The Effect of Functionalized SEBS on the Properties of PP/SEBS Blends
Abstract
:1. Introduction
2. Material and Methods
2.1. Materials
2.2. Preparation of the Graft Copolymers
2.3. Purification of the Graft Copolymer and Determination of Grafting Degree
2.3.1. Purification of Graft Copolymers
2.3.2. Determination of Grafting Degree
2.4. Preparation of the Blends
2.5. Characterization
3. Results and Discussion
3.1. FTIR and 1H-NMR Analysis
3.2. Characterization of the Graft Copolymers
3.3. DMA Analysis
3.4. DSC Analysis
3.5. WAXD Analysis
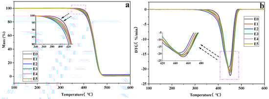
3.6. TGA Analysis
3.7. Vicat Softening Temperature Testing
3.8. MFR Analysis
3.9. Rheological Property Analysis
3.10. Optical Property Analysis
3.11. Mechanical Properties
3.12. SEM Analysis
4. Conclusions
Author Contributions
Funding
Institutional Review Board Statement
Informed Consent Statement
Data Availability Statement
Conflicts of Interest
References
- Rosales, C.; Aranburu, N.; Otaegi, I.; Pettarin, V.; Bernal, C.; Müller, A.J.; Guerrica-Echevarría, G. Improving the Mechanical Performance of LDPE/PP Blends through Microfibrillation. ACS Appl. Polym. Mater. 2022, 4, 3369–3379. [Google Scholar] [CrossRef]
- Luinstra, G.A.; Borchardt, E. Material Properties of Poly(Propylene Carbonates). Adv. Polym. Sci. 2012, 245, 29–48. [Google Scholar]
- Banthia, N.; Gupta, R. Influence of polypropylene fiber geometry on plastic shrinkage cracking in concrete. Cem. Concr. Res. 2006, 36, 1263–1267. [Google Scholar] [CrossRef]
- Li, H.; Ma, Y.; Li, Z.; Ji, J.; Zhu, Y.; Wang, H. High temperature resistant polysulfone/silica double-wall microcapsules and their application in self-lubricating polypropylene. RSC Adv. 2017, 7, 50328–50335. [Google Scholar] [CrossRef]
- Zhang, Z.-Q.; Zeng, R.-C.; Lin, C.-G.; Wang, L.; Chen, X.-B.; Chen, D.-C. Corrosion resistance of self-cleaning silane/polypropylene composite coatings on magnesium alloy AZ31. J. Mater. Sci. Technol. 2020, 41, 43–55. [Google Scholar] [CrossRef]
- Hao, A.; Zhao, H.; Chen, J.Y. Kenaf/polypropylene nonwoven composites: The influence of manufacturing conditions on mechanical, thermal, and acoustical performance. Compos. Part B Eng. 2013, 54, 44–51. [Google Scholar] [CrossRef]
- Khodabandelou, M.; Aghjeh, M.K.R.; Khonakdar, H.A.; Mazidi, M.M. Effect of localization of carbon nanotubes on fracture behavior of un-vulcanized and dynamically vulcanized PP/EPDM/MWCNT blend-nanocomposites. Compos. Sci. Technol. 2017, 149, 134–148. [Google Scholar] [CrossRef]
- Tang, Q.; Wang, Y.; Wang, G.; Cheng, H.; Guo, W. An Investigation on the comprehensive property assessment and future directions of single bamboo fiber reinforced polypropylene composites fabricated by a non-woven paving and advanced molding process. Materials 2019, 12, 2641. [Google Scholar] [CrossRef]
- Wang, H.W. Effect of Polypropylene Fiber on Strength and Flexural Properties of Concrete Containing Silica Fume. Adv. Mater. Res. 2012, 346, 30–33. [Google Scholar] [CrossRef]
- Mourad, A.-H.I. Thermo-mechanical characteristics of thermally aged polyethylene/polypropylene blends. Mater. Des. 2010, 31, 918–929. [Google Scholar] [CrossRef]
