Association Behavior of Amphiphilic ABA Triblock Copolymer Composed of Poly(2-methoxyethyl acrylate) (A) and Poly(ethylene oxide) (B) in Aqueous Solution
Abstract
:1. Introduction
2. Materials and Methods
2.1. General
2.2. Preparation of MEOMn (n = 85 and 777)
2.3. Preparation of MEOM777 Aqueous Solution
2.4. Measurements
3. Results and Discussion
3.1. Characterization
3.2. Association Behavior of MEOMn
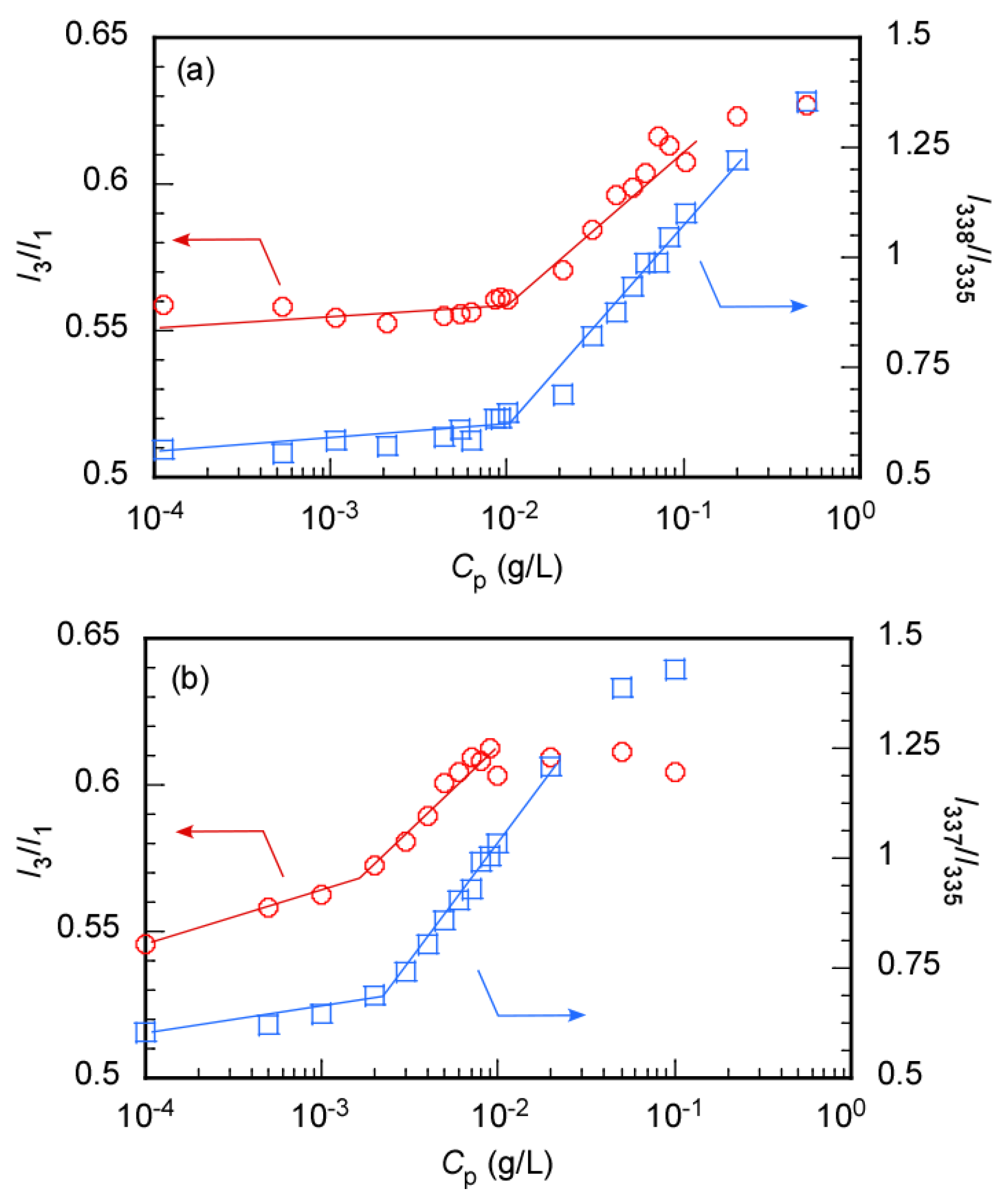
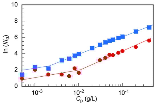
3.3. Critical Micelle Concentration (CMC) of MEOMn
4. Conclusions
Supplementary Materials
Author Contributions
Funding
Institutional Review Board Statement
Informed Consent Statement
Data Availability Statement
Conflicts of Interest
References
- Shi, Y.; Van Nostrum, C.F.; Hennink, W.E. Interfacially hydrazone cross-linked thermosensitive polymeric micelles for acid-triggered release of paclitaxel. ACS Biomater. Sci. Eng. 2015, 1, 393–404. [Google Scholar] [CrossRef] [PubMed]
- Honda, S.; Yamamoto, T.; Tezuka, Y. Topology-directed control on thermal stability: Micelles formed from linear and cyclized amphiphilic block copolymers. J. Am. Chem. Soc. 2010, 132, 10251–10253. [Google Scholar] [CrossRef] [PubMed]
- Yuan, F.; Larson, R.G. Multiscale molecular dynamics simulations of model hydrophobically modified ethylene oxide urethane micelles. J. Phys. Chem. B 2015, 119, 12540–12551. [Google Scholar] [CrossRef] [PubMed]
- Lundberg, D.J.; Brown, R.G.; Glass, J.E.; Eley, R.R. Synthesis, characterization, and solution rheology of model hydrophobically-modified, water-soluble ethoxylated urethanes. Langmuir 1994, 10, 3027–3034. [Google Scholar] [CrossRef]
- Maiti, S.; Chatterji, P.R. Transition from normal to flower like micelles. J. Phys. Chem. B 2000, 104, 10253–10257. [Google Scholar] [CrossRef]
- Vorobyova, O.; Yekta, A.; Winnik, M.A.; Lau, W. Fluorescent probe studies of the association in an aqueous solution of a hydrophobically modified poly(ethylene oxide). Macromolecules 1998, 31, 8998–9007. [Google Scholar] [CrossRef]
- Gref, R.; Lück, M.; Quellec, P.; Marchand, M.; Dellacherie, E.; Harnisch, S.; Blunk, T.; Müller, R.H. “Stealth” corona-core nanoparticles surface modified by polyethylene glycol (PEG): Influences of the corona (PEG chain length and surface density) and of the core composition on phagocytic uptake and plasma protein adsorption. Colloids Surf. B Biointerfaces 2000, 18, 301–313. [Google Scholar] [CrossRef]
- De Graaf, A.J.; Boere, K.W.M.; Kemmink, J.; Fokkink, R.G.; Van Nostrum, C.F.; Rijkers, D.T.S.; Van Der Gucht, J.; Wienk, H.; Baldus, M.; Mastrobattista, E.; et al. Looped structure of flower like micelles revealed by 1H NMR relaxometry and light scattering. Langmuir 2011, 27, 9843–9848. [Google Scholar] [CrossRef]
