Study on the Control of Steam Front Mobility in High-Temperature and High-Salinity Conditions Using Polymer-Enhanced Foam
Abstract
1. Introduction
2. Materials and Methods
2.1. Material
2.2. Foamability and Foam Stability Assessment
2.3. Surface Property Measurements
2.4. Viscosity Measurements
2.5. Core Plugging Experiment
3. Results and Discussion
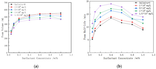
3.1. Salt Tolerance of Betaine Foam
3.2. The Effect of Polymer on Foam Stability
3.3. Thermal Stability of Foam
3.4. Viscosity Analysis
3.5. Analysis of Surfactant Surface Tension
3.6. Foam Flow Characteristics in Porous Media
3.6.1. Pressure Analysis
3.6.2. Flow Rate Analysis
4. Conclusions
Author Contributions
Funding
Institutional Review Board Statement
Data Availability Statement
Acknowledgments
Conflicts of Interest
References
- Strelets, L.A.; Ilyin, S.O. Effect of enhanced oil recovery on the composition and rheological properties of heavy crude oil. J. Pet. Sci. Eng. 2021, 203, 108641. [Google Scholar] [CrossRef]
- Guo, K.; Li, H.; Yu, Z. In-situ heavy and extra-heavy oil recovery: A review. Fuel 2016, 185, 886–902. [Google Scholar] [CrossRef]
- Luo, E.; Fan, Z.; Hu, Y.; Zhao, L.; Bo, B.; Yu, W.; Liang, H.; Liu, M.; Liu, Y.; He, C.; et al. An efficient optimization framework of cyclic steam stimulation with experimental design in extra heavy oil reservoirs. Energy 2020, 192, 116601. [Google Scholar] [CrossRef]
- Zhao, D.W.; Wang, J.; Gates, I.D. Thermal recovery strategies for thin heavy oil reservoirs. Fuel 2014, 117, 431–441. [Google Scholar] [CrossRef]
- Chen, H.; Wang, Z.; Wang, K.; Li, Z.; Li, S. Investigation of EOR mechanism for flue gas assisted SAGD. J. Pet. Sci. Eng. 2020, 193, 107420. [Google Scholar] [CrossRef]
- Ahmadi, M.; Chen, Z. Challenges and future of chemical assisted heavy oil recovery processes. Adv. Colloid Interface Sci. 2020, 275, 102081. [Google Scholar] [CrossRef]
- Farajzadeh, R.; Andrianov, A.; Krastev, R.; Hirasaki, G.J.; Rossen, W.R. Foam-oil interaction in porous media: Implications for foam assisted enhanced oil recovery. Adv. Colloid Interface Sci. 2012, 183, 1–13. [Google Scholar] [CrossRef] [PubMed]
- Espinosa, D.; Caldelas, F.; Johnston, K.; Bryant, S.L.; Huh, C. Nanoparticle-Stabilized Supercritical CO2 Foams for Potential Mobility Control Applications. In Proceedings of the SPE Improved Oil Recovery Symposium, Tulsa, OK, USA, 24–28 April 2010; p. SPE-129925-MS. [Google Scholar]
- Chen, H.; Ji, B.; Wang, F.; Wang, Y.; Zeng, F.; Li, Z.; Jiang, Q. Experimental Investigation on Fractal Characterization of In-Situ Foam in Porous Media. Fractals 2023, 31, 2340184. [Google Scholar] [CrossRef]
- Zhao, L.; Li, A.; Chen, K.; Tang, J.; Fu, S. Development and evaluation of foaming agents for high salinity tolerance. J. Pet. Sci. Eng. 2012, 81, 18–23. [Google Scholar] [CrossRef]
- Wang, Y.; Ge, J.; Zhang, G.; Jiang, P.; Zhang, W.; Lin, Y. Adsorption behavior of dodecyl hydroxypropyl sulfobetaine on limestone in high salinity water. RSC Adv. 2015, 5, 59738–59744. [Google Scholar] [CrossRef]
- Da, C.; Alzobaidi, S.; Jian, G.; Zhang, L.; Biswal, S.L.; Hirasaki, G.J.; Johnston, K.P. Carbon dioxide/water foams stabilized with a zwitterionic surfactant at temperatures up to 150 °C in high salinity brine. J. Pet. Sci. Eng. 2018, 166, 880–890. [Google Scholar] [CrossRef]
- Li, W.; Wei, F.; Xiong, C.; Ouyang, J.; Dai, M.; Shao, L.; Lv, J. Effect of Salinities on Supercritical CO2 Foam Stabilized by a Betaine Surfactant for Improving Oil Recovery. Energy Fuels 2019, 33, 8312–8322. [Google Scholar] [CrossRef]
