Influence of Operating Temperature on Crack Growth Characteristics and Fatigue Life Prediction of Carbon Black-Filled Hydrogenated Nitrile Butadiene Rubber
Abstract
1. Introduction
2. Material and Methods
2.1. Material
2.2. Quasi-Static Uniaxial Tensile Test
2.3. Fatigue Crack Growth Test
2.4. Fatigue Test
3. Results and Discussions
3.1. Influence of Temperature on Mechanical Properties
3.2. Influence of Temperature on Fatigue Crack Growth Properties
3.2.1. Acquisition of the Crack Growth Lengths
3.2.2. Effect of Temperature on Crack Propagation Characteristics
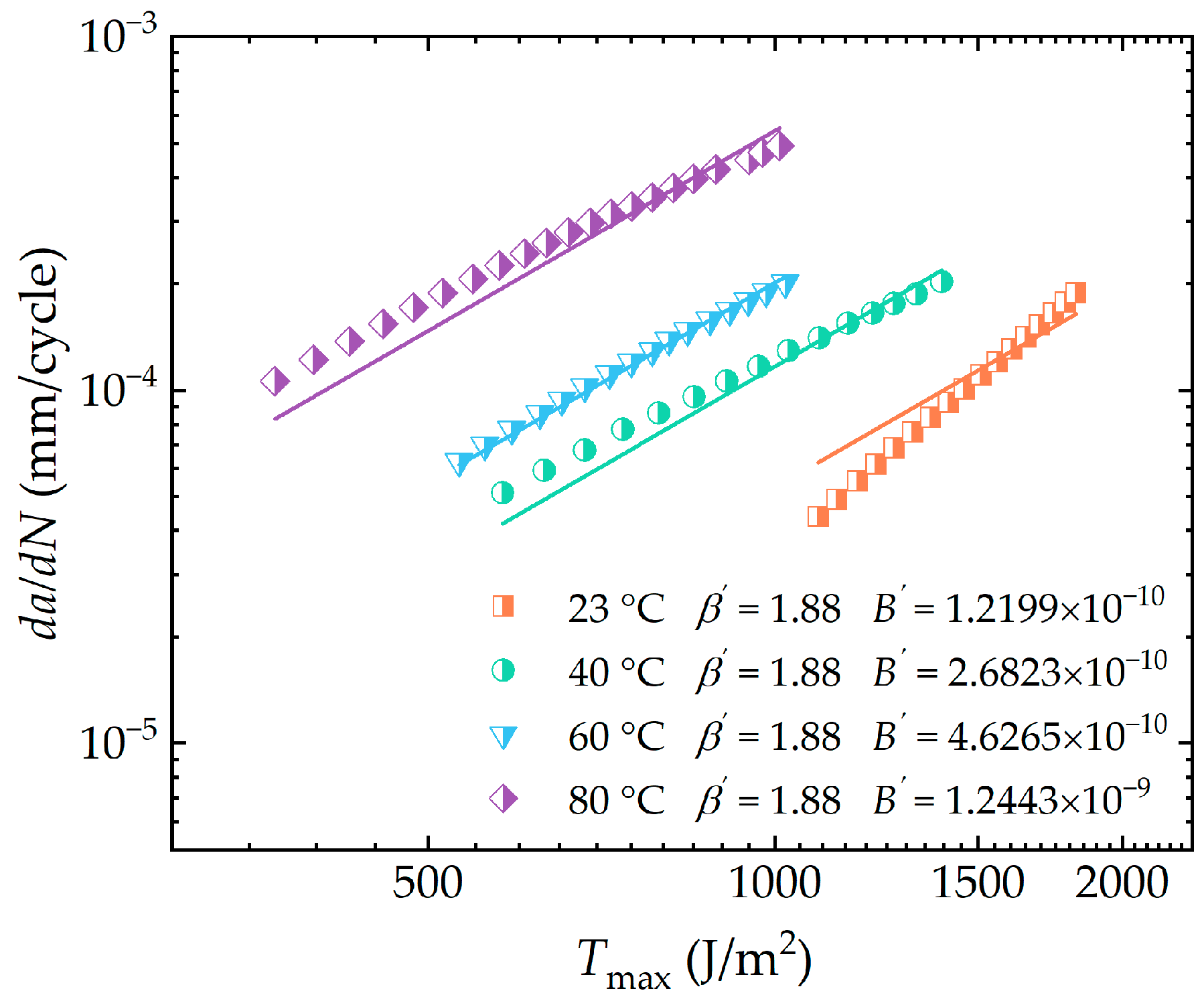
3.2.3. Extension of the Paris-Erdogan Law on Temperature Dependence
3.3. Analysis of Fatigue Test Results
4. Method of Fatigue Lifetime Prediction
4.1. Verification of Temperature-Based Fatigue Crack Growth Model
4.2. Fatigue Life Prediction at High Temperature
4.2.1. Effect of Temperature on Strain Energy Density
4.2.2. Unified Model for Fatigue Life Prediction at Multiple Temperatures
5. Conclusions
6. Limitations and Prospects
- (1)
- The research material selected in the article was carbon black-filled HNBR, but due to the limited experimental conditions, the rest of the control group was not set up. The effect of the carbon black content was not considered. In future research, the characteristics of fatigue crack propagation of HNBR under the two variables of carbon black content and temperature can be investigated to make the research results more comprehensive.
- (2)
- This manuscript predicted the fatigue life of rubber specimens under uniaxial tensile tests based on a unified model of fatigue crack growth and compared it with the test results. However, life prediction under multiaxial loading conditions was not addressed. Under simple or planar stretching, the energy release rate can be derived directly from the strain energy density, and then the life prediction can be solved by Equation (24). However, the fatigue life of rubber under multiaxial stress states requires the use of cracking energy density [43] as a fatigue life prediction parameter under multiaxial strain history. This parameter represents the available energy density for a given strain state and crack orientation.
Author Contributions
Funding
Institutional Review Board Statement
Data Availability Statement
Conflicts of Interest
References
- Han, W.W.; Han, D.S.; Chen, H.B. Pyrolysis of Waste Tires: A Review. Polymers 2023, 15, 1604. [Google Scholar] [CrossRef] [PubMed]
