Next Article in Journal
Biopolymer Textile Structure of Chitosan with Polyester
Next Article in Special Issue
Printing Polymeric Convex Lenses to Boost the Sensitivity of a Graphene-Based UV Sensor
Previous Article in Journal
Co/ZnO/Nitrogen-Doped Carbon Composite Anode Derived from Metal Organic Frameworks for Lithium Ion Batteries
Previous Article in Special Issue
Textile Strain Sensor Enhancement by Coating Metal Yarns with Carbon-Filled Silicone
 
 
Font Type:
Arial Georgia Verdana
Font Size:
Aa Aa Aa
Line Spacing:
Column Width:
Background:
Article

Polymer Conductive Membrane-Based Non-Touch Mode Circular Capacitive Pressure Sensors: An Analytical Solution-Based Method for Design and Numerical Calibration

1
School of Civil Engineering, Chongqing University, Chongqing 400045, China
2
Key Laboratory of New Technology for Construction of Cities in Mountain Area (Chongqing University), Ministry of Education, Chongqing 400045, China
*
Author to whom correspondence should be addressed.
Polymers 2022, 14(15), 3087; https://doi.org/10.3390/polym14153087
Submission received: 7 July 2022 / Revised: 24 July 2022 / Accepted: 26 July 2022 / Published: 29 July 2022
(This article belongs to the Special Issue Polymer-Based Materials for Sensors)

Abstract

:
In this paper, an analytical solution-based method for the design and numerical calibration of polymer conductive membrane-based non-touch mode circular capacitive pressure sensors is presented. The accurate analytical relationship between the capacitance and applied pressure of the sensors is derived by using the analytical solution for the elastic behavior of the circular polymer conductive membranes under pressure. Based on numerical calculations using the accurate analytical relationship and the analytical solution, the analytical relationship between the pressure as output and the capacitance as input, which is necessary to achieve the capacitive pressure sensor mechanism of detecting pressure by measuring capacitance, is accurately established by least-squares data fitting. An example of how to arrive at the design and numerical calibration of a non-touch mode circular capacitive pressure sensor is first given. Then, the influence of changing design parameters such as membrane thickness and Young’s modulus of elasticity on input–output relationships is investigated, thus clarifying the direction of approaching the desired input–output relationships by changing design parameters.

