Development of Hybrid Materials Based on Chitosan, Poly(Ethylene Glycol) and Laponite® RD: Effect of Clay Concentration
Abstract
:1. Introduction
2. Materials and Methods
2.1. Materials
2.2. Dispersions and Films Preparation
2.3. Rheological Investigations
2.4. Turbidimetry Measurements
2.5. Fourier Transform Infrared Spectroscopy (FTIR)
2.6. Scanning Electron Microscopy (SEM)
2.7. Polarized Light Microscopy (POM)
2.8. Thermogravimetric Analysis (TGA)
2.9. Swelling Experiments
2.10. Statistical Analysis
3. Results and Discussions
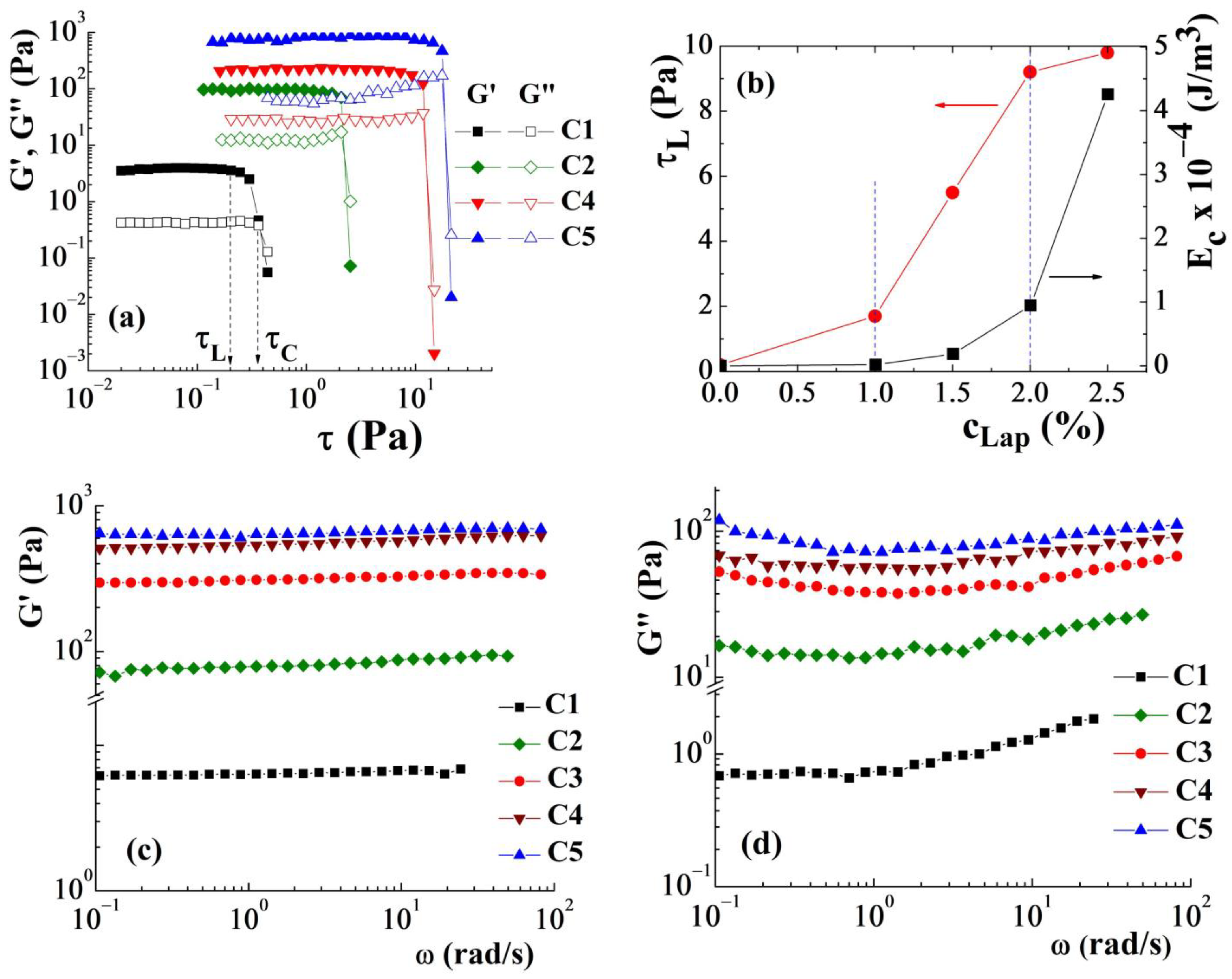
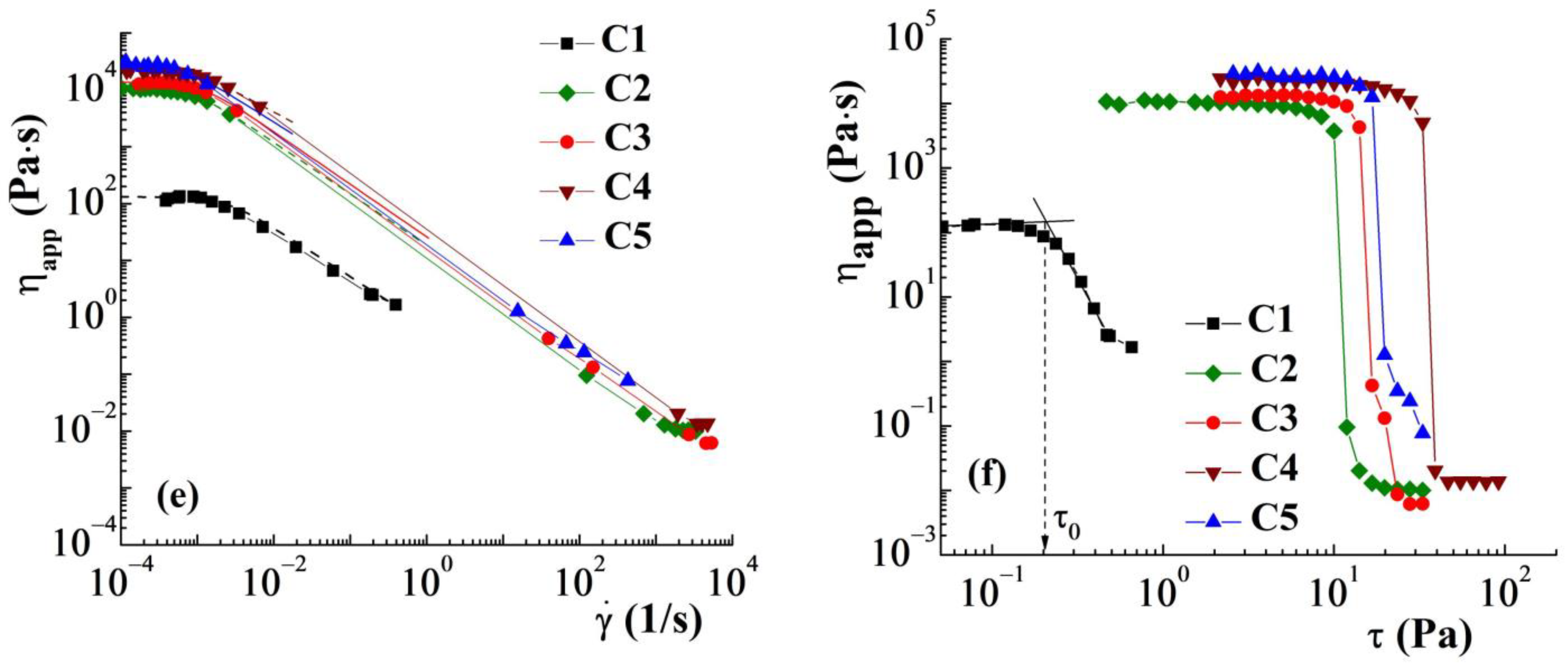
3.1. Rheological Properties of CS/PEG Dispersions with/without Lap
3.2. Turbidimetric Analysis
3.3. Structural and Morphological Characterization of Films
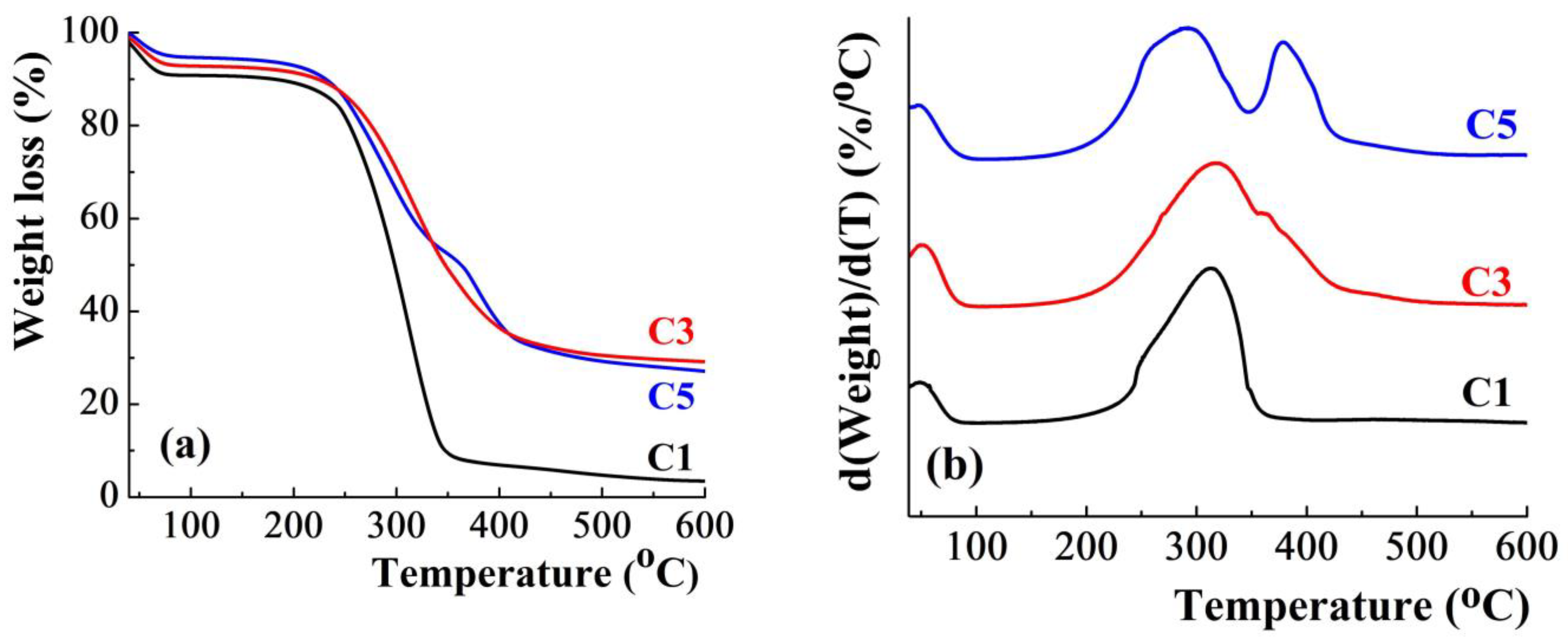
3.4. Thermal Analysis
3.5. Swelling Measurements
4. Conclusions
Author Contributions
Funding
Institutional Review Board Statement
Informed Consent Statement
Data Availability Statement
Conflicts of Interest
References
- Kedir, W.M.; Abdi, G.F.; Goro, M.M.; Tolesa, L.D. Pharmaceutical and Drug Delivery Applications of Chitosan Biopolymer and Its Modified Nanocomposite: A Review. Heliyon 2022, 8, e10196. [Google Scholar] [CrossRef] [PubMed]
- Feiz, S.; Navarchian, A.H. Poly(Vinyl Alcohol) Hydrogel/Chitosan-Modified Clay Nanocomposites for Wound Dressing Application and Controlled Drug Release. Macromol. Res. 2019, 27, 290–300. [Google Scholar] [CrossRef]
- Cui, Z.-K.; Kim, S.; Baljon, J.J.; Wu, B.M.; Aghaloo, T.; Lee, M. Microporous Methacrylated Glycol Chitosan-Montmorillonite Nanocomposite Hydrogel for Bone Tissue Engineering. Nat. Commun. 2019, 10, 3523. [Google Scholar] [CrossRef] [PubMed]
- Giannakas, A.E.; Salmas, C.E.; Moschovas, D.; Baikousi, M.; Kollia, E.; Tsigkou, V.; Karakassides, A.; Leontiou, A.; Kehayias, G.; Avgeropoulos, A.; et al. Nanocomposite Film Development Based on Chitosan/Polyvinyl Alcohol Using ZnO@Montmorillonite and ZnO@Halloysite Hybrid Nanostructures for Active Food Packaging Applications. Nanomaterials 2022, 12, 1843. [Google Scholar] [CrossRef] [PubMed]
- Tahari, N.; de Hoyos-Martinez, P.L.; Izaguirre, N.; Houwaida, N.; Abderrabba, M.; Ayadi, S.; Labidi, J. Preparation of Chitosan/Tannin and Montmorillonite Films as Adsorbents for Methyl Orange Dye Removal. Int. J. Biol. Macromol. 2022, 210, 94–106. [Google Scholar] [CrossRef]
- Dinçer, A.; Becerik, S.; Aydemir, T. Immobilization of Tyrosinase on Chitosan–Clay Composite Beads. Int. J. Biol. Macromol. 2012, 50, 815–820. [Google Scholar] [CrossRef]
