Rheological Behavior of DNP/HMX Melt-Cast Explosives with Bimodal and Trimodal Particle-Size Distributions
Abstract
1. Introduction
2. Experiments
2.1. Materials
2.2. Schemes of Particle Gradation
2.3. Viscosity Measurement
- 1.
- In a double-jacketed stainless-steel kettle, DNP powders are first melted at 100 C (where an oil bath was used due to the risk of explosive samples), following which HMX particles were added incrementally to the molten DNP.
- 2.
- The DNP/HMX mixture was stirred for 15 min at a rate of 500 rev/min to ensure uniform mixing and to eliminate solid agglomerates.
- 3.
- Uniform DNP/HMX suspensions were poured into the measuring element of the rheometer, and the apparent viscosities of the explosive suspensions were measured at shear rates in the range of 1–1000 .
3. Results and Discussion
3.1. Apparent Viscosity with Bimodal Size Distribution
3.1.1. Shear Thinning Viscous Behavior
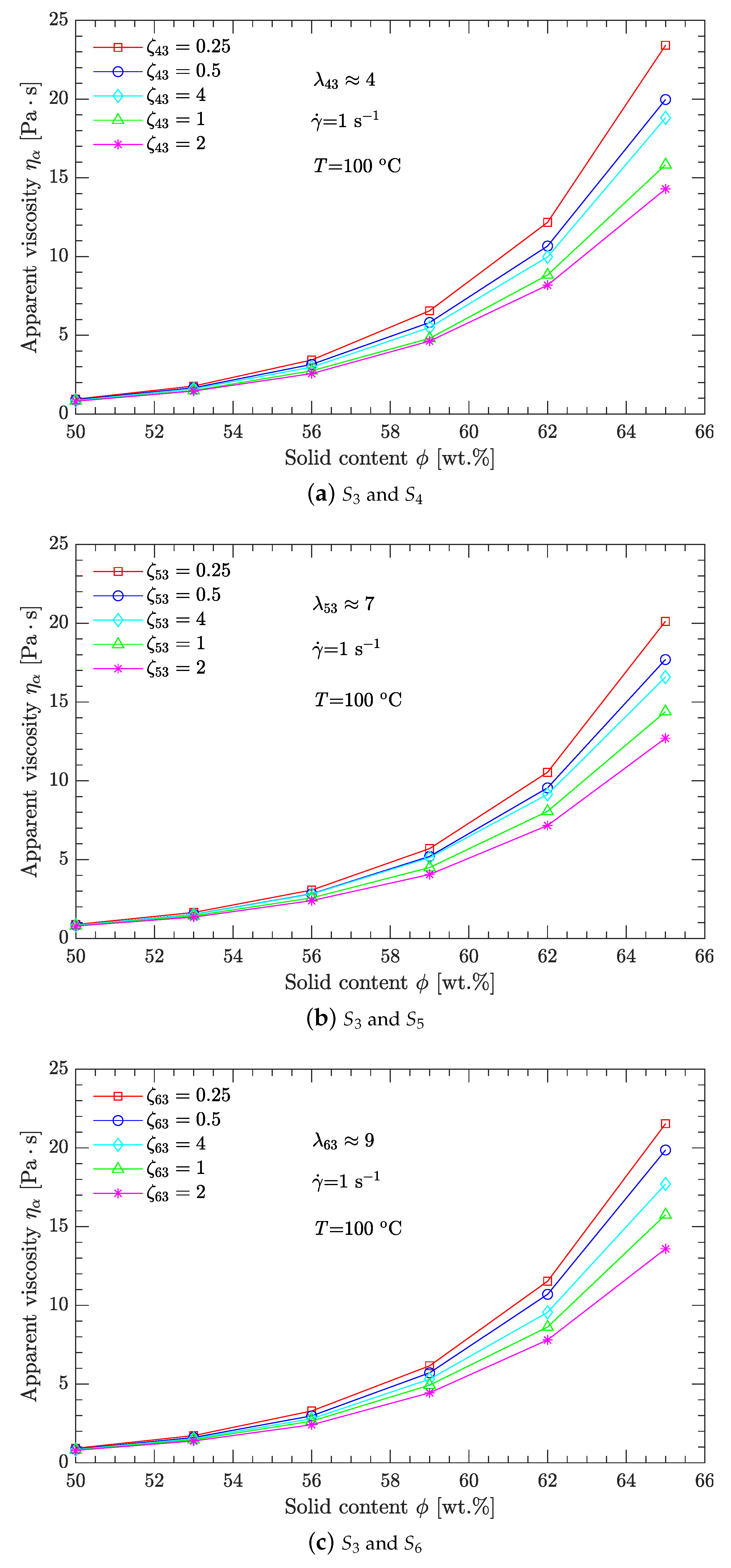
3.1.2. Effects of Solid Content
3.2. Apparent Viscosity with Trimodal Size Distribution
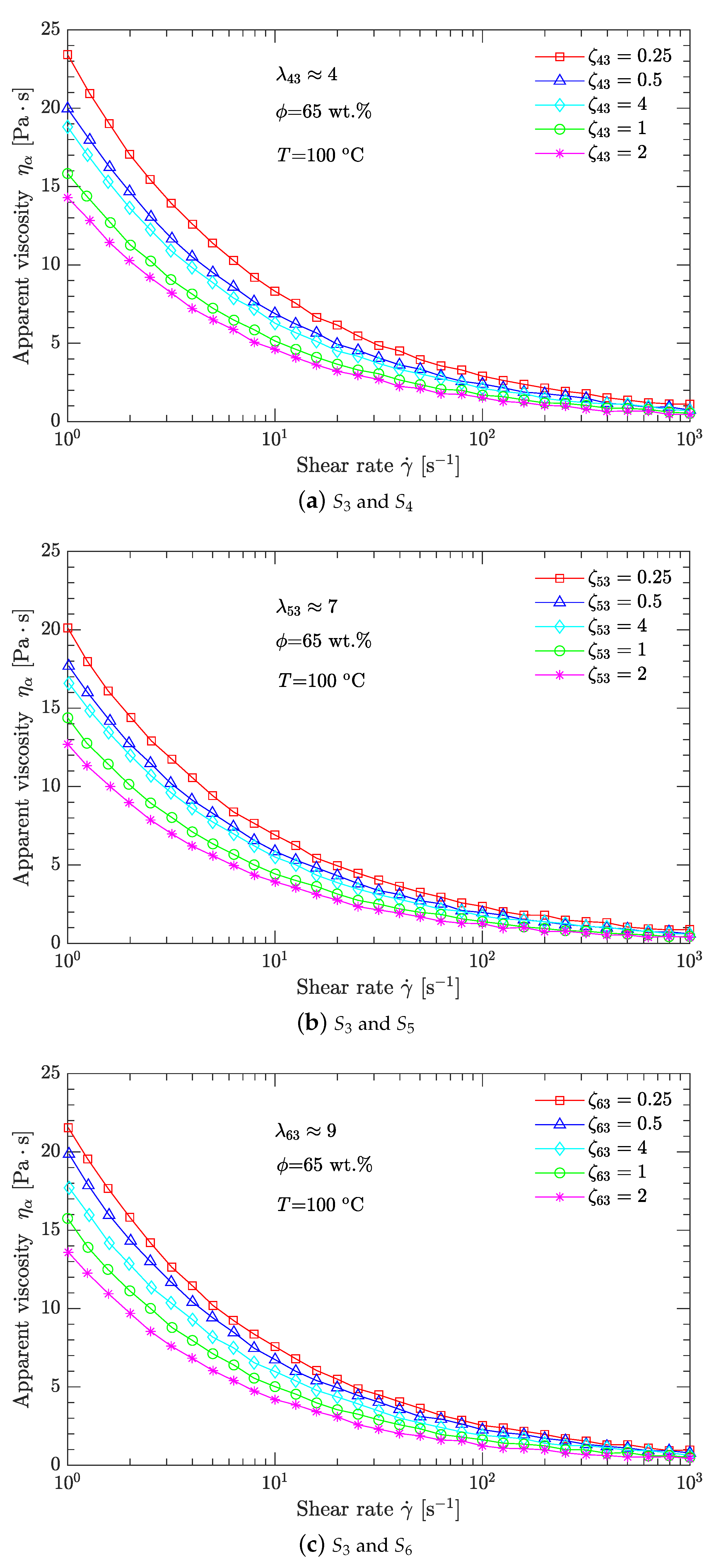
3.2.1. Fixed Diameter Ratio
3.2.2. Fixed Mass Ratio
3.3. Relative Viscosity Related to Reduced Solid Content
3.3.1. Dependence of on the Shear Rate
3.3.2. Effects of Trimodal Distribution on
4. Conclusions
Author Contributions
Funding
Institutional Review Board Statement
Informed Consent Statement
Data Availability Statement
Conflicts of Interest
References
- Muravyev, N.; Monogarov, K.; Schaller, U.; Fomenkov, I.; Pivkina, A. Progress in Additive Manufacturing of Energetic Materials: Creating the Reactive Microstructures with High Potential of Applications. Propellants Explos. Pyrotech. 2019, 44, 1–30. [Google Scholar] [CrossRef]
- Grilli, N.; Duarte, C.A.; Koslowski, M. Dynamic Fracture and Hot-Spot Modeling in Energetic Composites. J. Appl. Phys. 2018, 123, 065101. [Google Scholar] [CrossRef]
- Guillemin, J.P.; Brunet, L.; Bonnefoy, O.; Thomas, G. A Flow Time Model for Melt-Cast Insensitive Explosive Process. Propellants Explos. Pyrotech. 2007, 32, 261–266. [Google Scholar] [CrossRef]
- Singh, B.; Kaushik, D.R. Spheroidization of RDX and Its Effect on the Pourability of RDX/TNT Slurries. Def. Sci. J. 1989, 39, 95. [Google Scholar] [CrossRef]
- Billon, H.H.; Parry, M.A. The Viscosity of TATB Types A and B Suspensions in Molten TNT: General Characteristics. Technical report, Materials Research Labs Ascot Vale (AUSTRALIA). 1991. Available online: https://nla.gov.au/nla.cat-vn1198425 (accessed on 6 March 2023).
