The Contribution of BaTiO3 to the Stability Improvement of Ethylene–Propylene–Diene Rubber: Part I—Pristine Filler
Abstract
1. Introduction
2. Materials and Methods
2.1. Materials
2.2. Sample Preparation
2.3. γ-Irradiation
2.4. Characterization of Filler
2.5. Characterization of Composites
2.5.1. Mechanical Testing
2.5.2. Chemiluminescence (CL)
2.5.3. Spectral Assay by FTIR-ATR
2.5.4. Antifungal Properties
3. Results
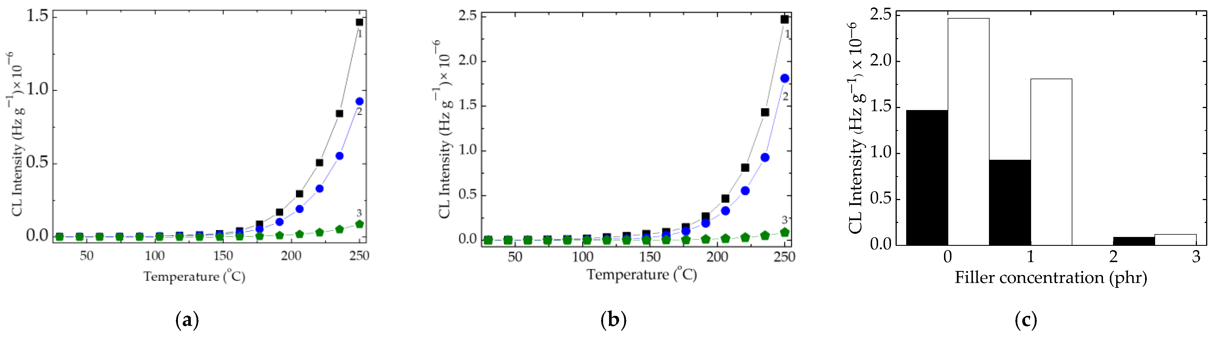
3.1. Chemiluminescence
3.1.1. Nonisothermal Chemiluminescence
3.1.2. Isothermal Chemiluminescence
3.2. Mechanical Testing
3.3. FTIR for the Oxidation of Composites
3.4. Resistance against Fungi Actions
4. Discussion
5. Conclusions
Supplementary Materials
Author Contributions
Funding
Institutional Review Board Statement
Data Availability Statement
Conflicts of Interest
References
- Shanmugam, V.; Johnson Rajendran, D.J.; Babu, K.; Rajendran, S.; Veerasimman, A.; Marimuthu, U.; Singh, S.; Das, O.; Neisiany, R.E.; Hedenqvist, M.S.; et al. The mechanical testing and performance analysis of polymer-fibre composites prepared through the additive manufacturing. Polym. Test. 2021, 93, 106925. [Google Scholar] [CrossRef]
- Ferry, M.; Roma, G.; Cochin, F.; Esnouf, S.; Dauvois, V.; Nizeyimana, F.; Gervais, B.; Ngono-Ravache, Y. Polymers in the nuclear power industry. In Comprehensive Nuclear Materials, 2nd ed.; Konings, R.J.K., Stoller, R.E., Eds.; Elsevier: New York, NY, USA, 2020; Volume 3, pp. 545–580. [Google Scholar]
- Zaharescu, T.; Jipa, S. Radiochemical Modifications in Polymers. In Landolt-Börnstein Numerical Data and Functional Relationships in Science and Technology. Group VIII, Arndt, K.-F., Lechner, M.D., Eds.; Springer: Berlin/Heidelberg, Germany, 2013; Volume 6, pp. 93–184. [Google Scholar]
- Rivaton, A.; Cambon, S.; Gardette, J.-L. Radiochemical yields of EPDM elastomers. 2. Identification and quantification of chemical changes in EPDM and EPR films γ-irradiated under oxygen atmosphere. Nucl. Instrum. Meth. Phys. Res. B 2005, 227, 343–356. [Google Scholar] [CrossRef]
- Wong, W.-K.; Hsuan, Y.G. Interaction of antioxidants with carbon black in polyethylene using oxidative induction time methods. Geotext. Geomembr. 2014, 42, 641–647. [Google Scholar] [CrossRef]
- Rivaton, A.; Cambon, S.; Gardette, J.-L. Radiochemical yields of EPDM elastomers. 4. Evaluation of some anti-oxidants. Polym. Degrad. Stab. 2006, 91, 136–143. [Google Scholar] [CrossRef]
- Liu, Q.; Wei, P.; Cong, C.; Meng, X.; Zhou, Q. Synthesis and antioxidation behavior in EPDM of novel macromolecular antioxidants with crosslinking and antioxidation effects. Polym. Degrad. Stab. 2022, 205, 110155. [Google Scholar] [CrossRef]
- Morlat-Therias, S.; Fanton, E.; Tomer, N.S.; Rana, S.; Singh, R.P.; Gardette, J.-L. Photooxidation of vulcanized EPDM/montmorillonite nanocomposites. Polym. Degrad. Stab. 2006, 91, 3033–3039. [Google Scholar] [CrossRef]
- Zaharescu, T. Stabilization effects of doped inorganic filler on EPDM for space and terrestrial applications. Mater. Chem. Phys. 2019, 234, 102–109. [Google Scholar] [CrossRef]
- Han, S.-W.; Choi, N.-S.; Ryu, S.-R.; Lee, D.-J. Mechanical property behavior and aging mechanism of carbon-black-filled EPDM rubber reinforced by carbon nano-tubes subjected to electro-chemical and thermal degradation. J. Mech. Sci. Technol. 2017, 31, 4073–4078. [Google Scholar] [CrossRef]
- Craciun, G.; Manaila, E.; Ighigeanu, D.; Stelescu, M.D. A method to improve the characteristics of EPDM rubber based eco-composites with electron beam. Polymers 2020, 12, 215. [Google Scholar] [CrossRef]