- Huq, T.; Khan, A.; Brown, D.; Dhayagude, N.; He, Z.; Ni, Y. Sources, Production and Commercial Applications of Fungal Chitosan: A Review. J. Bioresour. Bioprod. 2022, 7, 85–98. [Google Scholar] [CrossRef]
- Rahmani Del Bakhshayesh, A.; Annabi, N.; Khalilov, R.; Akbarzadeh, A.; Samiei, M.; Alizadeh, E.; Alizadeh-Ghodsi, M.; Davaran, S.; Montaseri, A. Recent Advances on Biomedical Applications of Scaffolds in Wound Healing and Dermal Tissue Engineering. Artif. Cells Nanomed. Biotechnol. 2018, 46, 691–705. [Google Scholar] [CrossRef]
- Madni, A.; Kousar, R.; Naeem, N.; Wahid, F. Recent Advancements in Applications of Chitosan-Based Biomaterials for Skin Tissue Engineering. J. Bioresour. Bioprod. 2021, 6, 11–25. [Google Scholar] [CrossRef]
- Darder, M.; Colilla, M.; Ruiz-Hitzky, E. Biopolymer−Clay Nanocomposites Based on Chitosan Intercalated in Montmorillonite. Chem. Mater. 2003, 15, 3774–3780. [Google Scholar] [CrossRef]
- Darder, M.; Colilla, M.; Ruiz-Hitzky, E. Chitosan–Clay Nanocomposites: Application as Electrochemical Sensors. Appl. Clay Sci. 2005, 28, 199–208. [Google Scholar] [CrossRef]
- Altunkaynak, F.; Okur, M.; Saracoglu, N. Controlled Release of Paroxetine from Chitosan/Montmorillonite Composite Films. J. Drug Deliv. Sci. Technol. 2022, 68, 103099. [Google Scholar] [CrossRef]
- Abdeen, R.; Salahuddin, N. Modified Chitosan-Clay Nanocomposite as a Drug Delivery System Intercalation and In Vitro Release of Ibuprofen. J. Chem. 2013, 2013, 576370. [Google Scholar] [CrossRef]
- Khushbu; Vaid, V.; Kaur, K.; Panwar, A.; Devi, A.; Bansal, A.; Jindal, R. A Comparative Evaluation of Sustained Release of Chlorphenamine Based on a Nanocomposite of Chitosan, Pectin and Montmorillonite. ChemistrySelect 2022, 7, e202104108. [Google Scholar] [CrossRef]
- Teofilović, V.; Agan, B.; Pavličević, J.; Lacin, D.; Aroguz, A.Z. Synthesis, Characterization and Kinetics of Sustained Pantoprazole Release Studies of Interpenetrated Poly(Acrylic Acid)-Chitosan-Bentonite Hydrogels for Drug Delivery Systems. React. Kinet. Mech. Catal. 2022, 135, 1423–1437. [Google Scholar] [CrossRef]
- Paul, A.; Augustine, R.; Hasan, A.; Zahid, A.A.; Thomas, S.; Agatemor, C.; Ghosal, K. Halloysite Nanotube and Chitosan Polymer Composites: Physicochemical and Drug Delivery Properties. J. Drug Deliv. Sci. Technol. 2022, 72, 103380. [Google Scholar] [CrossRef]
- Oliveira, M.J.A.; Estefânia, O.S.; Lúcia, M.A.B.; Regina, M.; Amato, V.S.; Lugão, A.B.; Parra, D.F. Influence of Chitosan/Clay in Drug Delivery of Glucantime from PVP Membranes. Radiat. Phys. Chem. 2014, 94, 194–198. [Google Scholar] [CrossRef]