- Sarangapani, R.; Ramavat, V.; Reddy, S.; Subramanian, P.; Sikder, A.K. Rheology Studies of NTO–TNT Based Melt-Cast Dispersions and Influence of Particle–Dispersant Interactions. Powder Technol. 2015, 273, 118–124. [Google Scholar] [CrossRef]
- Zerkle, D.K.; Núñez, M.P.; Zucker, J.M. Molten Composition B Viscosity at Elevated Temperature. J. Energetic Mater. 2016, 34, 368–383. [Google Scholar] [CrossRef]
- Joshi, V.S.; Vadali, S.; Wasnik, R.D.; Jangid, S.K.; Maurya, M. Studies on Rheological Properties and Process Parameters of TNT Based Castable High Explosive Compositions. Sci. Technol. Energ. Mater. 2017, 78, 87–92. [Google Scholar]
- Zhu, D.; Zhou, L.; Zhang, X. Rheological Behavior of DNAN/HMX Melt-Cast Explosives. Propellants Explos. Pyrotech. 2019, 44, 1583–1589. [Google Scholar] [CrossRef]
- Barnes, H.A.; Hutton, J.F.; Walters, K. An Introduction to Rheology; Elsevier: New York, NY, USA, 1989. [Google Scholar]
- Greenwood, R.; Luckham, P.F.; Gregory, T. Minimising the Viscosity of Concentrated Dispersions by Using Bimodal Particle Size Distributions. Colloids Surf. Physicochem. Eng. Asp. 1998, 144, 139–147. [Google Scholar] [CrossRef]
- Mewis, J.; Wagner, N.J. Colloidal Suspension Rheology; Cambridge University Press: New York, NY, USA, 2012. [Google Scholar]
- Farris, R.J. Prediction of the Viscosity of Multimodal Suspensions from Unimodal Viscosity Data. Trans. Soc. Rheol. 1968, 12, 281–301. [Google Scholar] [CrossRef]
- Stickel, J.J.; Powell, R.L. Fluid Mechanics and Rheology of Dense Suspensions. Annu. Rev. Fluid Mech. 2005, 37, 129–149. [Google Scholar] [CrossRef]
- Liu, Y.; Zhang, Q.; Liu, R. Effect of Particle Size Distribution and Shear Rate on Relative Viscosity of Concentrated Suspensions. Rheol. Acta 2021, 60, 763–774. [Google Scholar] [CrossRef]
- Poslinski, A.J.; Ryan, M.E.; Gupta, R.K.; Seshadri, S.G.; Frechette, F.J. Rheological Behavior of Filled Polymeric Systems II. The Effect of a Bimodal Size Distribution of Particulates. J. Rheol. 1988, 32, 751–771. [Google Scholar] [CrossRef]
- Qi, F.; Tanner, R. Relative viscosity of bimodal suspensions. Korea-Aust. Rheol. J. 2011, 23, 105–111. [Google Scholar] [CrossRef]
