Determination of Vibroacoustic Parameters of Polyurethane Mats for Residential Building Purposes
Abstract
1. Introduction
2. Methodology of Determining Vibroacoustic Parameters
3. Measurement Methodology
4. Measurement Results
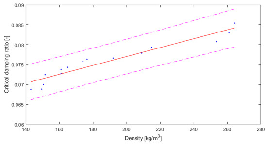
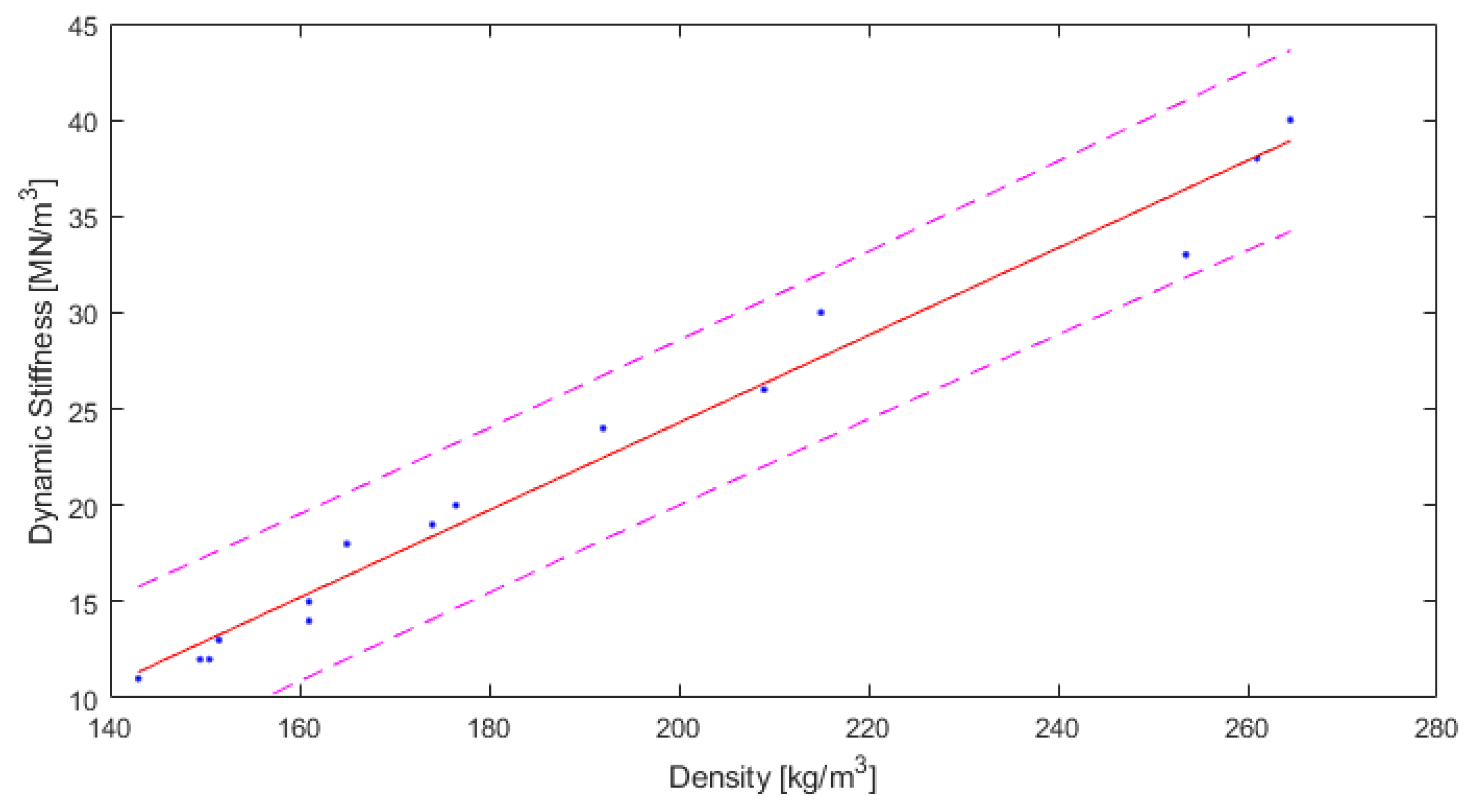
4.1. Results for Rebound Polyurethane
4.2. Control Samples
5. Practical Applications
6. Discussion and Conclusions
Author Contributions
Funding
Institutional Review Board Statement
Informed Consent Statement
Data Availability Statement
Conflicts of Interest
References
- Babisch, W. Stress hormones in the research on cardiovascular effects of noise. Noise Health 2003, 5, 1–11. [Google Scholar]
- Björk, J.; Ardö, J.; Stroh, E.; Lövkvist, H.; Östergren, P.-O.; Albin, M. Road traffic noise in southern Sweden and its relation to annoyance, disturbance of daily activities and health. Scand. J. Work. Environ. Health 2006, 32, 392–401. [Google Scholar] [CrossRef]
- Aybeka, A.; Kamer, H.A.; Arslan, S. Personal noise exposures of operators of agricultural tractors. Appl. Ergon. 2010, 41, 274–281. [Google Scholar] [CrossRef]
- Rubio-Romero, J.C.; Carrillo-Castrillo, J.A.; Soriano-Serrano, M.; Galindo-Reyes, F.; de la Varga-Salto, J. A longitudinal study of noise exposure and its effects on the hearing of olive oil mill workers. Int. J. Ind. Ergon. 2018, 67, 60–66. [Google Scholar] [CrossRef]
- Halperin, D. Environmental noise and sleep disturbances: A threat to health? Sleep Sci. 2014, 7, 209–212. [Google Scholar] [CrossRef]
- Münzel, T.; Gori, T.; Babisch, W.; Basner, M. Cardiovascular effects of environmental noise exposure. Eur. Heart J. 2014, 35, 829–836. [Google Scholar] [CrossRef]
- Münzel, T.; Sørensen, M.; Daiber, A. Transportation noise pollution and cardiovascular disease. Nat. Rev. Cardiol. 2021, 18, 619–636. [Google Scholar] [CrossRef]