- Abreu, F.; Forte, M.; Liberman, S. SBS and SEBS block copolymers as impact modifiers for polypropylene compounds. J. Appl. Polym. Sci. 2005, 95, 254–263. [Google Scholar] [CrossRef]
- Azizi, A.; Arefazar, A.; Jazani, O.M. Effects of core-shell particles on fracture micromechanisms of PP/PC/SEBS ternary blends. Polym. -Plast. Technol. Eng. 2013, 52, 1595–1603. [Google Scholar] [CrossRef]
- Yang, H.; Zhang, Q.; Guo, M.; Wang, C.; Du, R.; Fu, Q. Study on the phase structures and toughening mechanism in PP/EPDM/SiO2 ternary composites. Polymer 2006, 47, 2106–2115. [Google Scholar] [CrossRef]
- Azizi, A.; Arefazar, A.; Moini Jazani, O. Fracture micromechanisms of polypropylene/polycarbonate/poly (styrene-b-(ethylene-co-butylene)-b-styrene)(PP/PC/SEBS) ternary blends: The effects of SEBS content. J. Macromol. Sci. Part B 2014, 53, 1103–1115. [Google Scholar] [CrossRef]
- Drozdov, A.D.; Sanporean, C.-G.; De, C.; Christiansen, J. Enhancement of mechanical properties of polypropylene by blending with styrene-(ethylene-butylene)-styrene tri-block copolymer. J. Polym. Eng. 2014, 34, 765–774. [Google Scholar] [CrossRef]
- Parameswaranpillai, J.; Joseph, G.; Shinu, K.P.; Jose, S.; Salim, N.V.; Hameed, N. Development of hybrid composites for automotive applications: Effect of addition of SEBS on the morphology, mechanical, viscoelastic, crystallization and thermal degradation properties of PP/PS–x GnP composites. RSC Adv. 2015, 5, 25634–25641. [Google Scholar]
- Heino, M.; Kirjava, J.; Hietaoja, P.; Seppälä, J. Compatibilization of polyethylene terephthalate/polypropylene blends with styrene–ethylene/butylene–styrene (SEBS) block copolymers. J. Appl. Polym. Sci. 1997, 65, 241–249. [Google Scholar] [CrossRef]
- Wilkinson, A.; Clemens, M.; Harding, V. The effects of SEBS-g-maleic anhydride reaction on the morphology and properties of polypropylene/PA6/SEBS ternary blends. Polymer 2004, 45, 5239–5249. [Google Scholar] [CrossRef]
- Veenstra, H.; van Lent, B.J.; van Dam, J.; de Boer, A.P. Co-continuous morphologies in polymer blends with SEBS block copolymers. Polymer 1999, 40, 6661–6672. [Google Scholar] [CrossRef]
- Li, H.; Xie, X.-M. Morphology development and superior mechanical properties of PP/PA6/SEBS ternary blends compatibilized by using a highly efficient multi-phase compatibilizer. Polymer 2017, 108, 1–10. [Google Scholar] [CrossRef]
- Stricker, F.; Thomann, Y.; Mülhaupt, R. Influence of rubber particle size on mechanical properties of polypropylene–SEBS blends. J. Appl. Polym. Sci. 1998, 68, 1891–1901. [Google Scholar] [CrossRef]
- Gupta, A.; Purwar, S. Crystallization of PP in PP/SEBS blends and its correlation with tensile properties. J. Appl. Polym. Sci. 1984, 29, 1595–1609. [Google Scholar] [CrossRef]
- Zhang, D.-L.; Zha, J.-W.; Li, C.-Q.; Li, W.-K.; Wang, S.-J.; Li, C.-Q.; Wen, Y.; Dang, Z.-M. High thermal conductivity and excellent electrical insulation performance in double-percolated three-phase polymer nanocomposites. Compos. Sci. Technol. 2017, 144, 36–42. [Google Scholar] [CrossRef]
- Wu, T.; Hu, Y.; Rong, H.; Wang, C. SEBS-based composite phase change material with thermal shape memory for thermal management applications. Energy 2021, 221, 119900. [Google Scholar] [CrossRef]