- Sarangapani, R.; Ramavat, V.; Reddy, T.S.; Patil, R.S.; Gore, G.M.; Sikder, A.K. Effect of Particle Size and Shape of NTO on Micromeritic Characteristics and Its Explosive Formulations. Powder Technol. 2014, 253, 276–283. [Google Scholar] [CrossRef]
- Li, H.X.; Wang, J.Y.; An, C.W. Study on the Rheological Properties of CL-20/HTPB Casting Explosives. Cent. Eur. J. Energetic Mater. 2014, 11, 237–255. [Google Scholar]
- Chong, J.S.; Christiansen, E.B.; Baer, A.D. Rheology of Concentrated Suspensions. J. Appl. Polym. Sci. 1971, 15, 2007–2021. [Google Scholar] [CrossRef]
- Chang, C.; Powell, R.L. Effect of Particle Size Distributions on the Rheology of Concentrated Bimodal Suspensions. J. Rheol. 1994, 38, 85–98. [Google Scholar] [CrossRef]
- Greenwood, R.; Luckham, P.F.; Gregory, T. The Effect of Diameter Ratio and Volume Ratio on the Viscosity of Bimodal Suspensions of Polymer Latices. J. Colloid Interface Sci. 1997, 191, 11–21. [Google Scholar] [CrossRef]
- Pednekar, S.; Chun, J.; Morris, J.F. Bidisperse and Polydisperse Suspension Rheology at Large Solid Fraction. J. Rheol. 2018, 62, 513–526. [Google Scholar] [CrossRef]
- Shapiro, A.P.; Probstein, R.F. Random Packings of Spheres and Fluidity Limits of Monodisperse and Bidisperse Suspensions. Phys. Rev. Lett. 1992, 68, 1422–1425. [Google Scholar] [CrossRef] [PubMed]
- Zhang, S.S.; Zhang, Y.J.; Wang, H.W. Effect of Particle Size Distributions on the Rheology of Sn/Ag/Cu Lead-Free Solder Pastes. Mater. Des. 2010, 31, 594–598. [Google Scholar] [CrossRef]
- Gamonpilas, C.; Morris, J.F.; Denn, M.M. Shear and Normal Stress Measurements in Non-Brownian Monodisperse and Bidisperse Suspensions. J. Rheol. 2016, 60, 289–296. [Google Scholar] [CrossRef]
- Mityukov, A.V.; Govorov, V.A.; Malkin, A.Y.; Kulichikhin, V.G. Rheology of Highly Concentrated Suspensions with a Bimodal Size Distribution of Solid Particles for Powder Injection Molding. Polymers 2021, 13, 2709. [Google Scholar] [CrossRef] [PubMed]
- Yuan, B.; Yu, Z.; Bernstein, E.R. Azole Energetic Materials: Initial Mechanisms for the Energy Release from Electronical Excited Nitropyrazoles. J. Chem. Phys. 2014, 140, 034320. [Google Scholar] [CrossRef] [PubMed]
- Reinke, E.N. Toxicology Study No. S.0024589d 15, Human Cell Line Activation Test of the Novel Energetic, 3,4 -Dinitropyrazole (DNP); Technical Report; Army Public Health Center (Provisional) Aberdeen Proving Ground United States: Aberdeen Proving Ground, MD, USA, 2016. [Google Scholar]
