Low-Velocity Impact of Clamped Rectangular Sandwich Tubes with Fiber Metal Laminated Tubes
Abstract
1. Introduction
2. Problem Formulation
3. Analytical Solutions
4. Finite Element Analysis
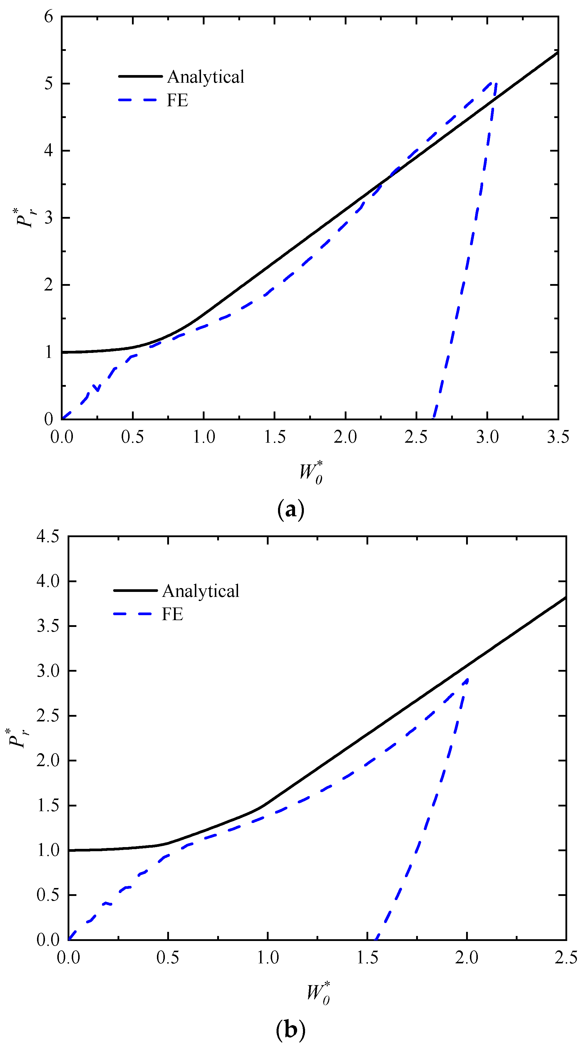
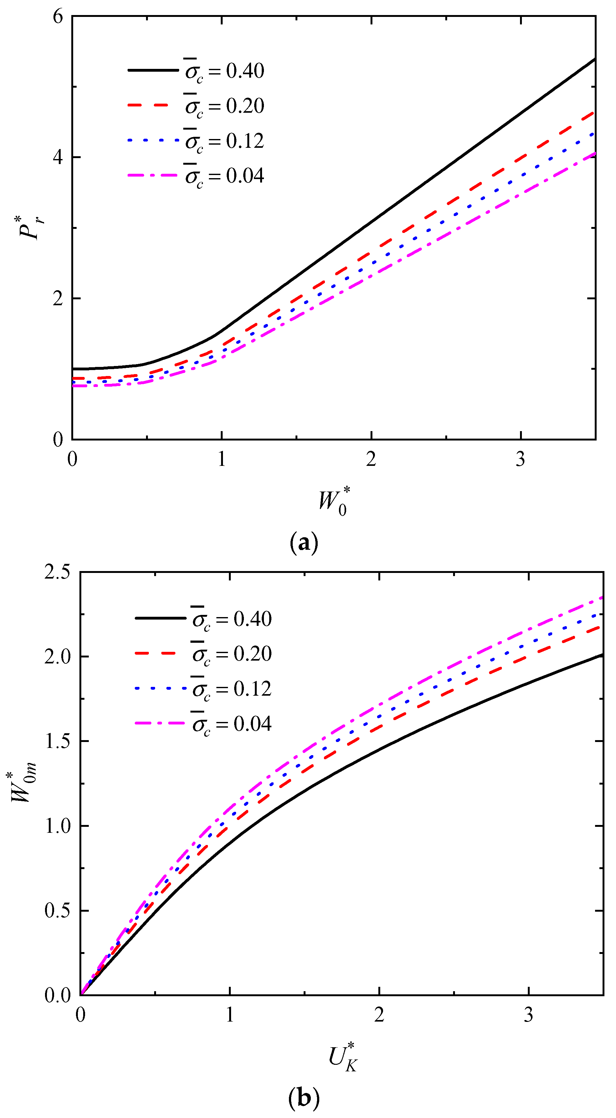
5. Results and Discussion
6. Concluding Remarks
Author Contributions
Funding
Institutional Review Board Statement
Data Availability Statement
Acknowledgments
Conflicts of Interest
Appendix A. Analytical Solutions of a Fully Clamped Rectangular Sandwich Metal Tube Subjected to Low-Velocity Impact
References
- Iriondo, J.; Aretxabaleta, L.; Aizpuru, A. Characterisation of the elastic and damping properties of traditional FML and FML based on a self-reinforced polypropylene. Compos. Struct. 2015, 131, 47–54. [Google Scholar] [CrossRef]
- Nam, H.W.; Hwang, W.; Han, K.S. Stacking sequence design of fiber-metal laminate for maximum strength. J. Compos. Mater. 2001, 35, 1654–1683. [Google Scholar] [CrossRef]
- Nejad, A.F.; Koloor, S.S.R.; Hamzah, S.M.S.A.S.; Yahya, M.Y. Mechanical behaviour of pin-reinforced foam core sandwich panels subjected to low impact loading. Polymers 2022, 13, 3627. [Google Scholar] [CrossRef] [PubMed]
- Wang, S.L.; Zhang, M.; Zha, S.G.; Ding, Y.Y. In-plane crushing of a novel sinusoid-curved honeycomb under static and dynamic loadings. Int. J. Crashworthiness 2022, 28, 418–434. [Google Scholar] [CrossRef]
- Fan, Y.S.; Yang, X.L.; He, J.; Sun, C.M.; Wang, S.K.; Gu, Y.Z.; Li, M. The variation mechanism of core pressure and its influence on the surface quality of honeycomb sandwich composite with thin facesheets. J. Mater. Res. Technol. 2021, 15, 6113–6124. [Google Scholar] [CrossRef]
- Zhang, P.; Mo, D.H.; Ge, X.X.; Wang, H.; Zhang, C.Z.; Cheng, Y.S.; Liu, J. Experimental investigation into the synergetic damage of foam-filled and unfilled corrugated core hybrid sandwich panels under combined blast and fragment loading. Compos. Struct. 2022, 299, 116089. [Google Scholar] [CrossRef]
- Zhang, Z.; Lei, H.S.; Yang, H.Y.; Xu, M.C.; Chen, M.J.; Wang, C.X.; Fang, D.N. Radar-stealth and load-bearing corrugated sandwich structures with superior environmental adaptability. Compos. Sci. Technol. 2022, 277, 109594. [Google Scholar] [CrossRef]
- Guo, L.W.; Yu, J.L.; Li, Z.B. Experimental studies on the quasi-static bending behavior of double square tubes filled with aluminum foam. Acta Mech. 2010, 213, 349–358. [Google Scholar] [CrossRef]