- Jin, L.; Zhao, D.M.; Liu, J.L. A Visco-Hyperelastic Constitutive Model for Rubber Considering the Strain Level and One Case Study in the Sealing Packer. Acta Mech. Solida Sin. 2023, 36, 710–723. [Google Scholar] [CrossRef]
- Zhang, Z.M.; Zhang, D.W.; Che, J.K.; Xie, Y.Q.; Yang, Y.; Gong, Y.J. Analysis on Fatigue Behavior of Water Hydraulic Artificial Muscles under Different Elastic Loads in Underwater Environment. Fatigue Fract. Eng. Mater. Struct. 2023, 46, 2864–2877. [Google Scholar] [CrossRef]
- Le Gac, P.-Y.; Arhant, M.; Davies, P.; Muhr, A. Fatigue Behavior of Natural Rubber in Marine Environment: Comparison between Air and Sea Water. Mater. Des. 2015, 65, 462–467. [Google Scholar] [CrossRef]
- Mortazavian, S.; Fatemi, A.; Mellott, S.R.; Khosrovaneh, A. Effect of Cycling Frequency and Self-Heating on Fatigue Behavior of Reinforced and Unreinforced Thermoplastic Polymers. Polym. Eng. Sci. 2015, 55, 2355–2367. [Google Scholar] [CrossRef]
- Seichter, S.; Archodoulaki, V.-M.; Koch, T.; Holzner, A.; Wondracek, A. Investigation of Different Influences on the Fatigue Behaviour of Industrial Rubbers. Polym. Test. 2017, 59, 99–106. [Google Scholar] [CrossRef]
- Kocjan, T.; Nagode, M.; Klemenc, J.; Oman, S. Prediction of Actual Fatigue Test Temperature and Isothermal Fatigue Life Curves for Non-Crystallising Rubber under Fully Relaxing Uni-Axial Loading Conditions. Int. J. Fatigue 2022, 157, 106622. [Google Scholar] [CrossRef]
- Gehrmann, O.; El Yaagoubi, M.; El Maanaoui, H.; Meier, J. Lifetime Prediction of Simple Shear Loaded Filled Elastomers Based on the Probability Distribution of Particles. Polym. Test. 2019, 75, 229–236. [Google Scholar] [CrossRef]
- Liu, X.N.; Shangguan, W.-B.; Zhao, X.Z. Residual Fatigue Life Prediction of Natural Rubber Components under Variable Amplitude Loads. Int. J. Fatigue 2022, 165, 107199. [Google Scholar] [CrossRef]
- Stoček, R.; Stěnička, M.; Zádrapa, P. Future Trends in Predicting the Complex Fracture Behaviour of Rubber Materials. Continuum Mech. Thermodyn. 2021, 33, 291–305. [Google Scholar] [CrossRef]
- Tong, X.; Chen, X.; Xu, J.S.; Zheng, Y.; Zhi, S.J. The Heat Build-up of a Polymer Matrix Composite under Cyclic Loading: Experimental Assessment and Numerical Simulation. Int. J. Fatigue 2018, 116, 323–333. [Google Scholar] [CrossRef]
- Bensalem, K.; Eesaee, M.; Hassanipour, M.; Elkoun, S.; David, E.; Agbossou, K.; Nguyen-Tri, P. Lifetime Estimation Models and Degradation Mechanisms of Elastomeric Materials: A Critical Review. Polym. Degrad. Stab. 2024, 220, 110644. [Google Scholar] [CrossRef]