- Jamaludin, N.A.; Inuwa, I.M.; Hassan, A.; Othman, N.; Jawaid, M. Mechanical and thermal properties of SEBS-g-MA compatibilized halloysite nanotubes reinforced polyethylene terephthalate/polycarbonate/nanocomposites. J. Appl. Polym. Sci. 2015, 132, 42608. [Google Scholar] [CrossRef]
- Banerjee, S.S.; Burbine, S.; Kodihalli Shivaprakash, N.; Mead, J. 3D-printable PP/SEBS thermoplastic elastomeric blends: Preparation and properties. Polymers 2019, 11, 347. [Google Scholar] [CrossRef] [PubMed]
- Guan, J.; Luo, W.; Lu, S.; Yang, Y.; Shen, X.; Tang, B.; Li, Y. Synchronous toughening and strengthening of the immiscible polylactic acid/thermoplastic polyurethane (PLLA/TPU) blends via the interfacial compatibilization with Janus nanosheets. Compos. Sci. Technol. 2022, 227, 109611. [Google Scholar] [CrossRef]
- Ojijo, V.; Ray, S.S. Super toughened biodegradable polylactide blends with non-linear copolymer interfacial architecture obtained via facile in-situ reactive compatibilization. Polymer 2015, 80, 1–17. [Google Scholar] [CrossRef]
- Ojijo, V.; Sinha Ray, S.; Sadiku, R. Toughening of biodegradable polylactide/poly (butylene succinate-co-adipate) blends via in situ reactive compatibilization. ACS Appl. Mater. Interfaces 2013, 5, 4266–4276. [Google Scholar] [CrossRef]
- Teamsinsungvon, A.; Jarapanyacheep, R.; Ruksakulpiwat, Y.; Jarukumjorn, K. Melt processing of maleic anhydride grafted poly (lactic acid) and its compatibilizing effect on poly (lactic acid)/poly (butylene adipate-co-terephthalate) blend and their composite. Polym. Sci. Ser. A 2017, 59, 384–396. [Google Scholar] [CrossRef]
- Shao, W.; Liu, L.; Wang, Y.; Hua, X.; Zhang, F.; Shi, Y. Crystallization, structure, and properties of polypropylene random copolymer (PPR)/high-density polyethylene/polypropylene grafted maleic anhydride ((HDPE/PP)-g-MAH) blends. J. Polym. Res. 2022, 29, 354. [Google Scholar] [CrossRef]
- Li, Y.; Xie, X.-M.; Guo, B.-H. Study on styrene-assisted melt free-radical grafting of maleic anhydride onto polypropylene. Polymer 2001, 42, 3419–3425. [Google Scholar] [CrossRef]
- Cartier, H.; Hu, G.H. Styrene-assisted melt free radical grafting of glycidyl methacrylate onto polypropylene. J. Polym. Sci. Part A Polym. Chem. 1998, 36, 1053–1063. [Google Scholar] [CrossRef]
- Chen, L.F.; Wong, B.; Baker, W. Melt grafting of glycidyl methacrylate onto polypropylene and reactive compatibilization of rubber toughened polypropylene. Polym. Eng. Sci. 1996, 36, 1594–1607. [Google Scholar] [CrossRef]
- Huang, H.; Liu, N. Nondegradative melt functionalization of polypropylene with glycidyl methacrylate. J. Appl. Polym. Sci. 1998, 67, 1957–1963. [Google Scholar] [CrossRef]
- Kim, Y.F.; Choi, C.N.; Kim, Y.D.; Lee, K.Y.; Lee, M.S. Compatibilization of immiscible poly (l-lactide) and low density polyethylene blends. Fibers Polym. 2004, 5, 270–274. [Google Scholar] [CrossRef]
- Saeb, M.; Garmabi, H. Investigation of styrene-assisted free-radical grafting of glycidyl methacrylate onto high-density polyethylene using response surface method. J. Appl. Polym. Sci. 2009, 111, 1600–1605. [Google Scholar] [CrossRef]
