Development of Benzobisoxazole-Based Novel Conjugated Polymers for Organic Thin-Film Transistors
Abstract
1. Introduction
2. Materials and Methods
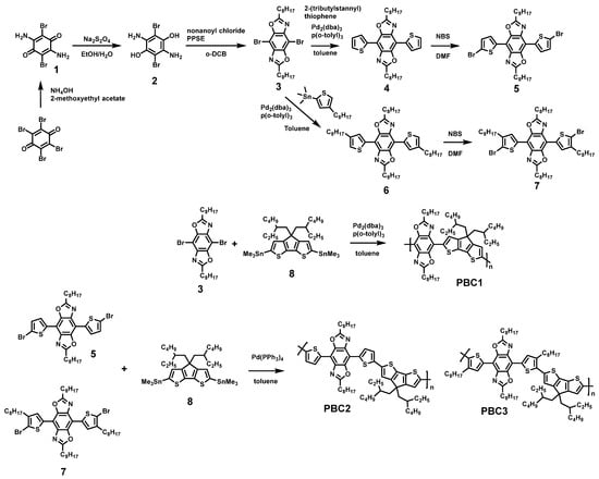
2.1. Synthesis of Monomers
2.2. Synthesis of Polymers
2.3. Characterization of the Synthesized Materials
2.4. Device Fabrication and Characterization
3. Results and Discussion
3.1. Synthesis and Characterization of the Polymers
3.2. Optical and Electrochemical Properties
3.3. OTFT Properties and Analysis
4. Conclusions
Supplementary Materials
Author Contributions
Funding
Institutional Review Board Statement
Informed Consent Statement
Data Availability Statement
Conflicts of Interest
References
- Chiang, C.K.; Fincher, C.R.; Park, Y.W.; Heeger, A.J.; Shirakawa, H.; Louis, E.J.; Gau, S.C.; MacDiarmid, A.G. Electrical Conductivity in Doped Polyacetylene. Phys. Rev. Lett. 1977, 39, 1098–1101. [Google Scholar] [CrossRef]
- Twenty-five years of conducting polymers. Chem. Commun. 2003, 1–4. [CrossRef]
- Jadoun, S.; Riaz, U. Conjugated Polymer Light-Emitting Diodes. In Polymers for Light—Emitting Devices and Displays; Wiley: Hoboken, NJ, USA, 2020; pp. 77–98. [Google Scholar]
- Pandey, M.; Kumari, N.; Nagamatsu, S.; Pandey, S.S. Recent advances in the orientation of conjugated polymers for organic field-effect transistors. J. Mater. Chem. C 2019, 7, 13323–13351. [Google Scholar] [CrossRef]
- Al-Azzawi, A.G.S.; Aziz, S.B.; Dannoun, E.M.A.; Iraqi, A.; Nofal, M.M.; Murad, A.R.; M. Hussein, A. A Mini Review on the Development of Conjugated Polymers: Steps towards the Commercialization of Organic Solar Cells. Polymers 2022, 15, 164. [Google Scholar] [CrossRef] [PubMed]
- Rech, J.J.; Neu, J.; Qin, Y.; Samson, S.; Shanahan, J.; Josey III, R.F.; Ade, H.; You, W. Designing Simple Conjugated Polymers for Scalable and Efficient Organic Solar Cells. ChemSusChem 2021, 14, 3561–3568. [Google Scholar] [CrossRef] [PubMed]
- Scharber, M.C.; Sariciftci, N.S. Low Band Gap Conjugated Semiconducting Polymers. Adv. Mater. Technol. 2021, 6, 2000857. [Google Scholar] [CrossRef]
- Chow, P.C.Y.; Someya, T. Organic Photodetectors for Next-Generation Wearable Electronics. Adv. Mater. 2020, 32, 1902045. [Google Scholar] [CrossRef] [PubMed]
- Kim, M.; Ryu, S.U.; Park, S.A.; Choi, K.; Kim, T.; Chung, D.; Park, T. Donor–Acceptor-Conjugated Polymer for High-Performance Organic Field-Effect Transistors: A Progress Report. Adv. Funct. Mater. 2020, 30, 1904545. [Google Scholar] [CrossRef]
- Kang, J.; Kim, J.; Ham, H.; Ahn, H.; Lim, S.Y.; Kim, H.M.; Kang, I.-N.; Jung, I.H. High-Detectivity Green-Selective All-Polymer p–n Junction Photodetectors. Adv. Opt. Mater. 2020, 8, 2001038. [Google Scholar] [CrossRef]
