Effect of Modification and Hydrothermal Ageing on Properties of 3D-Printed Wood Flour–Poly(butylene succinate)–Poly(lactic acid) Biocomposites
Abstract
:1. Introduction
2. Experimental Works
2.1. Materials and Reagents
2.2. Pretreatment of WF with KH550
2.3. Sample Preparation
- Untreated composite (coded as UN-C): weigh PLA, PBS, and WF by the mass fractions of 80%, 10%, and 10%, then mix all the components together.
- Glycerol-modified composite (coded as GM-C): weigh PLA, PBS, and WF by the mass fractions of 80%, 10%, and 10%, mix them together, then add glycerol as plasticizer into the mixture at 2% of the total mass of PLA, PBS, and WF, and mix once again.
- KH550-modified composite (coded as CM-C): weigh PLA, PBS, and C-WF by the mass fractions of 80%, 10%, and 10%, then mix all the components together.
2.4. Hydrothermal Aging Testing
2.5. Testing and Characterization
2.5.1. FTIR Analysis
2.5.2. Wettability Testing
2.5.3. Water Uptake Analysis
2.5.4. Weight Loss
2.5.5. Mechanical Testing
2.5.6. Morphological Characterization (SEM)
2.5.7. Thermal Stability
3. Results and Discussion
3.1. FTIR Analysis
3.2. Visual Appearance
3.3. Wettability
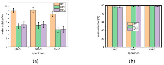
3.4. Water Uptake and Mass Retention
3.5. Tensile Performances Analysis
3.6. Cross-Sectional Morphologies
3.7. Thermogravimetric Analysis
4. Conclusions
Author Contributions
Funding
Institutional Review Board Statement
Informed Consent Statement
Data Availability Statement
Conflicts of Interest
Sample Availability
References
- Khorasani, M.; Ghasemi, H.; Rolfe, B.; Gibson, I. Additive manufacturing a powerful tool for the aerospace industry. Rapid Prototyp. J. 2022, 28, 87–100. [Google Scholar] [CrossRef]
- Olimpia, B.V.; Elvia, P.; Sánchez, R.; Graham, J.; Medina, D.I. Load Distribution on PET-G 3D Prints of Honeycomb Cellular Structures under Compression Load. Polymers 2021, 13, 1983. [Google Scholar]
- Alice, M.; Federico, P.; Giulia, L.; Alessandra, M.; Andrea, G.; Luci, Z. 3D printing by fused deposition modeling (FDM) of a swellable/erodible capsular device for oral pulsatile release of drugs. J. Drug Deliv. Sci. Technol. 2015, 30, 360–367. [Google Scholar]
- Shahrubudin, N.; Lee, T.C.; Ramlan, R. An Overview on 3D Printing Technology: Technological, Materials, and Applications. Procedia Manuf. 2019, 35, 1286–1296. [Google Scholar] [CrossRef]
- Azamat, L.S.; Azamat, A.K.; Azamat, A.Z.; Elena, V.R.; Svetlana, Y.K. The influence of the 3D-printing technology on the physical and mechanical properties of polyphenylene sulfone. Rapid Prototyp. J. 2018, 24, 1124–1130. [Google Scholar]
- Depuydt, D.; Balthazar, M.; Hendrickx, K. Production and characterization of bamboo and flax fiber reinforced polylactic acid filaments for fused deposition modeling (FDM). Polym. Compos. 2019, 40, 1951–1963. [Google Scholar] [CrossRef]
- Maria, A.M.; Cindy, L.A.M.; Alejandro, M.; Camilo, H.; Veronique, M.; Alicia, P. Development and characterization of rice husk and recycled polypropylene composite filaments for 3D printing. Polymers 2021, 13, 1067. [Google Scholar]
- Mihai, A.P.; Catalin, C.; Tibor, B.; Virgil, G.; Irinel, R.; Mihaela, C.; Sebastian, M.Z.; Lucia, A.C.; Ioan, M. Structural changes during 3D printing of bioderived and synthetic thermoplastic materials. J. Appl. Polym. Sci. 2019, 136, 47382. [Google Scholar]
- Zhang, X.; Fan, W.; Liu, T. Fused deposition modeling 3D printing of polyamide-based composites and its applications. Compos. Commun. 2020, 21, 100413. [Google Scholar] [CrossRef]
- Yu, W.; Wang, X.; Ferraris, E.; Zhang, J. Melt crystallization of PLA/Talc in fused filament fabrication. Mater. Des. 2019, 182, 108013. [Google Scholar] [CrossRef]
- Fu, X.; Zhang, X.; Huang, Z. Axial crushing of Nylon and Al/Nylon hybrid tubes by FDM 3D printing. Compos. Struct. 2021, 256, 113055. [Google Scholar] [CrossRef]
- Daver, F.; Lee, M.; Brandt, M.; Shanks, R. Cork–PLA composite filaments for fused deposition modelling. Compos. Sci. Technol. 2018, 168, 230–237. [Google Scholar] [CrossRef]