- Zhihui, Y.; Yajie, Z.; Xiaomin, Z.; Jinghua, Y. Effects of the compatibilizer PP-g-GMA on morphology and mechanical properties of PP/PC blends. Polymer 1998, 39, 547–551. [Google Scholar] [CrossRef]
- Martins, A.B.; Santana RM, C. Effect of carboxylic acids as compatibilizer agent on mechanical properties of thermoplastic starch and polypropylene blends. Carbohydr. Polym. 2016, 135, 79–85. [Google Scholar] [CrossRef]
- Niu, P.; Liu, B.; Wei, X.; Wang, X.; Yang, J. Study on mechanical properties and thermal stability of polypropylene/hemp fiber composites. J. Reinf. Plast. Compos. 2011, 30, 36–44. [Google Scholar]
- Cartier, H.; Hu, G.-H. Compatibilisation of polypropylene and poly (butylene terephthalate) blends by reactive extrusion: Effects of the molecular structure of a reactive compatibiliser. J. Mater. Sci. 2000, 35, 1985–1996. [Google Scholar] [CrossRef]
- Song, L.; Yang, B.; Du, X.; Ren, J.; Wang, W.; Zhang, Q.; Chi, W.; Cong, F.; Shi, Y. Functionalized Poly (ethylene-octene)/Linear Low-Density Polyethylene Prepared by Melt Free-radical Grafting Reaction and Its Potential in Toughening Poly (butylene terephthalate) Resins. Ind. Eng. Chem. Res. 2023, 62, 7464–7480. [Google Scholar] [CrossRef]
- Hernández-Ortiz, J.C.; Van Steenberge, P.H.; Duchateau, J.N.; Toloza, C.; Schreurs, F.; Reyniers, M.-F.; Marin, G.B.; D’Hooge, D.R. A two-phase stochastic model to describe mass transport and kinetics during reactive processing of polyolefins. Chem. Eng. J. 2019, 377, 119980. [Google Scholar] [CrossRef]
- De Smit, K.; Edeleva, M.; Trigilio, A.D.; Marien, Y.W.; Van Steenberge, P.H.M.; D’hooge, D.R. Kinetic Monte Carlo residence time distributions and kinetics in view of extrusion-based polymer modification and recycling. React. Chem. Eng. 2023, 8, 563–576. [Google Scholar] [CrossRef]
- Shen, Y.; Qi, R.; Liu, Q.; Wang, Y.; Mao, Y.; Yu, J. Grafting of maleic anhydride onto polyethylene through a green chemistry approach. J. Appl. Polym. Sci. 2008, 110, 2261–2266. [Google Scholar] [CrossRef]
- Lyu, Y.; Yin, H.; Chen, Y.; Zhang, Q.; Shi, X. Structure and evolution of multiphase composites for 3D printing. J. Mater. Sci. 2020, 55, 6861–6874. [Google Scholar] [CrossRef]
- Shi, P.; Tang, J.; Duan, H. Influence of different tougheners on the properties of PC/PBT alloy. J. Mater. Sci. Chem. Eng. 2021, 9, 70–82. [Google Scholar] [CrossRef]
- Gong, K.; Tian, H.; Liu, H.; Liu, X.; Hu, G.H.; Yu, B.; Ning, N.; Tian, M.; Zhang, L. Grafting of isobutylene–isoprene rubber with glycidyl methacrylate and its reactive compatibilization effect on isobutylene–isoprene rubber/polyamides 12 blends. Ind. Eng. Chem. Res. 2021, 60, 16258–16266. [Google Scholar] [CrossRef]
- Lyu, Y.; Chen, Y.; Lin, Z.; Zhang, J.; Shi, X. Manipulating phase structure of biodegradable PLA/PBAT system: Effects on dynamic rheological responses and 3D printing. Compos. Sci. Technol. 2020, 200, 108399. [Google Scholar] [CrossRef]
- Zhou, Y.; Zhao, Y.; Yao, W.; Huang, B. Styrene-assisted melt-free radical grafting of glycidyl methacrylate onto isotactic poly (1-butene). Polym. Eng. Sci. 2011, 51, 1669–1674. [Google Scholar] [CrossRef]
- de Oliveira, C.I.; Rocha, M.C.; de Assis, J.T.; da Silva, A.L. Morphological, mechanical, and thermal properties of PP/SEBS/talc composites. J. Thermoplast. Compos. Mater. 2022, 35, 281–299. [Google Scholar] [CrossRef]