- Basfar, A.A.; Abdel-Aziz, M.M.; Mofti, S. Stabilization of γ-radiation vulcanized EPDM rubber against accelerated aging. Polym. Degead. Stab. 1999, 66, 191–197. [Google Scholar] [CrossRef]
- Cai, Y.; Zheng, J.; Hu, Y.; Wei, J.; Fan, H. The preparation of polyolefin elastomer functionalized with polysiloxane and its effect in ethylene-propylene-diene monomer/silicon rubber blends. Eur. Polym. J. 2022, 177, 111468. [Google Scholar] [CrossRef]
- Ohki, Y.; Hirai, N.; Okada, S. Penetration routes of oxygen and moisture into the insulation of FR-EPDM cables for nuclear power plants. Polymers 2022, 14, 5318. [Google Scholar] [CrossRef] [PubMed]
- Lee, S.-H.; Park, G.-W.; Kim, H.-J.; Chung, K.; Jang, K.-S. Effects of filler functionalization on filler-embedded natural rubber/ethylene-propylene-diene monomer composites. Polymers 2022, 14, 3502. [Google Scholar] [CrossRef]
- De Almeida, A.; Chazeau, L.; Vigier, G.; Marque, G.; Goutille, Y. Influence of PE/PP ratio and EBN content on the degradation kinetics of γ-irradiated EPDM. Polym. Degrad. Stab. 2014, 110, 175–183. [Google Scholar] [CrossRef]
- Chen, B.; Dai, J.; Song, T.; Guan, Q. Research and development of high-performance high-damping rubber Materials for high-damping rubber isolation bearings: A review. Polymers 2022, 14, 2427. [Google Scholar] [CrossRef] [PubMed]
- Balaji, A.B.; Ratnam, T.C.; Khalid, M.; Walvekar, R. Effect of electron beam irradiation on thermal and crystallization behavior of PP/EPDM blend. Radiat. Phys. Chem. 2017, 141, 179–189. [Google Scholar] [CrossRef]
- Lipińska, M.; Imiela, M. Morphology, rheology and curing of (ethylene-propylene elastomer/ hydrogenate acrylonitrile-butadiene rubber) blends reinforced by POSS and organoclay. Polym. Test. 2019, 75, 26–37. [Google Scholar] [CrossRef]
- Yasin, T.; Khan, S.; Nho, Y.-C.; Ahmad, R. Effect of polyfunctional monomers on properties of radiation crosslinked EPDM/waste tire dust blend. Radiat. Phys. Chem. 2012, 81, 421–425. [Google Scholar] [CrossRef]
- Balachandran Nair, A.; Nandakumar, N.; Ayswarya, E.P.; Resmi, V.C.; Francis, V.; Varghese, N.; Nelson Joseph, P.; Joseph, R. Ethylene-propylene-diene (5-ethylidene-2-norbornene) terpolymer/aluminium hydroxide nanocomposites: Thermal, mechanical and flame retardant. Mater. Today. Proc. 2023, 72, 3093–3099. [Google Scholar] [CrossRef]
- Taguet, A.; Cassagnau, P.; Lopez-Cuesta, J.-M. Structuration, selective dispersion and compatibilizing effect of (nano)fillers in polymer blends. Prog. Polym. Sci. 2014, 39, 1526–1563. [Google Scholar] [CrossRef]
- Özdemir, T. Gamma irradiation degradation/modification of 5-ethylidene 2-norbornene (ENB)-based ethylene propylene diene rubber (EPDM) depending on ENB content of EPDM and type/content of peroxides used in vulcanization. Radiat. Phys. Chem. 2008, 77, 787–793. [Google Scholar] [CrossRef]
- Le Lay, F. Study on the lifetime of EPDM seals in nuclear-powered vessels. Radiat. Phys. Chem. 2013, 84, 210–217. [Google Scholar] [CrossRef]
- Mazhar, H.; Shehzad, F.; Hong, S.-G.; Al-Harthi, M.A. Thermal Degradation Kinetics Analysis of Ethylene-Propylene Copolymer and EP-1-Hexene Terpolymer. Polymers 2022, 14, 634. [Google Scholar] [CrossRef] [PubMed]
- Ma, X.; Ji, T.; Zhang, J.; Shen, S.; Wang, S.; Wang, J.; Hou, X.; Yang, S.; Ma, X. A double-decker silsesquioxane of norbornene and performance of crosslinking reactive modified EPDM ablation resistance composites. Compos. Part A 2023, 32, 107370. [Google Scholar] [CrossRef]
- Rizwan, M.; Chandan, M.R. Mechanistic insights into the ageing of EPDM micro/hybrid composites for high voltage insulation application. Polym. Degrad. Stab. 2022, 204, 110114. [Google Scholar] [CrossRef]
