Characterization of Odor-Active 2-Ethyldimethyl-1,3,6-trioxocane Isomers in Polyurethane Materials
Abstract
1. Introduction
2. Materials and Methods
2.1. Chemicals
2.2. Gas Chromatography–Olfactometry (GC-O)
2.3. Gas Chromatography–Flame Ionization Detector (GC-FID)
2.4. Gas Chromatography–Mass Spectrometry (GC-MS)
2.5. Fractionation of Dipropylene Glycol Isomers by Preparative High-Performance Liquid Chromatography (HPLC)
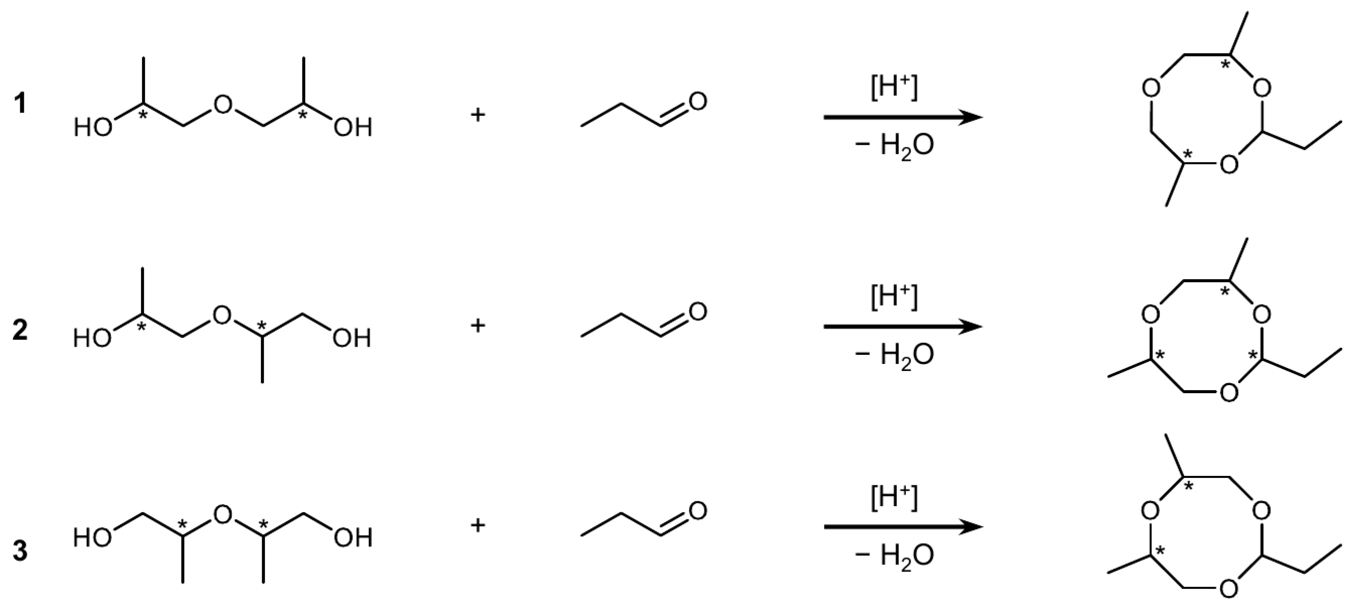
2.6. Synthesis of 2-Ethyldimethyl-1,3,6-trioxocanes
2.7. Determination of Odor Threshold Concentrations (OTCs) in Air
3. Results and Discussion
3.1. Characterization of Trioxocanes in a Reference Mixture
3.2. Annotation of Dipropylene Glycol Isomers
| Compound | Retention Index 1 | Relative Odor Activity 2 |
|---|---|---|
| 4 | 1366 | 0.07 |
| 5 | 1372 | <0.01 |
| 6 | 1374 | <0.01 |
| 7 | 1381 | <0.01 |
| 8 | 1385 | <0.01 |
| 9 | 1409 | 1.00 |
| 10 | 1414 | <0.01 |
| 11 | 1448 | <0.02 |
3.3. Characterization of Individual Trioxocane Isomers
4. Conclusions
Author Contributions
Funding
Institutional Review Board Statement
Data Availability Statement
Acknowledgments
Conflicts of Interest
References
- Plastics—The Fast Facts 2023. Available online: https://plasticseurope.org/knowledge-hub/plastics-the-fast-facts-2023 (accessed on 22 October 2024).