- Marie, J.G.; Stefan, H.; Dawn, S.; Beatrix, T.; Evamaria, G.; Abdellatif, B.; Claire, M.L. Influence of rice husk and wood biomass properties on the manufacture of filaments for fused deposition modelling. Front. Chem. 2019, 7, 735. [Google Scholar]
- Céline, B.; Fanny, T.; Clément, D.; Claire, M.; Gabriel, P.; Alain, B. Exploring mechanical properties of fully compostable flax reinforced Composite filaments for 3D printing applications. Ind. Crops Prod. 2019, 135, 246–250. [Google Scholar]
- Kong, M.; Qin, Z.; Zhang, P.; Xie, G.; Wang, H.; Wang, J.; Guan, F.; Yang, W.; Qiu, Z. Study on modified poplar wood powder/polylactic acid high toughness green 3D printing composites. Int. J. Biol. Macromol. 2023, 228, 311–322. [Google Scholar] [CrossRef]
- Nadir, A.; Mirko, K.J.; Heon, K.M.; Kitek, K. Effect of printing layer thickness on water absorption and mechanical properties of 3D-printed wood/PLA composite materials. Int. J. Adv. Manuf. Technol. 2019, 102, 2195–2200. [Google Scholar]
- Le Duigou, A.; Castro, M.; Bevan, R.; Martin, N. 3D printing of wood fibre biocomposites: From mechanical to actuation functionality. Mater. Des. 2016, 96, 106–114. [Google Scholar] [CrossRef]
- Kanthas, K.D.; Zachary, K.; Sabbie, A.M. Hydrothermal ageing of bio-based poly(lactic acid) (PLA) wood polymer composites: Studies on sorption behavior, morphology, and heat conductance. Constr. Build. Mater. 2019, 214, 290–302. [Google Scholar]
- Zeynal, A.O.; Ahmet, E. Evaluation of the hydrothermal ageing effect on the buckling behavior of hybrid glass/aramid/epoxy composite plates: Comparison of distilled water and seawater. Polym. Compos. 2022, 43, 4463–4477. [Google Scholar]
- Rousseau, J.; Donkeng, N.N.; Farcas, F.; Chevalier, S.; Placet, V. Thermal and hydrothermal ageing of flax/polypropylene composites and their stainless steel hybrid laminates. Composites 2023, 171, 107582. [Google Scholar] [CrossRef]
- Gil-Castell, O.; Badia, J.D.; Kittikorn, T.; Strömberg, E.; Karlsson, M.E.; Ribes-Greus, A. Impact of hydrothermal ageing on the thermal stability, morphology and viscoelastic performance of PLA/sisal biocomposites. Polym. Degrad. Stab. 2016, 132, 87–96. [Google Scholar] [CrossRef]
- Emmanuel, O.; Ogunsona, M.M.; Amar, K.M. Accelerated hydrothermal ageing of biocarbon reinforced nylon biocomposites. Polym. Degrad. Stab. 2017, 139, 76–88. [Google Scholar]
- Ventura, H.J.; Claramunt, M.A.; Rodríguez-Pérez, M.A. Effects of hydrothermal ageing on the water uptake and tensile properties of PHB/flax fabric biocomposites. Polym. Degrad. Stab. 2017, 142, 129–138. [Google Scholar] [CrossRef]
- De, Z.Q.; Li, P.W.; Shuai, S.; Hong, W.G.; Yong, P.B.; Li, P.D. Properties of poly(butylene-co-isosorbide succinate) after blown film extrusion. Green Mater. 2020, 8, 68–78. [Google Scholar]
- Tunsuda, S.; Neeranuch, P.; Worasak, P. Properties and characteristics of polylactide blends: Synergistic combination of poly(butylene succinate) and flame retardant. Polym. Adv. Technol. 2018, 29, 785–794. [Google Scholar]
- Deng, Y.; Thomas, N.L. Blending poly(butylene succinate) with poly(lactic acid): Ductility and phase inversion effects. Eur. Polym. J. 2015, 71, 534–546. [Google Scholar] [CrossRef]
- Yu, W.; Shi, J.; Sun, L.; Lei, W. Effects of printing parameters on properties of FDM 3D printed residue of astragalus/polylactic acid biomass composites. Molecules 2022, 27, 7373. [Google Scholar] [CrossRef]
- Bao, Y. Hydrothermal ageing behaviors of CMR/PLA biocomposites. J. Thermoplast. Compos. Mater. 2017, 31, 1341–1351. [Google Scholar] [CrossRef]
- Sugiman, S.; Salman, S.; Buan, A. Hydrothermal ageing of hydrophobic nano-calcium carbonate/epoxy nanocomposites. Polym. Degrad. Stab. 2021, 191, 109671. [Google Scholar] [CrossRef]
- ASTM D724; Standard Test Method for Surface Wettability of Paper (Angle-of-Contact Method). ASTM International (ASTM): West Conshohocken, PA, USA, 1999.