- Yang, S.H.; Chen, S.Y.; Liu, X.C.; Lin, Z.; Yang, L.H.; Schröder, K.U.; Schmidt, R. Dynamic crushing behavior of multi-layered hybrid foam-filled composite graded lattice sandwich panels. Mech. Adv. Mater. 2021, 29, 6694–6704. [Google Scholar] [CrossRef]
- Wang, S.L.; Zhang, M.; Pei, W.J.; Yu, F.; Jiang, Y.H. Energy-absorbing mechanism and crashworthiness performance of thin-walled tubes diagonally filled with rib-reinforced foam blocks under axial crushing. Compos. Struct. 2022, 299, 116149. [Google Scholar] [CrossRef]
- Wang, Z.G.; Deng, J.J.; He, K.N.; Tao, Y. Out-of-plane crushing behavior of hybrid hierarchical square honeycombs. Thin Wall. Struct. 2022, 181, 110051. [Google Scholar] [CrossRef]
- Komorek, A.; Przybylek, P.; Szczepaniak, R.; Godzimirski, J.; Roskowicz, M.; Imilowski, S. The influence of low-energy impact loads on the properties of the sandwich composite with a foam core. Polymers 2022, 14, 1566. [Google Scholar] [CrossRef]
- Wang, Y.Z.; Ma, L. Sound insulation performance of pyramidal truss core cylindrical sandwich structure. Acta Mech. Solida Sin. 2022, 35, 504–517. [Google Scholar] [CrossRef]
- Li, J.Q.; Zhang, Y.; Fan, X.L.; Li, F.M. Multi bandgaps design of sandwich metamaterial plate with embedded membrane-type resonators. J. Sandw. Struct. Mater. 2022, 25, 311–329. [Google Scholar] [CrossRef]
- Li, C.L.; Qi, J.F.; Wang, P.D.; Zhao, Z.A.; Wang, Z.; Lei, H.S.; Duan, S.Y. A novel hybrid design method of lattice structure based on failure mode. Sci. China Phys. Mech. 2022, 65, 294611. [Google Scholar] [CrossRef]
- Wu, H.X.; Sun, F.Y.; Sun, Q.S.; Zhang, X.C.; Yang, S. Dynamic crushing behaviors of second-order hexagonal honeycombs. Int. J. Appl. Mech. 2022, 14, 2250054. [Google Scholar] [CrossRef]
- Zhang, X.C.; Dong, S.J.; An, C.C.; Wu, H.X.; Niu, X.Y. Dynamic crushing behaviors of multi-layered gradient honeycombs with different poisson’s ratios a finite element simulation. Int. J. Appl. Mech. 2022, 14, 2150127. [Google Scholar] [CrossRef]
- Yang, J.S.; Yang, F.; Han, L.; Yang, L.H.; Wu, L.Z. Vibration response of glass fiber composite multi-layer graded corrugated sandwich panels. J. Sandw. Struct. Mater. 2022, 24, 1491–1511. [Google Scholar] [CrossRef]
- Deng, S.N.; Wu, D.; Yang, J.S.; Luo, H.; Fu, L.L.; Schmidt, R.; Schröder, K.U. Damage recognition of glass fiber composite bi-directional corrugated sandwich cylindrical panels via non-contacted vibration method. Mater. Today Commun. 2022, 32, 103864. [Google Scholar] [CrossRef]
