Residual Stress Analysis at the Conductor–Insulator Interface During the Curing Process of Hair-Pin Motors
Abstract
1. Introduction
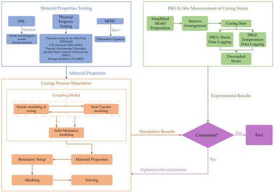
2. FBG In Situ Measurement of Curing Strain
2.1. Materials
2.2. Principle of the FBG Sensor
2.3. Experimental Design
2.4. Experimental Results and Analysis
3. Three-Dimensional Numerical Simulation of the Curing Process
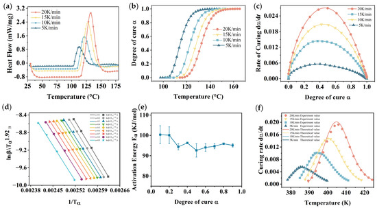
3.1. Curing Kinetics Model
3.1.1. Data Analysis and Model Derivation
3.1.2. Boundary Setup
3.2. Heat Transfer Model
3.2.1. Model Derivation and Parameter Determination
3.2.2. Boundary Setup
3.3. Solid Mechanics Model
3.3.1. Model Derivation and Parameter Determination
3.3.2. Boundary Setup
3.4. Simulation Setup
4. Results Discussion
4.1. Simulation Results Validation
4.2. Results Analysis
5. Conclusions
Author Contributions
Funding
Institutional Review Board Statement
Data Availability Statement
Acknowledgments
Conflicts of Interest
References
- Li, Q.; Wang, S.; Yu, C.; Cang, Y.; Yuan, C. Study on Paint Removal Welding Process of Flat Wire Motors for New Energy Vehicles. Automob. Technol. Mater. 2023, 1–7. [Google Scholar] [CrossRef]
- Juergens, J.; Fricasse, A.; Marengo, L.; Gragger, J.; De Gennaro, M.; Ponick, B.; IEEE. Innovative Design of an Air Cooled Ferrite Permanent Magnet Assisted Synchronous Reluctance Machine for Automotive Traction Application. In Proceedings of the 22nd IEEE International Conference on Electrical Machines (ICEM), Lausanne, Switzerland, 4–7 September 2016; pp. 803–810. [Google Scholar]
- Wang, X.; Wand, L. Review of Performance Test Research on Enamelled Copper Flat Wire for New Energy Vehicle Drive Motors. Wire Cable 2024, 67, 8–14. [Google Scholar] [CrossRef]
- Calabrese, E.; Raimondo, M.; Catauro, M.; Vertuccio, L.; Lamberti, P.; Raimo, R.; Tucci, V.; Guadagno, L. Thermal and Electrical Characterization of Polyester Resins Suitable for Electric Motor Insulation. Polymers 2023, 15, 1374. [Google Scholar] [CrossRef] [PubMed]
- Budrugeac, P.; Cucos, A.; Dascalu, R.; Paraschiv, C.; Mitrea, S.; Sbarcea, B.G. The Use of Thermal Analysis Methods for Predicting the Thermal Endurance of an Epoxy Resin Used as Electrical Insulator. J. Therm. Anal. Calorim. 2021, 146, 1791–1801. [Google Scholar] [CrossRef]
- Fetouhi, L.; Martinez-Vega, J.; Petitgas, B.; IEEE. Dielectric and Mechanical Properties Correlated to Physico-Chemical Characteristics of a Polyester-Imide Resin Used in Rotating Machines Insulations. In Proceedings of the IEEE International Conference on Dielectrics (ICD), Montpellier, France, 3–7 July 2016. [Google Scholar]
- Frost, N.; IEEE. IEEE Standards Related to Materials Used in Motors and Generators. In Proceedings of the IEEE Electrical Insulation Conference (EIC), Knoxville, TN, USA, 19–23 June 2022. [Google Scholar]
