Effect of Crosslinking Conditions on the Transport of Protons and Methanol in Crosslinked Polyvinyl Alcohol Membranes Containing the Phosphoric Acid Group
Abstract
:1. Introduction
2. Experimental
2.1. Materials
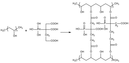
2.2. Membrane Preparation
2.3. Membrane Characterization
2.3.1. Water Uptake, Hydrolytic Stability, and Crosslinking Density
2.3.2. Time-Resolved FTIR-ATR Spectroscopy
2.3.3. Free Volume Testing
2.3.4. Proton Conductivity Testing
2.3.5. Methanol Permeability Test
2.3.6. IEC
2.3.7. Single Cell Performance
3. Results and Discussion
3.1. Structural Characterization of PVA-Based Crosslinked Films
3.2. Stability
3.3. Water Absorption
3.4. Methanol Permeabilities
3.5. Proton Conductivity
3.6. DMFC Performance
4. Conclusions
Author Contributions
Funding
Institutional Review Board Statement
Data Availability Statement
Conflicts of Interest
References
- Sharaf, O.Z.; Orhan, M.F. An overview of fuel cell technology: Fundamentals and applications. Renew. Sustain. Energy Rev. 2014, 32, 810–853. [Google Scholar] [CrossRef]
- Kamarudin, S.K.; Achmad, F.; Daud, W.R.W. Overview on the application of direct methanol fuel cell (DMFC) for portable electronic devices. Int. J. Hydrog. Energy 2009, 34, 6902–6916. [Google Scholar] [CrossRef]
- Chen, Z.; Higgins, D.; Yu, A.; Zhang, L.; Zhang, J. A review on non-precious metal electrocatalysts for PEM fuel cells. Energy Environ. Sci. 2011, 4, 3167. [Google Scholar] [CrossRef]
- Tran, T.D.; Huang, S.; Vu, D.H.; Duy, V.N. Effects of gas channel design on water management and on the performance of polymer electrolyte membrane fuel cells: A review. Int. J. Electrochem. Sci. 2018, 13, 10480–10495. [Google Scholar] [CrossRef]
- Felix, C.; Jao, T.; Pasupathi, S.; Pollet, B.G. Optimisation of electrophoretic deposition parameters for gas diffusion electrodes in high temperature polymer electrolyte membrane fuel cells. J. Power Sources 2013, 243, 40–47. [Google Scholar] [CrossRef]
- Nam, J.H.; Lee, K.; Hwang, G.; Kim, C.; Kaviany, M. Microporous layer for water morphology control in PEMFC. Int. J. Heat Mass Transf. 2009, 52, 2779–2791. [Google Scholar] [CrossRef]
- Authayanun, S.; Im-Orb, K.; Arpornwichanop, A. A review of the development of high temperature proton exchange membrane fuel cells. Chin. J. Catal. 2015, 36, 473–483. [Google Scholar] [CrossRef]
- Kim, D.J.; Jo, M.J.; Nam, S.Y. A review of polymer–nanocomposite electrolyte membranes for fuel cell application. J. Ind. Eng. Chem. 2015, 21, 36–52. [Google Scholar] [CrossRef]
- Mishra, A.K.; Bose, S.; Kuila, T.; Kim, N.H.; Lee, J.H. Silicate-based polymer-nanocomposite membranes for polymer electrolyte membrane fuel cells. Prog. Polym. Sci. 2012, 37, 842–869. [Google Scholar] [CrossRef]
- Kim, N.H.; Mishra, A.K.; Kim, D.; Lee, J.H. Synthesis of sulfonated poly (ether ether ketone)/layered double hydroxide nanocomposite membranes for fuel cell applications. Chem. Eng. J. 2015, 272, 119–127. [Google Scholar] [CrossRef]
