Effect of CO2 Concentration on the Performance of Polymer-Enhanced Foam at the Steam Front
Abstract
1. Introduction
2. Materials and Methods
2.1. Material
2.2. High-Temperature High-Pressure Foam Experiment
2.3. Interfacial Tension
2.4. Measurement of Solution Rheology
2.5. Foam Flow Experiment in Core
3. Results and Discussion
3.1. Effect of Carbon Dioxide Concentration in Gas on Foam Performance
3.2. The Effect of Polymer on Foam Stability
3.3. Thermal Stability of Foam
3.4. Effect of Temperature on Foam Performance
3.5. Interfacial Tension of the Solution
3.5.1. Effect of CO2 Proportion in Gas on Gas–Water Interfacial Tension
3.5.2. Effect of Pressure on Gas-Liquid Interfacial Tension
3.5.3. Effect of Temperature on Interfacial Tension
3.6. Rheology of Solution and Foam
3.7. Study on the Plugging Effect of Foam in Core Samples
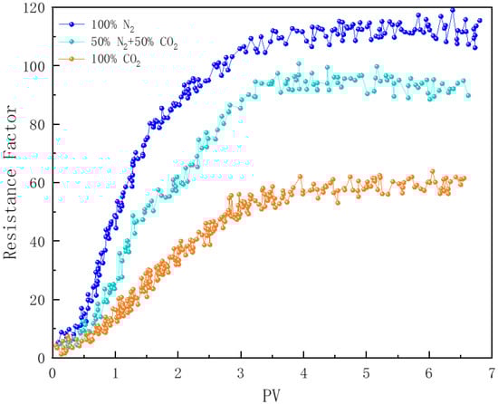
3.7.1. Effect of CO2 Concentration in Gas
3.7.2. Effect of Temperature
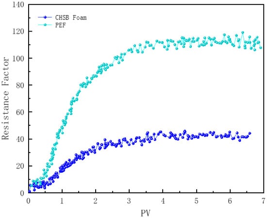
3.7.3. Effect of Polymer
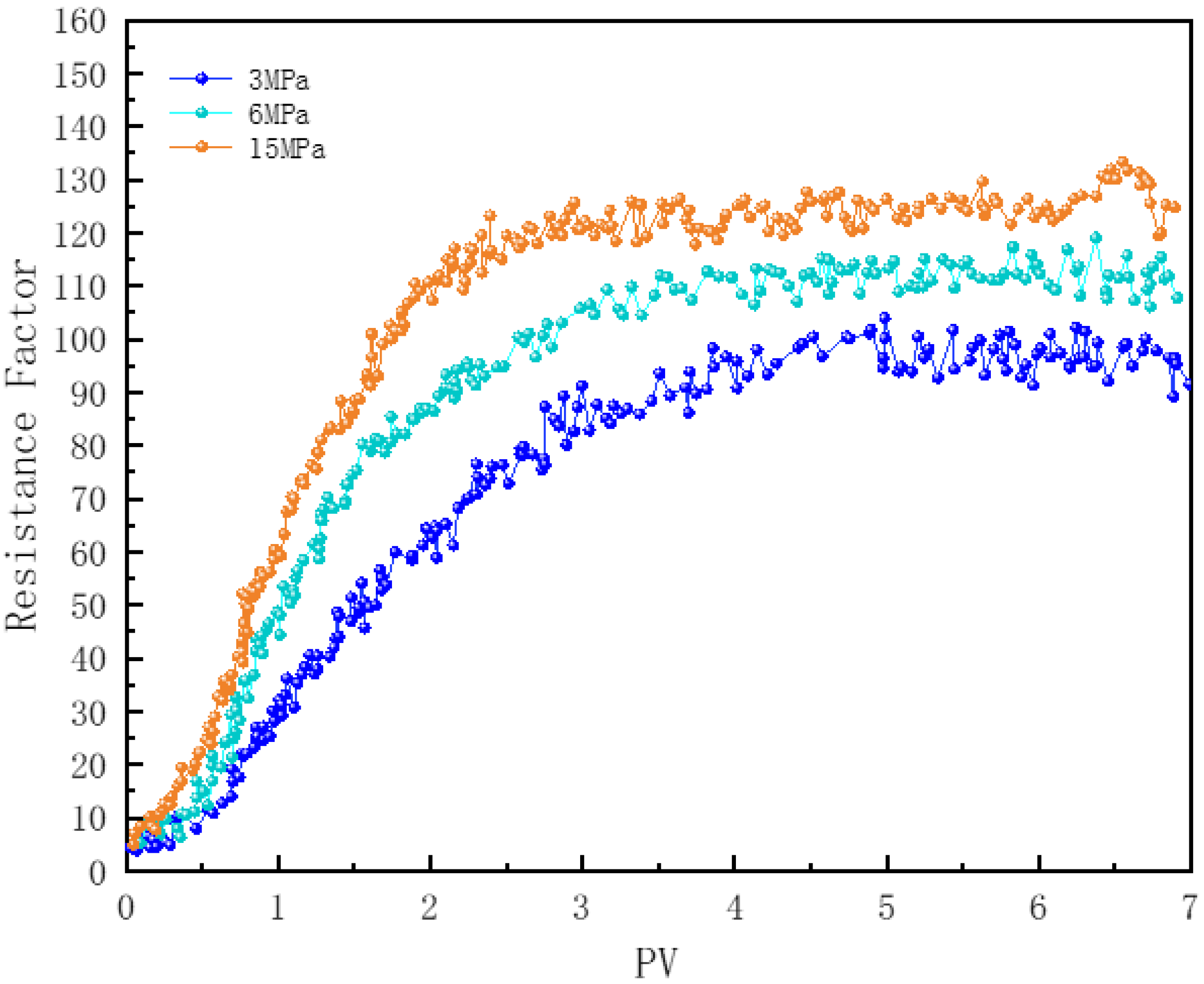
3.7.4. Effect of Pressure
3.7.5. Effect of Gas Solubility
4. Conclusions
- (1)
- Increasing the concentration of CO2 in the gas phase significantly enhances the foaming ability of the CHSB surfactant, while increasing the proportion of N2 improves the stability of the foam. This phenomenon is mainly attributed to the lower interfacial tension between CO2 and water. The stability of the foam is influenced by the diffusion rate of gas through the liquid film and the liquid drainage rate from the film.
- (2)
- In a CO2-dominant environment, the stability of the foam can be significantly enhanced by appropriately adjusting the gas composition, adding polymers to reinforce the foam, lowering the application temperature of the foam system, and increasing the gas pressure.
- (3)
- The behavior of foam in porous media differs from that of bulk foam. This difference is primarily due to the significant impact of liquid drainage on the stability of bulk foam, while, in porous media, the coalescence of the foam caused by gas diffusion is more pronounced.
- (4)
- The CHSB foam reinforced with Z364 polymer can effectively control fluid mobility in porous media at temperatures as high as 200 °C. Reducing the CO2 content in the gas phase can further enhance the blocking performance of the foam in porous media.