- Yu, W.; Dong, L.; Lei, W.; Zhou, Y.; Pu, Y.; Zhang, X. Effects of rice straw powder (RSP) size and pretreatment on properties of FDM 3D-printed RSP/poly(lactic acid) biocomposites. Molecules 2021, 26, 3234. [Google Scholar] [CrossRef]
- Chen, F.; Ni, X.; Liu, Y.; Xia, X.; Gao, X. Preparation and properties of heat-treated esterified wood flour/polylactic acid composites for FDM 3D printing. J Mater. Sci. 2022, 57, 14819–14834. [Google Scholar] [CrossRef]
- ASTM D638-22; Standard Test Method for Tensile Properties of Plastics. ASTM International (ASTM): West Conshohocken, PA, USA, 2022.
- Prakash, K.; Chantara, T.; Sivakumar, M. Enhancements in crystallinity, thermal stability, tensile modulus and strength of sisal fifibres and their PP composites induced by the synergistic effects of alkali and high intensity ultrasound (HIU) treatments. Ultrason. Sonochem. 2017, 34, 729–742. [Google Scholar]
- Yang, F.; Guo, X.; Zeng, Z.; Xiao, J.; Li, H.; Luo, Y.; Guan, L.; Zheng, W.; Zhou, W.; Dong, X. Sr2MgSi2O7: Eu2+, Dy3+ phosphor-reinforced wood plastic composites with photoluminescence properties for 3D printing. Polym. Compos. 2021, 42, 3125–3136. [Google Scholar] [CrossRef]
- Sheng, F.H.; Min, Z.; Chong, Z.; Chen, W. Interface reaction and molecule recognition among wood flour, amino silane coupling agent and POE-g-MAH compatibilizer. Polym.-Plast. Technol. Eng. 2011, 50, 47–51. [Google Scholar]
- Bhagia, S.; Lowden, R.R.; Erdman, D., III; Rodriguez, M., Jr.; Haga, B.A.; Solano, I.R.M.; Gallego, N.C.; Pu, Y.; Muchero, W.; Kunc, V.; et al. Tensile properties of 3D-printed wood-filled PLA materials using poplar trees. Appl. Mater. Today 2020, 21, 100832. [Google Scholar] [CrossRef]
- Lu, F.; Liang, C.; Wen, J.G.; Yong, P.C.; Zheng, W. Influence of silane surface modification of veneer on interfacial adhesion of wood–plastic plywood. Appl. Surf. Sci. 2014, 288, 682–689. [Google Scholar]
- Sriwan, K.; Thanate, R.; Sukritthira, R. The effect of alkaline–silane treatment of rubberwood flour for water absorption and mechanical properties of plastic composites. J Thermoplast. Compos. Mater. 2020, 33, 599–613. [Google Scholar]
- Xie, G.; Zhang, Y.; Lin, W. Plasticizer combinations and performance of wood flour-poly(Lactic acid) 3D printing filaments. Bioresource 2017, 12, 6736–6748. [Google Scholar] [CrossRef]
- Yan, L.; Bing, X. Hydrothermal ageing mechanisms of unidirectional flax fabric reinforced epoxy composites. Polym. Degrad. Stab. 2016, 126, 144–158. [Google Scholar]
- Azadi, M.; Dadashi, A.; Aghareb Parast, M.S.; Dezianian, S. A comparative study for high-cycle bending fatigue lifetime and fracture behavior of extruded and additive-manufactured 3D-printed acrylonitrile butadiene styrene polymers. Int. J. Addit.-Manuf. Struct. 2022, 1, 1–10. [Google Scholar]
- Sofiane, G.; Sofiane, B.; Hedi, N. Understanding the microstructural role of bio-sourced 3D printed structures on the tensile performance. Polym. Test. 2019, 77, 105924. [Google Scholar]
