Enhanced Thermal Conductivity of High-Density Polyethylene Composites with Hybrid Fillers of Flaky and Spherical Boron Nitride Particles
Abstract
1. Introduction
2. Experimental Approach
2.1. Materials
2.2. Sample Preparation
2.3. Characterization
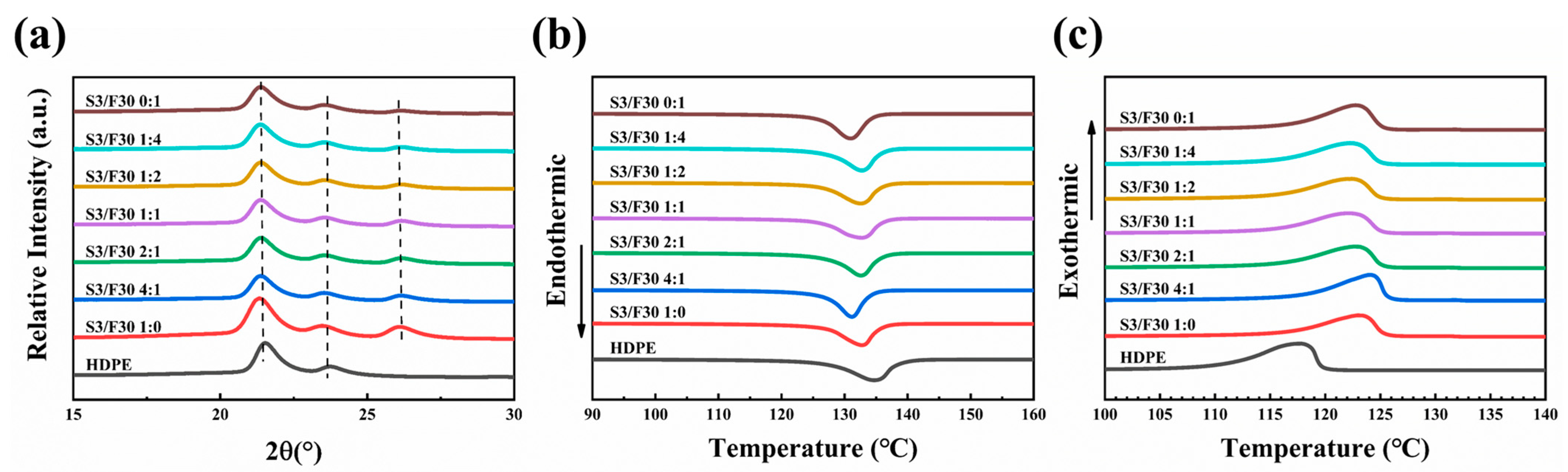
3. Results and Discussion
4. Conclusions
Author Contributions
Funding
Institutional Review Board Statement
Data Availability Statement
Conflicts of Interest
References
- Cheng, H.; Xing, L.; Zuo, Y.; Pan, Y.; Huang, M.; Alhadhrami, A.; Ibrahim, M.M.; El-Bahy, Z.M.; Liu, C.; Shen, C.; et al. Constructing nickel chain/MXene networks in melamine foam towards phase change materials for thermal energy management and absorption-dominated electromagnetic interference shielding. Adv. Compos. Hybrid Mater. 2022, 5, 755–765. [Google Scholar] [CrossRef]
- Gao, Q.; Wang, X.; Schubert, D.W.; Liu, X. Review on Polymer/MXene composites for electromagnetic interference shielding applications. Adv. Nanocomposites 2023, 1, 52–76. [Google Scholar] [CrossRef]
- Li, S.; Zheng, Q.; Lv, Y.; Liu, X.; Wang, X.; Huang, P.Y.; Cahill, D.G.; Lv, B. High thermal conductivity in cubic boron arsenide crystals. Science 2018, 361, 579–581. [Google Scholar] [CrossRef]
- Zhang, Y.; Hao, N.; Lin, X.; Nie, S. Emerging challenges in the thermal management of cellulose nanofibril-based supercapacitors, lithium-ion batteries and solar cells: A review. Carbohydr. Polym. 2020, 234, 115888. [Google Scholar] [CrossRef] [PubMed]
- Guo, M.; Kashfipour, M.A.; Li, Y.; Dent, R.S.; Zhu, J.; Maia, J.M. Structure-Rheology-Property relationships in double-percolated Polypropylene/Poly(methyl methacrylate)/Boron nitride polymer composites. Compos. Sci. Technol. 2020, 198, 108306. [Google Scholar] [CrossRef]
- Schelling, P.K.; Shi, L.; Goodson, K.E. Managing heat for electronics. Mater. Today 2005, 8, 30–35. [Google Scholar] [CrossRef]
- Chen, X.; Su, Y.; Reay, D.; Riffat, S. Recent research developments in polymer heat exchangers—A review. Renew. Sustain. Energy Rev. 2016, 60, 1367–1386. [Google Scholar] [CrossRef]
- Zha, X.-J.; Yang, J.; Pu, J.-H.; Feng, C.-P.; Bai, L.; Bao, R.-Y.; Liu, Z.-Y.; Yang, M.-B.; Yang, W. Enhanced Thermal Conductivity and Balanced Mechanical Performance of PP/BN Composites with 1 vol% Finely Dispersed MWCNTs Assisted by OBC. Adv. Mater. Interfaces 2019, 6, 1900081. [Google Scholar] [CrossRef]
- Ordonez-Miranda, J.; Alvarado-Gil, J.J. Thermal conductivity of nanocomposites with high volume fractions of particles. Compos. Sci. Technol. 2012, 72, 853–857. [Google Scholar] [CrossRef]
- Yang, J.; Chan, K.-Y.; Venkatesan, H.; Kim, E.; Adegun, M.H.; Lee, J.-H.; Shen, X.; Kim, J.-K. Superinsulating BNNS/PVA Composite Aerogels with High Solar Reflectance for Energy-Efficient Buildings. Nano Micro Lett. 2022, 14, 54. [Google Scholar] [CrossRef]
- Gao, Q.; Pan, Y.; Zheng, G.; Liu, C.; Shen, C.; Liu, X. Flexible multilayered MXene/thermoplastic polyurethane films with excellent electromagnetic interference shielding, thermal conductivity, and management performances. Adv. Compos. Hybrid Mater. 2021, 4, 274–285. [Google Scholar] [CrossRef]