- Hauyon, R.A.; Fuentealba, D.; Pizarro, N.; Ortega-Alfaro, M.C.; Ugalde-Saldívar, V.M.; Sobarzo, P.A.; Medina, J.; García, L.; Jessop, I.A.; González-Henríquez, C.M.; et al. New Light-Green Thermally Activated Delayed Fluorescence Polymer Based on Dimethylacridine-Triphenyltriazine Light-Emitting Unit and Tetraphenylsilane Moiety as Non-Conjugated Backbone. Polymers 2023, 15, 67. [Google Scholar] [CrossRef]
- Mdluli, S.B.; Ramoroka, M.E.; Yussuf, S.T.; Modibane, K.D.; John-Denk, V.S.; Iwuoha, E.I. π-Conjugated Polymers and Their Application in Organic and Hybrid Organic-Silicon Solar Cells. Polymers 2022, 14, 716. [Google Scholar] [CrossRef]
- Cheng, Y.-J.; Yang, S.-H.; Hsu, C.-S. Synthesis of Conjugated Polymers for Organic Solar Cell Applications. Chem. Rev. 2009, 109, 5868–5923. [Google Scholar] [CrossRef]
- Günes, S.; Neugebauer, H.; Sariciftci, N.S. Conjugated Polymer-Based Organic Solar Cells. Chem. Rev. 2007, 107, 1324–1338. [Google Scholar] [CrossRef]
- Son, H.J.; Carsten, B.; Jung, I.H.; Yu, L. Overcoming efficiency challenges in organic solar cells: Rational development of conjugated polymers. Energy Environ. Sci. 2012, 5, 8158–8170. [Google Scholar] [CrossRef]
- Bedi, A.; Senanayak, S.P.; Das, S.; Narayan, K.S.; Zade, S.S. Cyclopenta[c]thiophene oligomers based solution processable D–A copolymers and their application as FET materials. Polym. Chem. 2012, 3, 1453–1460. [Google Scholar] [CrossRef]
- Rech, J.J.; Yan, L.; Wang, Z.; Zhang, Q.; Bradshaw, S.; Ade, H.; You, W. Functionalization of Benzotriazole-Based Conjugated Polymers for Solar Cells: Heteroatom vs Substituents. ACS Appl. Polymer Mater. 2021, 3, 30–41. [Google Scholar] [CrossRef]
- Cong, P.; Wang, Z.; Geng, Y.; Meng, Y.; Meng, C.; Chen, L.; Tang, A.; Zhou, E. Benzothiadiazole-based polymer donors. Nano Energy 2023, 105, 108017. [Google Scholar] [CrossRef]
- Murad, A.R.; Iraqi, A.; Aziz, S.B.; Abdullah, S.N.; Brza, M.A.; Saeed, S.R.; Abdulwahid, R.T. Fabrication of Alternating Copolymers Based on Cyclopentadithiophene-Benzothiadiazole Dicarboxylic Imide with Reduced Optical Band Gap: Synthesis, Optical, Electrochemical, Thermal, and Structural Properties. Polymers 2021, 13, 63. [Google Scholar] [CrossRef]
- Chandran, D.; Marszalek, T.; Zajaczkowski, W.; Madathil, P.K.; Vijayaraghavan, R.K.; Koh, Y.-H.; Park, S.-y.; Ochsmann, J.R.; Pisula, W.; Lee, K.-S. Thin film morphology and charge carrier mobility of diketopyrrolopyrrole based conjugated polymers. Polymer 2015, 73, 205–213. [Google Scholar] [CrossRef]
- Lee, K.; Jeong, M.-K.; Suh, E.H.; Jeong, W.; Oh, J.G.; Jang, J.; Jung, I.H. Rational Design of Highly Soluble and Crystalline Conjugated Polymers for High-Performance Field-Effect Transistors. Adv. Electron. Mater. 2022, 8, 2101105. [Google Scholar] [CrossRef]