- Choudhary, V.; Varma, H.; Varma, I. Polyolefin blends: Effect of EPDM rubber on crystallization, morphology and mechanical properties of polypropylene/EPDM blends. Polymer 1991, 32, 2534–2540. [Google Scholar] [CrossRef]
- Gopalan, A.M.; Naskar, K. Ultra-high molecular weight styrenic block copolymer/TPU blends for automotive applications: Influence of various compatibilizers. Polym. Adv. Technol. 2019, 30, 608–619. [Google Scholar] [CrossRef]
- Zhao, Y.; Han, L.; Li, D.; Xu, W. The mechanism of grafting of maleic anhydride onto isotactic polybutene-1 assisted by comonomers. Colloid Polym. Sci. 2017, 295, 463–469. [Google Scholar] [CrossRef]
- Liu, J.; Jiang, H.; Chen, L. Grafting of glycidyl methacrylate onto poly (lactide) and properties of PLA/starch blends compatibilized by the grafted copolymer. J. Polym. Environ. 2012, 20, 810–816. [Google Scholar] [CrossRef]
- Song, L.; Zhang, Q.; Hao, Y.; Li, Y.; Chi, W.; Cong, F.; Shi, Y.; Liu, L.-Z. Effect of Different Comonomers Added to Graft Copolymers on the Properties of PLA/PPC/PLA-g-GMA Blends. Polymers 2022, 14, 4088. [Google Scholar] [CrossRef] [PubMed]
- Yang, H.; Luan, S.; Zhao, J.; Shi, H.; Shi, Q.; Yin, J.; Stagnaro, Q. N-vinyl pyrrolidone-assisted free radical functionalization of glycidyl methacrylate onto styrene-b-(ethylene-co-butylene)-b-styrene. React. Funct. Polym. 2010, 70, 961–966. [Google Scholar] [CrossRef]
- Xie, X.M.; Chen, N.H.; Guo, B.H.; Li, S. Study of multi-monomer melt-grafting onto polypropylene in an extruder. Polym. Int. 2000, 49, 1677–1683. [Google Scholar] [CrossRef]
- Zhao, Y.; Ma, C.; Cheng, S.; Xu, W.; Du, Y.; Bao, Y.; Xiao, Z. Maleic Anhydride-Grafted Isotactic Polybutene-1 and Modified Polyamide 6. Polymers 2018, 10, 872. [Google Scholar] [CrossRef]
- Li, J.L.; Duan, Z.Q.; Gong, C.; Xie, X.M. Molecular Structure Effect on Melt Grafting of Acrylates onto LLDPE. Acta Polym. Sin. 2012, 20, 1349–1354. [Google Scholar]
- Ma, P.; Jiang, L.; Ye, T.; Dong, W.; Chen, M. Melt free-radical grafting of maleic anhydride onto biodegradable poly (lactic acid) by using styrene as a comonomer. Polymers 2014, 6, 1528–1543. [Google Scholar] [CrossRef]
- Wei, Q.; Chionna, D.; Galoppini, E.; Pracella, M. Functionalization of LDPE by Melt Grafting with Glycidyl Methacrylate and Reactive Blending with Polyamide-6. J. Macromol. Chem. Phys. 2003, 204, 1123–1133. [Google Scholar] [CrossRef]
- Cartier, H.; Hu, G.H. Styrene-assisted free radical grafting of glycidyl methacrylate onto polyethylene in the melt. J. Polym. Sci. Part A Polym. Chem. 1998, 36, 2763–2774. [Google Scholar] [CrossRef]
- Sun, Y.J.; Hu, G.H.; Lambla, M. Melt free-radical grafting of glycidyl methacrylate onto polypropylene. Die Angew. Makromol. Chem. Appl. Macromol. Chem. Phys. 1995, 229, 1–13. [Google Scholar] [CrossRef]
- Torres, N.; Robin, J.; Boutevin, B. Functionalization of high-density polyethylene in the molten state by glycidyl methacrylate grafting. J. Appl. Polym. Sci. 2001, 81, 581–590. [Google Scholar] [CrossRef]
- Sun, Y.J.; Hu, G.H.; Lambla, M. Free radical grafting of glycidyl methacrylate onto polypropylene in a co-rotating twin screw extruder. J. Appl. Polym. Sci. 1995, 57, 1043–1054. [Google Scholar] [CrossRef]
