pH- and Thermo-Responsive Water-Soluble Smart Polyion Complex (PIC) Vesicle with Polyampholyte Shells
Abstract
:1. Introduction
2. Materials and Methods
2.1. Materials
2.2. Synthesis of P(VS)17 Random Copolymer
2.3. P(VBTAC/NaSS)17-b-PAPTAC50
2.4. Synthesis of PAAc49
2.5. Preparation of PIC Vesicles
2.6. Encapsulation of PEG-Py
2.7. Measurements
3. Results
3.1. Preparation of P(VS)17A50 and PAAc49
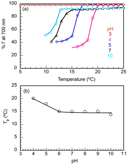
3.2. Preparation and Characterization of PIC Vesicles
4. Conclusions
Supplementary Materials
Author Contributions
Funding
Data Availability Statement
Acknowledgments
Conflicts of Interest
References
- Lankalapalli, S.; Kolapalli, V.R.M. Polyelectrolyte complexes: A review of their applicability in drug delivery technology. Indian J. Pharm. Sci. 2009, 71, 481–487. [Google Scholar] [CrossRef] [PubMed] [Green Version]
- Insua, I.; Wilkinson, A.; Fernandez-Trillo, F. Polyion complex (PIC) particles: Preparation and biomedical applications. Eur. Polym. J. 2016, 81, 198–215. [Google Scholar] [CrossRef] [PubMed] [Green Version]
- Ohara, Y.; Nakai, K.; Ahmed, S.; Matsumura, K.; Ishihara, K.; Yusa, S. pH-responsive polyion complex vesicle with polyphosphobetaine shells. Langmuir 2019, 35, 1249–1256. [Google Scholar] [CrossRef] [PubMed]
- Slyusarenko, N.V.; Vasilyeva, N.Y.; Kazachenko, A.S.; Gerasimova, M.A.; Romanchenko, A.S.; Slyusareva, E.A. Synthesis and properties of interpolymer complexes based on chitosan and sulfated arabinogalactan. Polym. Sci. B 2020, 62, 272–278. [Google Scholar] [CrossRef]
- Bhat, A.H.; Khan, I.; Bhawani, S.A.; Abdul Rahim, M.K.; Gazal, U. Stimuli-Responsive Polymer Composites for Fabric Applications. Smart Polym. Nanocomposites; Woodhead Publishing: Sawston, UK, 2021; Chapter Fifteen. [Google Scholar]
- Justus, C.R.; Dong, L.; Yang, L.V. Acidic tumor microenvironment and pH-sensing G protein-coupled receptors. Front. Physiol. 2013, 4, 354. [Google Scholar] [CrossRef] [PubMed] [Green Version]
- Ohno, S.; Ishihara, K.; Yusa, S. Formation of polyion complex (PIC) micelles and vesicles with anionic pH-responsive unimer micelles and cationic diblock copolymers in water. Langmuir 2016, 32, 3945–3953. [Google Scholar] [CrossRef]
- Chen, J.; Ding, J.; Zhang, Y.; Xiao, C.; Zhuang, X.; Chen, X. Polyion complex micelles with gradient pH-sensitivity for adjustable intracellular drug delivery. Polym. Chem. 2015, 6, 397–405. [Google Scholar] [CrossRef]
- Oishi, M.; Sasaki, S.; Nagasaki, Y.; Kataoka, K. pH-responsive oligodeoxynucleotide (ODN)-poly(ethylene glycol) conjugate through acid-labile β-thiopropionate linkage: Preparation and polyion complex micelle formation. Biomacromolecules 2003, 4, 1426–1432. [Google Scholar] [CrossRef]
- Luo, Y.L.; Yuan, J.F.; Liu, X.J.; Xie, H.; Gao, Q.Y. Self-assembled polyion complex micelles based on PVP-b-PAMPS and PVP-b-PDMAEMA for drug delivery. J. Bioact. Compat. Polym. 2010, 25, 292–304. [Google Scholar] [CrossRef]
- Tian, S.; Liu, G.; Wang, X.; Wu, T.; Yang, J.; Ye, X.; Zhang, G.; Hu, J.; Liu, S. pH-regulated reversible transition between polyion complexes (PIC) and hydrogen-bonding complexes (HBC) with tunable aggregation-induced emission. ACS Appl. Mater. Interfaces 2016, 8, 3693–3702. [Google Scholar] [CrossRef]
- Oishi, M.; Nagatsugi, F.; Sasaki, S.; Nagasaki, Y.; Kataoka, K. Smart polyion complex micelles for targeted intracellular delivery of PEGylated antisense oligonucleotides containing acid-labile linkages. Chembiochem 2005, 6, 718–725. [Google Scholar] [CrossRef]