- Hao, X.; Jin, T.; Ma, X.M.; Shu, X.F.; Li, X. Dynamic response of single curved fiber-metal hybrid lamina composites subject to low-velocity impact. Int. J. Impact Eng. 2022, 164, 104209. [Google Scholar]
- Zhang, J.X.; Ye, Y.; Qin, Q.H.; Wang, T.J. Low-velocity impact of sandwich beams with fibre-metal laminate face-sheets. Compos. Sci. Technol. 2018, 168, 152–159. [Google Scholar] [CrossRef]
- Liu, X.M.; Zhou, C.X.; Wan, F.; Tian, H.F.; Chen, W.H.; Guan, F. The difference of dent characteristics between the inner and outer tubes of sandwich pipes under lateral loading. Ocean Eng. 2023, 271, 113726. [Google Scholar] [CrossRef]
- Guélou, R.; Eyma, F.; Cantarel, A.; Rivallant, S.; Castanié, B. Static crushing of wood based sandwich composite tubes. Compos. Struct. 2021, 273, 114317. [Google Scholar] [CrossRef]
- Niknejad, A.; Moradi, A.; Beheshti, N. Indentation experiments on novel sandwich composite tubes. Mater. Lett. 2016, 179, 142–145. [Google Scholar] [CrossRef]
- Baroutaji, A.; Gilchrist, M.D.; Smyth, D.; Olabi, A.G. Analysis and optimization of sandwich tubes energy absorbers under lateral loading. Int. J. Impact Eng. 2015, 82, 74–88. [Google Scholar] [CrossRef]
- Kim, J.S.; Yoon, H.J.; Shin, K.B. Experimental investigation of composite sandwich square tubes under quasi-static and dynamic axial crushing. Adv. Compos. Mater. 2011, 20, 385–404. [Google Scholar] [CrossRef]
- Fan, Z.; Shen, J.; Lu, G. Investigation of lateral crushing of sandwich tubes. Procedia Eng. 2011, 14, 442–449. [Google Scholar] [CrossRef]
- Shen, J.H.; Lu, G.X.; Ruan, D.; Seah, C.C. Lateral plastic collapse of sandwich tubes with metal foam core. Int. J. Mech. Sci. 2015, 91, 99–109. [Google Scholar] [CrossRef]
- Wu, J.Q.; Chen, X.; Zhu, H.Y.; Wang, P.; Jin, F.N.; Fan, H.L. Meta-honeycomb sandwich tubes designing, manufacturing, and crashworthiness performance. Compos. Sci. Technol. 2023, 240, 110096. [Google Scholar] [CrossRef]
- Wang, Y.J.; Zhang, Z.J.; Xue, X.W.; Zhou, J.; Song, Z.X. Axial and lateral crushing performance of plate-lattice filled square sandwich tubes. Compos. Struct. 2011, 274, 114404. [Google Scholar] [CrossRef]
- Zhang, J.X.; Zhu, Y.Q.; Ye, Y.; Yuan, H.; Qin, Q.H. Low-velocity impact of clamped slender rectangular sandwich tubes with metal foam core. Int. J. Crashworthiness 2020, 26, 1–14. [Google Scholar] [CrossRef]