- Angel Roncoroni, M.; Romero, P.; Montes, J.; Bascialla, G.; Rodriguez, R.; Rodriguez Pons-Esparver, R.; Felipe Mazadiego, L.; Flor Garcia-Mayoral, M. Enhancement of a foaming formulation with a zwitterionic surfactant for gas mobility control in harsh reservoir conditions. Pet. Sci. 2021, 18, 1409–1426. [Google Scholar] [CrossRef]
- Fu, C.; Liu, N. Rheology and stability of nanoparticle-stabilized CO2 foam under reservoir conditions. J. Pet. Sci. Eng. 2021, 196, 107671. [Google Scholar] [CrossRef]
- Durian, D.J. Foam mechanics at the bubble scale. Phys. Rev. Lett. 1995, 75, 4780–4783. [Google Scholar] [CrossRef] [PubMed]
- Ge, J.-J.; Zhang, T.-C.; Pan, Y.-P.; Zhang, X. The effect of betaine surfactants on the association behavior of associating polymer. Pet. Sci. 2021, 18, 1441–1449. [Google Scholar] [CrossRef]
- Langevin, D. Influence of interfacial rheology on foam and emulsion properties. Adv. Colloid Interface Sci. 2000, 88, 209–222. [Google Scholar] [CrossRef] [PubMed]
- Maurdev, G.; Saint-Jalmes, A.; Langevin, D. Bubble motion measurements during foam drainage and coarsening. J. Colloid Interface Sci. 2006, 300, 735–743. [Google Scholar] [CrossRef]
- Saint-Jalmes, A. Physical chemistry in foam drainage and coarsening. Soft Matter 2006, 2, 836–849. [Google Scholar] [CrossRef] [PubMed]
- Chatzigiannakis, E.; Jaensson, N.; Vermant, J. Thin liquid films: Where hydrodynamics, capillarity, surface stresses and intermolecular forces meet. Curr. Opin. Colloid Interface Sci. 2021, 53, 101441. [Google Scholar] [CrossRef]
- Sun, L.; Pu, W.; Xin, J.; Wei, P.; Wang, B.; Li, Y.; Yuan, C. High temperature and oil tolerance of surfactant foam/polymer-surfactant foam. RSC Adv. 2015, 5, 23410–23418. [Google Scholar] [CrossRef]
- Monteux, C. Adsorption of soluble polymers at liquid interfaces and in foams. Comptes Rendus Phys. 2014, 15, 775–785. [Google Scholar] [CrossRef]
- Pan, Y.; Zhou, Y.; Du, X.; Xu, W.; Lu, Y.; Wang, F.; Jiang, M. Preparation of Bio-Foam Material from Steam-Exploded Corn Straw by In Situ Esterification Modification. Polymers 2023, 15, 2222. [Google Scholar] [CrossRef]
- Ahmed, S.; Elraies, K.A.; Tan, I.M.; Hashmet, M.R. Experimental investigation of associative polymer performance for CO2 foam enhanced oil recovery. J. Pet. Sci. Eng. 2017, 157, 971–979. [Google Scholar] [CrossRef]
- Bureiko, A.; Trybala, A.; Kovalchuk, N.; Starov, V. Current applications of foams formed from mixed surfactant-polymer solutions. Adv. Colloid Interface Sci. 2015, 222, 670–677. [Google Scholar] [CrossRef] [PubMed]
- Jin, F.-L.; Zhao, M.; Park, M.; Park, S.-J. Recent Trends of Foaming in Polymer Processing: A Review. Polymers 2019, 11, 953. [Google Scholar] [CrossRef]
- Sun, Q.; Li, Z.; Li, S.; Jiang, L.; Wang, J.; Wang, P. Utilization of Surfactant-Stabilized Foam for Enhanced Oil Recovery by Adding Nanoparticles. Energy Fuels 2014, 28, 2384–2394. [Google Scholar] [CrossRef]
- Li, R.F.; Hirasaki, G.J.; Miller, C.A.; Masalmeh, S.K. Wettability Alteration and Foam Mobility Control in a Layered, 2D Heterogeneous Sandpack. SPE J. 2012, 17, 1207–1220. [Google Scholar] [CrossRef]
- Danov, K.D.; Kralchevska, S.D.; Kralchevsky, P.A.; Ananthapadmanabhan, K.P.; Lips, A. Mixed solutions of anionic and Zwitterionic surfactant (Betaine): Surface-tension isotherms, adsorption, and relaxation kinetics. Langmuir 2004, 20, 5445–5453. [Google Scholar] [CrossRef]
- Wei, P.; Pu, W.; Sun, L.; Wang, B. Research on nitrogen foam for enhancing oil recovery in harsh reservoirs. J. Pet. Sci. Eng. 2017, 157, 27–38. [Google Scholar] [CrossRef]
- Alzobaidi, S.; Da, C.; Vu, T.; Prodanovic, M.; Johnston, K.P. High temperature ultralow water content carbon dioxide-in-water foam stabilized with viscoelastic zwitterionic surfactants. J. Colloid Interface Sci. 2017, 488, 79–91. [Google Scholar] [CrossRef]