- Chen, H.; Ginzburg, V.V.; Yang, J.; Yang, Y.; Liu, W.; Huang, Y.; Du, L.; Chen, B. Thermal conductivity of polymer-based composites: Fundamentals and applications. Prog. Polym. Sci. 2016, 59, 41–85. [Google Scholar] [CrossRef]
- Kim, G.-H.; Lee, D.; Shanker, A.; Shao, L.; Kwon, M.S.; Gidley, D.; Kim, J.; Pipe, K.P. High thermal conductivity in amorphous polymer blends by engineered interchain interactions. Nat. Mater. 2015, 14, 295–300. [Google Scholar] [CrossRef] [PubMed]
- Dai, W.; Yu, J.; Liu, Z.; Wang, Y.; Song, Y.; Lyu, J.; Bai, H.; Nishimura, K.; Jiang, N. Enhanced thermal conductivity and retained electrical insulation for polyimide composites with SiC nanowires grown on graphene hybrid fillers. Compos. Part A Appl. Sci. Manuf. 2015, 76, 73–81. [Google Scholar] [CrossRef]
- Hu, X.; Wu, H.; Lu, X.; Liu, S.; Qu, J. Improving thermal conductivity of ethylene propylene diene monomer/paraffin/expanded graphite shape-stabilized phase change materials with great thermal management potential via green steam explosion. Adv. Compos. Hybrid Mater. 2021, 4, 478–491. [Google Scholar] [CrossRef]
- Huang, C.; Qian, X.; Yang, R. Thermal conductivity of polymers and polymer nanocomposites. Mater. Sci. Eng. R Rep. 2018, 132, 1–22. [Google Scholar] [CrossRef]
- Bai, L.; Zhao, X.; Bao, R.-Y.; Liu, Z.-Y.; Yang, M.-B.; Yang, W. Effect of temperature, crystallinity and molecular chain orientation on the thermal conductivity of polymers: A case study of PLLA. J. Mater. Sci. 2018, 53, 10543–10553. [Google Scholar] [CrossRef]
- Li, L.; Qin, Y.; Wang, H.; Li, M.; Song, G.; Wu, Y.; Wei, X.; Ali, Z.; Yi, J.; Song, S.; et al. Improving thermal conductivity of poly(vinyl alcohol) composites by using functionalized nanodiamond. Compos. Commun. 2021, 23, 100596. [Google Scholar] [CrossRef]
- Ruan, K.; Zhong, X.; Shi, X.; Dang, J.; Gu, J. Liquid crystal epoxy resins with high intrinsic thermal conductivities and their composites: A mini-review. Mater. Today Phys. 2021, 20, 100456. [Google Scholar] [CrossRef]
- Haggenmueller, R.; Guthy, C.; Lukes, J.R.; Fischer, J.E.; Winey, K.I. Single wall carbon nanotube/polyethylene nanocomposites: Thermal and electrical conductivity. Macromolecules 2007, 40, 2417–2421. [Google Scholar] [CrossRef]
- Shanker, A.; Li, C.; Kim, G.; Gidley, D.; Pipe, K.P.; Kim, J. High thermal conductivity in electrostatically engineered amorphous polymers. Sci. Adv. 2017, 3, e1700342, Erratum in Sci. Adv. 2018, 4, eaau4831. [Google Scholar] [CrossRef] [PubMed]
- Zhang, X.; Dong, J.; Pan, D.; Yang, G.; Su, F.; Ji, Y.; Liu, C.; Shen, C. Constructing dual thermal conductive networks in electrospun polyimide membranes with highly thermally conductivity but electrical insulation properties. Adv. Compos. Hybrid Mater. 2021, 4, 1102–1112. [Google Scholar] [CrossRef]
- Qin, M.; Xu, Y.; Cao, R.; Feng, W.; Chen, L. Efficiently Controlling the 3D Thermal Conductivity of a Polymer Nanocomposite via a Hyperelastic Double-Continuous Network of Graphene and Sponge. Adv. Funct. Mater. 2018, 28, 1805053. [Google Scholar] [CrossRef]