- Wright, B.; Peters, E.; Ettinger, U.; Kuipers, E.; Kumari, V. Understanding noise stress-induced cognitive impairment in healthy adults and its implications for schizophrenia. Noise Health 2014, 16, 166–176. [Google Scholar] [CrossRef]
- Ding, T.; Yan, A.; Liu, K. What is noise-induced hearing loss? Br. J. Hosp. Med. 2019, 80, 525–529. [Google Scholar] [CrossRef]
- Rodrigues, H.F.S.; Filho, F.J.M.B.D.O.; Ferraz, D.P.; Neto, A.F.D.A.; Torres, S.; Metidieri, M.M. Noise-Induced Hearing Loss (NIHL): Literature review with a focus on occupational medicine. Int. Arch. Otorhinolaryngol. 2014, 17, 208–212. [Google Scholar] [CrossRef][Green Version]
- .Coermann, R.R. The Mechanical Impedance of the Human Body in Sitting and Standing Position at Low Frequencies. Hum. Factors J. Hum. Factors Ergon. Soc. Oct. 1962, 4, 227–253. [Google Scholar] [CrossRef]
- Pradko, F.; Lee, R.; Kaluza, V. Theory of Human Vibration Response. S&T Reports 1966. Available online: https://apps.dtic.mil/sti/pdfs/AD0634632.pdf (accessed on 1 October 2021).
- Lee, P.J.; Griffin, M.J. Combined effect of noise and vibration produced by high-speed trains on annoyance in buildings. J. Acoust. Soc. Am. 2013, 133, 2126–2135. [Google Scholar] [PubMed]
- Peris, E.; Woodcock, J.S.; Sica, G.; Moorhouse, A.T.; Waddington, D.C. Annoyance from railway vibration in residential environments: Factors of importance when considering exposure-response relationships. J. Acoust. Soc. Am. 2012, 131, 3504. [Google Scholar] [CrossRef]
- The Act of April 27, 2001, Environmental Protection Law. Journal of Laws 2001 No.62, Item. 627. Available online: https://www.global-regulation.com/translation/poland/10093814/the-act-of-27-april-2001%252c-the-environmental-protection-law.html (accessed on 1 October 2021).