- Mars, W.V.; Fatemi, A. Factors That Affect the Fatigue Life of Rubber: A Literature Survey. Rubber Chem. Technol. 2004, 77, 391–412. [Google Scholar] [CrossRef]
- Gehling, T.; Schieppati, J.; Balasooriya, W.; Kerschbaumer, R.C.; Pinter, G. Fatigue Behavior of Elastomeric Components: A Review of the Key Factors of Rubber Formulation, Manufacturing, and Service Conditions. Polym. Rev. 2023, 63, 763–804. [Google Scholar] [CrossRef]
- Ruellan, B.; Le Cam, J.-B.; Robin, E.; Jeanneau, I.; Canévet, F.; Mauvoisin, G.; Loison, D. Fatigue Crack Growth in Natural Rubber: The Role of SIC Investigated through Post-Mortem Analysis of Fatigue Striations. Eng. Fract. Mech. 2018, 201, 353–365. [Google Scholar] [CrossRef]
- Shaw, B.; Ramier, J.; Busfield, J.J.C. The Effect of Thermal Ageing on the Fatigue Resistance of Hydrogenated Acrylonitrile Butadiene Rubber (HNBR) Compounds. In Degradation of Elastomers in Practice, Experiments and Modeling; Heinrich, G., Kipscholl, R., Stoček, R., Eds.; Advances in Polymer Science; Springer International Publishing: Cham, Switzerland, 2022; Volume 289, pp. 143–165. ISBN 978-3-031-15163-7. [Google Scholar]
- Stoček, R.; Kratina, O.; Ghosh, P.; Maláč, J.; Mukhopadhyay, R. Influence of Thermal Ageing Process on the Crack Propagation of Rubber Used for Tire Application. In Deformation and Fracture Behaviour of Polymer Materials; Grellmann, W., Langer, B., Eds.; Springer Series in Materials Science; Springer International Publishing: Cham, Switzerland, 2017; Volume 247, pp. 351–364. ISBN 978-3-319-41877-3. [Google Scholar]
- Liu, Q.B.; Shi, W.K.; Chen, Z.Y. Rubber Fatigue Life Prediction Using a Random Forest Method and Nonlinear Cumulative Fatigue Damage Model. J. Appl. Polym. Sci. 2020, 137, 48519. [Google Scholar] [CrossRef]
- Tao, Y.P.; Stevens, C.A.; Bilotti, E.; Peijs, T.; Busfield, J.J.C. Fatigue of Carbon Cord-Rubber Composites: Effect of Frequency, R Ratio and Life Prediction Using Constant Life Models. Int. J. Fatigue 2020, 135, 105558. [Google Scholar] [CrossRef]
- Tee, Y.L.; Loo, M.S.; Andriyana, A. Recent Advances on Fatigue of Rubber after the Literature Survey by Mars and Fatemi in 2002 and 2004. Int. J. Fatigue 2018, 110, 115–129. [Google Scholar] [CrossRef]
- Chong, Z.H.; Yue, T.L.; Yao, Q.L.; Li, X.H.; Zheng, C.K.; Xia, Z.; Li, H.Z. Experimental and Numerical Investigation of Crack Propagation in Bolting Systems Strengthened with Resin-Encapsulated Rock Bolts. Eng. Fail. Anal. 2021, 122, 105259. [Google Scholar] [CrossRef]
- Luo, W.B.; Li, M.; Huang, Y.J.; Yin, B.Y.; Hu, X.L. Effect of Temperature on the Tear Fracture and Fatigue Life of Carbon-Black-Filled Rubber. Polymers 2019, 11, 768. [Google Scholar] [CrossRef]