- Kim, D.; Matsuoka, H.; Saruwatari, Y. Formation of sulfobetaine-containing entirely ionic PIC (polyion complex) micelles and their temperature responsivity. Langmuir 2020, 36, 10130–10137. [Google Scholar] [CrossRef]
- De Santis, S.; Ladogana, R.D.; Diociaiuti, M.; Masci, G. Pegylated and thermosensitive polyion complex micelles by self-assembly of two oppositely and permanently charged diblock copolymers. Macromolecules 2010, 43, 1992–2001. [Google Scholar] [CrossRef]
- Li, G.; Guo, L.; Meng, Y.; Zhang, T. Self-assembled nanoparticles from thermo-sensitive polyion complex micelles for controlled drug release. Chem. Eng. J. 2011, 174, 199–205. [Google Scholar] [CrossRef]
- Pua, M.L.; Yoshitomi, T.; Chonpathompikunlert, P.; Hirayama, A.; Nagasaki, Y. Redox-active injectable gel using thermo-responsive nanoscale polyion complex flower micelle for noninvasive treatment of local inflammation. J. Control. Release 2013, 172, 914–920. [Google Scholar] [CrossRef]
- Kim, D.; Matsuoka, H.; Yusa, S.; Saruwatari, Y. Collapse behavior of polyion complex (PIC) micelles upon salt addition and reforming behavior by dialysis and its temperature responsivity. Langmuir 2020, 36, 15485–15492. [Google Scholar] [CrossRef]
- Dong, S.; Jiang, Y.; Qin, G.; Liu, L.; Zhao, H. Methionine-based pH and oxidation dual-responsive block copolymer: Synthesis and fabrication of protein nanogels. Biomacromolecules 2020, 21, 4063–4075. [Google Scholar] [CrossRef]
- Ma, R.; Yang, H.; Li, Z.; Liu, G.; Sun, X.; Liu, X.; An, Y.; Shi, L. Phenylboronic acid-based complex micelles with enhanced glucose-responsiveness at physiological pH by complexation with glycopolymer. Biomacromolecules 2012, 13, 3409–3417. [Google Scholar] [CrossRef]
- Jin, Q.; Cai, T.; Wang, Y.; Wang, H.; Ji, J. Light-responsive polyion complex micelles with switchable surface charge for efficient protein delivery. ACS Macro Lett. 2014, 3, 679–683. [Google Scholar] [CrossRef]
- Zhou, W.; Ding, P.; Zhang, C.; Wu, B.; Guo, X.; Stuart, M.A.C.; Zhuo, X.; Wang, J. Regulated polyion complex vesicles for efficient photothermal therapy. Adv. Funct. Mater. 2022, 2022, 2108729. [Google Scholar] [CrossRef]
- Chiang, W.H.; Hsu, Y.H.; Chen, Y.W.; Chern, C.S.; Chiu, H.C. Thermoresponsive interpolymeric complex assemblies from co-association of linear PAAc homopolymers with PNIPAAm segments containing PAAc-based graft copolymer. Macromol. Chem. Phys. 2011, 212, 1869–1878. [Google Scholar] [CrossRef]
- Zhang, D.; Liu, J.; Xie, H.; Zhu, A.; Xu, Y.; Zeng, B.; Luo, W.; Dai, L. Polyion complex micelles formed by azobenzene-based polymer with multi-responsive properties. J. Appl. Polym. Sci. 2021, 138, 50580. [Google Scholar] [CrossRef]
- Ishii, S.; Kaneko, J.; Nagasaki, Y. Dual stimuli-responsive redox-active injectable gel by polyion complex based flower micelles for biomedical applications. Macromolecules 2015, 48, 3088–3094. [Google Scholar] [CrossRef]
- Liu, Y.; Li, C.; Wang, H.Y.; Zhang, X.Z.; Zhuo, R.X. Synthesis of thermo- and pH-sensitive polyion complex micelles for fluorescent imaging. Chem. A Eur. J. 2012, 18, 2297–2304. [Google Scholar] [CrossRef]
- Ren, J.; Zhang, Y.; Zhang, J.; Gao, H.; Liu, G.; Ma, R.; An, Y.; Kong, D.; Shi, L. pH/sugar dual responsive core-cross-linked PIC micelles for enhanced intracellular protein delivery. Biomacromolecules 2013, 14, 3434–3443. [Google Scholar] [CrossRef]
