes. ACS Appl. Polym. Mater. 2020, 2, 4531–4540. [Google Scholar] [CrossRef]
- Adjedje, V.K.B.; Wolf, Y.L.; Weissenborn, M.J.; Binder, W.H. Rubber Oxygenase Degradation Assay by UV-Labeling and Gel Permeation Chromatography. Macromol. Rapid Commun. 2024, 45, 2400032. [Google Scholar] [CrossRef]
- Zhang, H.; Fang, W.Z.; Li, Y.M.; Tao, W.Q. Experimental study of the thermal conductivity of polyurethane foams. Appl. Therm. Eng. 2017, 115, 528–538. [Google Scholar] [CrossRef]
- Jha, A.; Shaik, K.A.; Bhardwaj, Y.K.; Pant, H.J.; Chowdhury, S.R. Electron beam assisted recycling of polyurethane (PU) sponge: Turning it into a superabsorbent for wastewater treatment. J. Appl. Polym. Sci. 2023, 140, e53545. [Google Scholar] [CrossRef]
- Tang, X.J.; Chen, Z.H.; Liu, J.Y.; Chen, Z.Y.; Xie, W.M.; Evrendilek, F.; Buyukada, M. Dynamic pyrolysis behaviors, products, and mechanisms of waste rubber and polyurethane bicycle tires. J. Hazard. Mater. 2021, 402, 123516. [Google Scholar] [CrossRef]
- Lin, Z.J.; Zhao, Q.Q.; Fan, R.L.; Yuan, X.X.; Tian, F.L. Flame retardancy and thermal properties of rigid polyurethane foam conjugated with a phosphorus-nitrogen halogen-free intumescent flame retardant. J. Fire Sci. 2020, 38, 235–252. [Google Scholar] [CrossRef]
- Grdadolnik, M.; Zdovc, B.; Drincic, A.; Onder, O.C.; Utrosa, P.; Ramos, S.G.; Ramos, E.D.; Pahovnik, D.; Zagar, E. Chemical Recycling of Flexible Polyurethane Foams by Aminolysis to Recover High-Quality Polyols. ACS Sustain. Chem. Eng. 2023, 11, 10864–10873. [Google Scholar] [CrossRef] [PubMed]
- Gama, N.; Godinho, B.; Marques, G.; Silva, R.; Barros-Timmons, A.; Ferreira, A. Recycling of polyurethane by acidolysis: The effect of reaction conditions on the properties of the recovered polyol. Polymer 2021, 219, 123561. [Google Scholar] [CrossRef]
- Cakic, S.; Nikolic, G.; Lanjevac, A.; Ghgoric, M.; Rajkovic, M.B. The thermal degradation of aqueous polyurethanes with catalysts of different selectivity. Prog. Org. Coat. 2007, 60, 112–116. [Google Scholar] [CrossRef]
- Nikje, M.M.A.; Nikrah, M. Glycerin as a new glycolysing agent for chemical recycling of cold cure polyurethane foam wastes in “Split-Phase” condition. Polym. Bull. 2007, 58, 411–423. [Google Scholar] [CrossRef]
- Li, J.W.; Lee, H.T.; Tsai, H.A.; Suen, M.C.; Chiu, C.W. Synthesis and Properties of Novel Polyurethanes Containing Long-Segment Fluorinated Chain Extenders. Polymers 2018, 10, 1292. [Google Scholar] [CrossRef] [PubMed]
- Datta, J. Synthesis and Investigation of Glycolysates and Obtained Polyurethane Elastomers. J. Elastomers Plast. 2010, 42, 117–127. [Google Scholar] [CrossRef]
- Shin, S.R.; Kim, H.N.; Liang, J.Y.; Lee, S.H.; Lee, D.S. Sustainable rigid polyurethane foams based on recycled polyols from chemical recycling of waste polyurethane foams. J. Appl. Polym. Sci. 2019, 136, 47916. [Google Scholar] [CrossRef]