- Xiao, Y.-J.; Wang, W.-Y.; Lin, T.; Chen, X.-J.; Zhang, Y.-T.; Yang, J.-H.; Wang, Y.; Zhou, Z.-W. Largely Enhanced Thermal Conductivity and High Dielectric Constant of Poly(vinylidene fluoride)/Boron Nitride Composites Achieved by Adding a Few Carbon Nanotubes. J. Phys. Chem. C 2016, 120, 6344–6355. [Google Scholar] [CrossRef]
- Liu, X.; Pan, Y.; Zheng, G.; Schubert, D.W. Rheological and electrical behavior of poly(methyl methacrylate)/carbon black composites as investigated by creep recovery in shear. Compos. Sci. Technol. 2016, 128, 1–7. [Google Scholar] [CrossRef]
- Han, Z.; Fina, A. Thermal conductivity of carbon nanotubes and their polymer nanocomposites: A review. Prog. Polym. Sci. 2011, 36, 914–944. [Google Scholar] [CrossRef]
- Kumar, A.; Sharma, K.; Dixit, A.R. A review of the mechanical and thermal properties of graphene and its hybrid polymer nanocomposites for structural applications. J. Mater. Sci. 2019, 54, 5992–6026. [Google Scholar] [CrossRef]
- Li, X.; Li, C.; Zhang, X.; Jiang, Y.; Xia, L.; Wang, J.; Song, X.; Wu, H.; Guo, S. Simultaneously enhanced thermal conductivity and mechanical properties of PP/BN composites via constructing reinforced segregated structure with a trace amount of BN wrapped PP fiber. Chem. Eng. J. 2020, 390, 124563. [Google Scholar] [CrossRef]
- Oluwalowo, A.; Nam, N.; Zhang, S.; Park, J.G.; Liang, R. Electrical and thermal conductivity improvement of carbon nanotube and silver composites. Carbon 2019, 146, 224–231. [Google Scholar] [CrossRef]
- Dong, J.; Cao, L.; Li, Y.; Wu, Z.; Teng, C. Largely improved thermal conductivity of PI/BNNS nanocomposites obtained by constructing a 3D BNNS network and filling it with AgNW as the thermally conductive bridges. Compos. Sci. Technol. 2020, 196, 108242. [Google Scholar] [CrossRef]
- Shojaei, A.; Fahimian, M.; Derakhshandeh, B. Thermally conductive rubber-based composite friction materials for railroad brakes—Thermal conduction characteristics. Compos. Sci. Technol. 2007, 67, 2665–2674. [Google Scholar] [CrossRef]
- Xu, F.; Bao, D.; Cui, Y.; Gao, Y.; Lin, D.; Wang, X.; Peng, J.; Geng, H.; Wang, H. Copper nanoparticle-deposited graphite sheets for highly thermally conductive polymer composites with reduced interfacial thermal resistance. Adv. Compos. Hybrid Mater. 2022, 5, 2235–2246. [Google Scholar] [CrossRef]
- Boudenne, A.; Ibos, L.; Fois, M.; Majeste, J.C.; Gehin, E. Electrical and thermal behavior of polypropylene filled with copper particles. Compos. Part A Appl. Sci. Manuf. 2005, 36, 1545–1554. [Google Scholar] [CrossRef]
- Zhong, B.; Zou, J.; An, L.; Ji, C.; Huang, X.; Liu, W.; Yu, Y.; Wang, H.; Wen, G.; Zhao, K.; et al. The effects of the hexagonal boron nitride nanoflake properties on the thermal conductivity of hexagonal boron nitride nanoflake/silicone rubber composites. Compos. Part A Appl. Sci. Manuf. 2019, 127, 105629. [Google Scholar] [CrossRef]
- Feng, M.; Pan, Y.; Zhang, M.; Gao, Q.; Liu, C.; Shen, C.; Liu, X. Largely improved thermal conductivity of HDPE composites by building a 3D hybrid fillers network. Compos. Sci. Technol. 2021, 206, 108666. [Google Scholar] [CrossRef]