- Jiang, Q.B.; Deng, Q.S.; Gao, J.; Wang, Y.Q. Study on the HEA-blocking Unsaturated Polyester Solventless Impregnating Varnish. In Proceedings of the China Academic Conference on Green Printing and Packaging Materials, Harbin, China, 20–23 August 2011. [Google Scholar]
- Goetter, R.; Winkeler, M. New developments in unsaturated polyester resins used for electrical insulation. In Proceedings of the Proceedings: Electrical Insulation Conference and Electrical Manufacturing and Coil Winding Conference (Cat. No.01CH37264), Cincinnati, OH, USA, 18 October 2001. [Google Scholar]
- Fetouhi, L.; Martinez-Vega, J.; Petitgas, B. Electric Conductivity, Aging and Chemical Degradation of Polyesterimide Resins Used in the Impregnation of Rotating Machines. IEEE Trans. Dielectr. Electr. Insul. 2018, 25, 294–305. [Google Scholar] [CrossRef]
- Sun, J.H.; Qian, L.J.; Li, J. Toughening and Strengthening Epoxy Resin with Flame Retardant Molecular Structure Based on Tyrosine. Polymer 2021, 230, 124045. [Google Scholar] [CrossRef]
- Sun, W.; Wang, L.Z.; Zhu, N.; Xin, J.Y.; Luo, Y.C.; Jiang, X.R.; Fan, G.H.; Chen, M. Characterization of Packaging Warpage, Residual Stress and Their Effects on the Mechanical Reliability of IGBT Power Modules. Eng. Fail. Anal. 2023, 152, 107517. [Google Scholar] [CrossRef]
- Xing, Y.; Wang, Z.; Liu, L.; Xu, Y.; Yang, Y.; Liu, S.; Zhou, F.; He, S.; Li, C. Defects and Failure Types of Solid Insulation in Gas-insulated Switchgear: In Situ Study and Case Analysis. High Volt. 2022, 7, 158–164. [Google Scholar] [CrossRef]
- Li, J.; Liang, H.; Chen, Y.; Du, B. Promising Functional Graded Materials for Compact Gaseous Insulated Switchgears/Pipelines. High Volt. 2020, 5, 231–240. [Google Scholar] [CrossRef]
- Dewangan, B.; Chakladar, N.D. Modelling of Residual Stress During Curing of A Polymer Under Autoclave Conditions and Experimental Validation. Comput. Mater. Sci. 2024, 241, 113038. [Google Scholar] [CrossRef]
- Hao, Y.P.; Zhang, Y.Y.; Shen, Z.K.; Du, D.Y.; Huang, S.L.; Liu, L.; Huang, L. Fiber Bragg Grating Detection of Gel Time and Residual Strain of Curing in Epoxy Resins. Polym. Eng. Sci. 2024, 64, 3101–3108. [Google Scholar] [CrossRef]
- Yang, L.; Ding, A.X.; Xu, M.; Li, Y.F.; Zhao, X.H.; Peng, J.X.; Li, X. Characterization of Potting Epoxy Resins Performance Parameters Based on a Viscoelastic Constitutive Model. Polymers 2024, 16, 930. [Google Scholar] [CrossRef] [PubMed]
- Wang, C.; Zhu, W.Y.; Zhou, G.; Wang, Y.; Chen, C.; Li, X.; Zhang, Z.Q. Mechanism of Stress Generation at the Epoxy-Epoxy Interface. Colloids Surf. A-Physicochem. Eng. Asp. 2024, 685, 133209. [Google Scholar] [CrossRef]
- Qu, C.Y.; Zhang, X.; Wang, D.Z.; Fan, X.P.; Li, H.F.; Liu, C.W.; Feng, H.; Wang, R.K.; Guo, K.; Tian, Y.A.; et al. Residual Stress and Thermal Properties of Rubber-Modified Epoxy Systems for Semiconductor Package. J. Appl. Polym. Sci. 2022, 139, 51786. [Google Scholar] [CrossRef]
- Ye, Y.Y.; Zhang, F.; Chen, Q.S.; Xu, Q.; Ke, Y.L. Viscosity-Coupled Curing Simulation Model for L-Shaped Composites Considering Flow and Compaction. Polym. Compos. 2024, 45, 12932–12947. [Google Scholar] [CrossRef]