- Valentini, F.; Dorigato, A.; Fambri, L.; Bersani, M.; Grigiante, M.; Pegoretti, A. Production and characterization of novel EPDM/NBR panels with paraffin for potential thermal energy storage applications. Therm. Sci. Eng. Prog. 2022, 32, 101309. [Google Scholar] [CrossRef]
- Hasanpour, M.; Mehrabi Mazidi, M.; Razavi Aghjeh, M.K. The effect of rubber functionality on the phase morphology, mechanical performance and toughening mechanisms of highly toughened PP/PA6/ EPDM ternary blends. Polym. Test. 2019, 79, 106018. [Google Scholar] [CrossRef]
- George, K.; Biswal, M.; Mohanty, S.; Nayak, S.K.; Panda, B.P. Nanosilica filled EPDM/Kevlar fiber hybrid nanocomposites: Mechanical and thermal properties. Mater. Today. Proc. 2021, 41, 983–986. [Google Scholar] [CrossRef]
- Samaržija-Jovanović, S.; Jovanović, V.; Marković, G.; Marinović-Cincović, M.; Budinski-Simendić, J.; Janković, B. Ethylene–propylene–diene rubber-based nanoblends: Preparation, characterization and applications. In Rubber Nano Blends. Preparation, Characterization and Applications; Markovic, G., Visakh, P.M., Eds.; Springer Series on Polymer and Composite Materials; Springer: Cham, Switzerland, 2017; pp. 281–349. [Google Scholar]
- Abdel-Hakim, A.; El-Gamal, A.A.; El-Zayat, M.M.; Sadek, A.M. Effect of novel sucrose based polyfunctional monomer on physico-mechanical and electrical properties of irradiated EPDM. Radiat. Phys. Chem. 2021, 189, 109729. [Google Scholar] [CrossRef]
- Yasin, T.; Khan, S.; Shafiq, M.; Gill, R. Radiation crosslinking of styrene–butadiene rubber containing waste tire rubber and polyfunctional monomers. Radiat. Phys. Chem. 2015, 106, 343–346. [Google Scholar] [CrossRef]
- Lu, Z.; Hu, Y.; Zhang, B.; Zhang, G.; Guo, F.; Jiang, W. EPDM/GO composite insulation for anti-migration of plasticizers. J. Polym. Res. 2022, 29, 385. [Google Scholar] [CrossRef]
- Gong, C.; Cao, J.; Guo, M.; Cai, S.; Xu, P.; Lv, J.; Li, C. A facile strategy for high mechanical performance and recyclable EPDM rubber enabled by exchangeable ion crosslinking. Eur. Polym. J. 2022, 175, 111339. [Google Scholar] [CrossRef]
- Ismail, H.; Ishak, S.; Hamid, Z.A.A. Effect of blend ratio on cure characteristics, tensile properties, thermal and swelling properties of mica-filled (ethylene-propylene-diene monomer)/(recycled ethylene-propylene-diene monomer) (EPDM/r-EPDM) blends. J. Vinyl Addit. Techn. 2015, 21, 1–6. [Google Scholar] [CrossRef]
- Planes, E.; Chazeau, L.; Vigier, G.; Fournier, J.; Stevenson-Royaud, I. Influence of fillers on mechanical properties of ATH filled EPDM during ageing by gamma irradiation. Polym. Degrad. Stab. 2010, 95, 1029–1038. [Google Scholar] [CrossRef]
- Pourmand, P.; Hedenqvist, L.; Pourrahimi, A.M.; Furó, I.; Reitberger, T.; Gedde, U.W.; Hedenqvista, M.S. Effect of gamma radiation on carbon-black-filled EPDM seals in water and air. Polym. Degrad. Stab. 2017, 146, 184–191. [Google Scholar] [CrossRef]
- Özdemir, T.; Güngöra, A.; Akbaya, I.K.; Uzuna, H.; Babucçuoglu, Y. Nano lead oxide and epdm composite for development of polymer based radiation shielding material: Gamma irradiation and attenuation tests. Radiat. Phys. Chem. 2018, 144, 248–255. [Google Scholar] [CrossRef]
- Šarac, T.; Devaux, J.; Quiévy, N.; Gusarov, A.; Konstantinović, M.J. The correlation between elongation at break and thermal decomposition of aged EPDM cable polymer. Radiat. Phys. Chem. 2017, 132, 8–12. [Google Scholar] [CrossRef]