- Yan, H.; Dai, X.; Ruan, K.; Zhang, S.; Shi, X.; Guo, Y.; Cai, H.; Gu, J. Flexible thermally conductive and electrically insulating silicone rubber composite films with BNNS@Al2O3 fillers. Adv. Compos. Hybrid Mater. 2021, 4, 36–50. [Google Scholar] [CrossRef]
- Hwang, Y.; Kim, M.; Kim, J. Fabrication of surface-treated SiC/epoxy composites through a wetting method for enhanced thermal and mechanical properties. Chem. Eng. J. 2014, 246, 229–237. [Google Scholar] [CrossRef]
- Ma, H.-L.; Zhang, H.-B.; Hu, Q.-H.; Li, W.-J.; Jiang, Z.-G.; Yu, Z.-Z.; Dasari, A. Functionalization and Reduction of Graphene Oxide with p-Phenylene Diamine for Electrically Conductive and Thermally Stable Polystyrene Composites. Acs Appl. Mater. Interfaces 2012, 4, 1948–1953. [Google Scholar] [CrossRef]
- Guan, J.; Xing, C.; Wang, Y.; Li, Y.; Li, J. Poly (vinylidene fluoride) dielectric composites with both ionic nanoclusters and well dispersed graphene oxide. Compos. Sci. Technol. 2017, 138, 98–105. [Google Scholar] [CrossRef]
- Huang, H.; Liu, C.H.; Wu, Y.; Fan, S.S. Aligned carbon nanotube composite films for thermal management. Adv. Mater. 2005, 17, 1652–1656. [Google Scholar] [CrossRef]
- Yu, S.; Lee, J.-W.; Han, T.H.; Park, C.; Kwon, Y.; Hong, S.M.; Koo, C.M. Copper Shell Networks in Polymer Composites for Efficient Thermal Conduction. Acs Appl. Mater. Interfaces 2013, 5, 11618–11622. [Google Scholar] [CrossRef] [PubMed]
- Park, J.G.; Cheng, Q.; Lu, J.; Bao, J.; Li, S.; Tian, Y.; Liang, Z.; Zhang, C.; Wang, B. Thermal conductivity of MWCNT/epoxy composites: The effects of length, alignment and functionalization. Carbon 2012, 50, 2083–2090. [Google Scholar] [CrossRef]
- Chen, J.; Huang, X.; Sun, B.; Jiang, P. Highly Thermally Conductive Yet Electrically Insulating Polymer/Boron Nitride Nanosheets Nanocomposite Films for Improved Thermal Management Capability. Acs Nano 2019, 13, 337–345. [Google Scholar] [CrossRef] [PubMed]
- Wang, Y.; Zhang, W.; Feng, M.; Qu, M.; Cai, Z.; Yang, G.; Pan, Y.; Liu, C.; Shen, C.; Liu, X. The influence of boron nitride shape and size on thermal conductivity, rheological and passive cooling properties of polyethylene composites. Compos. Part A Appl. Sci. Manuf. 2022, 161, 107117. [Google Scholar] [CrossRef]
- Wang, X.; Pakdel, A.; Zhang, J.; Weng, Q.; Zhai, T.; Zhi, C.; Golberg, D.; Bando, Y. Large-surface-area BN nanosheets and their utilization in polymeric composites with improved thermal and dielectric properties. Nanoscale Res. Lett. 2012, 7, 662. [Google Scholar] [CrossRef]
- Lin, Z.; McNamara, A.; Liu, Y.; Moon, K.-S.; Wong, C.-P. Exfoliated hexagonal boron nitride-based polymer nanocomposite with enhanced thermal conductivity for electronic encapsulation. Compos. Sci. Technol. 2014, 90, 123–128. [Google Scholar] [CrossRef]
- Xie, B.-H.; Huang, X.; Zhang, G.-J. High thermal conductive polyvinyl alcohol composites with hexagonal boron nitride microplatelets as fillers. Compos. Sci. Technol. 2013, 85, 98–103. [Google Scholar] [CrossRef]
- Bian, W.; Yao, T.; Chen, M.; Zhang, C.; Shao, T.; Yang, Y. The synergistic effects of the micro-BN and nano-Al2O3 in micro-nano composites on enhancing the thermal conductivity for insulating epoxy resin. Compos. Sci. Technol. 2018, 168, 420–428. [Google Scholar] [CrossRef]