- Price, D.; Morris, J. Synthesis of New Energetic Melt-Pour Candidates. In Proceedings of the Insensitive Munitions and Energetic Materials Technology Symposium, BAE Systems/HSAAP, Fairview Park Drive, VA, USA, 11–14 May 2009. [Google Scholar]
- Ravi, P.; Badgujar, D.M.; Gore, G.M.; Tewari, S.P.; Sikder, A.K. Review on Melt Cast Explosives. Propellants Explos. Pyrotech. 2011, 36, 393–403. [Google Scholar] [CrossRef]
- Guo, H.; Yu, S.; Li, Y.; Wang, J.; Cao, D.; Qin, Z. Crystal Structure of 3,4-Dinitropyrazole in Water. Mol. Cryst. Liq. Cryst. 2019, 690, 43–49. [Google Scholar] [CrossRef]
- Zhou, L.; Chen, S.; Zhang, X.; Ni, L.; Yan, B. Rheological Properties of DNP/HMX Melt-Cast Explosives. Chin. J. Explos. Propellants 2021, 44, 30–34. [Google Scholar]
- Li, D.; Zhou, L.; Zhang, X. Partial Reparametrization of the BKW Equation of State for DNAN-Based Melt-Cast Explosives. Propellants Explos. Pyrotech. 2017, 42, 499–505. [Google Scholar] [CrossRef]
- Zhu, D.; Zhou, L.; Zhang, X.; Zhao, J. Simultaneous Determination of Multiple Mechanical Parameters for a DNAN/HMX Melt-Cast Explosive by Brazilian Disc Test Combined with Digital Image Correlation Method. Propellants Explos. Pyrotech. 2017, 42, 864–872. [Google Scholar] [CrossRef]
- Li, S.; Duan, Z.; Gao, T.; Wang, X.; Ou, Z.; Huang, F. Size Effect of Explosive Particle on Shock Initiation of Aluminized 2,4-Dinitroanisole (DNAN)-Based Melt-Cast Explosive. J. Appl. Phys. 2020, 128, 125903. [Google Scholar] [CrossRef]
- Boyer, F.; Pouliquen, O.; Guazzelli, E. Dense suspensions in rotating-rod flows: Normal stresses and particle migration. J. Fluid Mech. 2011, 686, 5–25. [Google Scholar] [CrossRef]
- Lyon, M.K.; Leal, L.G. An experimental study of the motion of concentrated suspensions in two-dimensional channel flow. Part 2. Bidisperse systems. J. Fluid Mech. 1998, 363, 57–77. [Google Scholar] [CrossRef]
- Semwogerere, D.; Weeks, E. Shear-induced particle migration in binary colloidal suspensions. Phys. Fluids 2008, 20, 043306. [Google Scholar] [CrossRef]
- Fernandes, R.; Turezo, G.; Andrade, D.; Franco, A.; Negrão, C. Are the rheological properties of water-based and synthetic drilling fluids obtained by the Fann 35A viscometer reliable? J. Pet. Sci. Eng. 2019, 177, 872–879. [Google Scholar] [CrossRef]
- Talmon, A.; Meshkati, E. Rheology, Rheometry and Wall Slip. 2022. Available online: https://www.intechopen.com/online-first/84456 (accessed on 28 October 2022). [CrossRef]