- Balaji, A.; Sbarufatti, C.; Dumas, D.; Parmentier, A.; Pierard, O.; Cadini, F. Prediction of Shape Distortions in Thermosetting Composite Parts Using Neural Network Interfaced Visco-Elastic Constitutive Model. J. Compos. Mater. 2024, 58, 1439–1459. [Google Scholar] [CrossRef]
- Wu, R.; Zhou, W.; Fan, Z.H.; Zhou, W.X.; Xiong, Y.J. Analysis of the Curing Deformation of Polyurethane Composite Solar Cell Bezels. Symmetry 2024, 16, 463. [Google Scholar] [CrossRef]
- Yu, X.; Wen, W.; Chunchu, T.; Cuicui, L.; Shaobo, H.; Chen, W. Application of Newly Developed Epoxy-Anhydride VPI resin for High Voltage Motors and Generators. In Proceedings of the 2015 IEEE Electrical Insulation Conference (EIC), Seattle, WA, USA, 7–10 June 2015; pp. 511–514. [Google Scholar]
- Han, Y.X.; Shi, X.T.; Yang, X.T.; Guo, Y.Q.; Zhang, J.L.; Kong, J.; Gu, J.W. Enhanced Thermal Conductivities of Epoxy Nanocomposites Via Incorporating In-Situ Fabricated Hetero-Structured SiC-BNNS Fillers. Compos. Sci. Technol. 2020, 187, 107944. [Google Scholar] [CrossRef]
- Guo, R.; Gu, Y.; Zhou, Y.; Wang, S.; Li, M. On-Line Cure Monitoring of Phenol Formaldehyde Resin Using Embedded Fiber Bragg Grating Sensor. Mater. Today Commun. 2024, 39, 109114. [Google Scholar] [CrossRef]
- Shen, X.Y. Cure Monitoring of Composites Based on Embedded Fiber Bragg Gratings. In Proceedings of the International Conference on Mechatronics and Intelligent Materials, Lijiang, China, 21–22 May 2011. [Google Scholar]
- Case, S.L.; O’Brien, E.P.; Ward, T.C. Cure Profiles, Crosslink Density, Residual Stresses, and Adhesion in a Model Epoxy. Polymer 2005, 46, 10831–10840. [Google Scholar] [CrossRef]
- Ortega, A.M.; Kasprzak, S.E.; Yakacki, C.M.; Diani, J.; Greenberg, A.R.; Gall, K. Structure-Property Relationships in Photopolymerizable Polymer Networks: Effect of Composition on the Crosslinked Structure and Resulting Thermomechanical Properties of a (meth)acrylate-Based System. J. Appl. Polym. Sci. 2008, 110, 1559–1572. [Google Scholar] [CrossRef]
- Wang, X.X. Numerical Simulation of Curing Deformation of Thermosetting Resin Matrix Composites. Ph.D. Thesis, Shandong University, Jinan, China, 2012. [Google Scholar]
- Hardis, R.; Jessop, J.L.P.; Peters, F.E.; Kessler, M.R. Cure Kinetics Characterization and Monitoring of an Epoxy Resin Using DSC, Raman Spectroscopy, and DEA. Compos. Part A-Appl. Sci. Manuf. 2013, 49, 100–108. [Google Scholar] [CrossRef]
- Vyazovkin, S.; Sbirrazzuoli, N. Isoconversional Kinetic Analysis of Thermally Stimulated Processes in Polymers. Macromol. Rapid Commun. 2006, 27, 1515–1532. [Google Scholar] [CrossRef]
- Yang, C.; Jiang, X.L.; Sun, K. Isothermal Cure Kinetics of Epoxy Resin/Montmorillionite Composites Cured by Acid Anhydride. Acta Phys.-Chim. Sin. 2005, 21, 681–685. [Google Scholar] [CrossRef]
- Schafran, B. Chemorheology of Bismaleimide Resins. Master’s Thesis, Polytechnic University, New York, NY, USA, 1990. [Google Scholar]