- Stelescu, M.D.; Airinei, A.; Manaila, E.; Fifere, N.; Craciun, G.; Varganici, C.; Doroftei, F. Exploring the effect of electron beam irradiation on the properties of some EPDM-flax fiber composites. Polym. Compos. 2019, 40, 315–327. [Google Scholar] [CrossRef]
- ASTM G21-09; Standard Practice for Determining Resistance of Synthetic Polymeric Materials to Fungi. American Society for Testing and Materials: West Conshohocken, PA, USA, 2009. [CrossRef]
- Assink, R.A.; Celina, M.; Gillen, K.T.; Clough, R.L.; Alam, T.M. Morphology changes during radiation-thermal degradation of polyethylene and an EPDM copolymer by 13C NMR spectroscopy. Polym. Degrad. Stab. 2001, 73, 355–362. [Google Scholar] [CrossRef]
- Zaharescu, T.; Giurginca, M.; Jipa, S. Radiochemical oxidation of ethylene–propylene elastomers in the presence of some phenolic antioxidants. Polym. Degrad. Stab. 1999, 63, 245–251. [Google Scholar] [CrossRef]
- Wang, Y.; Liu, H.; Li, P.; Wang, L. The effect of cross-linking type on EPDM elastomer dynamics and mechanical properties: A molecular dynamics simulation study. Polymers 2022, 14, 1308. [Google Scholar] [CrossRef] [PubMed]
- Blanco, I.; Abate, L.; Bottino, F.A.; Bottino, P. Thermal behaviour of a series of novel aliphatic bridged polyhedral oligomeric silsesquioxanes (POSSs)/polystyrene (PS) nanocomposites: The influence of the bridge length on the resistance to thermal degradation. Polym. Degrad. Stab. 2014, 102, 132–137. [Google Scholar] [CrossRef]
- Ma, C.; Sánchez-Rodríguez, D.; Kamo, T. Influence of thermal treatment on the properties of carbon fiber reinforced plastics under various conditions. Polym. Degrad. Stab. 2020, 178, 109199. [Google Scholar] [CrossRef]
- Manaila, E.; Stelescu, M.D.; Craciun, G. Aspects regarding radiation crosslinking of elastomers. In Advanced Elastomers; Boczkowska, A., Ed.; IntechOpen: London, UK, 2012; pp. 3–34. [Google Scholar]
- Pagacz, J.; Hebda, E.; Michałowski, S.; Ozimek, J.; Sternik, D.; Pielichowski, K. Polyurethane foams chemically reinforced with POSS—Thermal degradation studies. Thermochim. Acta 2016, 642, 5–104. [Google Scholar] [CrossRef]
- Makuuchi, K.; Cheng, S. Fundamentals of radiation crosslinking. In Radiation Processing of Polymer Materials and Its Industrial Applications; Makuuchi, K., Cheng, S., Eds.; Wiley: New York, NY, USA, 2012; pp. 26–70. [Google Scholar]
- Naikwadi, A.T.; Kumar Sharma, B.; Bhatt, K.D.; Mahanwar, P.A. Gamma radiation processed polymeric materials for high performance applications: A review. Front Chem. 2022, 10, 837111. [Google Scholar] [CrossRef]
- Matisová-Rychlá, L.; Rychlý, J. Inherent relations of chemiluminescence and thermooxidation of polymers. In Polymer Durability: Degradation, Stabilization and Lifetime Prediction; Clough, R.L., Billingham, N.C., Gillen, K.T., Eds.; Advances in Chemistry Series; American Chemical Society: Washington, DC, USA, 1996; Volume 249, pp. 175–193. [Google Scholar]
- Richaud, E.; Fayolle, B.; Verdu, J.; Rychlý, J. Co-oxidation kinetic model for the thermal oxidation of polyethylene-unsaturated substrate systems. Polym. Degrad. Stab. 2013, 98, 1081–1088. [Google Scholar] [CrossRef]
- Le Hel, C.; Alcouffe, P.; Lucas, A.; Cassagnau, P.; Bounor Legaré, V. Curing agent-dependent localization of carbon black in thermoplastic vulcanizates. Mater. Phys. Chem. 2022, 282, 125926. [Google Scholar] [CrossRef]
- Delor-Jestin, F.; Lacoste, J.; Barrois-Oudin, N.; Cardinet, C.; Lemaire, J. Photo-, thermal and natural ageing of ethylene–propylene–diene monomer (EPDM) rubber used in automotive applications. Influence of carbon black, crosslinking and stabilizing agents. Polym. Degrad. Stab. 2000, 67, 467–477. [Google Scholar] [CrossRef]