- Regulation of the Minister of Infrastructure and Construction of November 14, 2017 Amending the Regulation on Technical Conditions to be Met by Buildings and Their Location. Available online: https://www.global-regulation.com/translation/poland/3353940/regulation-of-the-minister-of-infrastructure-of-12-april-2002-on-technical-conditions%252c-which-should-correspond-to-the-buildings-and-their-location.html (accessed on 1 October 2021).
- Andersen, L.; Nielsen, S. Reduction of ground vibration by means of barriers or soil improvement along a railway track. Soil Dyn. Earthq. Eng. 2005, 25, 701–716. [Google Scholar] [CrossRef]
- Hasheminejad, S.M.; Vesal, R. Numerical simulation of impact sound transmission control across a smart hybrid double floor system equipped with a genetically-optimized NES absorber. Appl. Acoust. 2021, 182, 108179. [Google Scholar] [CrossRef]
- Kłosak, A.; Kowalska-Koczwara, A.; Pachla, F.; Stypuła, K.; Tatara, T.; Zając, B. Proposal of new vibro-acoustic floor. MATEC Web Conf. 2018, 211, 10001. [Google Scholar] [CrossRef][Green Version]
- Wu, K.; Kuhlenkoetter, B. Experimental Analysis of the Dynamic Stiffness in Industrial Robots. Appl. Sci. 2020, 10, 8332. [Google Scholar] [CrossRef]
- Inman, D. Critical damping. In Encyclopedia of Vibration; Braun, S., Ed.; Elsevier: Amsterdam, The Netherlands, 2001. [Google Scholar]
- Zbiciak, A.; Kraśkiewicz, C.; Al Sabouni-Zawadzka, A.; Pełczyński, J.; Dudziak, S. A Novel Approach to the Analysis of Under Sleeper Pads (USP) Applied in the Ballasted Track Structures. Materials 2020, 13, 2438. [Google Scholar] [CrossRef] [PubMed]
- Gandel’sman, M.I.; Gotlib, Y.Y.; Darinskii, A.A. Frequency dependence of the mechanical loss tangent for a system of two-block polymer chains. Polym. Sci. USSR 1981, 23, 2349–2358. [Google Scholar] [CrossRef]
- Kraśkiewicz, C.; Zbiciak, A.; Oleksiewicz, W.; Karwowski, W. Static and dynamic parameters of railway tracks retrofitted with under sleeper pads. Arch. Civ. Eng. 2018, 64, 187–201. [Google Scholar] [CrossRef]
- EN 29052-1:2011/ISO 9052-1. Acoustics—Determination of Dynamic Stiffness—Part 1: Materials Used under Floating Floors in Dwellings. Available online: https://standards.iteh.ai/catalog/standards/cen/04a2dad0-ff01-4409-b2d4-6d6d62feb5c7/en-29052-1-1992 (accessed on 1 October 2021).
- Papagiannopoulos, G.A.; Hatzigeorgiou, G.D. On the use of the half-power bandwidth method to estimate damping in building structures. Soil Dyn. Earthq. Eng. 2011, 31, 1075–1079. [Google Scholar] [CrossRef]
- Wu, B. A correction of the half-power bandwidth method for estimating damping. Arch. Appl. Mech. 2014, 85, 315–320. [Google Scholar] [CrossRef]
- Magalas, L.B.; Malinowski, T. Measurement Techniques of the Logarithmic Decrement. Solid State Phenom. 2003, 89, 247–260. [Google Scholar] [CrossRef]
- Kwiatkowski, D. Assessment of dynamic properties of the composite of PA/PP mixture with glass fiber. Composites 2003, 3, 322–324. (In Polish) [Google Scholar]
- Irvine, T. An Introduction to Shock & Vibration Response Spectra. 2019. Available online: https://www.scribd.com/document/407762633/ebook-tom-irvine-shock-vibration-response-spectra-pdf (accessed on 1 October 2021).