- Sultania, M.; Rai, J.S.P.; Srivastava, D. Kinetic Modeling of Esterification of Cardanol-Based Epoxy Resin in the Presence of Triphenylphosphine for Producing Vinyl Ester Resin: Mechanistic Rate Equation. J. Appl. Polym. Sci. 2010, 118, 1979–1989. [Google Scholar] [CrossRef]
- Rosu, D.; Cascaval, C.N.; Mustata, F.; Ciobanu, C. Cure Kinetics of Epoxy Resins Studied by Non-Isothermal DSC Data. Thermochim. Acta 2002, 383, 119–127. [Google Scholar] [CrossRef]
- Wang, J.W.; Laborie, M.P.G.; Wolcott, M.P. Comparison of Model-Fitting Kinetics for Predicting the Cure Behavior of Commercial Phenol-Formaldehyde Resins. J. Appl. Polym. Sci. 2007, 105, 1289–1296. [Google Scholar] [CrossRef]
- Phansalkar, S.P.; Han, B.T. Deterministic Approach to Obtain Autocatalytic Cure Kinetics Model Constants by Normal Equations of Least-Squares Method. IEEE Trans. Compon. Packag. Manuf. Technol. 2024, 14, 743–746. [Google Scholar] [CrossRef]
- Wang, C.S.; Kwag, C. Cure Kinetics of an Epoxy-Anhydride-Imidazole Resin System by Isothermal DSC. Polym. Polym. Compos. 2006, 14, 445–454. [Google Scholar] [CrossRef]
- Jankovic, B. The Kinetic Analysis Of Isothermal Curing Reaction of an Unsaturated Polyester Resin: Estimation of the Density Distribution Function of the Apparent Activation Energy. Chem. Eng. J. 2010, 162, 331–340. [Google Scholar] [CrossRef]
- Málek, J. Kinetic Analysis of Crystallization Processes in Amorphous Materials. Thermochim. Acta 2000, 355, 239–253. [Google Scholar] [CrossRef]
- Starink, M.J. A New Method for the Derivation of Activation Energies from Experiments Performed at Constant Heating Rate. Thermochim. Acta 1996, 288, 97–104. [Google Scholar] [CrossRef]
- Chen, D.; Gao, X.; Dollimore, D. A Generalized form of the Kissinger equation. Thermochim. Acta 1993, 215, 109–117. [Google Scholar] [CrossRef]
- Ozawa, T. Kinetic Analysis of Derivative Curves in Thermal Analysis. J. Therm. Anal. 1970, 2, 301–324. [Google Scholar] [CrossRef]
- Ozawa, T. Estimation of Activation Energy by Isoconversion Methods. Thermochim. Acta 1992, 203, 159–165. [Google Scholar] [CrossRef]
- Starink, M.J. The Determination of Activation Energy from Linear Heating Rate Experiments: A Comparison of the Accuracy of Isoconversion Methods. Thermochim. Acta 2003, 404, 163–176. [Google Scholar] [CrossRef]
- Kandelbauer, A.; Wuzella, G.; Mahendran, A.; Taudes, I.; Widsten, P. Model-Free Kinetic Analysis of Melamine–Formaldehyde Resin Cure. Chem. Eng. J. 2009, 152, 556–565. [Google Scholar] [CrossRef]
- Kada-Benameur, H.; Wirquin, E.; Duthoit, B. Determination of Apparent Activation Energy of Concrete by Isothermal Calorimetry. Cem. Concr. Res. 2000, 30, 301–305. [Google Scholar] [CrossRef]
- Cai, H.; Li, P.; Sui, G.; Yu, Y.; Li, G.; Yang, X.; Ryu, S. Curing Kinetics Study of Epoxy Resin/Flexible Amine Toughness Systems by Dynamic and Isothermal DSC. Thermochim. Acta 2008, 473, 101–105. [Google Scholar] [CrossRef]