- Voets, I.K.; Moll, P.; Aqli, A.; Jerome, C.; Detrembleur, C.; Waard, P.; Keizet, A.; Stuart, M. Temperature responsive complex coacervate core micelles with a PEO and PNIPAAm corona. J. Phys. Chem. B 2008, 35, 10833–10840. [Google Scholar] [CrossRef]
- Kawata, Y.; Kozuka, S.; Yusa, S. Thermo-responsive behavior of amphoteric diblock copolymers bearing sulfonate and quaternary amino pendant groups. Langmuir 2019, 35, 1458–1464. [Google Scholar] [CrossRef]
- Kazachenko, A.S.; Akman, F.; Malyar, Y.N.; Issaoui, N.; Vasilieva, N.Y.; Karacharov, A.A. Synthesis optimization, DFT and physicochemical study of chitosan sulfates. J. Mol. Struct. 2021, 1245, 131083. [Google Scholar] [CrossRef]
- Kazachenko, A.; Akman, F.; Medimagh, M.; Issaoui, N.; Vasilieva, N.; Malyar, Y.N.; Sudakova, I.G.; Karacharov, A.; Miroshnikova, A.; Marzook Al-Dossary, O.M. Sulfation of Diethylaminoethyl-cellulose: QTAIM topological analysis and experimental and DFT studies of the properties. ACS Omega 2021, 6, 22603–22615. [Google Scholar] [CrossRef]
- Rabiee, A.; Ershad-Langroudi, A.; Jamshidi, H. Polyacrylamide-based polyampholytes and their applications. Rev. Chem. Eng. 2014, 30, 501–519. [Google Scholar] [CrossRef]
- North, S.M.; Armes, S.P. Synthesis of polyampholytic diblock copolymers via RAFT aqueous solution polymerization. Polym. Chem. 2021, 12, 4846–4855. [Google Scholar] [CrossRef]
- Nakahata, R.; Yusa, S. Preparation of water-soluble polyion complex (PIC) micelles covered with amphoteric random copolymer shells with pendant sulfonate and quaternary amino groups. Polymers 2018, 10, 205. [Google Scholar] [CrossRef] [Green Version]
- Sharker, K.K.; Ohara, Y.; Shigeta, Y.; Ozoe, S.; Yusa, S. Upper critical solution temperature (UCST) behavior of polystyrene-based polyampholytes in aqueous solution. Polymers 2019, 11, 265. [Google Scholar] [CrossRef] [Green Version]
- Seki, K.; Tirrell, D.A. pH-Dependent complexation of poly(acrylic acid) derivatives with phospholipid vesicle membranes. Macromolecules 1984, 17, 1692–1698. [Google Scholar] [CrossRef]
- Li, R.; Zhang, C.; Wang, C.; Cheng, Y.; Hu, D. Study on the mechanism of the reversible color change of polyacrylic acid modified gold nanoparticles responding to pH. Materials 2021, 14, 3679. [Google Scholar] [CrossRef]
- Fukumoto, H.; Ishihara, K.; Yusa, S. Thermo-responsive behavior of mixed aqueous solution of hydrophilic polymer with pendant phosphorylcholine group and poly(acrylic acid). Polymers 2021, 13, 148. [Google Scholar] [CrossRef]
- Mitsukami, Y.; Donovan, M.S.; Lowe, A.B.; Mccormick, C.L. Water-soluble polymers. 81. Direct synthesis of hydrophilic styrenic-based homopolymers and block copolymers in aqueous solution via RAFT. Macromolecules 2001, 34, 2248–2256. [Google Scholar] [CrossRef]
- Kozuka, S.; Kuroda, K.; Ishihara, K.; Yusa, S. Interpolymer association of amphiphilic diblock copolymers bearing pendant siloxane and phosphorylcholine groups. J. Polym. Sci. Part A Polym. Chem. 2019, 57, 1500–1507. [Google Scholar] [CrossRef]
- Nakamura, N.; Mochida, Y.; Toh, K.; Fukushima, S.; Anraku, Y.; Cabral, H. Effect of mixing ratio of oppositely charged block copolymers on polyion complex micelles for in vivo application. Polymers 2020, 13, 5. [Google Scholar] [CrossRef]