- Buryachenko, V.; Iarve, E.; Kim, R.; Sihn, S.; Tandon, G.P. Aerospace Composite Materials: Delivery Order 0002: Development and Validation of Micromechanical Models for Composites. 2002, 167. Available online: https://www.researchgate.net/publication/235020753_Aerospace_Composite_Materials_Delivery_Order_0002_Development_and_Validation_of_Micromechanical_Models_for_Composites (accessed on 1 October 2021).
- PN-EN ISO 12354-2:2017-10. Building Acoustics—Determination of Acoustic Properties of Buildings on the Basis of Component Properties—Part 2: Impact Sound Insulation between Rooms. Available online: https://www.iso.org/standard/70243.html (accessed on 1 October 2021).
- Miškinis, K.; Dikavičius, V.; Ramanauskas, J.; Norvaišienė, R. Dependence between Reduction of Weighted Impact Sound Pressure Level and Specimen Size of Floating Floor Construction. Mater. Sci. 2012, 18, 93–97. [Google Scholar] [CrossRef][Green Version]
- Nowotny, Ł.; Nurzynski, J. The Influence of Insulating Layers on the Acoustic Performance of Lightweight Frame Floors Intended for Use in Residential Buildings. Energies 2020, 13, 1217. [Google Scholar] [CrossRef]
- Nelson, P. Vibration isolation on floating floors. Appl. Acoust. 1982, 15, 97–109. [Google Scholar] [CrossRef]
- Nering, K.; Kowalska-Koczwara, A.; Stypuła, K. Annoyance Based Vibro-Acoustic Comfort Evaluation of as Summation of Stimuli Annoyance in the Context of Human Exposure to Noise and Vibration in Buildings. Sustainability 2020, 12, 9876. [Google Scholar] [CrossRef]
















| Symptoms | f (Hz) 1 |
|---|---|
| General feeling of discomfort | 4–9 |
| Head symptoms | 13–20 |
| Lower jaw symptoms | 6–8 |
| Influence on speech | 13–20 |
| “Lump in throat” | 12–16 |
| Chest pains | 5–7 |
| Abdominal pains | 4–10 |
| Urge to urinate | 10–18 |
| Increased muscle tone | 13–20 |
| Influence on breathing movement | 4–8 |
| Muscle constractions | 4–9 |
| Device Name/Manufacturer | Key Feature | Key Value of Parameters |
|---|---|---|
| Dynamic exciter—Brüel & Kjær Mini-shaker Type 4810 | Provides sinusoidal force | Sine peak max 10 N Frequency range DC-18 kHz |
| IEPE accelerometer—MMF KS78B.100 | Measures acceleration of system response | Peak acceleration 60 g (~600 m/s2) Linear frequency range (5% deviation) 0.6 Hz–14 kHz |
| Force sensor—Forsentek FSSM 50 N | Measures force applied to system | Capacity 50N Rated output 2.0mV/V Hysteresis ± 0.1% R.O. (rated output) |
| Dynamic stiffness test bench | Measures resonant frequency of sample (200 mm × 200 mm) under load of 8 kg | Linear frequency range upper limit (5% deviation) 250 Hz—measured |
| Nominal Density (kg/m3) | Sample ID | Actual Density (kg/m3) | Young’s Modulus (MPa) | Poisson’s Ratio (-) [31] |
|---|---|---|---|---|
| 250 | 01 | 261.0 | 2.1 | 0.23 |
| 02 | 264.5 | 2.0 | ||
| 03 | 253.5 | 1.6 | ||
| 200 | 11 | 215.0 | 1.5 | 0.23 |