- Lin, O.H.; Kumar, R.N.; Rozman, H.D.; Noor, M.A. Grafting of sodium carboxymethylcellulose (CMC) with glycidyl methacrylate and development of UV curable coatings from CMC-g-GMA induced by cationic photoinitiators. Carbohydr. Polym. 2005, 59, 57–69. [Google Scholar] [CrossRef]
- Durmus, A.; Alanalp, M.B.; Aydin, I. Investigation of morphological, rheological, and mechanical properties of cyclic olefin copolymer/poly (ethylene-co-vinyl acetate) blend films. J. Plast. Film Sheeting 2018, 34, 140–159. [Google Scholar] [CrossRef]
- Zheng, C.J.; Yang, J.M.; Zhao, H.; Chen, Q.C. AC performance, physical and mechanical properties of polypropylene/polyolefin elastomers blends. In Proceedings of the 2018 12th International Conference on the Properties and Applications of Dielectric Materials (ICPADM), Xi’an, China, 20–24 May 2018. [Google Scholar]
- Kong, Y.; Li, Y.; Hu, G.; Lin, J.; Pan, D.; Dong, D.; Wujick, E.; Shao, Q.; Wu, M.; Zhao, J.; et al. Preparation of polystyrene-b-poly (ethylene/propylene)-b-polystyrene grafted glycidyl methacrylate and its compatibility with recycled polypropylene/recycled high impact polystyrene blends. Polymer 2018, 145, 232–241. [Google Scholar] [CrossRef]
- Yang, L.; Chen, H.; Jia, S.; Lu, X.; Huang, J.; Yu, X.; Ye, K.; He, G.; Qu, J. Influences of ethylene–butylacrylate–glycidyl methacrylate on morphology and mechanical properties of poly (butylene terephthalate)/polyolefin elastomer blends. J. Appl. Polym. Sci. 2014, 131, 40660. [Google Scholar] [CrossRef]
- Bai, L.; Liu, Z.; Yu, C.; Ma, M.; Chen, S.; Shi, Y.; He, H.; Wang, X. Enhanced interfacial adhesion for effectively stress transfer inducing the plastic deformation of matrix towards high-toughness PC/PBT/EMA-GMA blends. Polymer 2022, 261, 125403. [Google Scholar] [CrossRef]
- Yan, D.; Zhao, S.; Ge, C.; Gao, J.; Gu, C.; Fan, Y. PBT/adipic acid modified PEG solid-solid phase change composites. J. Energy Storage 2022, 52, 104753. [Google Scholar] [CrossRef]
- Bao, S.; Tjong, S.C. Mechanical behaviors of polypropylene/carbon nanotube nanocomposites: The effects of loading rate and temperature. Mater. Sci. Eng. A 2008, 485, 508–516. [Google Scholar] [CrossRef]
- Seo, M.-K.; Lee, J.-R.; Park, S.-J. Crystallization kinetics and interfacial behaviors of polypropylene composites reinforced with multi-walled carbon nanotubes. Mater. Sci. Eng. A 2005, 404, 79–84. [Google Scholar] [CrossRef]
- Gearey, A. Pierre Legendre and the Possibility of Critique: Myth, Law and Shelley’s Prometheus Unbound. Law Lit. 1999, 11, 135–159. [Google Scholar]
- Zhou, Z.; Cui, L.; Zhang, Y.; Zhang, Y.; Yin, N. Preparation and properties of POSS grafted polypropylene by reactive blending. Eur. Polym. J. 2008, 44, 3057–3066. [Google Scholar] [CrossRef]
- Naderi, P.; Kabiri, K.; Jahanmardi, R.; Zohuriaan-Mehr, M.J. Preparation of itaconic acid bio-based cross-linkers for hydrogels. J. Macromol. Sci. Part A 2021, 58, 165–174. [Google Scholar] [CrossRef]
- Morales, A.R.; de Paiva, L.B.; Zattarelli, D.; Guimarães, T.R. Morphology, structure and mechanical properties of polypropylene modified with organophilic montmorillonite. Polímeros 2012, 22, 54–60. [Google Scholar] [CrossRef]