1. Introduction

Thin films are widely used in many engineering and technical fields, and most of these have good elastic deformation ability and can exhibit large elastic deflection under lateral loading [1,2,3,4,5,6], which provides the possibility for designing and developing thin film elastic deflection-based devices [7,8,9,10,11,12,13,14]. Among them, capacitive pressure sensors are a good example of physical quantity (pressure) detection by deflection measurement. They have advantages of high performance-to-price ratio, high reliability, stability and sensitivity, low power consumption, no turn-on temperature drift, and lower sensitivity to side stress and other environment effects. In microelectromechanical systems (MEMS), they usually use silicon or silicon carbide thin films [15,16,17], polymer/ceramic thin films [18] or low-temperature co-fired ceramics thin films [19], or graphene-polymer heterostructure thin films [20,21,22,23].
The basic structure and modes of operation of a membrane elastic deflection-based capacitive pressure sensor are shown in Figure 1, where the fixed electrode plate on a substrate forms a parallel plate capacitor together with the initially flat undeflected conductive membrane (as a movable electrode plate of the capacitor). On application of pressure q, the conductive membrane elastically deflects towards the fixed electrode plate, making the initial parallel plate capacitor become a non-parallel plate capacitor and resulting in a change in capacitance of the capacitor. Before the conductive membrane touches the insulator layer coating on the fixed electrode plate, the capacitive pressure sensor is said to operate in non-touch mode or normal mode and called a non-touch mode or normal mode capacitive pressure sensor [24,25,26,27,28,29], as shown in Figure 1b. Additionally, after the conductive membrane touches the insulator layer, the capacitive pressure sensor is said to operate in touch mode and called a touch mode capacitive pressure sensor [23,30,31,32,33], as shown in Figure 1c. Obviously, the applied pressure q can be expected to be determined by measuring the capacitance of the non-parallel plate capacitor, due to their one-to-one correspondence (analytical relationship), which is the basic principle of such capacitive pressure sensors.
However, the analytical relationship between the capacitance of the non-parallel plate capacitor and the applied pressure is very difficult to be exactly established due to the strong nonlinearity of the elastic behavior of the deflected conductive membrane under pressure. So, various approximation methods have to be used to obtain approximate analytical relationships between capacitance and pressure. In particular, the non-parallel plate capacitor with touch mode of operation is often simplified as an equivalent parallel plate capacitor, where only the capacitance in the touched area of the insulator layer and conductive membrane is considered and the capacitance in the untouched area is ignored [23,30,31], because the effective gap between the fixed electrode plate and conductive membrane is the thickness of the insulator layer, and the insulator layer can be designed to be very thin and have a very large dielectric constant. Furthermore, the touched area was also assumed to be approximately proportional to the applied pressure [30]. This makes it possible to establish a nearly linear analytical relationship between capacitance and pressure. On the other hand, because the non-parallel plate capacitor with non-touch mode of operation has an intrinsic nonlinear capacitance–pressure relationship, many efforts have been made to reduce its nonlinear characteristic either by modifying the shape of the fixed electrode plate [25,26,27,34] or by using special nonlinear converter circuits [29,35]. However, the existing studies often suggest that non-touch mode capacitive pressure sensors are far inferior to touch mode capacitive pressure sensors in terms of the easy realization of nearly linear capacitance–pressure relationships [30]. However, it should also be pointed out that the nearly linear capacitance–pressure relationships of the touch mode or non-touch mode capacitive pressure sensors in the literature all apply only to a certain pressure range; that is, these sensors are designed to linearly operate within a certain pressure range, and beyond this pressure range, they are still nonlinear. In other words, their capacitance–pressure relationships are nearly linear in a certain pressure range and, from a point of view beyond this pressure range, are still nonlinear. However, such a segment of nearly linear capacitance–pressure relationships is, in fact, not very difficult to achieve, as long as the analytical solution for the elastic behavior of the circular conductive membrane under pressure can be obtained, which can be seen later in Section 3.
In this study, an analytical solution-based method for design and numerical calibration of polymer conductive membrane-based non-touch mode circular capacitive pressure sensors is presented. The circular polymer conductive membranes are used as the pressure sensing elements, the movable electrode plates, of capacitive pressure sensors. They are usually fixed at their circular peripheries, thus will exhibit axisymmetric deformation with large deflection when subjected to a uniform differential pressure between their upper and lower opposite surfaces. By controlling the range of pressure applied, they do not touch the fixed electrode plate of the sensors so as to keep the non-touch mode of operation. Due to the fact that their upper and lower opposite surfaces are simultaneously stretched during deflection, there is no compressive stress at all but only tensile stress on their cross sections. Therefore, the elastic behavior of free deflection of the circular polymer conductive membranes under pressure can be regarded as a problem of axisymmetric deformation with large deflection of an initially flat, peripherally fixed circular membrane under uniformly distributed transverse loads. Essential to the design and numerical calibration of such non-touch mode circular capacitive pressure sensors is the analytical solutions of stress and deflection for this axisymmetric deformation problem. In this paper, they are accurately derived, and the obtained analytical solution of stress is used to determine the maximum pressure allowed to be applied to the non-touch mode circular capacitive pressure sensors, which depends on the yield strength of the circular membranes. The accurate analytical relationship between the total capacitance and applied pressure of the sensors is derived by using the analytical solution of deflection and is given in the form of the integral of the membrane deflection that is a strongly nonlinear function of the applied pressure. Therefore, in order to achieve the capacitive pressure sensor mechanism of detecting pressure by measuring capacitance, the accurate analytical relationship between the pressure as output and the capacitance as input is given by using the least-squares data fitting based on numerical calculations.
The analytical solution-based method presented here can make the non-touch mode circular capacitive pressure sensors be more accurately designed and numerically calibrated, thus greatly reducing the dependence on experimental calibrations. In comparison with the methods in the literature such as modifying the shape of substrate electrode plates [25,26,27,34] or using special nonlinear converter circuits [29,35], this novel method has the advantages of intuition, clarity, strong tunability and operability. By changing design parameters, including geometric parameters (such as the thickness of the circular membranes and the initial gap between initially flat undeflected circular membranes and fixed electrode plates) and physical parameters (such as the Poisson’s ratio and Young’s modulus of elasticity of the circular membranes), it can easily realize the accurate analytical relationships between the pressure as output and the capacitance as input, including linear and non-linear relationships. Therefore, from this point of view, the view in the literature is open to debate that non-touch mode capacitive pressure sensors are far inferior to touch mode capacitive pressure sensors in the easy realization of nearly linear input–output relationships [30]. This should be due to the lack of the exact analytical solutions and their effective applications.
The paper is organized as follows. In the following section, the accurate analytical relationship between the total capacitance and applied pressure of the non-touch mode circular capacitive pressure sensors is derived in detail, the analytical solutions of stress and deflection for the elastic behavior of free deflection of the circular conductive membranes under pressure are accurately derived, and how to design and numerically calibrate the non-touch mode circular capacitive pressure sensors is described in detail. In Section 3, an example is first given of how to arrive at a design and numerical calibration of non-touch mode circular capacitive pressure sensors. Then, in order to clarify the direction of approaching the desired pressure–capacitance relationships by changing design parameters, the influence of changing design parameters on pressure–capacitance relationships is investigated. Concluding remarks are given in Section 4.