- Çelik, S.Ü.; Bozkurt, A.; Hosseini, S.S. Alternatives toward proton conductive anhydrous membranes for fuel cells: Heterocyclic protogenic solvents comprising polymer electrolytes. Prog. Polym. Sci. 2012, 37, 1265–1291. [Google Scholar] [CrossRef]
- Ahmad, H.; Kamarudin, S.K.; Hasran, U.A.; Daud, W.R.W. Overview of hybrid membranes for direct-methanol fuel-cell applications. Int. J. Hydrog. Energy 2010, 35, 2160–2175. [Google Scholar] [CrossRef]
- Nune, S.P.; Ruffmann, B.; Rikowski, E.; Vetter, S.; Richau, K. Inorganic modification of proton conductive polymer membranes for direct methanol fuel cells. J. Membr. Sci. 2002, 203, 215–225. [Google Scholar] [CrossRef]
- Kumar, G.G.; Uthirakumar, P.; Nahm, K.S.; Elizabeth, R.N. Fabrication and electro chemical properties of poly vinyl alcohol/para toluene sulfonic acid membranes for the applications of DMFC. Solid State Ion. 2009, 180, 282–287. [Google Scholar] [CrossRef]
- Hirankumar, G.; Selvasekarapandian, S.; Kuwata, N.; Kawamura, J.; Hattori, T. Thermal, electrical and optical studies on the poly (vinyl alcohol) based polymer electrolytes. J. Power Sources 2005, 144, 262–267. [Google Scholar] [CrossRef]
- Yang, W.; Ding, H.; Qi, G.; Li, C.; Xu, P.; Zheng, T.; Zhu, X.; Kenny, J.M.; Puglia, D.; Ma, P. Highly transparent PVA/nanolignin composite films with excellent UV shielding, antibacterial and antioxidant performance. React. Funct. Polym. 2021, 162, 104873. [Google Scholar] [CrossRef]
- Zhang, C.; Yang, F.; Wang, W.; Chen, B. Preparation and characterization of hydrophilic modification of polypropylene non-woven fabric by dip-coating PVA (polyvinyl alcohol). Sep. Purif. Technol. 2008, 61, 276–286. [Google Scholar] [CrossRef]
- Chodankar, N.R.; Dubal, D.P.; Lokhande, A.C.; Lokhande, C.D. Ionically conducting PVA–LiClO4 gel electrolyte for high performance flexible solid state supercapacitors. J. Colloid Interface Sci. 2015, 460, 370–376. [Google Scholar] [CrossRef]
- Pivovar, B.S.; Wang, Y.; Cussler, E.L. Pervaporation membranes in direct methanol fuel cells. J. Membr. Sci. 1999, 154, 155–162. [Google Scholar] [CrossRef]
- Lin, G.; Chen, Y.; Chang, T.; Huang, T.; Zhuang, G.; Huang, W.; Liu, Y.; Matsuyama, H.; Wu, K.C.W.; Tung, K. A high ZIF-8 loading PVA mixed matrix membrane on alumina hollow fiber with enhanced ethanol dehydration. J. Membr. Sci. 2021, 621, 118935. [Google Scholar] [CrossRef]
- Rhim, J.W.; Lee, S.W.; Kim, Y.K. Pervaporation separation of water–ethanol mixtures using metal-ion-exchanged poly (vinyl alcohol)(PVA)/sulfosuccinic acid (SSA) membranes. J. Appl. Polym. Sci. 2002, 85, 1867–1873. [Google Scholar] [CrossRef]
- Wei, Z.; Liu, Q.; Wu, C.; Wang, H.; Wang, H. Viscosity-driven in situ self-assembly strategy to fabricate cross-linked ZIF-90/PVA hybrid membranes for ethanol dehydration via pervaporation. Sep. Purif. Technol. 2018, 201, 256–267. [Google Scholar] [CrossRef]
- Ebenezer, D.; Deshpande, A.P.; Haridoss, P. Cross-linked poly (vinyl alcohol)/sulfosuccinic acid polymer as an electrolyte/electrode material for H2–O2 proton exchange membrane fuel cells. J. Power Sources 2016, 304, 282–292. [Google Scholar] [CrossRef]