- Parry, M.A.; Billon, H.H. A Note on the Coefficient of Viscosity of Pure Molten 2,4,6-Trinitrotoluene (TNT). Rheol. Acta 1988, 27, 661–663. [Google Scholar] [CrossRef]
- Parry, M.A.; Billon, H.H. Flow Behaviour of Molten 2,4,6-Trinitrotoluene (TNT) between Concentric Cylinders. Rheol. Acta 1990, 29, 462–468. [Google Scholar] [CrossRef]
- Chhabra, R.P.; Richardson, J.F. Non-Newtonian Flow and Applied Rheology: Engineering Applications; Butterworth-Heinemann: Oxford, UK, 2008. [Google Scholar]
- Krieger, I.M.; Dougherty, T.J. A Mechanism for Non-Newtonian Flow in Suspensions of Rigid Spheres. Trans. Soc. Rheol. 1959, 3, 137–152. [Google Scholar] [CrossRef]
- Gondret, P.; Petit, L. Dynamic Viscosity of Macroscopic Suspensions of Bimodal Sized Solid Spheres. J. Rheol. 1997, 41, 1261–1274. [Google Scholar] [CrossRef]
- Shewan, H.M.; Stokes, J.R. Analytically Predicting the Viscosity of Hard Sphere Suspensions from the Particle Size Distribution. J. Non–Newton. Fluid Mech. 2015, 222, 72–81. [Google Scholar] [CrossRef]
- Mueller, S.; Llewellin, E.W.; Mader, H.M. The Rheology of Suspensions of Solid Particles. Proc. R. Soc. Math. Phys. Eng. Sci. 2010, 466, 1201–1228. [Google Scholar] [CrossRef]
- Dimitri, C.; Mohamed, S.; Thierry, B.; Jean-Claude, G. Influence of Particle-Size Distribution and Temperature on the Rheological Properties of Highly Concentrated Inconel Feedstock Alloy 718. Powder Technol. 2017, 322, 273–289. [Google Scholar] [CrossRef]
















| Scheme No. | Scheme No. | Scheme No. | ||||||
|---|---|---|---|---|---|---|---|---|
| 1 | 4 | 0.25 | 6 | 7 | 0.25 | 11 | 9 | 0.25 |
| 2 | 0.5 | 7 | 0.5 | 12 | 0.5 | |||
| 3 | 1 | 8 | 1 | 13 | 1 | |||
| 4 | 2 | 9 | 2 | 14 | 2 | |||
| 5 | 4 | 10 | 4 | 15 | 4 |
| Diameter Ratio | Mass Ratio | Apparent Viscosity [Pa·s] | |||
|---|---|---|---|---|---|
| 14.29 | 4.61 | 1.52 | 0.45 | ||
| 13.59 | 4.19 | 1.24 | 0.43 | ||
| 12.70 | 3.92 | 1.22 | 0.39 | ||
| Diameter Ratio | Mass Ratio | Apparent Viscosity [Pa·s] | |||||
|---|---|---|---|---|---|---|---|
[wt.%] | [wt.%] | [wt.%] | [wt.%] | [wt.%] | [wt.%] | ||
| 0.81 | 1.46 | 2.56 | 4.63 | 8.18 | 14.29 | ||
| 0.79 | 1.39 | 2.42 | 4.45 | 7.80 | 13.59 | ||
| 0.78 | 1.35 | 2.40 | 4.06 | 7.16 | 12.70 | ||
| Scheme No. | Diameter Ratio | Mass Ratio |
|---|---|---|
| 16 | 49:7:1 | 2:1:0.2 |
| 17 | 2:1:0.3 | |