- Mohankumar, H.R.; Maha, G.M.B.; Pradeepkumar, G.S.; Vijay, T.K.R.; Khan, T.M.Y.; Javed, K.B.; Mohammed, A.A. Effect of short glass fiber addition on flexural and impact behavior of 3D printed polymer composites. ACS Omega 2023, 8, 9212–9220. [Google Scholar]
- Xu, D.; Shi, J.; Qiu, R.; Lei, W.; Yu, W. Comparative investigations on properties of three kinds of FDM 3D-printed natural plant powder/poly(lactic acid) biocomposites. Polymers 2023, 15, 557. [Google Scholar] [CrossRef]
- Maciej, K.; Julia, G.; Wojciech, P.; Bogna, S.; Daria, P.; Miłosz, F.; Justyna, S.; Robert, E.P. Molybdenum disulphide modified polylactide for 3D printed (FDM/FFF) filaments. Polymers 2023, 15, 2236. [Google Scholar]









| Sample Codes | Before Aging (°) | Aged at 60 °C for 168 h (°) | Aged at 90 °C for 24 h (°) |
|---|---|---|---|
| UN-C | 63.5 | 72.0 | 80.9 |
| GM-C | 58.8 | 66.7 | 77.9 |
| CM-C | 55.0 | 66.0 | 75.4 |
| Sample Code | Unaged | Aged at 60 °C | Aged at 90 °C | |||
|---|---|---|---|---|---|---|
| Ti/°C | Tp/°C | Ti/°C | Tp/°C | Ti/°C | Tp/°C | |
| UN-C | 347.4 | 371.8 | 305.2 | 347.3 | 299.0 | 333.5 |
| GM-C | 346.7 | 370.3 | 321.0 | 362.4 | 309.7 | 358.1 |
| CM-C | 347.0 | 371.3 | 318.8 | 357.9 | 304.3 | 347.3 |
Disclaimer/Publisher’s Note: The statements, opinions and data contained in all publications are solely those of the individual author(s) and contributor(s) and not of MDPI and/or the editor(s). MDPI and/or the editor(s) disclaim responsibility for any injury to people or property resulting from any ideas, methods, instructions or products referred to in the content. |
© 2023 by the authors. Licensee MDPI, Basel, Switzerland. This article is an open access article distributed under the terms and conditions of the Creative Commons Attribution (CC BY) license (https://creativecommons.org/licenses/by/4.0/).
Share and Cite
Yu, W.; Sun, L.; Li, M.; Peng, Y.; Wei, C.; Lei, W.; Qiu, R.; Ge, Y. Effect of Modification and Hydrothermal Ageing on Properties of 3D-Printed Wood Flour–Poly(butylene succinate)–Poly(lactic acid) Biocomposites. Polymers 2023, 15, 3697. https://doi.org/10.3390/polym15183697
Yu W, Sun L, Li M, Peng Y, Wei C, Lei W, Qiu R, Ge Y. Effect of Modification and Hydrothermal Ageing on Properties of 3D-Printed Wood Flour–Poly(butylene succinate)–Poly(lactic acid) Biocomposites. Polymers. 2023; 15(18):3697. https://doi.org/10.3390/polym15183697
Chicago/Turabian StyleYu, Wangwang, Liwei Sun, Meihui Li, Youxue Peng, Chaohui Wei, Wen Lei, Rui Qiu, and Ying Ge. 2023. "Effect of Modification and Hydrothermal Ageing on Properties of 3D-Printed Wood Flour–Poly(butylene succinate)–Poly(lactic acid) Biocomposites" Polymers 15, no. 18: 3697. https://doi.org/10.3390/polym15183697
APA StyleYu, W., Sun, L., Li, M., Peng, Y., Wei, C., Lei, W., Qiu, R., & Ge, Y. (2023). Effect of Modification and Hydrothermal Ageing on Properties of 3D-Printed Wood Flour–Poly(butylene succinate)–Poly(lactic acid) Biocomposites. Polymers, 15(18), 3697. https://doi.org/10.3390/polym15183697