- Cankaya, N.; Sahin, R. Chitosan/Clay Bionanocomposites: Structural, Antibacterial, Thermal and Swelling Properties. Cellul. Chem. Technol. 2019, 53, 537–549. [Google Scholar] [CrossRef]
- Elsherbiny, A.S.; Galal, A.; Ghoneem, K.M.; Salahuddin, N.A. Novel Chitosan-Based Nanocomposites as Ecofriendly Pesticide Carriers: Synthesis, Root Rot Inhibition and Growth Management of Tomato Plants. Carbohydr. Polym. 2022, 282, 119111. [Google Scholar] [CrossRef]
- Jiang, X.; Zhang, J.; You, F.; Yao, C.; Yang, H.; Chen, R.; Yu, P. Chitosan/Clay Aerogel: Microstructural Evolution, Flame Resistance and Sound Absorption. Appl. Clay Sci. 2022, 228, 106624. [Google Scholar] [CrossRef]
- de Lima, P.H.C.; Tavares, A.A.; de Lima Silva, S.M.; de Moura, M.R.; Aouada, F.A.; Grillo, R. Recent Advances on Nanohybrid Systems Constituting Clay–Chitosan with Organic Molecules—A Review. Appl. Clay Sci. 2022, 226, 106548. [Google Scholar] [CrossRef]
- Bercea, M.; Bibire, E.-L.; Morariu, S.; Carja, G. Chitosan/Poly(Vinyl Alcohol)/LDH Biocomposites with PH-Sensitive Properties. Int. J. Polym. Mater. Polym. Biomater. 2015, 64, 628–636. [Google Scholar] [CrossRef]
- Bercea, M.; Bibire, E.-L.; Morariu, S.; Teodorescu, M.; Carja, G. PH Influence on Rheological and Structural Properties of Chitosan/Poly(Vinyl Alcohol)/Layered Double Hydroxide Composites. Eur. Polym. J. 2015, 70, 147–156. [Google Scholar] [CrossRef]
- Capello, C.; Leandro, G.C.; Gagliardi, T.R.; Valencia, G.A. Intelligent Films from Chitosan and Biohybrids Based on Anthocyanins and Laponite®: Physicochemical Properties and Food Packaging Applications. J. Polym. Environ. 2021, 29, 3988–3999. [Google Scholar] [CrossRef]
- Avery, R.G.; Ramsay, J.D.F. Colloidal Properties of Synthetic Hectorite Clay Dispersions: II. Light and Small Angle Neutron Scattering. J. Colloid Interface Sci. 1986, 109, 448–454. [Google Scholar] [CrossRef]
- Zhang, J.; Zhou, C.H.; Petit, S.; Zhang, H. Hectorite: Synthesis, Modification, Assembly and Applications. Appl. Clay Sci. 2019, 177, 114–138. [Google Scholar] [CrossRef]
- Nelson, A.; Cosgrove, T. Dynamic Light Scattering Studies of Poly(Ethylene Oxide) Adsorbed on Laponite: Layer Conformation and Its Effect on Particle Stability. Langmuir 2004, 20, 10382–10388. [Google Scholar] [CrossRef]
- Can, V.; Okay, O. Shake Gels Based on Laponite–PEO Mixtures: Effect of Polymer Molecular Weight. Des. Monomers Polym. 2005, 8, 453–462. [Google Scholar] [CrossRef]