- Kamal, M.R. Thermoset characterization for moldability analysis. Polym. Eng. Sci. 1974, 14, 231–239. [Google Scholar] [CrossRef]
- Robertson, I.D.; Yourdkhani, M.; Centellas, P.J.; Aw, J.E.; Ivanoff, D.G.; Goli, E.; Lloyd, E.M.; Dean, L.M.; Sottos, N.R.; Geubelle, P.H.; et al. Rapid Energy-Efficient Manufacturing of Polymers and Composites via Frontal Polymerization. Nature 2018, 557, 223–227. [Google Scholar] [CrossRef] [PubMed]
- Goli, E.; Parikh, N.A.; Yourdkhani, M.; Hibbard, N.G.; Moore, J.S.; Sottos, N.R.; Geubelle, P.H. Frontal Polymerization of Unidirectional Carbon-Fiber-Reinforced Composites. Compos. Part A Appl. Sci. Manuf. 2020, 130, 105689. [Google Scholar] [CrossRef]
- Tarafdar, A.; Jia, C.; Hu, W.; Hosein, I.D.; Fu, K.; Wang, Y. Three-Dimensional Modeling of Frontal Polymerization for Rapid, Efficient, and Uniform Thermoset Composites Manufacturing. Compos. Part B Eng. 2023, 266, 111029. [Google Scholar] [CrossRef]
- Wang, Y.Q. Modeling the Through-Thickness Frontal Polymerization of Unidirectional Carbon Fiber Thermoset Composites: Effect of Microstructures. J. Appl. Polym. Sci. 2022, 139, e52735. [Google Scholar] [CrossRef]
- Šesták, J.; Berggren, G. Study of the Kinetics of the Mechanism of Solid-State Reactions at Increasing Temperatures. Thermochim. Acta 1971, 3, 1–12. [Google Scholar] [CrossRef]
- Wang, C.; Zhou, G.; Sun, Q.; Chen, C.; Zhang, Z.; Li, H.; Peng, Z. Numerical Simulation of the Interfacial Stress Between Epoxy Resin and Metal Conductor of Power Equipment During Epoxy Curing. High Volt. 2022, 7, 903–915. [Google Scholar] [CrossRef]
- Chern, B.-C.; Moon, T.J.; Howell, J.R. Measurement of the Temperature and Cure Dependence of the Thermal Conductivity of Epoxy Resin. Exp. Heat Transf. 1993, 6, 157–174. [Google Scholar] [CrossRef]
- Li, X.; Wang, J.; Li, S.; Ding, A. Cure-Induced Temperature Gradient in Laminated Composite Plate: Numerical Simulation and Experimental Measurement. Compos. Struct. 2020, 253, 112822. [Google Scholar] [CrossRef]
- Bogetti, T.A.; Gillespie, J.W. Process-Induced Stress and Deformation in Thick-Section Thermoset Composite Laminates. J. Compos. Mater. 1992, 26, 626–660. [Google Scholar] [CrossRef]
- Feng, Y.C.; Zheng, W.K.; Zhao, Z.Z.; Liang, B.; Ye, H.T.; Ge, Q.; Zhang, X.Y.; Zhang, W.Z. Characterization and Finite Element Modeling for Thermoset Resin of Carbon Fiber Prepregs During Curing. J. Manuf. Sci. Eng.-Trans. ASME 2022, 144, 081007. [Google Scholar] [CrossRef]
- O’Brien, D.J.; Mather, P.T.; White, S.R. Viscoelastic Properties of an Epoxy Resin During Cure. J. Compos. Mater. 2001, 35, 883–904. [Google Scholar] [CrossRef]
- Kim, Y.K.; White, S.R. Stress Relaxation Behavior of 3501-6 Epoxy Resin During Cure. Polym. Eng. Sci. 1996, 36, 2852–2862. [Google Scholar] [CrossRef]
- Dai, J.F.; Xi, S.B.; Li, D.N. Numerical Analysis of Curing Residual Stress and Deformation in Thermosetting Composite Laminates with Comparison between Different Constitutive Models. Materials 2019, 12, 572. [Google Scholar] [CrossRef] [PubMed]