- Zhang, Q.; Song, S.; Feng, J.; Wu, P. A new strategy to prepare polymer composites with versatile shape memory properties. J. Mater. Chem. 2012, 22, 24776–24782. [Google Scholar] [CrossRef]
- Loyens, W.; Groeninckx, G. Rubber toughened semicrystalline PET: Influence of the matrix properties and test temperature. Polymer 2003, 44, 123–136. [Google Scholar] [CrossRef]
- Yang, S.; Zhang, Z.; Wang, F.; Feng, L.; Jiang, X.; Yang, C.; Jiang, X.; Liu, G. The synthesis and the bulk rheological properties of the highly-branched block polyethers. Polym. Sci. Ser. A 2014, 56, 917–927. [Google Scholar] [CrossRef]
- Faÿ, S.; Feitknecht, L.; Schlüchter, R.; Kroll, U.; Vallat-Sauvain, E.; Shah, A. Rough ZnO layers by LP-CVD process and their effect in improving performances of amorphous and microcrystalline silicon solar cells. Sol. Energy Mater. Sol. Cells 2006, 90, 2960–2967. [Google Scholar] [CrossRef]
- Luna, C.B.B.; Siqueira, D.D.; Araújo, E.M.; do Nascimento, E.P.; da Costa Agra de Melo, J.B. Evaluation of the SEBS copolymer in the compatibility of PP/ABS blends through mechanical, thermal, thermomechanical properties, and morphology. Polym. Adv. Technol. 2022, 33, 111–124. [Google Scholar] [CrossRef]
- Singla, R.K.; Zafar, M.T.; Maiti, S.N.; Ghosh, A.K. Physical blends of PLA with high vinyl acetate containing EVA and their rheological, thermo-mechanical and morphological responses. Polym. Test. 2017, 63, 398–406. [Google Scholar] [CrossRef]
- Tjong, S.C.; Xu, S.-A.; Li, R.K.-Y.; Mai, Y.-W. Mechanical behavior and fracture toughness evaluation of maleic anhydride compatibilized short glass fiber/SEBS/polypropylene hybrid composites. Compos. Sci. Technol. 2002, 62, 831–840. [Google Scholar] [CrossRef]















| Samples | SEBS (wt%) | GMA (wt%) | St (wt%) | GMA/St (wt/wt) | DCP (wt%) |
|---|---|---|---|---|---|
| D1 | 100 | 1 | 2 | 1:2 | 0.3 |
| D2 | 100 | 2 | 4 | 1:2 | 0.3 |
| D3 | 100 | 3 | 6 | 1:2 | 0.3 |
| D4 | 100 | 4 | 8 | 1:2 | 0.3 |
| D5 | 100 | 5 | 10 | 1:2 | 0.3 |
| Samples | Blend Composition (wt%) |
|---|---|
| E0 | PP/SEBS = 80/20 |
| E1 | PP/SEBS/D1 = 80/10/10 |
| E2 | PP/SEBS/D2 = 80/10/10 |
| E3 | PP/SEBS/D3 = 80/10/10 |
| E4 | PP/SEBS/D4 = 80/10/10 |
| E5 | PP/SEBS/D5 = 80/10/10 |
| Samples | GD (phr) | GE (%) |
|---|---|---|
| D1 | 0.41 | 41.0 |
| D2 | 0.85 | 42.5 |
| D3 | 1.35 | 45.0 |
| D4 | 1.91 | 47.8 |
| D5 | 2.21 | 44.2 |
| GMA | St | |
|---|---|---|
| Q | 0.98 | 1.00 |
| e | 0.20 | −0.8 |
| Samples | Tg1 (°C) | Tg2 (°C) | Tg3 (°C) | ΔTg (°C) |
|---|---|---|---|---|
| E0 | −54.96 | 2.89 | 84.83 | 12.05 |
| E1 | −57.24 | 1.12 | 78.22 | 9.36 |
| E2 | −57.06 | 1.62 | 78.35 | 9.03 |
| E3 | −58.71 | 0.91 | 76.06 | 7.76 |
| E4 | −56.70 | 2.52 | 79.34 | 8.79 |
| E5 | −56.85 | 1.83 | 79.13 | 9.31 |
| Samples | Tc (°C) | Tm (°C) | (J/g) | Xc (%) |
|---|---|---|---|---|
| E0 | 114.32 | 149.74 | 48.30 | 28.89 |
| E1 | 115.06 | 148.43 | 58.45 | 34.96 |
| E2 | 114.32 | 147.76 | 57.58 | 34.44 |
| E3 | 114.18 | 147.42 | 55.87 | 33.42 |
| E4 | 112.75 | 148.06 | 52.68 | 31.51 |
| E5 | 112.29 | 147.56 | 48.62 | 29.08 |
| Samples | (110) | (040) | (130) | (111) | (041) | Average D (nm) | |