- Petkova, R.; Tcholakova, S.; Denkov, N.D. Foaming and Foam Stability for Mixed Polymer-Surfactant Solutions: Effects of Surfactant Type and Polymer Charge. Langmuir 2012, 28, 4996–5009. [Google Scholar] [CrossRef] [PubMed]
- Keshavarzi, B.; Mahmoudvand, M.; Javadi, A.; Bahramian, A.; Miller, R.; Eckert, K. Salt Effects on Formation and Stability of Colloidal Gas Aphrons Produced by Anionic and Zwitterionic Surfactants in Xanthan Gum Solution. Colloids Interfaces 2020, 4, 9. [Google Scholar] [CrossRef]
- Chen, H.; Ji, B.; Wei, B.; Meng, Z.; Li, Y.; Lu, J.; Tang, J. Experimental simulation of enhanced oil recovery on shale rocks using gas injection from material to Characterization: Challenges and solutions. Fuel 2024, 356, 129588. [Google Scholar] [CrossRef]
- Zhao, J.; Dai, C.; Ding, Q.; Du, M.; Feng, H.; Wei, Z.; Chen, A.; Zhao, M. The structure effect on the surface and interfacial properties of zwitterionic sulfobetaine surfactants for enhanced oil recovery. RSC Adv. 2015, 5, 13993–14001. [Google Scholar] [CrossRef]
- Tan, S.N.; Fornasiero, D.; Sedev, R.; Ralston, J. The interfacial conformation of polypropylene glycols and foam behaviour. Colloids Surf. A-Physicochem. Eng. Asp. 2004, 250, 307–315. [Google Scholar] [CrossRef]
- Jhan, Y.-Y.; Tsay, R.-Y. Salt effects on the hydration behavior of zwitterionic poly(sulfobetaine methacrylate) aqueous solutions. J. Taiwan Inst. Chem. Eng. 2014, 45, 3139–3145. [Google Scholar] [CrossRef]
- Biance, A.-L.; Delbos, A.; Pitois, O. How Topological Rearrangements and Liquid Fraction Control Liquid Foam Stability. Phys. Rev. Lett. 2011, 106, 068301. [Google Scholar] [CrossRef]
- Zhang, H.; Zhang, G.; Tang, M.; Zhou, L.; Li, J.; Fan, X.; Shi, X.; Qin, J. Synergistic effect of carbon nanotube and graphene nanoplates on the mechanical, electrical and electromagnetic interference shielding properties of polymer composites and polymer composite foams. Chem. Eng. J. 2018, 353, 381–393. [Google Scholar] [CrossRef]
- Politova, N.; Tcholakova, S.; Golemanov, K.; Denkov, N.D.; Vethamuthu, M.; Ananthapadmanabhan, K.P. Effect of Cationic Polymers on Foam Rheological Properties. Langmuir 2011, 28, 1115–1126. [Google Scholar] [CrossRef]
- Zhu, D.; Bai, B.; Hou, J. Polymer Gel Systems for Water Management in High-Temperature Petroleum Reservoirs: A Chemical Review. Energy Fuels 2017, 31, 13063–13087. [Google Scholar] [CrossRef]
- Sun, Y.; Li, Y.; Li, C.; Zhang, D.; Cao, X.; Song, X.; Wang, Q.; Li, Y. Molecular array behavior and synergistic effect of sodium alcohol ether sulphate and carboxyl betaine/sulfobetaine in foam film under high salt conditions. Colloids Surf. A Physicochem. Eng. Asp. 2015, 480, 138–148. [Google Scholar] [CrossRef]
- Plucktaveesak, N.; Konop, A.J.; Colby, R.H. Viscosity of polyelectrolyte solutions with oppositely charged surfactant. J. Phys. Chem. B 2003, 107, 8166–8171. [Google Scholar] [CrossRef]
- Gradzielski, M. Rheology, Surfactants, Microemulsions, Polymers, Polyelectrolytes, Self-Assembly, Stimuli-Responsive. Curr. Opin. Colloid Interface Sci. 2023, 63, 101662. [Google Scholar] [CrossRef]
- Qin, Y.; Yang, D.; Guo, W.; Qiu, X. Investigation of grafted sulfonated alkali lignin polymer as dispersant in coal-water slurry. J. Ind. Eng. Chem. 2015, 27, 192–200. [Google Scholar] [CrossRef]
- Taylor, D.J.F.; Thomas, R.K.; Penfold, J. Polymer/surfactant interactions at the air/water interface. Adv. Colloid Interface Sci. 2007, 132, 69–110. [Google Scholar] [CrossRef]