- Liu, Q.; Bottle, S.E.; Sonar, P. Developments of Diketopyrrolopyrrole-Dye-Based Organic Semiconductors for a Wide Range of Applications in Electronics. Adv. Mater. 2020, 32, 1903882. [Google Scholar] [CrossRef] [PubMed]
- Kim, N.Y.; Lee, T.S.; Lee, D.Y.; Oh, J.G.; Lee, K.; Kim, J.Y.; An, T.K.; Jeong, Y.J.; Jang, J.; Kim, Y.-H. Enhanced doping efficiency and thermoelectric performance of diketopyrrolopyrrole-based conjugated polymers with extended thiophene donors. J. Mater. Chem. C 2021, 9, 340–347. [Google Scholar] [CrossRef]
- Li, C.-H.; Kettle, J.; Horie, M. Cyclopentadithiophene–naphthalenediimide polymers; synthesis, characterisation, and n-type semiconducting properties in field-effect transistors and photovoltaic devices. Mater. Chem. Phys. 2014, 144, 519–528. [Google Scholar] [CrossRef]
- Pisula, W.; Tsao, H.N.; Dudenko, D.; Cho, D.M.; Puniredd, S.R.; Zhao, Y.; Mavrinskiy, A.; Shu, J.; Hansen, M.R.; Baumgarten, M.; et al. Solid-State Organization and Ambipolar Field-Effect Transistors of Benzothiadiazole-Cyclopentadithiophene Copolymer with Long Branched Alkyl Side Chains. Polymers 2013, 5, 833–846. [Google Scholar] [CrossRef]
- Suh, E.H.; Jeong, M.-K.; Lee, K.; Jeong, W.; Jeong, Y.J.; Jung, I.H.; Jang, J. Understanding the Solution-State Doping of Donor–Acceptor Polymers Through Tailored Side Chain Engineering for Thermoelectrics. Adv. Funct. Mater. 2022, 32, 2207886. [Google Scholar] [CrossRef]
- Zhou, Y.; Zhang, S.; Zhang, W.; Huang, J.; Wei, C.; Wang, L.; Yu, G. Synthesis, characterization, and their field-effect properties of azaisoindigo-based conjugated polymers with versatile alkoxycarbonyl substituents. Polymer 2021, 215, 123347. [Google Scholar] [CrossRef]
- Kim, H.; Kang, J.; Park, J.; Ahn, H.; Kang, I.-N.; Jung, I.H. All-Polymer Photodetectors with n-Type Polymers Having Nonconjugated Spacers for Dark Current Density Reduction. Macromolecules 2022, 55, 9489–9501. [Google Scholar] [CrossRef]
- Zhou, N.; Facchetti, A. Naphthalenediimide (NDI) polymers for all-polymer photovoltaics. Mater. Today 2018, 21, 377–390. [Google Scholar] [CrossRef]
- Wheeler, D.; Tannir, S.; Smith, E.; Tomlinson, A.; Jeffries-El, M. A computational and experimental investigation of deep-blue light-emitting tetraaryl-benzobis[1,2-d:4,5-d′]oxazoles. Mater. Adv. 2022, 3, 3842–3852. [Google Scholar] [CrossRef]
- Wheeler, D.L.; Diodati, A.V.; Tomlinson, A.L.; Jeffries-El, M. Evaluating the Role of Molecular Heredity in the Optical and Electronic Properties of Cross-Conjugated Benzo[1,2-d:4,5-d′]bisoxazoles. ACS Omega 2020, 5, 12374–12384. [Google Scholar] [CrossRef]
- Jeong, W.; Kang, J.; Lim, S.Y.; Ahn, H.; Kim, H.M.; Won, J.H.; Jung, I.H. Spontaneously Induced Hierarchical Structure by Surface Energy in Novel Conjugated Polymer-Based Ultrafast-Response Organic Photodetectors. Adv. Opt. Mater. 2022, 10, 2102607. [Google Scholar] [CrossRef]