- Molero, C.; de Lucas, A.; Rodríguez, J.F. Recovery of polyols from flexible polyurethane foam by “split-phase” glycolysis: Glycol influence. Polym. Degrad. Stab. 2006, 91, 221–228. [Google Scholar] [CrossRef]
- Wang, J.R.; Chen, D.J.; Zhang, Q.H. Analysis of glycolysis products of polyurethane fiber waste with diethylene glycol. Fibers Polym. 2007, 8, 13–18. [Google Scholar] [CrossRef]
- Zdovc, B.; Grdadolnik, M.; Pahovnik, D.; Zagar, E. Determination of End-Group Functionality of Propylene Oxide-Based Polyether Polyols Recovered from Polyurethane Foams by Chemical Recycling. Macromolecules 2023, 56, 3374–3382. [Google Scholar] [CrossRef] [PubMed]
- Zhu, P.; Cao, Z.B.; Chen, Y.; Zhang, X.J.; Qian, G.R.; Chu, Y.L.; Zhou, M. Glycolysis recycling of rigid waste polyurethane foam from refrigerators. Environ. Technol. 2014, 35, 2676–2684. [Google Scholar] [CrossRef]
- Chen, G.Y.; Liu, T.C.; Luan, P.P.; Li, N.; Sun, Y.N.; Tao, J.Y.; Yan, B.B.; Cheng, Z.J. Distribution, migration, and removal of N-containing products during polyurethane pyrolysis: A review. J. Hazard. Mater. 2023, 453, 131406. [Google Scholar] [CrossRef]
- Nim, B.; Opaprakasit, P. Quantitative analyses of products from chemical recycling of polylactide (PLA) by alcoholysis with various alcohols and their applications as healable lactide-based polyurethanes. Spectrochim. Acta Part A Mol. Biomol. Spectrosc. 2021, 255, 119684. [Google Scholar] [CrossRef] [PubMed]
- Fortman, D.J.; Sheppard, D.T.; Dichtel, W.R. Reprocessing Cross-Linked Polyurethanes by Catalyzing Carbamate Exchange. Macromolecules 2019, 52, 6330–6335. [Google Scholar] [CrossRef]
- Rossignolo, G.; Malucelli, G.; Lorenzetti, A. Recycling of polyurethanes: Where we are and where we are going. Green Chem. 2024, 26, 1132–1152. [Google Scholar] [CrossRef]
- Zhao, L.; Semetey, V. Recycling Polyurethanes through Transcarbamoylation. ACS Omega 2021, 6, 4175–4183. [Google Scholar] [CrossRef] [PubMed]
- Bakkali-Hassani, C.; Berne, D.; Ladmiral, V.; Caillol, S. Transcarbamoylation in Polyurethanes: Underestimated Exchange Reactions? Macromolecules 2022, 55, 7974–7991. [Google Scholar] [CrossRef]
- Zhu, J.L.; Luo, X.M.; Li, X. Ring-Opening Polymerization of Trimethylene Carbonate with Phosphazene Organocatalyst. Polymers 2023, 15, 720. [Google Scholar] [CrossRef]
- Hakim, A.A.A.; Nassar, M.; Emam, A.; Sultan, M. Preparation and characterization of rigid polyurethane foam prepared from sugar-cane bagasse polyol. Mater. Chem. Phys. 2011, 129, 301–307. [Google Scholar] [CrossRef]
- Fournier, D.; Du Prez, F. “Click” chemistry as a promising tool for side-chain functionalization of polyurethanes. Macromolecules 2008, 41, 4622–4630. [Google Scholar] [CrossRef]
- Pretsch, T.; Jakob, I.; Müller, W. Hydrolytic degradation and functional stability of a segmented shape memory poly(ester urethane). Polym. Degrad. Stab. 2009, 94, 61–73. [Google Scholar] [CrossRef]