- El Maanaoui, H.; Meier, J. Lifetime Prediction with Temperature Dependence for EPDM and NR Elastomers Based on Fatigue Crack Growth Mechanical Measurements and Filler Distribution. Polymer 2021, 228, 123909. [Google Scholar] [CrossRef]
- El Yaagoubi, M.; El Maanaoui, H.; Meier, J. Influence of Operating Temperature on the Measured and Predicted Lifetime of Carbon Black-Filled Hydrogenated Nitrile Butadiene Rubber. Eng. Fract. Mech. 2022, 271, 108633. [Google Scholar] [CrossRef]
- Shangguan, W.B.; Wang, X.L.; Deng, J.X.; Rakheja, S.; Pan, X.Y.; Yu, B. Experiment and Modeling of Uniaxial Tension Fatigue Performances for Filled Natural Rubbers. Mater. Des. 2014, 58, 65–73. [Google Scholar] [CrossRef]
- Jin, L.; Xue, Z.N.; Wang, Z.D.; Li, R.Y.; Liu, J.L. Mechanical Response of the Sealing Packer Based on Two Rubber Materials at High Temperatures. Polym. Test. 2023, 124, 108073. [Google Scholar] [CrossRef]
- Stoček, R.; Stěnička, M.; Maloch, J. Determining Parametrical Functions Defining the Deformations of a Plane Strain Tensile Rubber Sample. In Fatigue Crack Growth in Rubber Materials; Heinrich, G., Kipscholl, R., Stoček, R., Eds.; Advances in Polymer Science; Springer International Publishing: Cham, Switzerland, 2020; Volume 286, pp. 19–38. ISBN 978-3-030-68919-3. [Google Scholar]
- Kocjan, T.; Nagode, M.; Klemenc, J.; Oman, S. On Fatigue Crack Growth Testing and Analysis of Non-Crystallising Rubber Using Planar Tension Specimen. Polym. Test. 2023, 117, 107819. [Google Scholar] [CrossRef]
- Rivlin, R.S.; Thomas, A.G. Rupture of Rubber. I. Characteristic Energy for Tearing. J. Polym. Sci. 1953, 10, 291–318. [Google Scholar] [CrossRef]
- Agnelli, S.; Balasooriya, W.; Bignotti, F.; Schrittesser, B. On the experimental measurement of fracture toughness in SENT rubber specimens. Polym. Test. 2020, 87, 106508. [Google Scholar] [CrossRef]
- Mars, W.V.; Fatemi, A. Fatigue Crack Nucleation and Growth in Filled Natural Rubber. Fatigue Fract. Eng. Mater. Struct. 2003, 26, 779–789. [Google Scholar] [CrossRef]
- Liu, X.N.; Shangguan, W.B.; Zhao, X.Z. Probabilistic Fatigue Life Prediction Model of Natural Rubber Components Based on the Expanded Sample Data. Int. J. Fatigue 2022, 163, 107034. [Google Scholar] [CrossRef]
- Li, W.B.; Xin, Z.X. Flexural Fatigue Life Prediction of a Tooth V-Belt Made of Fiber Reinforced Rubber. Int. J. Fatigue 2018, 111, 269–277. [Google Scholar] [CrossRef]