Author Contributions
Funding
Institutional Review Board Statement
Informed Consent Statement
Data Availability Statement
Acknowledgments
Conflicts of Interest
References
- Chen, H.; Ji, B.; Wei, B.; Meng, Z.; Li, Y.; Lu, J.; Tang, J. Experimental simulation of enhanced oil recovery on shale rocks using gas injection from material to Characterization: Challenges and solutions. Fuel 2024, 356, 129588. [Google Scholar] [CrossRef]
- Xuanlong, S.; Changbo, C.H.E.; Jian, L.I.; Chaoying, F.A.N.; Chunyan, Z.; Qingbin, W. Present status of oil sand resources at home and abroad. World Geol. 2007, 26, 459–464. [Google Scholar]
- Hu, L.-Z.; Sun, L.; Zhao, J.-Z.; Wei, P.; Pu, W.-F. Influence of formation heterogeneity on foam flooding performance using 2D and 3D models: An experimental study. Pet. Sci. 2020, 17, 734–748. [Google Scholar] [CrossRef]
- Zhao, D.W.; Wang, J.; Gates, I.D. Thermal recovery strategies for thin heavy oil reservoirs. Fuel 2014, 117, 431–441. [Google Scholar] [CrossRef]
- Pratama, R.A.; Babadagli, T. A review of the mechanics of heavy-oil recovery by steam injection with chemical additives. J. Pet. Sci. Eng. 2022, 208, 109717. [Google Scholar] [CrossRef]
- Chen, H.; Wang, Z.; Wang, K.; Li, Z.; Li, S. Investigation of EOR mechanism for flue gas assisted SAGD. J. Pet. Sci. Eng. 2020, 193, 107420. [Google Scholar] [CrossRef]
- Boud, D.C.; Holbrook, O.C. Gas Drive Oil Recovery Process. U.S. Patent US2866507A, 24 December 1956. [Google Scholar]
- Choubineh, A.; Helalizadeh, A.; Wood, D.A. The impacts of gas impurities on the minimum miscibility pressure of injected CO2-rich gas-crude oil systems and enhanced oil recovery potential. Pet. Sci. 2019, 16, 117–126. [Google Scholar] [CrossRef]
- Lin, Z.; Lu, X.; Wang, X.; Chang, Y.; Kang, K.; Zeng, F. Effect of N2 impurity on CO2-based cyclic solvent injection process in enhancing heavy oil recovery and CO2 storage. Energy 2024, 290, 130227. [Google Scholar] [CrossRef]
- Zhao, L.; Li, A.; Chen, K.; Tang, J.; Fu, S. Development and evaluation of foaming agents for high salinity tolerance. J. Pet. Sci. Eng. 2012, 81, 18–23. [Google Scholar] [CrossRef]
- Mast, R.F. Microscopic Behavior of Foam in Porous Media. In Proceedings of the Fall Meeting of the Society of Petroleum Engineers of AIME, San Antonio, TX, USA, 8–11 October 1972. [Google Scholar]
- Guo, F.; Aryana, S. An experimental investigation of nanoparticle-stabilized CO2 foam used in enhanced oil recovery. Fuel 2016, 186, 430–442. [Google Scholar] [CrossRef]
- Nguyen, P.; Fadaei, H.; Sinton, D. Pore-Scale Assessment of Nanoparticle-Stabilized CO2 Foam for Enhanced Oil Recovery. Energy Fuels 2014, 28, 6221–6227. [Google Scholar] [CrossRef]
- Langevin, D. On the rupture of thin films made from aqueous surfactant solutions. Adv. Colloid Interface Sci. 2020, 275, 102075. [Google Scholar] [CrossRef] [PubMed]
- Alzobaidi, S.; Da, C.; Vu, T.; Prodanovic, M.; Johnston, K.P. High temperature ultralow water content carbon dioxide-in-water foam stabilized with viscoelastic zwitterionic surfactants. J. Colloid Interface Sci. 2017, 488, 79–91. [Google Scholar] [CrossRef]
- Saint-Jalmes, A.; Langevin, D. Time evolution of aqueous foams: Drainage and coarsening. J. Phys.-Condens. Matter 2002, 14, 9397–9412. [Google Scholar] [CrossRef]