- Kelarakis, A.; Yang, Z.; Pousia, E.; Nixon, S.K.; Price, C.; Booth, C.; Hamley, I.W.; Castelletto, V.; Fundin, J. Association properties of diblock copolymers of propylene oxide and ethylene oxide in aqueous solution. The effect of P and E block lengths. Langmuir 2001, 17, 8085–8091. [Google Scholar] [CrossRef]
- Riess, G. Micellization of block copolymers. Prog. Polym. Sci. 2003, 28, 1107–1170. [Google Scholar] [CrossRef] [Green Version]
- Atanase, L.I.; Riess, G. Self-Assembly of Block and Graft Copolymers in Organic Solvents: An Overview of Recent Advances. Polymers 2018, 10, 62. [Google Scholar] [CrossRef] [PubMed] [Green Version]
- Zhulina, E.B.; Adam, M.; LaRue, I.; Sheiko, S.S.; Rubinstein, M. Diblock Copolymer Micelles in a Dilute Solution. Macromolecules 2005, 38, 5330–5351. [Google Scholar] [CrossRef]
- Wang, C.H.; Hsiue, G.H. New amphiphilic poly(2-ethyl-2-oxazoline)/poly(L-lactide) triblock copolymers. Biomacromolecules 2003, 4, 1487–1490. [Google Scholar] [CrossRef] [PubMed]
- Borisov, O.V.; Halperin, A. Micelles of polysoaps. Langmuir 1995, 11, 2911–2919. [Google Scholar] [CrossRef]
- Zhang, N.; Samanta, S.R.; Rosen, B.M.; Percec, V. Single electron transfer in radical ion and radical-mediated organic, materials and polymer synthesis. Chem. Rev. 2014, 114, 5848–5958. [Google Scholar] [CrossRef]
- Lligadas, G.; Grama, S.; Percec, V. Single-electron transfer living radical polymerization platform to practice, develop, and invent. Biomacromolecules 2017, 18, 2981–3008. [Google Scholar] [CrossRef]
- Najafi, M.; Kordalivand, N.; Moradi, M.A.; Van Den Dikkenberg, J.; Fokkink, R.; Friedrich, H.; Sommerdijk, N.A.J.M.; Hembury, M.; Vermonden, T. Native chemical ligation for cross-linking of flower-like micelles. Biomacromolecules 2018, 19, 3766–3775. [Google Scholar] [CrossRef] [Green Version]
- Oh, K.T.; Oh, Y.T.; Oh, N.M.; Kim, K.; Lee, D.H.; Lee, E.S. A smart flower-like polymeric micelle for pH-triggered anticancer drug release. Int. J. Pharm. 2009, 375, 163–169. [Google Scholar] [CrossRef]
- Baek, A.; Baek, Y.M.; Kim, H.M.; Jun, B.H.; Kim, D.E. Polyethylene glycol-engrafted graphene oxide as biocompatible materials for peptide nucleic acid delivery into cells. Bioconjug. Chem. 2018, 29, 528–537. [Google Scholar] [CrossRef]
- Tanaka, M.; Motomura, T.; Kawada, M.; Anzai, T.; Kasori, Y.; Shiroya, T.; Shimura, K.; Onishi, M.; Mochizuki, A. Blood compatible aspects of poly(2-methoxyethylacrylate) (PMEA)-relationship between protein adsorption and platelet adhesion on PMEA surface. Biomaterials 2000, 21, 1471–1481. [Google Scholar] [CrossRef]
- Steinhauer, W.; Hoogenboom, R.; Keul, H.; Moeller, M. Copolymerization of 2-hydroxyethyl acrylate and 2-methoxyethyl acrylate via RAFT: Kinetics and thermoresponsive properties. Macromolecules 2010, 43, 7041–7047. [Google Scholar] [CrossRef]