- Meskinfam, M.; Bertoldi, S.; Albanese, N.; Cerri, A.; Tanzi, M.C.; Imani, R.; Baheiraei, N.; Farokhi, M.; Farè, S. Polyurethane foam/nano hydroxyapatite composite as a bone tissue regeneration. Mater. Sci. Eng. C Mater. Biol. Appl. 2018, 82, 130–140. [Google Scholar] [CrossRef] [PubMed]
- Tersac, G. Chemistry and technology of polyols for polyurethanes. Milhail Ionescu. Rapra Technology, Shrewsbury, UK. Polym. Int. 2007, 56, 820. [Google Scholar] [CrossRef]
- Li, Z.X.; Guo, T.T.; Chen, Y.Z.; Zhang, T.; Tang, D.Q.; Hao, M.H.; Zhao, X.; Liu, J.Y. Study on Road Performance of Polyurethane Cold-Recycled Mixture. Polymers 2023, 15, 1958. [Google Scholar] [CrossRef] [PubMed]
- Grancharov, G.; Atanasova, M.D.; Kalinova, R.; Tuleshkov, P.; Petrov, P.D.; Marinova, M.K.; Ravutsov, M.A.; Simeonov, S.P. Biorenewable Oxypropylated Pentane-1,2,5-triol as a Source for Incorporation in Rigid Polyurethane Foams. Polymers 2023, 15, 4148. [Google Scholar] [CrossRef]
- Tremblay-Parrado, K.K.; Avérous, L. Renewable Responsive Systems Based on Original Click and Polyurethane Cross-Linked Architectures with Advanced Properties. ChemSusChem 2020, 13, 238–251. [Google Scholar] [CrossRef] [PubMed]
- Biedermann, A.; Kudoke, C.; Merten, A.; Minogue, E.; Rotermund, U.; Ebert, H.P.; Heinemann, U.; Fricke, J.; Seifert, H. Analysis of heat transfer mechanisms in polyurethane rigid foam. J. Cell. Plast. 2001, 37, 467–483. [Google Scholar] [CrossRef]
- He, P.; Ruan, H.D.; Wang, C.Y.; Lu, H. Mechanical Properties and Thermal Conductivity of Thermal Insulation Board Containing Recycled Thermosetting Polyurethane and Thermoplastic. Polymers 2021, 13, 4411. [Google Scholar] [CrossRef] [PubMed]
- Da Silva, V.R.; Mosiewicki, M.A.; Yoshida, M.I.; da Silva, M.C.; Stefani, P.M.; Marcovich, N.E. Polyurethane foams based on modified tung oil and reinforced with rice husk ash I: Synthesis and physical chemical characterization. Polym. Test. 2013, 32, 438–445. [Google Scholar] [CrossRef]
- Shang, J.; Lv, C.; Yang, Q.S.; Wu, H.J. Numerical calculation and measurement of low temperature thermal conductivity of polyurethane rigid foam. IOP Conf. Ser. Mater. Sci. Eng. 2019, 502, 012073. [Google Scholar] [CrossRef]
- Peng, S.; Gong, D.P.; Zhou, Y.L.; Zhang, C.C.; Li, Y.C.; Zhang, C.Y.; Sheng, Y.T. Study on Green Degradation Process of Polyurethane Foam Based on Integral Utilization and Performance of Recycled Polyurethane Oil-Absorbing Foam. Materials 2022, 15, 4269. [Google Scholar] [CrossRef]
- Ren, M.Q.; Wu, W.L.; Shi, Q.S.; Wu, L.L.; Zhang, C.C. Study on the surface properties of the regenerated polyurethane foam micropowder via cryogenic pulverization and its application. J. Mater. Res. Technol. 2023, 23, 808–818. [Google Scholar] [CrossRef]
- Czlonka, S.; Bertino, M.F.; Kosny, J.; Strakowska, A.; Maslowski, M.; Strzelec, K. Linseed oil as a natural modifier of rigid polyurethane foams. Ind. Crops Prod. 2018, 115, 40–51. [Google Scholar] [CrossRef]