- Shen, C.; Nguyen, Q.P.; Huh, C.; Rossen, W.R. Does Polymer Stabilize Foam in Porous Media. SPE/DOE. In Proceedings of the Symposium on Improved Oil Recovery, Tulsa, Oklahoma, USA, 22 April 2006. [Google Scholar] [CrossRef]
- Azdarpour, A.; Rahmani, O.; Rafati, R.; Hamidi, H.; Junin, R.; Manan, M. Laboratory Investigation of The Effects of Parameters Controlling Polymer Enhanced Foam (PEF) Stability. Asian J. Appl. Sci. 2013, 1. [Google Scholar]
- Ahmed, S.; Elraies, K.A.; Tan, I.M.; Hashmet, M.R. Experimental investigation of associative polymer performance for CO2 foam enhanced oil recovery. J. Pet. Sci. Eng. 2017, 157, 971–979. [Google Scholar] [CrossRef]
- Dong, X.; Liu, H.; Hou, J.; Liu, G.; Chen, Z. Polymer-Enhanced Foam PEF Injection Technique to Enhance the Oil Recovery for the Post Polymer-Flooding Reservoir. In Proceedings of the SPE Western Regional Meeting, Anchorage, Alaska, USA, 23 May 2016. [Google Scholar] [CrossRef]
- Alooghareh, M.H.; Kabipour, A.; Sisakht, S.M.M.; Razavifar, M. Effects of different gases on the performance of foams stabilized by Cocamidopropyl betaine surfactant and silica nanoparticles: A comparative experimental study. Petroleum 2022, 8, 546–551. [Google Scholar] [CrossRef]
- Li, Q.; Chen, Z.A.; Zhang, J.T.; Liu, L.C.; Li, X.C.; Jia, L. Positioning and revision of CCUS technology development in China. Int. J. Greenh. Gas Control 2016, 46, 282–293. [Google Scholar] [CrossRef]
- Siddiqui, M.A.Q.; Gajbhiye, R.N. Stability and texture of CO2/N2 foam in sandstone. Colloids Surf. A Physicochem. Eng. Asp. 2017, 534, 26–37. [Google Scholar] [CrossRef]
- Ferno, M.A.; Eide, O.; Steinsbo, M.; Langlo, S.A.W.; Christophersen, A.; Skibenes, A.; Ydstebo, T.; Graue, A. Mobility control during CO2 EOR in fractured carbonates using foam: Laboratory evaluation and numerical simulations. J. Pet. Sci. Eng. 2015, 135, 442–451. [Google Scholar] [CrossRef]
- Xu, X.; Saeedi, A.; Liu, K. Laboratory studies on CO2 foam flooding enhanced by a novel amphiphilic ter-polymer. J. Pet. Sci. Eng. 2016, 138, 153–159. [Google Scholar] [CrossRef]
- Du, D.-X.; Beni, A.N.; Farajzadeh, R.; Zitha, P.L.J. Effect of water solubility on carbon dioxide foam flow in porous media: An X-ray computed tomography study. Ind. Eng. Chem. Res. 2008, 47, 6298–6306. [Google Scholar] [CrossRef]
- Pu, W.; Wei, P.; Sun, L.; Wang, S. Stability, CO2 sensitivity, oil tolerance and displacement efficiency of polymer enhanced foam. RSC Adv. 2017, 7, 6251–6258. [Google Scholar] [CrossRef]
- Kulkarni, M.M.; Rao, D.N. Experimental Investigation of Miscible Secondary Gas Injection. In Proceedings of the SPE Annual Technical Conference and Exhibition, Dallas, TX, USA, 9 October 2005. [Google Scholar] [CrossRef]
- Zeng, Y.; Farajzadeh, R.; Biswal, S.L.; Hirasaki, G.J. A 2-D simulation study on CO2 soluble surfactant for foam enhanced oil recovery. J. Ind. Eng. Chem. 2019, 72, 133–143. [Google Scholar] [CrossRef]
- Haghi, R.K.; Chapoy, A.; Peirera, L.M.C.; Yang, J.; Tohidi, B. pH of CO2 saturated water and CO2 saturated brines: Experimental measurements and modelling. Int. J. Greenh. Gas Control 2017, 66, 190–203. [Google Scholar] [CrossRef]