|---|---|---|---|---|---|---|---|
| 2θ (°) | E0 | 14.07 | 16.88 | 18.62 | 21.18 | 21.89 | 10.24 |
| 2θ (°) | E1 | 14.06 | 16.88 | 18.62 | 21.18 | 21.89 | 10.33 |
| 2θ (°) | E2 | 14.07 | 16.88 | 18.58 | 21.13 | 21.85 | 10.43 |
| 2θ (°) | E3 | 14.15 | 16.95 | 18.66 | 21.22 | 21.93 | 10.80 |
| 2θ (°) | E4 | 14.13 | 16.93 | 18.65 | 21.22 | 21.94 | 10.95 |
| 2θ (°) | E5 | 14.11 | 16.92 | 18.60 | 21.17 | 21.88 | 11.37 |
| Samples | T95% (°C) | Tmax (°C) | T5% (°C) |
|---|---|---|---|
| E0 | 409.23 | 451.66 | 471.49 |
| E1 | 403.41 | 448.06 | 472.68 |
| E2 | 391.55 | 446.39 | 470.98 |
| E3 | 394.89 | 451.46 | 470.85 |
| E4 | 400.20 | 451.39 | 471.50 |
| E5 | 398.58 | 450.64 | 471.26 |
| Samples | MFR/(g/10 min) |
|---|---|
| E0 | 13.99 ± 0.89 |
| E1 | 13.20 ± 0.54 |
| E2 | 12.17 ± 0.62 |
| E3 | 11.26 ± 0.17 |
| E4 | 10.55 ± 0.35 |
| E5 | 9.86 ± 0.25 |
| Samples | Haze (%) | Transmittance (%) |
|---|---|---|
| E0 | 9.8 ± 0.6 | 91.9 ± 0.6 |
| E1 | 10.2 ± 1.2 | 91.2 ± 1.2 |
| E2 | 12.2 ± 1.4 | 91.1 ± 1.5 |
| E3 | 13.1 ± 1.9 | 91.2 ± 2.5 |
| E4 | 13.5 ± 0.7 | 91.0 ± 1.4 |
| E5 | 14.3 ± 1.8 | 90.9 ± 1.5 |
| Samples | Impact Strength/(J/m2) | Elongation at Break/(%) | Tensile Strength/(MPa) |
|---|---|---|---|
| E0 | 19,022.21 ± 452.56 | 1200.6 ± 50.6 | 33.51 ± 3.34 |
| E1 | 22,247.86 ± 983.35 | 1245.3 ± 47.2 | 27.66 ± 1.52 |
| E2 | 24,160.47 ± 1484.90 | 1268.7 ± 55.8 | 25.98 ± 2.22 |
| E3 | 30,165.82 ± 1560.57 | 1445.3 ± 62.6 | 22.52 ± 2.1 |
| E4 | 28,531.64 ± 578.25 | 1388.9 ± 40.5 | 23.99 ± 1.56 |
| E5 | 28,347.34 ± 1083.64 | 1241.7 ± 20.9 | 24.73 ± 1.74 |
Disclaimer/Publisher’s Note: The statements, opinions and data contained in all publications are solely those of the individual author(s) and contributor(s) and not of MDPI and/or the editor(s). MDPI and/or the editor(s) disclaim responsibility for any injury to people or property resulting from any ideas, methods, instructions or products referred to in the content. |
© 2023 by the authors. Licensee MDPI, Basel, Switzerland. This article is an open access article distributed under the terms and conditions of the Creative Commons Attribution (CC BY) license (https://creativecommons.org/licenses/by/4.0/).
Share and Cite
Song, L.; Cong, F.; Wang, W.; Ren, J.; Chi, W.; Yang, B.; Zhang, Q.; Li, Y.; Li, X.; Wang, Y. The Effect of Functionalized SEBS on the Properties of PP/SEBS Blends. Polymers 2023, 15, 3696. https://doi.org/10.3390/polym15183696
Song L, Cong F, Wang W, Ren J, Chi W, Yang B, Zhang Q, Li Y, Li X, Wang Y. The Effect of Functionalized SEBS on the Properties of PP/SEBS Blends. Polymers. 2023; 15(18):3696. https://doi.org/10.3390/polym15183696
Chicago/Turabian StyleSong, Lixin, Fei Cong, Wei Wang, Jiannan Ren, Weihan Chi, Bing Yang, Qian Zhang, Yongchao Li, Xianliang Li, and Yuanxia Wang. 2023. "The Effect of Functionalized SEBS on the Properties of PP/SEBS Blends" Polymers 15, no. 18: 3696. https://doi.org/10.3390/polym15183696
APA StyleSong, L., Cong, F., Wang, W., Ren, J., Chi, W., Yang, B., Zhang, Q., Li, Y., Li, X., & Wang, Y. (2023). The Effect of Functionalized SEBS on the Properties of PP/SEBS Blends. Polymers, 15(18), 3696. https://doi.org/10.3390/polym15183696