- Morariu, S.; Bercea, M. Influence of Polyethylene Oxide on the Aggregation and Gelation of Laponite Dispersions in Water. Rev. Roum. Chim. 2007, 52, 147–152. [Google Scholar]
- De Lisi, R.; Gradzielski, M.; Lazzara, G.; Milioto, S.; Muratore, N.; Prévost, S. Aqueous Laponite Clay Dispersions in the Presence of Poly(Ethylene Oxide) or Poly(Propylene Oxide) Oligomers and Their Triblock Copolymers. J. Phys. Chem. B 2008, 112, 9328–9336. [Google Scholar] [CrossRef]
- Morariu, S.; Bercea, M. Effect of Addition of Polymer on the Rheology and Electrokinetic Features of Laponite RD Aqueous Dispersions. J. Chem. Eng. Data 2009, 54, 54–59. [Google Scholar] [CrossRef]
- Morariu, S.; Bercea, M. Effect of Temperature and Aging Time on the Rheological Behavior of Aqueous Poly(Ethylene Glycol)/Laponite RD Dispersions. J. Phys. Chem. B 2012, 116, 48–54. [Google Scholar] [CrossRef]
- Morariu, S.; Bercea, M. Viscoelastic Properties of Laponite RD Dispersions Containing PEO with Different Molecular Weights. Rev. Roum. Chim. 2015, 60, 777–785. [Google Scholar]
- Thuresson, A.; Segad, M.; Turesson, M.; Skepö, M. Flocculated Laponite–PEG/PEO Dispersions with Monovalent Salt, a SAXS and Simulation Study. J. Colloid Interface Sci. 2016, 466, 330–342. [Google Scholar] [CrossRef]
- Kishore, S.; Srivastava, S.; Bhatia, S.R. Microstructure of Colloid-Polymer Mixtures Containing Charged Colloidal Disks and Weakly-Adsorbing Polymers. Polymer 2016, 105, 461–471. [Google Scholar] [CrossRef]
- Zheng, B.; Breton, J.R.; Patel, R.S.; Bhatia, S.R. Microstructure, Microrheology, and Dynamics of Laponite® and Laponite®-Poly(Ethylene Oxide) Glasses and Dispersions. Rheol. Acta 2020, 59, 387–397. [Google Scholar] [CrossRef]
- Morariu, S.; Teodorescu, M. Laponite®–A versatile component in hybrid materials for biomedical applications. Mem. Sci. Sect. Rom. Acad. 2020, 34, 141–155. [Google Scholar]
- Gaharwar, A.K.; Cross, L.M.; Peak, C.W.; Gold, K.; Carrow, J.K.; Brokesh, A.; Singh, K.A. 2D Nanoclay for Biomedical Applications: Regenerative Medicine, Therapeutic Delivery, and Additive Manufacturing. Adv. Mater. 2019, 31, 1900332. [Google Scholar] [CrossRef]
- Tomás, H.; Alves, C.S.; Rodrigues, J. Laponite®: A Key Nanoplatform for Biomedical Applications? Nanomedicine 2018, 14, 2407–2420. [Google Scholar] [CrossRef]
- Morariu, S.; Bercea, M.; Gradinaru, L.M.; Rosca, I.; Avadanei, M. Versatile Poly(Vinyl Alcohol)/Clay Physical Hydrogels with Tailorable Structure as Potential Candidates for Wound Healing Applications. Mater. Sci. Eng. C 2020, 109, 110395. [Google Scholar] [CrossRef]