- Tanaka, M.; Mochizuki, A.; Ishii, N.; Motomura, T.; Hatakeyama, T. Study of blood compatibility with poly(2-methoxyethyl acrylate). Relationship between water structure and platelet compatibility in poly(2-methoxyethylacrylate-co-2-hydroxyethylmethacrylate). Biomacromolecules 2002, 3, 36–41. [Google Scholar] [CrossRef] [PubMed]
- Liu, G.; Qiu, Q.; Shen, W.; An, Z. Aqueous dispersion polymerization of 2-methoxyethyl acrylate for the synthesis of biocompatible nanoparticles using a hydrophilic RAFT polymer and a redox initiator. Macromolecules 2011, 44, 5237–5245. [Google Scholar] [CrossRef]
- Liu, G.; Jin, Q.; Liu, X.; Lv, L.; Chen, C.; Ji, J. Biocompatible vesicles based on PEO-b-PMPC/α-cyclodextrin inclusion complexes for drug delivery. Soft Matter 2011, 7, 662–669. [Google Scholar] [CrossRef]
- Mueller, X.M.; Jegger, D.; Augstburger, M.; Horisberger, J.; Von Segesser, L.K. Poly2-methoxyethylacrylate (PMEA) coated oxygenator: An ex vivo study. Int. J. Artif. Organs 2002, 25, 223–229. [Google Scholar] [CrossRef]
- Haraguchi, K.; Kubota, K.; Takada, T.; Mahara, S. Highly protein-resistant coatings and suspension cell culture thereon from amphiphilic block copolymers Prepared by RAFT polymerization. Biomacromolecules 2014, 15, 1992–2003. [Google Scholar] [CrossRef]
- Haraguchi, K.; Takehisa, T.; Mizuno, T.; Kubota, K. Antithrombogenic properties of amphiphilic block copolymer coatings: Evaluation of hemocompatibility using whole blood. ACS Biomater. Sci. Eng. 2015, 1, 352–362. [Google Scholar] [CrossRef]
- Filippov, S.K.; Bogomolova, A.; Kaberov, L.; Velychkivska, N.; Starovoytova, L.; Cernochova, Z.; Rogers, S.E.; Lau, W.M.; Khutoryanskiy, V.V.; Cook, M.T. Internal nanoparticle structure of temperature-responsive self-assembled PNIPAM-b-PEG-b-PNIPAM triblock copolymers in aqueous solutions: NMR, SANS, and light scattering studies. Langmuir 2016, 32, 5314–5323. [Google Scholar] [CrossRef] [Green Version]
- Meier, M.A.R.; Lohmeijer, B.G.G.; Schubert, U.S. Characterization of defined metal-containing supramolecular block copolymers. Macromol. Rapid Commun. 2003, 24, 852–857. [Google Scholar] [CrossRef]
- Akcasu, A.Z.; Han, C.C. Molecular weight and temperature dependence of polymer dimensions in solution. Macromolecules 1979, 12, 276–280. [Google Scholar] [CrossRef]
- Tahara, Y.; Sakiyama, M.; Takeda, S.; Nishimura, T.; Mukai, S.A.; Sawada, S.I.; Sasaki, Y.; Akiyoshi, K. Self-assembled nanogels of cholesterol-bearing hydroxypropyl cellulose: A thermoresponsive building block for nanogel tectonic materials. Langmuir 2016, 32, 12283–12289. [Google Scholar] [CrossRef] [PubMed]