- Nabil, H.; Ismail, H.; Azura, A.R. Comparison of thermo-oxidative ageing and thermal analysis of carbon black-filled NR/Virgin EPDM and NR/Recycled EPDM blends. Polym. Test. 2013, 32, 631–639. [Google Scholar] [CrossRef]
- Pielichowski, K.; Njuguna, J.; Majka, T.M. Thermal degradation of polymer (nano)composites. In Thermal Degradation of Polymer Materials; Pielichowski, K., Njuguna, J., Majka, T.M., Eds.; Elsevier: London, UK, 2023; pp. 251–286. [Google Scholar]
- Clough, R.L. High-energy radiation and polymers: A review of commercial processes and emerging applications. Nucl. Instrum. Meth. Phys. Res. B 2001, 185, 8. [Google Scholar] [CrossRef]
- Planes, E.; Chazeau, L.; Vigier, G.; Fournier, J. Evolution of EPDM networks aged by gamma irradiation—Consequences on the mechanical properties. Polymers 2009, 50, 4028–4038. [Google Scholar] [CrossRef]
- Decker, C.; Mayo, F.R.; Richardson, H. Aging and degradation of polyolefins. III. Polyethylene and ethylene–propylene copolymers. J. Polym. Sci. Polym. Chem. 1973, 11, 2879–2898. [Google Scholar] [CrossRef]
- Perejón, A.; Sánchez-Jiménez, P.E.; Gil-González, E.; Pérez-Maqueda, L.A.; Criado, J.M. Pyrolysis kinetics of ethylene–propylene (EPM) and ethylene–propylene–diene (EPDM). Polym. Degrad. Stab. 2013, 98, 1571–1577. [Google Scholar] [CrossRef]
- Zeid, M.M.A. Radiation effect on properties of carbon black filled NBR/EPDM rubber blends. Eur. Polym. J. 2007, 43, 4415–4422. [Google Scholar] [CrossRef]
- Huang, W.; Yang, W.; Ma, Q.; Wu, J.; Fan, J.; Zhang, K. Preparation and characterization of γ-ray radiation shielding PbWO4/EPDM composite. J. Radioanal. Nucl. Chem. 2016, 309, 1097–1103. [Google Scholar] [CrossRef]
- Sarangapani, V.; Rajamanickam, D. Effect of gamma irradiation on titanium dioxide-filled polymer composites in cable insulation applications. Iran. Polym. J. 2022, 31, 809–820. [Google Scholar] [CrossRef]
- Singh, B.; Sharma, N. Mechanistic implications of plastic degradation. Polym. Degrad. Stab. 2008, 93, 561–584. [Google Scholar] [CrossRef]
- Ferrari, M.; Pandini, S.; Zenoni, A.; Donzella, G.; Battini, D.; Avanzini, A.; Salvini, A.; Zelaschi, F.; Andrighetto, A.; Bignotti, F. Degradation of EPDM and FPM elastomers irradiated at very high dose rates in mixed gamma and neutron fields. Polym. Eng. Sci. 2019, 59, 2522–2532. [Google Scholar] [CrossRef]
- Manaila, E.; Airinei, A.; Stelescu, M.D.; Sonmez, M.; Alexandrescu, L.; Craciun, G.; Pamfil, D.; Fifere, N.; Varganici, C.-D.; Doroftei, F.; et al. Radiation processing and characterization of some ethylene-propylene-diene terpolymer/butyl (halobutyl) rubber/nanosilica composites. Polymers 2020, 12, 2431. [Google Scholar] [CrossRef]
- Davenas, J.; Stevenson, I.; Celette, N.; Vigier, G.; David, L. Influence of the molecular modifications on the properties of EPDM elastomers under irradiation. Nucl. Instrum. Meth. Phys. Res. B 2003, 208, 461–465. [Google Scholar] [CrossRef]
- Barala, S.S.; Manda, V.; Singh Jodha, A.; Ajay, C.; Gopalani, D. Thermal stability of gamma irradiated ethylene propylene diene monomer composites for shielding applications. J. Appl. Polym. Sci. 2022, 139, 52975. [Google Scholar] [CrossRef]
- Chea, S.; Luengchavanon, M.; Anancharoenwong, E.; Techato, K.-A.; Jutidamrongphan, W.; Chaiprapat, S.; Niyomwas, S.; Marthosa, S. Development of an O-ring from NR/EPDM filled silica/CB hybrid filler for use in a solid oxide fuel cell testing system. Polym. Test. 2020, 88, 106568. [Google Scholar] [CrossRef]