| 12 | 192.0 | 1.7 | ||
| 13 | 209.0 | 1.3 | ||
| 180 | 21 | 165.0 | 1.0 | 0.23 |
| 22 | 176.5 | 0.9 | ||
| 23 | 174.0 | 0.9 | ||
| 160 | 32 | 161.0 | 0.7 | 0.24 |
| 32 | 161.0 | 0.7 | ||
| 33 | 151.5 | 0.6 | ||
| 150 | 41 | 150.5 | 0.5 | 0.24 |
| 42 | 149.5 | 0.6 | ||
| 43 | 143.0 | 0.5 |
| Sample ID | Actual Density (kg/m3) | Dynamic Stiffness (MN/m3) | Critical Damping Ratio (-) |
|---|---|---|---|
| 01 | 261.0 | 38 | 0.085 |
| 02 | 264.5 | 40 | 0.083 |
| 03 | 253.5 | 33 | 0.081 |
| 11 | 215.0 | 30 | 0.078 |
| 12 | 192.0 | 24 | 0.077 |
| 13 | 209.0 | 26 | 0.079 |
| 21 | 165.0 | 18 | 0.074 |
| 22 | 176.5 | 20 | 0.076 |
| 23 | 174.0 | 19 | 0.076 |
| 31 | 161.0 | 14 | 0.072 |
| 32 | 161.0 | 15 | 0.073 |
| 33 | 151.5 | 13 | 0.070 |
| 41 | 150.5 | 12 | 0.074 |
| 42 | 149.5 | 12 | 0.069 |
| 43 | 143.0 | 11 | 0.069 |
| Material Name | Actual Density (kg/m3) | Dynamic Stiffness (MN/m3) | Dynamic Stiffness of Enclosed Gas (MN/m3) | Total Dynamic Stiffness Average (MN/m3) | Declared Value of Dynamic Stiffness by Manufacturer (MN/m3) | Difference (MN/m3) |
|---|---|---|---|---|---|---|
| Ursa TEP 23 mm | 81.2 (±3.1) | 5.5 (±0.4) | 4.6 (±0.2) | 10.1 | 11 | 0.9 |
| Material Name | Actual Density (kg/m3) | Critical Damping Factor (-) | Mechanical Loss Factor (-) | Declared Value of Mechanical Loss Factor by Manufacturer (-) | Difference (-) |
|---|---|---|---|---|---|
| Sylomer SR 11 | 463.4 (±23.8) | 0.096 (±0.037) | 0.178 (±0.017) | 0.25 | 0.072 |
| Material | Range of Impact Sound Pressure Level Reduction ΔLw (dB) |
|---|---|
| Tested rebound polyurethane | 23–31 |
| Mineral wool | 24–34 |
| Elasticized Styrofoam | 23–29 |
Publisher’s Note: MDPI stays neutral with regard to jurisdictional claims in published maps and institutional affiliations. |
© 2022 by the authors. Licensee MDPI, Basel, Switzerland. This article is an open access article distributed under the terms and conditions of the Creative Commons Attribution (CC BY) license (https://creativecommons.org/licenses/by/4.0/).
Share and Cite
Nering, K.; Kowalska-Koczwara, A. Determination of Vibroacoustic Parameters of Polyurethane Mats for Residential Building Purposes. Polymers 2022, 14, 314. https://doi.org/10.3390/polym14020314
Nering K, Kowalska-Koczwara A. Determination of Vibroacoustic Parameters of Polyurethane Mats for Residential Building Purposes. Polymers. 2022; 14(2):314. https://doi.org/10.3390/polym14020314
Chicago/Turabian StyleNering, Krzysztof, and Alicja Kowalska-Koczwara. 2022. "Determination of Vibroacoustic Parameters of Polyurethane Mats for Residential Building Purposes" Polymers 14, no. 2: 314. https://doi.org/10.3390/polym14020314
APA StyleNering, K., & Kowalska-Koczwara, A. (2022). Determination of Vibroacoustic Parameters of Polyurethane Mats for Residential Building Purposes. Polymers, 14(2), 314. https://doi.org/10.3390/polym14020314