| Heating Rate (K/min) | (°C) | (°C) | (°C) | |
|---|---|---|---|---|
| 5 | 103.6 | 112.8 | 127.8 | 198.2 |
| 10 | 110.2 | 121.0 | 135.8 | 187.2 |
| 15 | 114.5 | 127.4 | 141.3 | 192.5 |
| 20 | 118.4 | 132.1 | 145.8 | 192.6 |
| Slope | R-Squared | ||
|---|---|---|---|
| 0.1 | −12,080.9 | 100.3607 | 0.99956 |
| 0.2 | −12,050.2 | 100.1052 | 0.99912 |
| 0.3 | −11,364.3 | 94.40691 | 0.99532 |
| 0.4 | −11,590.8 | 96.28893 | 0.99952 |
| 0.5 | −11,152.3 | 92.64607 | 0.99761 |
| 0.6 | −11,324 | 94.07278 | 0.99747 |
| 0.7 | −11,398.3 | 94.68944 | 0.99751 |
| 0.8 | −11,545.9 | 95.91561 | 0.99851 |
| 0.9 | −11,449.3 | 95.11346 | 0.99884 |
| (K/min) | R-Squared | |||
|---|---|---|---|---|
| 5 | 25.6134 | 0.35678 | 1.22978 | 0.99772 |
| 10 | 25.72109 | 0.44207 | 1.26424 | 0.99917 |
| 15 | 25.72341 | 0.47535 | 1.24681 | 0.99984 |
| 20 | 25.70551 | 0.50076 | 1.26355 | 0.99992 |
| Average | 25.69085 | 0.44374 | 1.251095 | 0.99916 |
| Material Properties | Unit | Before Curing | Cured |
|---|---|---|---|
| Thermal Conductivity | 0.21 | 0.23 | |
| Specific Heat Capacity | 1908 | 1273 | |
| Density | 1.12 | 1.169 |
Disclaimer/Publisher’s Note: The statements, opinions and data contained in all publications are solely those of the individual author(s) and contributor(s) and not of MDPI and/or the editor(s). MDPI and/or the editor(s) disclaim responsibility for any injury to people or property resulting from any ideas, methods, instructions or products referred to in the content. |
© 2024 by the authors. Licensee MDPI, Basel, Switzerland. This article is an open access article distributed under the terms and conditions of the Creative Commons Attribution (CC BY) license (https://creativecommons.org/licenses/by/4.0/).
Share and Cite
Ma, M.; Gan, H.; Shang, X.; Song, L.; Zhang, Y.; Liu, J.; Liu, C.; Hao, Y.; Zhang, X. Residual Stress Analysis at the Conductor–Insulator Interface During the Curing Process of Hair-Pin Motors. Polymers 2024, 16, 3514. https://doi.org/10.3390/polym16243514
Ma M, Gan H, Shang X, Song L, Zhang Y, Liu J, Liu C, Hao Y, Zhang X. Residual Stress Analysis at the Conductor–Insulator Interface During the Curing Process of Hair-Pin Motors. Polymers. 2024; 16(24):3514. https://doi.org/10.3390/polym16243514
Chicago/Turabian StyleMa, Mingze, Hongyi Gan, Xiao Shang, Linsen Song, Yiwen Zhang, Jingru Liu, Chunbai Liu, Yanzhong Hao, and Xinming Zhang. 2024. "Residual Stress Analysis at the Conductor–Insulator Interface During the Curing Process of Hair-Pin Motors" Polymers 16, no. 24: 3514. https://doi.org/10.3390/polym16243514
APA StyleMa, M., Gan, H., Shang, X., Song, L., Zhang, Y., Liu, J., Liu, C., Hao, Y., & Zhang, X. (2024). Residual Stress Analysis at the Conductor–Insulator Interface During the Curing Process of Hair-Pin Motors. Polymers, 16(24), 3514. https://doi.org/10.3390/polym16243514