- Zagórski, Z.P.; Kornacka, E.M. Radiation processing of elastomers. In Advances in Elastomers; Advanced Structured Materials; Visakh, P., Thomas, S., Chandra, A., Mathew, A., Eds.; Springer: Berlin/Heidelberg, Germany, 2013; Volume 11, pp. 375–452. [Google Scholar]
- Samaržija-Jovanović, S.; Jovanović, V.; Marković, G.; Konstantinović, S.; Marinović-Cincović, M. Nanocomposites based on silica-reinforced ethylene–propylene–diene–monomer/acrylonitrile–butadiene rubber blends. Compos. B 2011, 41, 1244–1250. [Google Scholar] [CrossRef]
- Mokhothu, T.H.; Luyt, A.S.; Messuri, M. Preparation and characterization of EPDM/silica nanocomposites prepared through non-hydrolytic sol-gel method in the absence and presence of a coupling agent. eXPRESS Polym. Lett. 2014, 8, 809–822. [Google Scholar] [CrossRef]
- Sidi, A.; Colombani, J.; Larché, J.-F.; Rivaton, A. Multiscale analysis of the radiooxidative degradation of EVA/EPDM composites. ATH filler and dose rate effect. Radiat. Phys. Chem. 2018, 142, 14–22. [Google Scholar] [CrossRef]
- Yang, H.; Gong, J.; Wen, X.; Xue, J.; Chen, Q.; Jiang, Z.; Tian, N.; Tang, T. Effect of carbon black on improving thermal stability, flame retardancy and electrical conductivity of polypropylene/carbon fiber composites. Compos. Sci. Technol. 2015, 113, 31–37. [Google Scholar] [CrossRef]
- Wilke, L.A.; Robertson, C.G.; Karsten, D.A.; Hardman, N.J. Detailed understanding of the carbon black–polymer interface in filled rubber composites. Carbon 2023, 201, 520–528. [Google Scholar] [CrossRef]
- Tan, H.; Isayev, A.I. Comparative study of silica-, nanoclay and carbon black-filled EPDM rubbers. J. Appl. Polym. Sci. 2008, 109, 767–774. [Google Scholar] [CrossRef]
- Xue, M.; Zhang, X.; Ma, L.; Gu, Z.; Lin, Y.; Bao, C.; Tian, X. Structure and thermal behavior of EPDM/POSS composite fibers prepared by electrospinning. J. Appl. Polym. Sci. 2013, 128, 2395–2401. [Google Scholar] [CrossRef]
- Przybyłek, M.; Bakar, M.; Mendrycka, M.; Kosikowska, U.; Malm, A.; Worzakowska, M.; Szymborski, T.; Kędra-Królik, K. Rubber elastomeric nanocomposites with antimicrobial properties. Mater. Sci. Eng. C 2017, 76, 269–277. [Google Scholar] [CrossRef]
- Basik, A.A.; Sanglier, J.J.; Yeo, C.T.; Sudesh, K. Microbial degradation of rubber: Actinobacteria. Polymers 2021, 13, 1989. [Google Scholar] [CrossRef] [PubMed]
- Shah, A.A.; Khan, A.; Dwivedi, S.; Musarrat, J.; Azam, A. Antibacterial and antibiofilm activity of barium titanate nanoparticles. Mater. Lett. 2018, 229, 130–133. [Google Scholar] [CrossRef]
- Boschetto, F.; Doan, H.N.; Vo, P.P.; Zanocco, M.; Yamamoto, K.; Zhu, W.; Adachi, T.; Kinashi, K.; Marin, E.; Pezzotti, G. Bacteriostatic behavior of PLA-BaTiO3 composite fibers synthesized by centrifugal spinning and jubjected to aging test. Molecules 2021, 26, 2918. [Google Scholar] [CrossRef]
- Fouda, S.M.; Gad, M.M.; Ellakany, P.; Al-Thobity, A.M.; Al-Harbi, F.A.; Virtanen, J.I.; Raustia, A. The effect of nanodiamonds on candida albicans adhesion and surface characteristics of PMMA denture base material-an in vitro study. J. Appl. Oral Sci. 2019, 27, e20180779. [Google Scholar] [CrossRef]
- Ahamed, M.; Akhtar, M.J.; Khan, M.A.M.; Alhadlaq, H.A.; Alshamsan, A. Barium titanate (BaTiO3) nanoparticles exert cytotoxicity through oxidative stress in human lung carcinoma (A549) cells. Nanomaterials 2020, 10, 2309. [Google Scholar] [CrossRef]
- Mwila, J.; Miraftab, M.; Horrocks, A.R. Effect of carbon black on the oxidation of polyolefins. An overview. Polym. Degrad. Stab. 1994, 44, 351–356. [Google Scholar] [CrossRef]
- Tang, X.; Pionteck, J.; Pötschke, P. Improved piezoresistive sensing behavior of poly(vinylidene fluoride)/carbon black composites by blending with a second polymer. Polymer 2023, 268, 125702. [Google Scholar] [CrossRef]