- Morariu, S.; Bercea, M.; Brunchi, C.-E. Influence of Laponite RD on the Properties of Poly(Vinyl Alcohol) Hydrogels. J. Appl. Polym. Sci. 2018, 135, 46661. [Google Scholar] [CrossRef]
- Gaharwar, A.K.; Schexnailder, P.J.; Jin, Q.; Wu, C.-J.; Schmidt, G. Addition of Chitosan to Silicate Cross-Linked PEO for Tuning Osteoblast Cell Adhesion and Mineralization. ACS Appl. Mater. Interfaces 2010, 2, 3119–3127. [Google Scholar] [CrossRef] [PubMed]
- Jin, Q.; Schexnailder, P.; Gaharwar, A.K.; Schmidt, G. Silicate Cross-Linked Bio-Nanocomposite Hydrogels from PEO and Chitosan. Macromol. Biosci. 2009, 9, 1028–1035. [Google Scholar] [CrossRef] [PubMed]
- Morariu, S.; Bercea, M.; Sacarescu, L. Tailoring of Clay/Poly(Ethylene Oxide) Hydrogel Properties by Chitosan Incorporation. Ind. Eng. Chem. Res. 2014, 53, 13690–13698. [Google Scholar] [CrossRef]
- Morariu, S.; Brunchi, C.-E.; Bercea, M. The Behavior of Chitosan in Solvents with Different Ionic Strengths. Ind. Eng. Chem. Res. 2012, 51, 12959–12966. [Google Scholar] [CrossRef]
- Ortiz, M.; De Kee, D.; Carreau, P.J. Rheology of Concentrated Poly(Ethylene Oxide) Solutions. J. Rheol. 1994, 38, 519–539. [Google Scholar] [CrossRef]
- Cho, J.; Heuzey, M.-C.; Bégin, A.; Carreau, P.J. Physical Gelation of Chitosan in the Presence of β-Glycerophosphate: The Effect of Temperature. Biomacromolecules 2005, 6, 3267–3275. [Google Scholar] [CrossRef]
- Alazzawi, M.K.; Rohn, C.L.; Beyoglu, B.; Haber, R.A. Rheological Assessment of Cohesive Energy Density of Highly Concentrated Stereolithography Suspensions. Ceram. Int. 2020, 46, 8473–8477. [Google Scholar] [CrossRef]
- Ruzicka, B.; Zaccarelli, E. A Fresh Look at the Laponite Phase Diagram. Soft Matter 2011, 7, 1268–1286. [Google Scholar] [CrossRef]
- Suman, K.; Joshi, Y.M. Microstructure and Soft Glassy Dynamics of an Aqueous Laponite Dispersion. Langmuir 2018, 34, 13079–13103. [Google Scholar] [CrossRef]
- Mongondry, P.; Nicolai, T.; Tassin, J.-F. Influence of Pyrophosphate or Polyethylene Oxide on the Aggregation and Gelation of Aqueous Laponite Dispersions. J. Colloid Interface Sci. 2004, 275, 191–196. [Google Scholar] [CrossRef]
- Sollich, P.; Lequeux, F.; Hébraud, P.; Cates, M.E. Rheology of Soft Glassy Materials. Phys. Rev. Lett. 1997, 78, 2020–2023. [Google Scholar] [CrossRef]
- Baghdadi, H.A.; Parrella, J.; Bhatia, S.R. Long-Term Aging Effects on the Rheology of Neat Laponite and Laponite–PEO Dispersions. Rheol. Acta 2008, 47, 349–357. [Google Scholar] [CrossRef]