- Cui, L.; Hunter, D.L.; Ybon, P.J.; Paul, D.R. Effect of organoclay purity and degradation on nanocomposite performance, Part 2: Morphology and properties of nanocomposites. Polymer 2008, 49, 3762–3769. [Google Scholar] [CrossRef]
- Cui, L.; Khramov, D.M.; Bielawski, C.W.; Hunter, D.L.; Yoon, P.J.; Paul, D.R. Effect of organoclay purity and degradation on nanocomposite performance, Part 1: Surfactant degradation. Polymer 2008, 49, 3751–3761. [Google Scholar] [CrossRef]
- Li, B.-F.; Zhang, M.-Y.; Li, Z.-M.; Kovscek, A.; Xin, Y.; Li, B.-L. Flow characteristics and regime transition of aqueous foams in porous media over a wide range of quality, velocity, and surfactant concentration. Pet. Sci. 2023, 20, 1044–1052. [Google Scholar] [CrossRef]
- Yu, W.; Zhou, X.; Kanj, M.Y. Microfluidic Investigation of Foam Coarsening Dynamics in Porous Media at High-Pressure and High-Temperature Conditions. Langmuir 2022, 38, 2895–2905. [Google Scholar] [CrossRef]
- Abdelaal, A.; Gajbhiye, R.; Al-Shehri, D. Mixed CO2/N2 Foam for EOR as a Novel Solution for Supercritical CO2 Foam Challenges in Sandstone Reservoirs. ACS Omega 2020, 5, 33140–33150. [Google Scholar] [CrossRef]
- Kapetas, L.; Bonnieu, S.V.; Danelis, S.; Rossen, W.R.; Farajzadeh, R.; Eftekhari, A.A.; Shafian, S.R.M.; Bahrim, R.Z.K. Effect of temperature on foam flow in porous media. J. Ind. Eng. Chem. 2016, 36, 229–237. [Google Scholar] [CrossRef]
- Gong, Z.; Wang, R.; Xing, M. Investigation on adsorption characteristics of perfluoroalkyl surfactants. CIESC J. 2020, 71, 1754–1761. [Google Scholar]
- Angel Roncoroni, M.; Romero, P.; Montes, J.; Bascialla, G.; Rodriguez, R.; Rodriguez Pons-Esparver, R.; Felipe Mazadiego, L.; Flor Garcia-Mayoral, M. Enhancement of a foaming formulation with a zwitterionic surfactant for gas mobility control in harsh reservoir conditions. Pet. Sci. 2021, 18, 1409–1426. [Google Scholar] [CrossRef]
- Varade, S.R.; Ghosh, P. Foaming in aqueous solutions of zwitterionic surfactant: Effects of oil and salts. J. Dispers. Sci. Technol. 2017, 38, 1770–1784. [Google Scholar] [CrossRef]
- Huang, Y.-P.; Zhang, L.; Zhang, L.; Luo, L.; Zhao, S.; Yu, J.-Y. Dynamic interfacial dilational properties of hydroxy-substituted alkyl benzenesulfonates. J. Phys. Chem. B 2007, 111, 5640–5647. [Google Scholar] [CrossRef]
- Sun, Q.; Li, Z.; Li, S.; Jiang, L.; Wang, J.; Wang, P. Utilization of Surfactant-Stabilized Foam for Enhanced Oil Recovery by Adding Nanoparticles. Energy Fuels 2014, 28, 2384–2394. [Google Scholar] [CrossRef]
- Keshavarzi, B.; Mahmoudvand, M.; Javadi, A.; Bahramian, A.; Miller, R.; Eckert, K. Salt Effects on Formation and Stability of Colloidal Gas Aphrons Produced by Anionic and Zwitterionic Surfactants in Xanthan Gum Solution. Colloids Interfaces 2020, 4, 9. [Google Scholar] [CrossRef]
- Chen, H.; Chen, Z.; Wei, B.; Jiang, Q. A novel approach for quantitative characterization of aqueous in-situ foam dynamic structure based on fractal theory. Fuel 2023, 352, 129149. [Google Scholar] [CrossRef]
- Chen, H.; Ji, B.; Wang, F.; Wang, Y.; Zeng, F.; Li, Z.; Jiang, Q. Experimental investigation on fractal characterization of in-situ foam in porous media. Fractals-Complex Geom. Patterns Scaling Nat. Soc. 2023, 31, 2340184. [Google Scholar] [CrossRef]