- Zhang, J.X.; Guo, H.Y. Dynamic response of rectangular sandwich tubes with metal foam core under blast loading. Int. J. Appl. Mech. 2022, 14, 2150126. [Google Scholar] [CrossRef]
- Guo, H.Y.; Zhang, J.X.; Li, J.F.; Yuan, H.; Zhu, Y.Q. Splitting and curling collapse of square sandwich metal tube with aluminum foam core under axial low-velocity impact. J. Braz. Soc. Mech. Sci. 2022, 44, 514. [Google Scholar] [CrossRef]
- Zhang, T.H.; Liu, Z.F.; Li, S.Q.; Lei, J.Y.; Wang, Z.H. Dynamic response and energy absorption performance of aluminum foam-filled sandwich circular tubes under internal blast loading. Int. J. Impact Eng. 2022, 173, 114458. [Google Scholar] [CrossRef]
- Guélou, R.; Eyma, F.; Cantarel, A.; Rivallant, S.; Castanié, B. Dynamic crushing of wood-based sandwich composite tubes. Mech. Adv. Mater. Struct. 2022, 29, 7004–7024. [Google Scholar] [CrossRef]
- Shen, J.H.; Lu, G.X.; Zhao, L.M.; Zhang, Q.M. Short sandwich tubes subjected to internal explosive loading. Eng. Struct. 2013, 55, 56–65. [Google Scholar] [CrossRef]
- Wang, A.S.; Yu, X.H.; Wang, H.; Li, Y.; Zhang, J.; Fan, X.L. Dynamic response of sandwich tubes with continuously density-graded aluminum foam cores under internal explosion load. Materials 2022, 15, 6966. [Google Scholar] [CrossRef]
- Mansor, M.A.; Ahmad, Z.; Abdullah, M.R. Crashworthiness capability of thin-walled fibre metal laminate tubes under axial crushing. Eng. Struct. 2022, 252, 113660. [Google Scholar] [CrossRef]
- Ahmad, Z.; Abdullah, M.R.; Tamin, M.N. Experimental and numerical studies of fiber metal laminate (FML) thin-walled tubes under impact loading. In Advanced Structured Materials Ochsner; Ochsner, A., Altenbach, H., Eds.; Springer International Publishing: New York, NY, USA, 2015; Volume 70, pp. 433–443. [Google Scholar]
- Subbaramaiah, R.; Prusty, B.G.; Pearce, G.M.K.; Lim, S.H.; Thomson, R.S. Crashworthy response of fibre metal laminate top hat structures. Compos. Struct. 2017, 160, 773–781. [Google Scholar] [CrossRef]
- Song, Y.; Yuan, H.; Du, J.L.; Sun, H.; Han, Z.L.; Zhang, J.X. Analytical and numerical investigation on dynamic behavior of rectangular FML sandwich tubes with metal foam core under low-velocity impact. Int. J. Appl. Mech. 2022, 14, 2250028. [Google Scholar] [CrossRef]
- Mansor, M.A.; Ahmad, Z.; Abdullah, M.R. Experimental studies on the impact characteristics of seamless fibre metal laminate (FML) tubes. Mater. Today Proc. 2021, 39, 1077–1081. [Google Scholar] [CrossRef]