- Ionescu, M. Chemistry and Technology of Polyols for Polyurethanes; Rapra Technology: Shrewsbury, UK, 2005. [Google Scholar]
- Akindoyo, J.O.; Beg, M.D.H.; Ghazali, S.; Islam, M.R.; Jeyaratnam, N.; Yuvaraj, A.R. Polyurethane types, synthesis and applications—A review. RSC Adv. 2016, 6, 114453–114482. [Google Scholar] [CrossRef]
- Sonnenschein, M.F. Polyurethanes—Science, Technology, Markets and Trends; John Wiley & Sons: Hoboken, NJ, USA, 2014. [Google Scholar]
- Wegener, G.; Brandt, M.; Duda, L.; Hofmann, J.; Klesczewski, B.; Koch, D.; Kumpf, R.-J.; Orzesek, H.; Pirkl, H.-G.; Six, C.; et al. Trends in industrial catalysis in the polyurethane industry. Appl. Catal. A 2001, 221, 303–335. [Google Scholar] [CrossRef]
- Szycher, M. Szycher’s Handbook of Polyurethanes, 2nd ed.; CRC Press: Boca Raton, FL, USA; London, UK; New York, NY, USA, 2012. [Google Scholar]
- Harris, S.H.; Kreter, P.E.; Polley, C.W. Characterization of polyurethane foam odor bodies. J. Cell. Plast. 1988, 24, 486–494. [Google Scholar] [CrossRef]
- Minig, C.; Steinhaus, M.; Reglitz, K. Odor-active compounds in flexible polyurethane materials. Indoor Air 2024, 2024, 2415739. [Google Scholar] [CrossRef]
- Schlumpberger, P.; Stübner, C.A.; Steinhaus, M. Development and evaluation of an automated solvent-assisted flavour evaporation (aSAFE). Eur. Food Res. Technol. 2022, 248, 2591–2602. [Google Scholar] [CrossRef]
- Martin, A.E.; Murphy, F.H. Glycols, Propylene Glycols. In Kirk-Othmer Encyclopedia of Chemical Technology; John Wiley & Sons: Hoboken, NJ, USA, 2000. [Google Scholar]
- Steinhaus, M.; Sinuco, D.; Polster, J.; Osoriao, C.; Schieberle, P. Characterization of the aroma-active compounds in pink guava (Psidium guajava, L.) by application of the aroma extract dilution analysis. J. Agric. Food Chem. 2008, 56, 4120–4127. [Google Scholar] [CrossRef] [PubMed]
- Gold, V.; Sghibartz, C.M. Crown ether acetals: Synthesis and characterisation of a family of novel oxygen macrocyclic compounds. J. Chem. Soc. Perkin Trans. 1983, 1, 453–457. [Google Scholar] [CrossRef]
- Bemelmans, J.M.H. Review of isolation and concentration techniques. In Progress in Flavour Research; Land, G.G., Nursten, H.E., Eds.; Applied Science Publishers: London, UK, 1979; pp. 79–88. [Google Scholar]
- Ullrich, F.; Grosch, W. Identification of the most intense volatile flavour compounds formed during autoxidation of linoleic acid. Z. Lebensm.-Unters. Forsch. 1987, 184, 277–282. [Google Scholar] [CrossRef]
- Teranishi, R.; Buttery, R.; Guadagni, D. Odor quality and chemical structure in fruit and vegetable flavors. Ann. N. Y. Acad. Sci. 1974, 237, 209–216. [Google Scholar] [CrossRef] [PubMed]
- Astle, M.J.; Zaslowsky, J.A.; Lafyatis, P.G. Catalysis with cation-exchange resins. Preparation of 1,3-dioxolanes and 1,3,6-trioxocanes. Ind. Eng. Chem. 1954, 46, 787–791. [Google Scholar] [CrossRef]
- NIST/EPA/NIH Mass Spectral Library (NIST 17) and NIST Mass Spectral Search Program, version 2.3; National Institute of Standards and Technology: Gaithersburg, MD, USA, 2017.