- Jin, F.; Chen, S.; Wei, B.; Wang, D.; Yang, W.; Wang, Y.; Lu, J. Visualization of CO2 foam generation, propagation and sweep in a complex 2D heterogeneous fracture network. Fuel 2021, 302, 121000. [Google Scholar] [CrossRef]
- Farajzadeh, R.; Muruganathan, R.M.; Rossen, W.R.; Krastev, R. Effect of gas type on foam film permeability and its implications for foam flow in porous media. Adv. Colloid Interface Sci. 2011, 168, 71–78. [Google Scholar] [CrossRef] [PubMed]
- Fu, C.; Liu, N. Study of the Synergistic Effect of the Nanoparticle-Surfactant-Polymer System on CO2 Foam Apparent Viscosity and Stability at High Pressure and Temperature. Energy Fuels 2020, 34, 13707–13716. [Google Scholar] [CrossRef]
- Wang, Y.; Zhang, Y.; Liu, Y.; Zhang, L.; Ren, S.; Lu, J.; Wang, X.; Fan, N. The stability study of CO2 foams at high pressure and high temperature. J. Pet. Sci. Eng. 2017, 154, 234–243. [Google Scholar] [CrossRef]
- Chiquet, P.; Daridon, J.-L.; Broseta, D.; Thibeau, S. CO2/water interfacial tensions under pressure and temperature conditions of CO2 geological storage. Energy Convers. Manag. 2007, 48, 736–744. [Google Scholar] [CrossRef]
- Langevin, D. Aqueous foams: A field of investigation at the frontier between chemistry and physics. Chemphyschem 2008, 9, 510–522. [Google Scholar] [CrossRef]
- Sander, R. Compilation of Henry’s Law Constants for Inorganic and Organic Species of Potential Importance in Environmental Chemistry. 1999. Available online: http://www.henrys-law.org (accessed on 8 April 1999).
- Princen, H.M.; Mason, S.G. The permeability of soap films to gases. J. Colloid Sci. 1965, 20, 353–375. [Google Scholar] [CrossRef]
- Farajzadeh, R.; Krastev, R.; Zitha, P.L.J. Foam film permeability: Theory and experiment. Adv. Colloid Interface Sci. 2008, 137, 27–44. [Google Scholar] [CrossRef]
- Kovscek, A.; Patzek, T.; Radke, C. A mechanistic population balance model for transient and steady-state foam flow in Boise sandstone. Chem. Eng. Sci. 1995, 50, 3783–3799. [Google Scholar] [CrossRef]
- Zhao, H.; Fedkin, M.V.; Dilmore, R.M.; Lvov, S.M. Carbon dioxide solubility in aqueous solutions of sodium chloride at geological conditions: Experimental results at 323.15, 373.15, and 423.15 K and 150 bar and modeling up to 573.15 K and 2000 bar. Geochim. Cosmochim. Acta J. Geochem. Soc. Meteorit. Soc. 2015, 149, 165–189. [Google Scholar] [CrossRef]
- Yan, W.; Zhao, G.Y.; Chen, G.J.; Guo, T.M. Interfacial tension of (methane plus nitrogen) plus water and (carbon dioxide plus nitrogen) plus water systems. J. Chem. Eng. Data 2001, 46, 1544–1548. [Google Scholar] [CrossRef]
- Guo, Q.P.; Wang, J.; Park, C.B. A Comparison of CO2 and N2 Foaming Behaviors of PP in a Visualization System. Int. Polym. Process. 2020, 35, 503–517. [Google Scholar] [CrossRef]
- Nguyen, A.V. Liquid drainage in single Plateau borders of foam. J. Colloid Interface Sci. 2002, 249, 194–199. [Google Scholar] [CrossRef]
- Wang, J.; Liang, M.; Tian, Q.; Feng, Y.; Yin, H.; Lu, G. CO2-switchable foams stabilized by a long-chain viscoelastic surfactant. J. Colloid Interface Sci. 2018, 523, 65–74. [Google Scholar] [CrossRef]