- Mahdavinia, G.R.; Ettehadi, S.; Amini, M.; Sabzi, M. Synthesis and Characterization of Hydroxypropyl Methylcellulose-g-Poly(Acrylamide)/LAPONITE® RD Nanocomposites as Novel Magnetic- and PH-Sensitive Carriers for Controlled Drug Release. RSC Adv. 2015, 5, 44516–44523. [Google Scholar] [CrossRef]
- Sahu, M.; Reddy, V.R.; Kim, B.; Patro, B.; Park, C.; Kim, W.K.; Sharma, P. Fabrication of Cu2ZnSnS4 Light Absorber Using a Cost-Effective Mechanochemical Method for Photovoltaic Applications. Materials 2022, 15, 1708. [Google Scholar] [CrossRef]
- Marcos, M.A.; Cabaleiro, D.; Guimarey, M.J.G.; Comuñas, M.J.P.; Fedele, L.; Fernández, J.; Lugo, L. PEG 400-Based Phase Change Materials Nano-Enhanced with Functionalized Graphene Nanoplatelets. Nanomaterials 2017, 8, 16. [Google Scholar] [CrossRef]
- Rakkapao, N.; Vao-soongnern, V.; Masubuchi, Y.; Watanabe, H. Miscibility of Chitosan/Poly(Ethylene Oxide) Blends and Effect of Doping Alkali and Alkali Earth Metal Ions on Chitosan/PEO Interaction. Polymer 2011, 52, 2618–2627. [Google Scholar] [CrossRef]
- Pereira, I.C.; Duarte, A.S.; Neto, A.S.; Ferreira, J.M.F. Chitosan and Polyethylene Glycol Based Membranes with Antibacterial Properties for Tissue Regeneration. Mater. Sci. Eng. C 2019, 96, 606–615. [Google Scholar] [CrossRef]
- Frindy, S.; Primo, A.; Qaiss, A.E.K.; Bouhfid, R.; Lahcini, M.; Garcia, H.; Bousmina, M.; El Kadib, A. Insightful Understanding of the Role of Clay Topology on the Stability of Biomimetic Hybrid Chitosan-Clay Thin Films and CO2-Dried Porous Aerogel Microspheres. Carbohydr. Polym. 2016, 146, 353–361. [Google Scholar] [CrossRef]
- El Assimi, T.; Lakbita, O.; El Meziane, A.; Khouloud, M.; Dahchour, A.; Beniazza, R.; Boulif, R.; Raihane, M.; Lahcini, M. Sustainable Coating Material Based on Chitosan-Clay Composite and Paraffin Wax for Slow-Release DAP Fertilizer. Int. J. Biol. Macromol. 2020, 161, 492–502. [Google Scholar] [CrossRef]
- Wang, S.F.; Shen, L.; Tong, Y.J.; Chen, L.; Phang, I.Y.; Lim, P.Q.; Liu, T.X. Biopolymer Chitosan/Montmorillonite Nanocomposites: Preparation and Characterization. Polym. Degrad. Stab. 2005, 90, 123–131. [Google Scholar] [CrossRef]
- Anisiei, A.; Oancea, F.; Marin, L. Electrospinning of Chitosan-Based Nanofibers: From Design to Prospective Applications. Rev. Chem. Eng. 2021. [Google Scholar] [CrossRef]
- Hegazy, D.E.; Mahmoud, G.A. Radiation Synthesis and Characterization of Polyethylene Oxide/Chitosan- Silver Nanocomposite for Biomedical Applications. Arab J. Nucl. Sci. Appl. 2014, 47, 1–14. [Google Scholar]