- Shiravand, A.; Asgari, M. Hybrid metal-composite conical tubes for energy absorption; theoretical development and numerical simulation. Thin Wall. Struct. 2019, 145, 106442. [Google Scholar] [CrossRef]
- Jones, N. Note on the impact behaviour of fibre-metal laminates. Int. J. Impact Eng. 2017, 108, 147–152. [Google Scholar] [CrossRef]
- Tagarielli, V.L.; Fleck, N.A.; Deshpande, V.S. Collapse of clamped and simply supported composite sandwich beams in three-point bending. Compos. Part B Eng. 2003, 35, 523–534. [Google Scholar] [CrossRef]
- Deshpande, V.S.; Fleck, N.A. Isotropic constitutive models for metallic foams. J. Mech. Phys. Solids 2000, 48, 1253–1283. [Google Scholar] [CrossRef]
- Qin, Q.H.; Wang, T.J. An analytical solution for the large deflections of a slender sandwich beam with a metallic foam core under transverse loading by a flat punch. Compos. Struct. 2008, 88, 509–518. [Google Scholar] [CrossRef]











Disclaimer/Publisher’s Note: The statements, opinions and data contained in all publications are solely those of the individual author(s) and contributor(s) and not of MDPI and/or the editor(s). MDPI and/or the editor(s) disclaim responsibility for any injury to people or property resulting from any ideas, methods, instructions or products referred to in the content. |
© 2024 by the authors. Licensee MDPI, Basel, Switzerland. This article is an open access article distributed under the terms and conditions of the Creative Commons Attribution (CC BY) license (https://creativecommons.org/licenses/by/4.0/).
Share and Cite
Wang, Y.; Zhang, J.; Guo, H.; Yuan, H. Low-Velocity Impact of Clamped Rectangular Sandwich Tubes with Fiber Metal Laminated Tubes. Polymers 2024, 16, 1833. https://doi.org/10.3390/polym16131833
Wang Y, Zhang J, Guo H, Yuan H. Low-Velocity Impact of Clamped Rectangular Sandwich Tubes with Fiber Metal Laminated Tubes. Polymers. 2024; 16(13):1833. https://doi.org/10.3390/polym16131833
Chicago/Turabian StyleWang, Yao, Jianxun Zhang, Hui Guo, and Hui Yuan. 2024. "Low-Velocity Impact of Clamped Rectangular Sandwich Tubes with Fiber Metal Laminated Tubes" Polymers 16, no. 13: 1833. https://doi.org/10.3390/polym16131833
APA StyleWang, Y., Zhang, J., Guo, H., & Yuan, H. (2024). Low-Velocity Impact of Clamped Rectangular Sandwich Tubes with Fiber Metal Laminated Tubes. Polymers, 16(13), 1833. https://doi.org/10.3390/polym16131833