- Orozco, F.; Salvatore, A.; Sakulmankongsuk, A.; Ribas Gomes, D.; Pei, Y.; Hermosilla, E.A.; Pucci, A.; Moreno-Villoslada, I.; Picchioni, F.; Bose, R.K. Electroactive performance and cost evaluation of carbon nanotubes and carbon black as conductive fillers in self-healing shape memory polymers and other composites. Polymer 2022, 260, 125365. [Google Scholar] [CrossRef]
- Zhai, W.; Xia, Q.; Zhou, K.; Yue, X.; Ren, M.; Zheng, G.; Dai, K.; Liu, C.; Shen, C. Multifunctional flexible carbon black/polydimethylsiloxane piezoresistive sensor with ultrahigh linear range, excellent durability and oil/water separation capability. Chem. Eng. J. 2019, 372, 373–382. [Google Scholar] [CrossRef]
- Wang, W.; Pan, H.; Yu, B.; Pan, Y.; Song, L.; Liew, K.M.; Hu, Y. Fabrication of carbon black coated flexible polyurethane foam for significantly improved fire safety. RSC Adv. 2015, 5, 55870–55878. [Google Scholar] [CrossRef]
- Cao, X.; Li, C.; He, G.; Tong, Y.; Yang, Z. Composite phase change materials of ultra-high molecular weight. polyethylene/paraffin wax/carbon nanotubes with high performance and excellent shape stability for energy storage. J. Energy Stor. 2021, 44, 103460. [Google Scholar] [CrossRef]
- Zhang, X.; Yu, S.; Li, M.; Zhang, M.; Zhang, C.; Wang, M. Enhanced performance of IPMC actuator based on macroporous multilayer MCNTs/Nafion polymer. Sens. Actuators A 2022, 339, 113489. [Google Scholar] [CrossRef]
- Mishra, T.; Mandal, P.; Kumar Rout, A.; Sahoo, D. A state-of-the-art review on potential applications of natural fiber-reinforced polymer composite filled with inorganic nanoparticle. Compos. C 2022, 9, 100298. [Google Scholar] [CrossRef]
- Tayouri, M.I.; Estaji, S.; Mousavi, S.R.; Khasraghi, S.S.; Jahanmardi, R.; Nouranian, S.; Arjmand, M.; Khonakdar, H.A. Degradation of polymer nanocomposites filled with graphene oxide and reduced graphene oxide nanoparticles: A review of current status. Polym. Degrad. Stab. 2022, 206, 110179. [Google Scholar] [CrossRef]
- Li, H.-X.; Zare, Y.; Rhee, K.Y. The percolation threshold for tensile strength of polymer/CNT nanocomposites assuming filler network and interphase regions. Mater. Chem. Phys. 2018, 207, 76–83. [Google Scholar] [CrossRef]
- Basfar, A.A.; Abdel-Aziz, M.M.; Mofti, S. Accelerated aging and stabilization of radiation-vulcanized EPDM rubber. Radiat. Phys. Chem. 2000, 57, 405–409. [Google Scholar] [CrossRef]
- Müller, M.; Šleger, V.; Čedík, J.; Pexa, M. Research on the material compatibility of elastomer sealing O-rings. Polymers 2022, 14, 3323. [Google Scholar] [CrossRef]
- Kornacka, E.M. Radiation-induced oxidation in polymers. In Applications of Ionizing Radiation in Materials Processing; Chmielewski, A., Sun, Y., Eds.; Institute of Nuclear Chemistry and Technology: Warsaw, Poland, 2017; pp. 185–192. [Google Scholar]
- Deepalaxmi, R.; Rajini, V. Performance evaluation of gamma irradiated SiR-EPDM blends. Nucl. Eng. Design 2014, 273, 602–614. [Google Scholar] [CrossRef]
- Scagliusi, S.R.; Cardoso, E.C.L.; Lugao, A.B. Radiation-induced degradation of butyl rubber vulcanized by three different crosslinking systems. Radiat. Phys. Chem. 2012, 81, 991–994. [Google Scholar] [CrossRef]
- Haji-Saeid, M.; Sampa, M.H.O.; Chmielewski, A.G. Radiation treatment for sterilization of packaging materials. Radiat. Phys. Chem. 2007, 76, 1535–1541. [Google Scholar] [CrossRef]
- Abdel-Aziz, M.M.; Amer, H.A.; Atia, M.K.; Rabie, A.M. Effect of gamma radiation on the physicomechanical characters of EPDM rubber/modified additives nanocomposites. J. Vinyl Addit. Technol. 2017, 23, E188–E200. [Google Scholar] [CrossRef]