- Topel, Ö.; Çakir, B.A.; Budama, L.; Hoda, N. Determination of critical micelle concentration of polybutadiene-block-poly(ethyleneoxide) diblock copolymer by fluorescence spectroscopy and dynamic light scattering. J. Mol. Liq. 2013, 177, 40–43. [Google Scholar] [CrossRef]
- Kalyanasundaram, K.; Thomas, J.K. Environmental effects on vibronic and intensities in pyrene monomer fluorescence and their application in studies of micellar systems. J. Am. Chem. Soc. 1977, 99, 2039–2044. [Google Scholar] [CrossRef]
- Xu, J.P.; Ji, J.; Chen, W.D.; Shen, J.C. Novel biomimetic surfactant: Synthesis and micellar characteristics. Macromol. Biosci. 2005, 5, 164–171. [Google Scholar] [CrossRef]






| Sample | Mn(Theo) ×105 | DP(Theo) | Mn(NMR) ×105 | DP(NMR) | Mn(GPC) ×105 | Mw/Mn (GPC) |
|---|---|---|---|---|---|---|
| PEO-Br | 5.00 a | 11,340 a | 5.00 | - | 4.64 | 1.23 |
| MEOM85 | 5.11 | 86 b | 5.22 | 85 b | 5.41 | 1.17 |
| MEOM777 | 7.65 | 1020 b | 7.02 | 777 b | 4.91 | 1.26 |
| Sample | Mw(SLS) a × 10−7 (g/mol) | Rg a (nm) | Rh b (nm) | Rg/Rh | RTEMc (nm) | Nagg (SLS) d | ΦH × 102 (g/mL) |
|---|---|---|---|---|---|---|---|
| MEOM85 | 4.75 | 141 | 151 | 0.934 | 42.4 | 156 | 0.547 |
| MEOM777 | 7.27 | 164 | 108 | 1.52 | 59.2 | 164 | 2.29 |
| Sample | CMC(LSI) (g/L) | CMC(Em) (g/L) | CMC(Ex) (g/L) |
|---|---|---|---|
| MEOM85 | 0.01 | 0.01 | 0.01 |
| MEOM777 | 0.002 | 0.0015 | 0.002 |
Publisher’s Note: MDPI stays neutral with regard to jurisdictional claims in published maps and institutional affiliations. |
© 2022 by the authors. Licensee MDPI, Basel, Switzerland. This article is an open access article distributed under the terms and conditions of the Creative Commons Attribution (CC BY) license (https://creativecommons.org/licenses/by/4.0/).
Share and Cite
Mizoue, Y.; Onodera, E.; Haraguchi, K.; Yusa, S.-i. Association Behavior of Amphiphilic ABA Triblock Copolymer Composed of Poly(2-methoxyethyl acrylate) (A) and Poly(ethylene oxide) (B) in Aqueous Solution. Polymers 2022, 14, 1678. https://doi.org/10.3390/polym14091678
Mizoue Y, Onodera E, Haraguchi K, Yusa S-i. Association Behavior of Amphiphilic ABA Triblock Copolymer Composed of Poly(2-methoxyethyl acrylate) (A) and Poly(ethylene oxide) (B) in Aqueous Solution. Polymers. 2022; 14(9):1678. https://doi.org/10.3390/polym14091678
Chicago/Turabian StyleMizoue, Yoko, Ema Onodera, Kazutoshi Haraguchi, and Shin-ichi Yusa. 2022. "Association Behavior of Amphiphilic ABA Triblock Copolymer Composed of Poly(2-methoxyethyl acrylate) (A) and Poly(ethylene oxide) (B) in Aqueous Solution" Polymers 14, no. 9: 1678. https://doi.org/10.3390/polym14091678
APA StyleMizoue, Y., Onodera, E., Haraguchi, K., & Yusa, S.-i. (2022). Association Behavior of Amphiphilic ABA Triblock Copolymer Composed of Poly(2-methoxyethyl acrylate) (A) and Poly(ethylene oxide) (B) in Aqueous Solution. Polymers, 14(9), 1678. https://doi.org/10.3390/polym14091678