- Yang, H.; Shen, J.; Liu, D.; Jiang, J.; Lv, Z.; Xu, Z.; Kang, W.; Su, W.; Turtabayev, S. Stabilization mechanism of viscoelastic polymer microspheres on N2 foam system. J. Mol. Liq. 2023, 392, 123444. [Google Scholar] [CrossRef]
- Li, W.; Wang, K.; Zheng, W. Static and flow behaviors of supercritical CO2 foam stabilized with betaine surfactant for mobility control application. Oil Gas Sci. Technol. Rev. D’Ifp Energ. Nouv. 2021, 76, 58. [Google Scholar] [CrossRef]
- Sun, L.; Sun, X.-H.; Zhang, Y.-C.; Xin, J.; Sun, H.-Y.; Li, Y.-B.; Pu, W.-F.; Tang, J.-Y.; Wei, B. Stability of high-salinity-enhanced foam: Surface behavior and thin-film drainage. Pet. Sci. 2023, 20, 2343–2353. [Google Scholar] [CrossRef]
- Adkins, S.S.; Chen, X.; Chan, I.; Torino, E.; Nguyen, Q.P.; Sanders, A.W.; Johnston, K.P. Morphology and Stability of CO2-in-Water Foams with Nonionic Hydrocarbon Surfactants. Langmuir 2010, 26, 5335–5348. [Google Scholar] [CrossRef]
- Dhanuka, V.V.; Dickson, J.L.; Ryoo, W.; Johnston, K.P. High internal phase CO2-in-water emulsions stabilized with a branched nonionic hydrocarbon surfactant. J. Colloid Interface Sci. 2006, 298, 406–418. [Google Scholar] [CrossRef]
- Chanda, J.; Bandyopadhyay, S. Molecular dynamics study of surfactant monolayers adsorbed at the oil/water and air/water interfaces. J. Phys. Chem. B 2006, 110, 23482–23488. [Google Scholar] [CrossRef]
- Zhang, Y.; Zhang, L.; Wang, Y.; Wang, M.; Wang, Y.; Ren, S. Dissolution of surfactants in supercritical CO2 with co-solvents. Chem. Eng. Res. Des. 2015, 94, 624–631. [Google Scholar] [CrossRef]
- Long, W.; Yang, Y.; Yang, J.; Liu, T. Mechanism of enhanced oil recovery of ultra-dry CO2-in-water foams in porous media: Experiments and numerical simulation. Fuel 2023, 350, 128763. [Google Scholar] [CrossRef]
- Sun, L.; Wei, P.; Pu, W.; Wang, B.; Wu, Y.; Tan, T. The oil recovery enhancement by nitrogen foam in high-temperature and high-salinity environments. J. Pet. Sci. Eng. 2016, 147, 485–494. [Google Scholar] [CrossRef]
- Da, C.; Alzobaidi, S.; Jian, G.; Zhang, L.; Biswal, S.L.; Hirasaki, G.J.; Johnston, K.P. Carbon dioxide/water foams stabilized with a zwitterionic surfactant at temperatures up to 150 °C in high salinity brine. J. Pet. Sci. Eng. 2018, 166, 880–890. [Google Scholar] [CrossRef]
- Muruganathan, R.M.; Krastev, R.; Mueller, H.J.; Moehwald, H. Foam films stabilized with dodecyl maltoside: 2.: Film stability and gas permeability. Langmuir 2006, 22, 7981–7985. [Google Scholar] [CrossRef]
- Eastoe, J.; Dalton, J.S. Dynamic surface tension and adsorption mechanisms of surfactants at the air-water interface. Adv. Colloid Interface Sci. 2000, 85, 103–144. [Google Scholar] [CrossRef]
- Li, C.; Wu, A.; Zhao, Z. Effect of sodium alginate and polyvinyl alcohol polymers on the foaming performance of dodecyl dimethyl betaine solutions. Colloids Surf. A Physicochem. Eng. Asp. 2023, 676, 132151. [Google Scholar] [CrossRef]
- Zhou, M.; Wang, C.; Xing, T.; Li, S.; Zhang, Z.; Luo, G. Studies on foam flooding for saline reservoirs after polymer flooding. J. Pet. Sci. Eng. 2015, 135, 410–420. [Google Scholar] [CrossRef]
- Anachkov, S.E.; Danov, K.D.; Basheva, E.S.; Kralchevsky, P.A.; Ananthapadmanabhan, K.P. Determination of the aggregation number and charge of ionic surfactant micelles from the stepwise thinning of foam films. Adv. Colloid Interface Sci. 2012, 183, 55–67. [Google Scholar] [CrossRef]