- El-Nemr, K.F.; Ali, M.A.M.; Hassan, M.M.; Hamed, H.E. Features of the structure and properties of radiation vulcanizates based on blends of polybutadiene and ethylene-propylene diene rubber. J. Vinyl Addit. Technol. 2019, 25, E64–E72. [Google Scholar] [CrossRef]
- Ning, N.; Ma, Q.; Zhang, Y.; Zhang, L.; Wu, H.; Tian, M. Enhanced thermo-oxidative aging resistance of EPDM at high temperature by using synergistic antioxidants. Polym. Degrad. Stab. 2014, 102, 1–8. [Google Scholar] [CrossRef]
- Zhao, W.; He, J.; Yu, P.; Jiang, X.; Zhang, L. Recent progress in the rubber antioxidants: A review. Polym. Degrad. Stab. 2023, 207, 110223. [Google Scholar] [CrossRef]
- Yuan, S.; Li, S.; Zhu, J.; Tang, Y. Additive manufacturing of polymeric composites from material processing to structural design. Compos. B 2021, 219, 108903. [Google Scholar] [CrossRef]






| Sample | Dose (kGy) | ||
|---|---|---|---|
| 0 | 50 | 100 | |
| EPDM | ![]() | ![]() | ![]() |
| EPDM + 1% BaTiO3 | ![]() | ![]() | ![]() |
| EPDM + 2.5% BaTiO3 | ![]() | ![]() | ![]() |
| EPDM + carbon black | ![]() | ![]() | ![]() |
| EPDM + 1% BaTiO3 + carbon black | ![]() | ![]() | ![]() |
| EPDM + 2.5% BaTiO3 + carbon black | ![]() | ![]() | ![]() |
| Sample | 7 Days | 14 Days | 21 Days | 28 Days | ||||||||
|---|---|---|---|---|---|---|---|---|---|---|---|---|
| 0 kGy | 50 kGy | 100 kGy | 0 kGy | 50 kGy | 100 kGy | 0 kGy | 50 kGy | 100 kGy | 0 kGy | 50 kGy | 100 kGy | |
| EPDM | 0 | 1 | 1 | 0 | 2 | 1 | 0 | 2 | 1 | 1 | 3 | 2 |
| EPDM + 1% BaTiO3 | 0 | 2 | 1 | 0 | 3 | 1 | 0 | 3 | 1 | 0 | 3 | 2 |
| EPDM + 2.5% BaTiO3 | 0 | 2 | 1 | 0 | 2 | 1 | 0 | 2 | 1 | 0 | 2 | 1 |
| EPDM + CB * | 0 | 0 | 0 | 0 | 0 | 0 | 0 | 0 | 0 | 0 | 1 | 1 |
| EPDM + CB + 1% BaTiO3 | 0 | 0 | 0 | 0 | 0 | 0 | 0 | 0 | 0 | 0 | 1 | 1 |
| EPDM + CB + 2.5% BaTiO3 | 0 | 0 | 0 | 0 | 0 | 0 | 0 | 0 | 0 | 0 | 1 | 1 |
Disclaimer/Publisher’s Note: The statements, opinions and data contained in all publications are solely those of the individual author(s) and contributor(s) and not of MDPI and/or the editor(s). MDPI and/or the editor(s) disclaim responsibility for any injury to people or property resulting from any ideas, methods, instructions or products referred to in the content. |
© 2023 by the authors. Licensee MDPI, Basel, Switzerland. This article is an open access article distributed under the terms and conditions of the Creative Commons Attribution (CC BY) license (https://creativecommons.org/licenses/by/4.0/).
Share and Cite
Borbath, T.; Nicula, N.; Zaharescu, T.; Borbath, I.; Boros, T.F. The Contribution of BaTiO3 to the Stability Improvement of Ethylene–Propylene–Diene Rubber: Part I—Pristine Filler. Polymers 2023, 15, 2190. https://doi.org/10.3390/polym15092190
Borbath T, Nicula N, Zaharescu T, Borbath I, Boros TF. The Contribution of BaTiO3 to the Stability Improvement of Ethylene–Propylene–Diene Rubber: Part I—Pristine Filler. Polymers. 2023; 15(9):2190. https://doi.org/10.3390/polym15092190
Chicago/Turabian StyleBorbath, Tunde, Nicoleta Nicula, Traian Zaharescu, Istvan Borbath, and Tiberiu Francisc Boros. 2023. "The Contribution of BaTiO3 to the Stability Improvement of Ethylene–Propylene–Diene Rubber: Part I—Pristine Filler" Polymers 15, no. 9: 2190. https://doi.org/10.3390/polym15092190
APA StyleBorbath, T., Nicula, N., Zaharescu, T., Borbath, I., & Boros, T. F. (2023). The Contribution of BaTiO3 to the Stability Improvement of Ethylene–Propylene–Diene Rubber: Part I—Pristine Filler. Polymers, 15(9), 2190. https://doi.org/10.3390/polym15092190



