- Kowalonek, J. Surface and Thermal Behavior of Chitosan/Poly(Ethylene Oxide) Blends. Mol. Cryst. Liq. Cryst. 2016, 640, 78–89. [Google Scholar] [CrossRef]
- Huang, C.-L.; Wang, C. Polymorphism and Transcrystallization of Syndiotactic Polystyrene Composites Filled with Carbon Nanotubes. Eur. Polym. J. 2011, 47, 2087–2096. [Google Scholar] [CrossRef]
- Neto, C.G.T.; Giacometti, J.A.; Job, A.E.; Ferreira, F.C.; Fonseca, J.L.C.; Pereira, M.R. Thermal Analysis of Chitosan Based Networks. Carbohydr. Polym. 2005, 62, 97–103. [Google Scholar] [CrossRef]
- Malek, Z.; Balek, V.; Garfinkel-Shweky, D.; Yariv, S. The Study of the Dehydration and Dehydroxylation of Smectites by Emanation Thermal Analysis. J. Therm. Anal. 1997, 48, 83–92. [Google Scholar] [CrossRef]
- Kayani, A.; Raza, M.A.; Raza, A.; Hussain, T.; Akram, M.S.; Sabir, A.; Islam, A.; Haider, B.; Khan, R.U.; Park, S.H. Effect of Varying Amount of Polyethylene Glycol (PEG-600) and 3-Aminopropyltriethoxysilane on the Properties of Chitosan Based Reverse Osmosis Membranes. Int. J. Mol. Sci. 2021, 22, 2290. [Google Scholar] [CrossRef]
- Luckham, P.F.; Rossi, S. The Colloidal and Rheological Properties of Bentonite Suspensions. Adv. Colloid Interface Sci. 1999, 82, 43–92. [Google Scholar] [CrossRef]
- Rossi, S.; Luckham, P.F.; Tadros, T.F. Influence of Non-Ionic Polymers on the Rheological Behaviour of Na+-Montmorillonite Clay Suspensions. Part II. Homopolymer Ethyleneoxide and Polypropylene Oxide–Polyethylene Oxide ABA Copolymers. Colloids Surf. A Physicochem. Eng. Asp. 2003, 215, 1–10. [Google Scholar] [CrossRef]
- Su, C.-C.; Shen, Y.-H. Effects of Poly(Ethylene Oxide) Adsorption on the Dispersion of Smectites. Colloids Surf. A Physicochem. Eng. Asp. 2008, 312, 1–6. [Google Scholar] [CrossRef]
- Korsmeyer, R.W.; Gurny, R.; Doelker, E.; Buri, P.; Peppas, N.A. Mechanisms of Solute Release from Porous Hydrophilic Polymers. Int. J. Pharm. 1983, 15, 25–35. [Google Scholar] [CrossRef]
- Ritger, P.L.; Peppas, N.A. A Simple Equation for Description of Solute Release II. Fickian and Anomalous Release from Swellable Devices. J. Control. Release 1987, 5, 37–42. [Google Scholar] [CrossRef]
- Ritger, P.L.; Peppas, N.A. A Simple Equation for Description of Solute Release I. Fickian and Non-Fickian Release from Non-Swellable Devices in the Form of Slabs, Spheres, Cylinders or Discs. J. Control. Release 1987, 5, 23–36. [Google Scholar] [CrossRef]
- Wind, M.M.; Lenderink, H.J.W. A Capacitance Study of Pseudo-Fickian Diffusion in Glassy Polymer Coatings. Prog. Org. Coat. 1996, 28, 239–250. [Google Scholar] [CrossRef]