- Chen, X.; Adkins, S.S.; Nguyen, Q.P.; Sanders, A.W.; Johnston, K.P. Interfacial tension and the behavior of microemulsions and macroemulsions of water and carbon dioxide with a branched hydrocarbon nonionic surfactant. J. Supercrit. Fluids 2010, 55, 712–723. [Google Scholar] [CrossRef]
- Bureiko, A.; Trybala, A.; Kovalchuk, N.; Starov, V. Current applications of foams formed from mixed surfactant-polymer solutions. Adv. Colloid Interface Sci. 2015, 222, 670–677. [Google Scholar] [CrossRef]
- Farajzadeh, R.; Andrianov, A.; Bruining, H.; Zitha, P.L.J. Comparative Study of CO2 and N2 Foams in Porous Media at Low and High Pressure-Temperatures. Ind. Eng. Chem. Res. 2009, 48, 4542–4552. [Google Scholar] [CrossRef]
- Adkins, S.S.; Chen, X.; Nguyen, Q.P.; Sanders, A.W.; Johnston, K.P. Effect of branching on the interfacial properties of nonionic hydrocarbon surfactants at the air-water and carbon dioxide-water interfaces. J. Colloid Interface Sci. 2010, 346, 455–463. [Google Scholar] [CrossRef] [PubMed]
















| No. | Permeability/mD | Porosity/% | Temperature/°C | Back Pressure /MPa | Solution | Gas |
|---|---|---|---|---|---|---|
| 1 | 519 | 27.67 | 100 | 6 | PEF | 100% N2 |
| 2 | 528.7 | 30.14 | 150 | 6 | PEF | 100% N2 |
| 3 | 496.8 | 29.88 | 150 | 6 | PEF | 50% N2+ 50% CO2 |
| 4 | 510.1 | 27.85 | 150 | 6 | PEF | 100% CO2 |
| 5 | 506.8 | 30.91 | 150 | 6 | 0.4% CHSB | 100% N2 |
| 6 | 524.1 | 29.96 | 200 | 6 | PEF | 100% N2 |
| 7 | 535.3 | 30.52 | 150 | 3 | PEF | 100% N2 |
| 8 | 493.7 | 27.36 | 150 | 15 | PEF | 100% N2 |
Disclaimer/Publisher’s Note: The statements, opinions and data contained in all publications are solely those of the individual author(s) and contributor(s) and not of MDPI and/or the editor(s). MDPI and/or the editor(s) disclaim responsibility for any injury to people or property resulting from any ideas, methods, instructions or products referred to in the content. |
© 2024 by the authors. Licensee MDPI, Basel, Switzerland. This article is an open access article distributed under the terms and conditions of the Creative Commons Attribution (CC BY) license (https://creativecommons.org/licenses/by/4.0/).
Share and Cite
Wu, M.; Li, B.; Ruan, L.; Zhang, C.; Tang, Y.; Li, Z. Effect of CO2 Concentration on the Performance of Polymer-Enhanced Foam at the Steam Front. Polymers 2024, 16, 2726. https://doi.org/10.3390/polym16192726
Wu M, Li B, Ruan L, Zhang C, Tang Y, Li Z. Effect of CO2 Concentration on the Performance of Polymer-Enhanced Foam at the Steam Front. Polymers. 2024; 16(19):2726. https://doi.org/10.3390/polym16192726
Chicago/Turabian StyleWu, Mingxuan, Binfei Li, Liwei Ruan, Chao Zhang, Yongqiang Tang, and Zhaomin Li. 2024. "Effect of CO2 Concentration on the Performance of Polymer-Enhanced Foam at the Steam Front" Polymers 16, no. 19: 2726. https://doi.org/10.3390/polym16192726
APA StyleWu, M., Li, B., Ruan, L., Zhang, C., Tang, Y., & Li, Z. (2024). Effect of CO2 Concentration on the Performance of Polymer-Enhanced Foam at the Steam Front. Polymers, 16(19), 2726. https://doi.org/10.3390/polym16192726