- Hesse, M.; Meier, H.; Zeeh, B. Spectroscopic Methods in Organic Chemistry, 2nd ed.; Georg Thieme Verlag KG: Stuttgart, Germany, 2008. [Google Scholar]
- Schaefer, J.; Katnik, R.J.; Kern, R.J. Structural isomer distribution in linear copolymers of propylene oxide. Macromolecules 1968, 1, 101–106. [Google Scholar] [CrossRef]
- Kreissl, J.; Mall, V.; Steinhaus, P.; Steinhaus, M. Leibniz-LSB@TUM Odorant Database, version 1.2; Leibniz Institute for Food Systems Biology at the Technical University of Munich: Freising, Germany. Available online: https://www.leibniz-lsb.de/en/databases/leibniz-lsbtum-odorant-database/start (accessed on 22 October 2024).
- Fowles, J.R.; Banton, M.I.; Pottenger, L.H. A toxicological review of the propylene glycols. Crit. Rev. Toxicol. 2013, 43, 363–390. [Google Scholar] [CrossRef] [PubMed]
- Van Den Dool, H.; Kratz, P.D. A generalization of the retention index system including linear temperature programmed gas-liquid partition chromatography. J. Chromatogr. A 1963, 11, 463–471. [Google Scholar] [CrossRef]
- Guth, H. Determination of the configuration of wine lactone. Helv. Chim. Acta 1996, 79, 1559–1571. [Google Scholar] [CrossRef]
- Reglitz, K.; Stein, J.; Ackermann, J.; Heigl, V.; Brass, L.; Ampenberger, F.; Zarnkow, M.; Steinhaus, M. Enantiospecific determination of the odour threshold concentrations of (R)-and (S)-linalool in water and beer. Brew. Sci. 2023, 76, 92–96. [Google Scholar] [CrossRef]
- Porcelli, C.; Steinhaus, M. Molecular characterisation of an atypical coconut-like odour in cocoa. Eur. Food Res. Technol. 2022, 248, 1513–1523. [Google Scholar] [CrossRef]






| Mixture | Main DPG Isomer (s) | Main Trioxocane (s) |
|---|---|---|
| A | 1a | 8 |
| B | 2a | 4, 9 |
| C | 1b, 2b | 5, 7, 10 |
| D | 3a, 3b | 6, 11 |
| Stereoisomer | Odor Threshold Concentration 1 (ng/L Air) |
|---|---|
| 4a | >1.4 |
| 4b | 1.2 |
| 9a | 0.019 |
| 9b | >0.8 |
Disclaimer/Publisher’s Note: The statements, opinions and data contained in all publications are solely those of the individual author(s) and contributor(s) and not of MDPI and/or the editor(s). MDPI and/or the editor(s) disclaim responsibility for any injury to people or property resulting from any ideas, methods, instructions or products referred to in the content. |
© 2024 by the authors. Licensee MDPI, Basel, Switzerland. This article is an open access article distributed under the terms and conditions of the Creative Commons Attribution (CC BY) license (https://creativecommons.org/licenses/by/4.0/).
Share and Cite
Minig, C.; Meißner, A.; Steinhaus, M. Characterization of Odor-Active 2-Ethyldimethyl-1,3,6-trioxocane Isomers in Polyurethane Materials. Polymers 2024, 16, 3573. https://doi.org/10.3390/polym16243573
Minig C, Meißner A, Steinhaus M. Characterization of Odor-Active 2-Ethyldimethyl-1,3,6-trioxocane Isomers in Polyurethane Materials. Polymers. 2024; 16(24):3573. https://doi.org/10.3390/polym16243573
Chicago/Turabian StyleMinig, Charlotte, Alexandra Meißner, and Martin Steinhaus. 2024. "Characterization of Odor-Active 2-Ethyldimethyl-1,3,6-trioxocane Isomers in Polyurethane Materials" Polymers 16, no. 24: 3573. https://doi.org/10.3390/polym16243573
APA StyleMinig, C., Meißner, A., & Steinhaus, M. (2024). Characterization of Odor-Active 2-Ethyldimethyl-1,3,6-trioxocane Isomers in Polyurethane Materials. Polymers, 16(24), 3573. https://doi.org/10.3390/polym16243573