- Intemann, J.J.; Mike, J.F.; Cai, M.; Bose, S.; Xiao, T.; Mauldin, T.C.; Roggers, R.A.; Shinar, J.; Shinar, R.; Jeffries-El, M. Synthesis and Characterization of Poly(9,9-dialkylfluorenevinylene benzobisoxazoles): New Solution-Processable Electron-Accepting Conjugated Polymers. Macromolecules 2011, 44, 248–255. [Google Scholar] [CrossRef]
- Mike, J.F.; Intemann, J.J.; Cai, M.; Xiao, T.; Shinar, R.; Shinar, J.; Jeffries-El, M. Efficient synthesis of benzobisazole terpolymers containing thiophene and fluorene. Polym. Chem. 2011, 2, 2299–2305. [Google Scholar] [CrossRef]
- Bhuwalka, A.; Mike, J.F.; He, M.; Intemann, J.J.; Nelson, T.; Ewan, M.D.; Roggers, R.A.; Lin, Z.; Jeffries-El, M. Quaterthiophene–Benzobisazole Copolymers for Photovoltaic Cells: Effect of Heteroatom Placement and Substitution on the Optical and Electronic Properties. Macromolecules 2011, 44, 9611–9617. [Google Scholar] [CrossRef]
- Kim, H.; Kang, J.; Ahn, H.; Jung, I.H. Contribution of dark current density to the photodetecting properties of thieno[3,4-b]pyrazine-based low bandgap polymers. Dyes Pigm. 2022, 197, 109910. [Google Scholar] [CrossRef]
- Kang, J.; Kim, J.; Won, J.H.; Ahn, H.; Kim, J.; Yoon, S.C.; Lim, E.; Jung, I.H. Enhanced Static and Dynamic Properties of Highly Miscible Fullerene-Free Green-Selective Organic Photodetectors. ACS Appl. Mater. Interfaces 2021, 13, 25164–25174. [Google Scholar] [CrossRef]
- Kim, J.; Kang, J.; Jung, I.H. Synthesis and characterization of a copper(II) phthalocyanine-based dye for organic photodetectors. Bull. Korean Chem. Soc. 2022, 43, 1130–1135. [Google Scholar] [CrossRef]
- Hashemi, A.; Bahari, A. Synthesis and characterization of silanized-SiO2/povidone nanocomposite as a gate insulator: The influence of Si semiconductor film type on the interface traps by deconvolution of Si2s. Curr. Appl. Phys. 2018, 18, 1546–1552. [Google Scholar] [CrossRef]
- Hashemi, A.; Bahari, A.; Ghasemi, S. The low threshold voltage n-type silicon transistors based on a polymer/silica nanocomposite gate dielectric: The effect of annealing temperatures on their operation. Appl. Surf. Sci. 2017, 416, 234–240. [Google Scholar] [CrossRef]
- Virkar, A.A.; Mannsfeld, S.; Bao, Z.; Stingelin, N. Organic Semiconductor Growth and Morphology Considerations for Organic Thin-Film Transistors. Adv. Mater. 2010, 22, 3857–3875. [Google Scholar] [CrossRef]
- Hu, Y.; Cao, X.; Fan, H. Crystallization of D-A Conjugated Polymers: A Review of Recent Research. Polymers 2022, 14, 4612. [Google Scholar] [CrossRef] [PubMed]
- Shahbazi, M.; Bahari, A.; Ghasemi, S. Studying saturation mobility, threshold voltage, and stability of PMMA-SiO2-TMSPM nano-hybrid as OFET gate dielectric. Synth. Met. 2016, 221, 332–339. [Google Scholar] [CrossRef]