- Kahlerras, Z.; Irinislimane, R.; Bruzaud, S.; Belhaneche-Bensemra, N. Elaboration and Characterization of Polyurethane Foams Based on Renewably Sourced Polyols. J. Polym. Environ. 2020, 28, 3003–3018. [Google Scholar] [CrossRef]
- Barczewski, M.; Kuranska, M.; Salasinska, K.; Michalowski, S.; Prociak, A.; Uram, K.; Lewandowski, K. Rigid polyurethane foams modified with thermoset polyester-glass fiber composite waste. Polym. Test. 2020, 81, 106190. [Google Scholar] [CrossRef]
- Cheng, B.X.; Gao, W.C.; Ren, X.M.; Ouyang, X.Y.; Zhao, Y.; Zhao, H.; Wu, W.; Huang, C.X.; Liu, Y.; Liu, X.Y.; et al. A review of microphase separation of polyurethane: Characterization and applications. Polym. Test. 2022, 107, 107489. [Google Scholar] [CrossRef]
















| Reagents | Mass (g) | Percentage (%, Based on Total Polyols) |
|---|---|---|
| Polyether polyol 4110 | 30, 28.5, 27, 24, 21, 18 | 100, 95, 90, 80, 70, 60 |
| Recycled polyol RP-0.08 | 0, 1.5, 3, 6, 9, 12 | 0, 5, 10, 20, 30, 40 |
| Dimethylsiloxane | 0.54 | 1.80 |
| Dichloroethane monofluoride | 7.5 | 25.0 |
| Triethanolamine | 0.45 | 1.50 |
| Dibutyltin dilaurate | 0.15 | 0.50 |
| Isocyanate PM200 | 36 | 120 |
| Sample Number | PN Catalyst Usage/% | Mn | PDI |
|---|---|---|---|
| RP-0.02 | 0.02 | 4804 | 1.468 |
| RP-0.04 | 0.04 | 3769 | 1.403 |
| RP-0.06 | 0.06 | 3224 | 1.322 |
| RP-0.08 | 0.08 | 2616 | 1.214 |
| RP-0.10 | 0.10 | 2465 | 1.217 |
| Polyether 4110 | -- | 1104 | 1.179 |
Disclaimer/Publisher’s Note: The statements, opinions and data contained in all publications are solely those of the individual author(s) and contributor(s) and not of MDPI and/or the editor(s). MDPI and/or the editor(s) disclaim responsibility for any injury to people or property resulting from any ideas, methods, instructions or products referred to in the content. |
© 2024 by the authors. Licensee MDPI, Basel, Switzerland. This article is an open access article distributed under the terms and conditions of the Creative Commons Attribution (CC BY) license (https://creativecommons.org/licenses/by/4.0/).
Share and Cite
Gu, X.; Xu, J.; Zhu, S.; Zhao, Q.; Sun, S.; Zhang, Y.; Su, Q.; Long, C. The Catalytic Degradation of Waste PU and the Preparation of Recycled Materials. Polymers 2024, 16, 3581. https://doi.org/10.3390/polym16243581
Gu X, Xu J, Zhu S, Zhao Q, Sun S, Zhang Y, Su Q, Long C. The Catalytic Degradation of Waste PU and the Preparation of Recycled Materials. Polymers. 2024; 16(24):3581. https://doi.org/10.3390/polym16243581
Chicago/Turabian StyleGu, Xiaohua, Jiahao Xu, Shangwen Zhu, Qinglong Zhao, Shaochun Sun, Yanxun Zhang, Qingyong Su, and Canyan Long. 2024. "The Catalytic Degradation of Waste PU and the Preparation of Recycled Materials" Polymers 16, no. 24: 3581. https://doi.org/10.3390/polym16243581
APA StyleGu, X., Xu, J., Zhu, S., Zhao, Q., Sun, S., Zhang, Y., Su, Q., & Long, C. (2024). The Catalytic Degradation of Waste PU and the Preparation of Recycled Materials. Polymers, 16(24), 3581. https://doi.org/10.3390/polym16243581