- Arslan, F.; Böhm, T.; Kerres, J.; Thiele, S. Spatially and temporally resolved monitoring of doping polybenzimidazole membranes with phosphoric acid. J. Membr. Sci. 2021, 625, 119145. [Google Scholar] [CrossRef]
- Kamaroddin, M.F.A.; Sabli, N.; Nia, P.M.; Abdullah, T.A.T.; Abdullah, L.C.; Izhar, S.; Ripin, A.; Ahmad, A. Phosphoric acid doped composite proton exchange membrane for hydrogen production in medium-temperature copper chloride electrolysis. Int. J. Hydrog. Energy 2020, 45, 22209–22222. [Google Scholar] [CrossRef]
- Elden, G.; Çelik, M.; Genç, G.; Yapıcı, H. The effects of temperature on transport phenomena in phosphoric acid doped polybenzimidazole polymer electrolyte membrane fuel cell. Energy 2016, 103, 772–783. [Google Scholar] [CrossRef]
- Zhiwei, W.; Hao, Z.; Qiang, C.; Sumei, Z.; Feng, Y.; Jian, K.; Jinyao, C.; Ya, C.; Ming, X. Preparation and characterization of PVA proton exchange membranes containing phosphonic acid groups for direct methanol fuel cell applications. J. Polym. Res. 2019, 26, 200. [Google Scholar] [CrossRef]
- Xue, Y.L.; Huang, J.; Lau, C.H.; Cao, B.; Li, P. Tailoring the molecular structure of crosslinked polymers for pervaporation desalination. Nat. Commun. 2020, 11, 1461. [Google Scholar] [CrossRef] [PubMed]
- Zhao, Q.; Majsztrik, P.; Benziger, J. Diffusion and interfacial transport of water in Nafion. J. Phys. Chem. B 2011, 115, 2717–2727. [Google Scholar] [CrossRef]
- Hallinan, D.T.; De Angelis, M.G.; Giacinti Baschetti, M.; Sarti, G.C.; Elabd, Y.A. Non-fickian diffusion of water in nafion. Macromolecules 2010, 43, 4667–4678. [Google Scholar] [CrossRef]
- Balwani, A.; Faraone, A.; Davis, E.M. Impact of Nanoparticles on the segmental and swelling dynamics of ionomer nanocomposite membranes. Macromolecules 2019, 52, 2120–2130. [Google Scholar] [CrossRef]
- Hu, L.; Lin, H. Bimodal free volumes uplift gas separation. Nat. Mater. 2023, 22, 10–11. [Google Scholar] [CrossRef] [PubMed]
- Moh, L.C.H.; Goods, J.B.; Kim, Y.; Swager, T.M. Free volume enhanced proton exchange membranes from sulfonated triptycene poly (ether ketone). J. Membr. Sci. 2018, 549, 236–243. [Google Scholar] [CrossRef]
- Widakdo, J.; Reyes De Guzman, M.; Belle Marie Yap Ang, M.; Hung, W.; Huang, S.; Hu, C.; Lee, K.; Lai, J. Positron annihilation spectroscopy for the free volume depth profile analysis of multilayer and 2D materials composite membranes: A review. Sep. Purif. Technol. 2023, 322, 124366. [Google Scholar] [CrossRef]
- Consolati, G.; Nichetti, D.; Quasso, F. Probing the Free Volume in Polymers by Means of Positron Annihilation Lifetime Spectroscopy. Polymers 2023, 15, 3128. [Google Scholar] [CrossRef] [PubMed]
















| Sample Code | Degree of Crystallinity (%) | Crosslinking Density (mol/m3) |
|---|---|---|
| PVA/PBTCA-5-110 | 41.89 | 810.8 ± 76.8 |
| PVA/PBTCA-15-110 | 38.12 | 950.3 ± 58.9 |