- Najafi-Ashtiani, H.; Bahari, A.; Gholipour, S. Investigation of coloration efficiency for tungsten oxide–silver nanocomposite thin films with different surface morphologies. J. Mater. Sci. Mater. Electron. 2018, 29, 5820–5829. [Google Scholar] [CrossRef]






| Polymer | λmax (nm) a | Egopt (eV) b | Eox (V)/EHOMOCV (eV) c | Ere (V)/ELUMOCV (eV) d | ELUMOOpt (eV) e | |
|---|---|---|---|---|---|---|
| Solution | Film | |||||
| PBC1 | 564, 606 | 575, 617 | 1.86 | 0.47/−5.12 | −1.12/−3.53 | −3.26 |
| PBC2 | 544 | 560, 592 | 1.90 | 0.35/−5.00 | −1.18/−3.47 | −3.10 |
| PBC3 | 504 | 530 | 1.95 | 0.35/−5.00 | −1.17/3.48 | −3.05 |
| Polymer | Annealing Temperature (°C) | Field-Effect Mobility (μ) (cm2 V−1·s−1) | On/Off Ratio | Threshold Voltage (V) |
|---|---|---|---|---|
| PBC1 | As-cast | 0.00013 | 103 | −3.9 5.4 |
| 100 | 0.00045 | 103 | −2.8 1.2 | |
| 150 | 0.00080 | 103–104 | −3.4 0.5 | |
| 200 | 0.00092 | 103–104 | −2.9 1.5 | |
| PBC2 | As-cast | 0.015 | 104 | −2.9 0.3 |
| 100 | 0.022 | 105 | −3.1 1.1 | |
| 150 | 0.011 | 105 | −3.4 0.7 | |
| PBC3 | As-cast | 0.00047 | 103 | −3.5 1.1 |
| 50 | 0.00050 | 103 | −4.3 0.8 | |
| 100 | 0.00034 | 103 | −5.8 2.9 |
Disclaimer/Publisher’s Note: The statements, opinions and data contained in all publications are solely those of the individual author(s) and contributor(s) and not of MDPI and/or the editor(s). MDPI and/or the editor(s) disclaim responsibility for any injury to people or property resulting from any ideas, methods, instructions or products referred to in the content. |
© 2023 by the authors. Licensee MDPI, Basel, Switzerland. This article is an open access article distributed under the terms and conditions of the Creative Commons Attribution (CC BY) license (https://creativecommons.org/licenses/by/4.0/).
Share and Cite
Jeong, W.; Lee, K.; Jang, J.; Jung, I.H. Development of Benzobisoxazole-Based Novel Conjugated Polymers for Organic Thin-Film Transistors. Polymers 2023, 15, 1156. https://doi.org/10.3390/polym15051156
Jeong W, Lee K, Jang J, Jung IH. Development of Benzobisoxazole-Based Novel Conjugated Polymers for Organic Thin-Film Transistors. Polymers. 2023; 15(5):1156. https://doi.org/10.3390/polym15051156
Chicago/Turabian StyleJeong, WonJo, Kyumin Lee, Jaeyoung Jang, and In Hwan Jung. 2023. "Development of Benzobisoxazole-Based Novel Conjugated Polymers for Organic Thin-Film Transistors" Polymers 15, no. 5: 1156. https://doi.org/10.3390/polym15051156
APA StyleJeong, W., Lee, K., Jang, J., & Jung, I. H. (2023). Development of Benzobisoxazole-Based Novel Conjugated Polymers for Organic Thin-Film Transistors. Polymers, 15(5), 1156. https://doi.org/10.3390/polym15051156