- Hernando, L.; Satken, B.; Omari, A.; Bertin, H. Transport of polymer stabilized foams in porous media: Associative polymer versus PAM. J. Pet. Sci. Eng. 2018, 169, 602–609. [Google Scholar] [CrossRef]
- Chen, H.; Li, H.; Li, Z.; Li, S.; Wang, Y.; Wang, J.; Li, B. Effects of matrix permeability and fracture on production characteristics and residual oil distribution during flue gas flooding in low permeability/tight reservoirs. J. Pet. Sci. Eng. 2020, 195, 107813. [Google Scholar] [CrossRef]
- Tao, Y.; Wang, Y.; Meng, Q.; Li, H.; Guo, F.; Guo, C.; Zhang, X.; Deng, J.; Dong, H. Effects of Porous Media on Foam Properties. Chemistryselect 2022, 7, e202201069. [Google Scholar] [CrossRef]
- Shah, S.Y.; Wolf, K.-H.; Pilus, R.M.; Rossen, W.R. Foam Generation by Capillary Snap-Off in Flow Across a Sharp Permeability Transition. SPE J. 2019, 24, 116–128. [Google Scholar] [CrossRef]
- Jones, S.A.; Getrouw, N.; Vincent-Bonnieu, S. Foam flow in a model porous medium: I. The effect of foam coarsening. Soft Matter 2018, 14, 3490–3496. [Google Scholar] [CrossRef] [PubMed]
- Pang, Z.; Liu, H.; Zhu, L. A laboratory study of enhancing heavy oil recovery with steam flooding by adding nitrogen foams. J. Pet. Sci. Eng. 2015, 128, 184–193. [Google Scholar] [CrossRef]
- Pang, Z.-X. The Blocking Ability and Flowing Characteristics of Steady Foams in Porous Media. Transp. Porous Media 2010, 85, 299–316. [Google Scholar] [CrossRef]
- Boeije, C.S.; Rossen, W.R. Fitting Foam-Simulation-Model Parameters to Data: I. Coinjection of Gas and Liquid. Spe Reserv. Eval. Eng. 2015, 18, 264–272. [Google Scholar] [CrossRef]
- Ghosh, P.; Mohanty, K.K. Study of surfactant alternating gas injection (SAG) in gas-flooded oil-wet, low permeability carbonate rocks. Fuel 2019, 251, 260–275. [Google Scholar] [CrossRef]












| No. | Permeability/mD | Porosity/% | Solution | Foam Quality |
|---|---|---|---|---|
| 1-1 | 329.3 | 26.58 | 0.4% CHSB | 80% |
| 1-2 | 1584.7 | 28.54 | 0.4% CHSB | 80% |
| 2-1 | 319.7 | 27.46 | 0.4% CHSB + 0.3% Z364 | 80% |
| 2-2 | 1608.3 | 29.91 | 0.4% CHSB + 0.3% Z364 | 80% |
Disclaimer/Publisher’s Note: The statements, opinions and data contained in all publications are solely those of the individual author(s) and contributor(s) and not of MDPI and/or the editor(s). MDPI and/or the editor(s) disclaim responsibility for any injury to people or property resulting from any ideas, methods, instructions or products referred to in the content. |
© 2024 by the authors. Licensee MDPI, Basel, Switzerland. This article is an open access article distributed under the terms and conditions of the Creative Commons Attribution (CC BY) license (https://creativecommons.org/licenses/by/4.0/).
Share and Cite
Wu, M.; Li, B.; Ruan, L.; Tang, Y.; Li, Z. Study on the Control of Steam Front Mobility in High-Temperature and High-Salinity Conditions Using Polymer-Enhanced Foam. Polymers 2024, 16, 2478. https://doi.org/10.3390/polym16172478
Wu M, Li B, Ruan L, Tang Y, Li Z. Study on the Control of Steam Front Mobility in High-Temperature and High-Salinity Conditions Using Polymer-Enhanced Foam. Polymers. 2024; 16(17):2478. https://doi.org/10.3390/polym16172478
Chicago/Turabian StyleWu, Mingxuan, Binfei Li, Liwei Ruan, Yongqiang Tang, and Zhaomin Li. 2024. "Study on the Control of Steam Front Mobility in High-Temperature and High-Salinity Conditions Using Polymer-Enhanced Foam" Polymers 16, no. 17: 2478. https://doi.org/10.3390/polym16172478
APA StyleWu, M., Li, B., Ruan, L., Tang, Y., & Li, Z. (2024). Study on the Control of Steam Front Mobility in High-Temperature and High-Salinity Conditions Using Polymer-Enhanced Foam. Polymers, 16(17), 2478. https://doi.org/10.3390/polym16172478