- Cho, J.K.; Sun, H.; Seo, H.W.; Chung, J.-Y.; Seol, M.; Kim, S.-H.; Kim, R.-S.; Park, I.-K.; Suhr, J.; Park, J.C.; et al. Heat dissipative mechanical damping properties of EPDM rubber composites including hybrid fillers of aluminium nitride and boron nitride. Soft Matter 2020, 16, 6812–6818. [Google Scholar] [CrossRef]
- Li, J.; Leng, J.; Jiang, Y.; Zhang, J. Experimental characterization of 3D printed PP/h-BN thermally conductive composites with highly oriented h-BN and the effects of filler size. Compos. Part A Appl. Sci. Manuf. 2021, 150, 106586. [Google Scholar] [CrossRef]





| Mass Ratio of S3/F30 | 1:0 | 4:1 | 2:1 | 1:1 | 1:2 | 1:4 | 0:1 |
|---|---|---|---|---|---|---|---|
| Sample | S3/F30 1:0 | S3/F30 4:1 | S3/F30 2:1 | S3/F30 1:1 | S3/F30 1:2 | S3/F30 1:4 | S3/F30 0:1 |
| Sample | HDPE | S3/F30 1:0 | S3/F30 4:1 | S3/F30 2:1 | S3/F30 1:1 | S3/F30 1:2 | S3/F30 1:4 | S3/F30 0:1 |
|---|---|---|---|---|---|---|---|---|
| T5%/°C | 424.79 | 446.14 | 443.58 | 441.09 | 443.58 | 444.04 | 446.10 | 438.58 |
| TMAX/°C | 467.35 | 479.85 | 484.68 | 482.72 | 484.71 | 485.03 | 485.92 | 475.07 |
| TM/°C | 134.73 | 132.77 | 131.16 | 132.62 | 132.70 | 132.53 | 132.25 | 130.97 |
| TC/°C | 117.79 | 123.02 | 124.16 | 122.69 | 122.14 | 122.37 | 122.25 | 122.76 |
| XC/% (WAXD) | 66.9 | 68.9 | 73.6 | 72.7 | 71.3 | 72.4 | 73.9 | 69.5 |
| XC/% (DSC) | 67.3 | 71.1 | 74.8 | 73.6 | 72.5 | 71.8 | 74.1 | 71.4 |
Disclaimer/Publisher’s Note: The statements, opinions and data contained in all publications are solely those of the individual author(s) and contributor(s) and not of MDPI and/or the editor(s). MDPI and/or the editor(s) disclaim responsibility for any injury to people or property resulting from any ideas, methods, instructions or products referred to in the content. |
© 2024 by the authors. Licensee MDPI, Basel, Switzerland. This article is an open access article distributed under the terms and conditions of the Creative Commons Attribution (CC BY) license (https://creativecommons.org/licenses/by/4.0/).
Share and Cite
Gao, Z.; Wang, Y.; Zhang, B.; Liu, L.; Liu, X. Enhanced Thermal Conductivity of High-Density Polyethylene Composites with Hybrid Fillers of Flaky and Spherical Boron Nitride Particles. Polymers 2024, 16, 268. https://doi.org/10.3390/polym16020268
Gao Z, Wang Y, Zhang B, Liu L, Liu X. Enhanced Thermal Conductivity of High-Density Polyethylene Composites with Hybrid Fillers of Flaky and Spherical Boron Nitride Particles. Polymers. 2024; 16(2):268. https://doi.org/10.3390/polym16020268
Chicago/Turabian StyleGao, Zhenliang, Yiding Wang, Baogang Zhang, Li Liu, and Xianhu Liu. 2024. "Enhanced Thermal Conductivity of High-Density Polyethylene Composites with Hybrid Fillers of Flaky and Spherical Boron Nitride Particles" Polymers 16, no. 2: 268. https://doi.org/10.3390/polym16020268
APA StyleGao, Z., Wang, Y., Zhang, B., Liu, L., & Liu, X. (2024). Enhanced Thermal Conductivity of High-Density Polyethylene Composites with Hybrid Fillers of Flaky and Spherical Boron Nitride Particles. Polymers, 16(2), 268. https://doi.org/10.3390/polym16020268