- Li, X.; Bai, T.; Li, Z.R.; Liu, L.S. Influence of the Temperature on the Hyper-Elastic Mechanical Behavior of Carbon Black Filled Natural Rubbers. Mech. Mater. 2016, 95, 136–145. [Google Scholar] [CrossRef]
- Gent, A.N.; Lindley, P.B.; Thomas, A.G. Cut Growth and Fatigue of Rubbers. I. The Relationship between Cut Growth and Fatigue. J. Appl. Polym. Sci. 1964, 8, 455–466. [Google Scholar] [CrossRef]
- Lake, G.J.; Lindley, P.B. The Mechanical Fatigue Limit for Rubber. J. Appl. Polym. Sci. 1965, 9, 1233–1251. [Google Scholar] [CrossRef]
- Kaang, S.; Jin, Y.W.; Huh, Y.; Lee, W.-J.; Im, W.B. A Test Method to Measure Fatigue Crack Growth Rate of Rubbery Materials. Polym. Test. 2006, 25, 347–352. [Google Scholar] [CrossRef]
- Shangguan, W.B.; Wang, X.L.; Duan, X.C.; Liu, G.B.; Yan, J. Fatigue Crack Growth Experiment and Modeling for Rubbers Used in Isolators under Variable Amplitude Loads. Chin. J. Mech. Eng. 2015, 51, 50–58. [Google Scholar] [CrossRef]
- Lindley, P.B. Energy for Crack Growth in Model Rubber Components. J. Strain Anal. Eng. Des. 1972, 7, 132–140. [Google Scholar] [CrossRef]
- Lake, G.J. Fatigue and fracture of elastomers. Rubber Chem. Technol. 1995, 68, 435–460. [Google Scholar] [CrossRef]
- Drozdov, A.D.; deClaville Christiansen, J. Thermo-Mechanical Behavior of Elastomers with Dynamic Covalent Bonds. Int. J. Eng. Sci. 2020, 147, 103200. [Google Scholar] [CrossRef]
- Harbour, R.J.; Fatemi, A.; Mars, W.V. Fatigue Life Analysis and Predictions for NR and SBR under Variable Amplitude and Multiaxial Loading Conditions. Int. J. Fatigue 2008, 30, 1231–1247. [Google Scholar] [CrossRef]
- Mars, W.V. Cracking energy density as a predictor of fatigue life under multiaxial conditions. Rubber Chem. Technol. 2002, 75, 1–17. [Google Scholar] [CrossRef]




















| Component | Description | Phr |
|---|---|---|
| Hydrogenated nitrile butadiene rubber | HNBR | 100 |
| Zinc oxide | ZNO | 10 |
| Stearic acid | SA | 1 |
| plasticizer | TOTM | 12 |
| Antioxidant | MBZ | 1 |
| Antioxidant | 445 | 1 |
| Vulcanization accelerator | TAIC | 2.5 |
| Carbon black | N220 | 20 |
| Carbon black | N990 | 25 |
| Operating temperature 23 °C | ||||
| Strain level | (MPa) | (MPa) | (MPa) | |
| 20% | 1.0198 | −4.5256 | 21.5417 | 0.9915 |
| 60% | 0.7583 | −0.6389 | 0.5034 | 0.9898 |
| 100% | 0.6226 | −0.2372 | 0.0886 | 0.9889 |
| 150% | 0.5445 | −0.1243 | 0.02894 | 0.9885 |
| Operating temperature 40 °C | ||||
| Strain level | (MPa) | (MPa) | (MPa) | |
| 20% | 0.8962 | −3.6039 | 16.6720 | 0.9907 |
| 60% | 0.6935 | −0.5476 | 0.4176 | 0.9895 |
| 100% | 0.5727 | −0.2028 | 0.0718 | 0.9894 |
| 150% | 0.4920 | −0.0972 | 0.0208 | 0.9914 |