| 18 | 2:1:0.4 | |
| 19 | 2:1:0.5 | |
| 20 | 2:1:0.6 | |
| 21 | 2:1:0.7 | |
| 22 | 2:1:0.8 |
| Scheme No. | Diameter Ratio | Mass Ratio |
|---|---|---|
| 23 | 2 : 1 : 0.5 | |
| 19 | ||
| 24 | ||
| 25 | ||
| 26 | ||
| 27 |
| Scheme No. | Diameter Ratio | Mass Ratio | [ Pa·s] | [wt.%] |
|---|---|---|---|---|
| 9 | 12.70 | 77.73 | ||
| 14 | 13.59 | 77.31 | ||
| 4 | 14.29 | 77.02 | ||
| 8 | 14.39 | 76.93 | ||
| 13 | 15.76 | 76.81 | ||
| 3 | 15.83 | 76.70 | ||
| 10 | 16.58 | 76.53 | ||
| 7 | 17.69 | 76.32 | ||
| 15 | 17.71 | 76.23 | ||
| 5 | 18.81 | 76.01 | ||
| 12 | 19.86 | 75.89 | ||
| 2 | 19.97 | 75.78 | ||
| 6 | 20.12 | 75.72 | ||
| 11 | 21.54 | 75.41 | ||
| 1 | 23.42 | 75.12 |
| Scheme No. | Diameter Ratio | Mass Ratio |
|---|---|---|
| 28 | 2 : 1 : 0.3 | |
| 29 | ||
| 30 | ||
| 31 | ||
| 32 | ||
| 33 |
Disclaimer/Publisher’s Note: The statements, opinions and data contained in all publications are solely those of the individual author(s) and contributor(s) and not of MDPI and/or the editor(s). MDPI and/or the editor(s) disclaim responsibility for any injury to people or property resulting from any ideas, methods, instructions or products referred to in the content. |
© 2023 by the authors. Licensee MDPI, Basel, Switzerland. This article is an open access article distributed under the terms and conditions of the Creative Commons Attribution (CC BY) license (https://creativecommons.org/licenses/by/4.0/).
Share and Cite
Xie, H.; Zhang, X.; Jiang, T.; Zhu, Y.; Zhou, L. Rheological Behavior of DNP/HMX Melt-Cast Explosives with Bimodal and Trimodal Particle-Size Distributions. Polymers 2023, 15, 1446. https://doi.org/10.3390/polym15061446
Xie H, Zhang X, Jiang T, Zhu Y, Zhou L. Rheological Behavior of DNP/HMX Melt-Cast Explosives with Bimodal and Trimodal Particle-Size Distributions. Polymers. 2023; 15(6):1446. https://doi.org/10.3390/polym15061446
Chicago/Turabian StyleXie, Hanfei, Xiangrong Zhang, Tao Jiang, Yingzhong Zhu, and Lin Zhou. 2023. "Rheological Behavior of DNP/HMX Melt-Cast Explosives with Bimodal and Trimodal Particle-Size Distributions" Polymers 15, no. 6: 1446. https://doi.org/10.3390/polym15061446
APA StyleXie, H., Zhang, X., Jiang, T., Zhu, Y., & Zhou, L. (2023). Rheological Behavior of DNP/HMX Melt-Cast Explosives with Bimodal and Trimodal Particle-Size Distributions. Polymers, 15(6), 1446. https://doi.org/10.3390/polym15061446