| PVA/PBTCA-30-110 | 29.53 | 1201.8 ± 45.9 |
| PVA/PBTCA-5-125 | 39.77 | 1019.6 ± 101.7 |
| PVA/PBTCA-15-125 | 35.52 | 1325.9 ± 120.6 |
| PVA/PBTCA-30-125 | 26.14 | 1539.8 ± 186.0 |
| PVA/PBTCA-5-140 | 35.48 | 1591.2 ± 84.1 |
| PVA/PBTCA-15-140 | 22.34 | 1856.2 ± 83.6 |
| PVA/PBTCA-30-140 | 11.56 | 2250.6 ± 104.4 |
| Samples | τ1 (ns) | τ2 (ns) | τ3 (ns) | I1 (%) | I2 (%) | I3 (%) | RPALS (nm) | VPALS (nm3) |
|---|---|---|---|---|---|---|---|---|
| PVA/PBTCA-15-110 | 0.186 | 0.422 | 1.351 | 41.064 | 45.876 | 13.059 | 0.215 | 0.0416 |
| PVA/PBTCA-15-120 | 0.189 | 0.439 | 1.363 | 44.223 | 43.000 | 12.778 | 0.217 | 0.0428 |
| PVA/PBTCA-15-125 | 0.188 | 0.424 | 1.392 | 42.528 | 46.877 | 10.595 | 0.221 | 0.0452 |
| PVA/PBTCA-15-130 | 0.182 | 0.437 | 1.365 | 42.580 | 42.828 | 14.592 | 0.218 | 0.0434 |
| PVA/PBTCA-15-140 | 0.181 | 0.416 | 1.338 | 40.074 | 46.784 | 13.142 | 0.214 | 0.0410 |
| Sample Code | Thickness (μm) | Relaxation Time Constants (β, 10−5 s−1) | Water Diffusion Coefficients (D, 10−7 cm2 s−1) |
|---|---|---|---|
| PVA/PBTCA-15-110 | 68.5 | 1.3 | 4.4 |
| PVA/PBTCA-15-120 | 70.2 | 4.5 | 9.5 |
| PVA/PBTCA-15-125 | 68.3 | 9.2 | 12.8 |
| PVA/PBTCA-15-130 | 67.9 | 6.4 | 8.6 |
| PVA/PBTCA-15-140 | 69.4 | 5.2 | 3.1 |
Disclaimer/Publisher’s Note: The statements, opinions and data contained in all publications are solely those of the individual author(s) and contributor(s) and not of MDPI and/or the editor(s). MDPI and/or the editor(s) disclaim responsibility for any injury to people or property resulting from any ideas, methods, instructions or products referred to in the content. |
© 2023 by the authors. Licensee MDPI, Basel, Switzerland. This article is an open access article distributed under the terms and conditions of the Creative Commons Attribution (CC BY) license (https://creativecommons.org/licenses/by/4.0/).
Share and Cite
Wang, Z.; Zheng, H.; Chen, J.; Wang, W.; Sun, F.; Cao, Y. Effect of Crosslinking Conditions on the Transport of Protons and Methanol in Crosslinked Polyvinyl Alcohol Membranes Containing the Phosphoric Acid Group. Polymers 2023, 15, 4198. https://doi.org/10.3390/polym15214198
Wang Z, Zheng H, Chen J, Wang W, Sun F, Cao Y. Effect of Crosslinking Conditions on the Transport of Protons and Methanol in Crosslinked Polyvinyl Alcohol Membranes Containing the Phosphoric Acid Group. Polymers. 2023; 15(21):4198. https://doi.org/10.3390/polym15214198
Chicago/Turabian StyleWang, Zhiwei, Hao Zheng, Jinyao Chen, Wei Wang, Furui Sun, and Ya Cao. 2023. "Effect of Crosslinking Conditions on the Transport of Protons and Methanol in Crosslinked Polyvinyl Alcohol Membranes Containing the Phosphoric Acid Group" Polymers 15, no. 21: 4198. https://doi.org/10.3390/polym15214198
APA StyleWang, Z., Zheng, H., Chen, J., Wang, W., Sun, F., & Cao, Y. (2023). Effect of Crosslinking Conditions on the Transport of Protons and Methanol in Crosslinked Polyvinyl Alcohol Membranes Containing the Phosphoric Acid Group. Polymers, 15(21), 4198. https://doi.org/10.3390/polym15214198