| Operating temperature 60 °C | ||||
| Strain level | (MPa) | (MPa) | (MPa) | |
| 20% | 0.7968 | −3.0062 | 13.6796 | 0.9864 |
| 60% | 0.6058 | −0.4022 | 0.2891 | 0.9941 |
| Operating temperature 60 °C | ||||
| Strain level | (MPa) | (MPa) | (MPa) | |
| 100% | 0.5273 | −0.1642 | 0.0569 | 0.9916 |
| 150% | 0.4603 | −0.0778 | 0.0163 | 0.9938 |
| Operating temperature 80 °C | ||||
| Strain level | (MPa) | (MPa) | (MPa) | |
| 20% | 0.7906 | −2.9751 | 13.3718 | 0.9953 |
| 60% | 0.5918 | −0.3441 | 0.2281 | 0.9949 |
| 100% | 0.5113 | −0.1337 | 0.0420 | 0.9945 |
| 150% | 0.4587 | −0.0670 | 0.0128 | 0.9944 |
| Peak Strain | ||||||||
|---|---|---|---|---|---|---|---|---|
| 150% | 89,078 | 69,743 | 75,848 | 103,431 | 92,455 | 76,568 | 83,747 | 1.483 |
| Peak Strain | ||||
|---|---|---|---|---|
| 150% | 83,747 | 94,478 | 1.128 | |
| 49,911 | 0.596 | |||
| 33,996 | 0.406 |
Disclaimer/Publisher’s Note: The statements, opinions and data contained in all publications are solely those of the individual author(s) and contributor(s) and not of MDPI and/or the editor(s). MDPI and/or the editor(s) disclaim responsibility for any injury to people or property resulting from any ideas, methods, instructions or products referred to in the content. |
© 2024 by the authors. Licensee MDPI, Basel, Switzerland. This article is an open access article distributed under the terms and conditions of the Creative Commons Attribution (CC BY) license (https://creativecommons.org/licenses/by/4.0/).
Share and Cite
Li, R.; Lian, Z.; Wei, W. Influence of Operating Temperature on Crack Growth Characteristics and Fatigue Life Prediction of Carbon Black-Filled Hydrogenated Nitrile Butadiene Rubber. Polymers 2024, 16, 3574. https://doi.org/10.3390/polym16243574
Li R, Lian Z, Wei W. Influence of Operating Temperature on Crack Growth Characteristics and Fatigue Life Prediction of Carbon Black-Filled Hydrogenated Nitrile Butadiene Rubber. Polymers. 2024; 16(24):3574. https://doi.org/10.3390/polym16243574
Chicago/Turabian StyleLi, Runze, Zisheng Lian, and Wensheng Wei. 2024. "Influence of Operating Temperature on Crack Growth Characteristics and Fatigue Life Prediction of Carbon Black-Filled Hydrogenated Nitrile Butadiene Rubber" Polymers 16, no. 24: 3574. https://doi.org/10.3390/polym16243574
APA StyleLi, R., Lian, Z., & Wei, W. (2024). Influence of Operating Temperature on Crack Growth Characteristics and Fatigue Life Prediction of Carbon Black-Filled Hydrogenated Nitrile Butadiene Rubber. Polymers, 16(24), 3574. https://doi.org/10.3390/polym16243574