| Sample | Dispersion | Film | ||||
|---|---|---|---|---|---|---|
| CS (%) | PEG (%) | Lap (%) | PEG/CS (g/g) | PEG/Lap (g/g) | Lap (%) | |
| C1 | 0.2 | 3 | 0 | 14.9 | - | 0 |
| C2 | 0.2 | 3 | 1 | 14.9 | 3 | 23.7 |
| C3 | 0.2 | 3 | 1.5 | 14.9 | 2 | 31.9 |
| C4 | 0.2 | 3 | 2 | 14.9 | 1.5 | 38.5 |
| C5 | 0.2 | 3 | 2.5 | 14.9 | 1.2 | 43.8 |
| Sample | G′ a | G″ a | tan δ | η0 b | τ0 c | S d | n e | K e |
|---|---|---|---|---|---|---|---|---|
| (Pa) | (Pa) | (=G″/G′) | (Pa·s) | (Pa) | (%) | (min−n) | ||
| C1 | 6.6 | 1.1 | 0.17 | 131.7 ± 3.9 | 0.21 | 26.8 ± 6.6 | 0.72 ± 0.04 | 0.54 ± 0.03 |
| C2 | 82.9 | 17.1 | 0.21 | 10,609 ± 99 | 9.90 | – | – | – |
| C3 | 322.3 | 42.4 | 0.13 | 13,583 ± 215 | 13.85 | 112.8 ± 5.7 | 0.34 ± 0.01 | 0.29 ± 0.005 |
| C4 | 564.1 | 65.1 | 0.12 | 23,410 ± 344 | 27.47 | – | – | – |
| C5 | 657.7 | 80.1 | 0.12 | 28,875 ± 711 | 16.57 | 240.7 ± 22.3 | 0.38 ± 0.01 | 0.13 ± 0.002 |
Disclaimer/Publisher’s Note: The statements, opinions and data contained in all publications are solely those of the individual author(s) and contributor(s) and not of MDPI and/or the editor(s). MDPI and/or the editor(s) disclaim responsibility for any injury to people or property resulting from any ideas, methods, instructions or products referred to in the content. |
© 2023 by the authors. Licensee MDPI, Basel, Switzerland. This article is an open access article distributed under the terms and conditions of the Creative Commons Attribution (CC BY) license (https://creativecommons.org/licenses/by/4.0/).
Share and Cite
Morariu, S.; Brunchi, C.-E.; Honciuc, M.; Iftime, M.-M. Development of Hybrid Materials Based on Chitosan, Poly(Ethylene Glycol) and Laponite® RD: Effect of Clay Concentration. Polymers 2023, 15, 841. https://doi.org/10.3390/polym15040841
Morariu S, Brunchi C-E, Honciuc M, Iftime M-M. Development of Hybrid Materials Based on Chitosan, Poly(Ethylene Glycol) and Laponite® RD: Effect of Clay Concentration. Polymers. 2023; 15(4):841. https://doi.org/10.3390/polym15040841
Chicago/Turabian StyleMorariu, Simona, Cristina-Eliza Brunchi, Mirela Honciuc, and Manuela-Maria Iftime. 2023. "Development of Hybrid Materials Based on Chitosan, Poly(Ethylene Glycol) and Laponite® RD: Effect of Clay Concentration" Polymers 15, no. 4: 841. https://doi.org/10.3390/polym15040841
APA StyleMorariu, S., Brunchi, C.-E., Honciuc, M., & Iftime, M.-M. (2023). Development of Hybrid Materials Based on Chitosan, Poly(Ethylene Glycol) and Laponite® RD: Effect of Clay Concentration. Polymers, 15(4), 841. https://doi.org/10.3390/polym15040841