- Anraku, Y.; Kishimura, A.; Oba, M.; Yamasaki, Y.; Kataoka, K. Spontaneous formation of nanosized unilamellar polyion complex vesicles with tunable size and properties. J. Am. Chem. Soc. 2010, 132, 1631–1636. [Google Scholar] [CrossRef]
- Pramod, P.S.; Takamura, K.; Chaphekar, S.; Balasubramanian, N.; Jayakannan, M. Dextran vesicular carriers for dual encapsulation of hydrophilic and hydrophobic molecules and delivery into cells. Biomacromolecules 2012, 13, 3627–3640. [Google Scholar] [CrossRef]
- Burchard, W. Static and dynamic light scattering from branched polymers and biopolymers. Springer: Berlin/Heidelberg, Germany, 1983. [Google Scholar]
- Geismann, C.; Tomicki, F.; Ulbricht, M. Block copolymer photo-grafted poly(ethylene terephthalate) capillary pore membranes distinctly switchable by two different stimuli. Sep. Sci. Technol. 2009, 44, 3312–3329. [Google Scholar] [CrossRef]
- Michaels, A.S.; Morelos, O. Polyelectrolyte adsorption by kaolinite. Ind. Eng. Chem 1995, 47, 1801–1809. [Google Scholar] [CrossRef]
- Paek, K.; Yang, H.; Lee, J.; Park, J.; Kim, B.J. Efficient colorimetric pH sensor based on responsive polymer-quantum dot integrated graphene oxide. ACS Nano 2014, 8, 2848–2856. [Google Scholar] [CrossRef]
- Katchalsky, A.; Eisenberg, H. Molecular weight of polyacrylic and polymethacrylic acid. J. Polym. Sci. 1951, 6, 145–154. [Google Scholar] [CrossRef]
- Lim, P.F.C.; Chee, L.Y.; Chen, S.B. Study of interaction between cetyltrimethylammonium bromide and poly(acrylic acid) by rheological measurements. J. Phys. Chem. B 2003, 107, 6491–6496. [Google Scholar] [CrossRef]










| Sample | DP (theo) | DP (NMR) | Mn(theo) 1 × 10−4 (g/mol) | Mn(NMR) 2 × 10−4 (g/mol) | Mn(GPC) 3 × 10−4 (g/mol) | Mw/Mn |
|---|---|---|---|---|---|---|
| P(VS)17 | 17 | - | 0.38 | - | - | - |
| P(VS)17A50 | 49 | 50 | 1.40 | 1.41 | 5.70 | 1.04 |
| PAAc49 | 36 | 49 | 0.26 | 0.34 | 1.40 | 1.07 |
| Sample | Mw(SLS) × 10−4 (g/mol) | Nagg | Rg (nm) | Rh (nm) | Rg/Rh | dn/dCp | d1 (g/cm3) |
|---|---|---|---|---|---|---|---|
| P(VS)17A50 | 1.55 | 1 | - | 5.7 | - | 0.1323 | 0.033 |
| PAAc49 | 0.33 | 1 | - | 5.3 | - | 0.2278 | 0.028 |
| PIC vesicle | 10,600 | 5640 | 101 | 86.6 | 1.17 | 0.0736 | 0.064 |
Publisher’s Note: MDPI stays neutral with regard to jurisdictional claims in published maps and institutional affiliations. |
© 2022 by the authors. Licensee MDPI, Basel, Switzerland. This article is an open access article distributed under the terms and conditions of the Creative Commons Attribution (CC BY) license (https://creativecommons.org/licenses/by/4.0/).
Share and Cite
Pham, T.T.; Pham, T.D.; Yusa, S.-i. pH- and Thermo-Responsive Water-Soluble Smart Polyion Complex (PIC) Vesicle with Polyampholyte Shells. Polymers 2022, 14, 1659. https://doi.org/10.3390/polym14091659
Pham TT, Pham TD, Yusa S-i. pH- and Thermo-Responsive Water-Soluble Smart Polyion Complex (PIC) Vesicle with Polyampholyte Shells. Polymers. 2022; 14(9):1659. https://doi.org/10.3390/polym14091659
Chicago/Turabian StylePham, Thu Thao, Tien Duc Pham, and Shin-ichi Yusa. 2022. "pH- and Thermo-Responsive Water-Soluble Smart Polyion Complex (PIC) Vesicle with Polyampholyte Shells" Polymers 14, no. 9: 1659. https://doi.org/10.3390/polym14091659
APA StylePham, T. T., Pham, T. D., & Yusa, S.-i. (2022). pH- and Thermo-Responsive Water-Soluble Smart Polyion Complex (PIC) Vesicle with Polyampholyte Shells. Polymers, 14(9), 1659. https://doi.org/10.3390/polym14091659