2. Materials and Methods

The geometry and configuration of a non-touch mode circular capacitive pressure sensor is shown in Figure 2a, where the initially flat, undeflected, circular conductive membrane with Poisson’s ratio v, Young’s modulus of elasticity E, thickness h and radius a forms a parallel plate capacitor together with the electrode plate fixed to the substrate, t denotes the thickness of the insulator layer coating on the substrate electrode plate, and g denotes the initial gap between the insulator layer and the initially flat, undeflected, circular conductive membrane. On application of pressure (the uniformly distributed transverse loads q), as shown in Figure 2b, the initially flat, undeflected, circular conductive membrane deflects towards the substrate electrode plate, making the initial parallel plate capacitor become a non-parallel plate capacitor and resulting in a change in capacitance of the capacitor. In Figure 2b, the dash-dotted line represents the plane in which the geometric middle plane of the initially flat, undeflected, circular conductive membrane is located, o denotes the origin of the introduced cylindrical coordinate system (r, φ, w), r is the radial coordinate, φ is the angle coordinate but not represented in Figure 2b, and w is the axial coordinate and denotes the deflection of the deflected conductive membrane.
Before the pressure q is applied to the circular conductive membrane, the total initial capacitance C0 of the initial parallel plate capacitor formed by the initially flat, undeflected, circular conductive membrane and the substrate electrode plate comprises the capacitance C1 and C2 of two series parallel plate capacitors, where C1 refers to the capacitance of the parallel plate capacitor with the insulator layer gap t and relative permittivity εr1, and C2 refers to the capacitance of the parallel plate capacitor with the air gap g and relative permittivity εr2. Therefore, if the vacuum permittivity is denoted by ε0, then
1 C 0 = 1 C 1 + 1 C 2 ,
where
C 1 = ε 0 ε r 1 π a 2 t
and
C 2 = ε 0 ε r 2 π a 2 g .
Thus,
C 0 = C 1 C 2 C 1 + C 2 = ε 0 ε r 2 π a 2 t ε 0 ε r 1 π a 2 g ε 0 ε r 2 π a 2 t + ε 0 ε r 1 π a 2 g = ε 0 ε r 1 ε r 2 π a 2 ε r 1 t + ε r 2 g .
After the pressure q is applied to the conductive membrane, the total capacitance C of the non-parallel plate capacitor formed by the deflected circular conductive membrane and the substrate electrode plate is still composed of the capacitance of two series capacitors: one is the capacitance C1 of the parallel plate capacitor with the insulator layer gap t and relative permittivity εr1, which is still given by Equation (2); the other is the capacitance C 2 of the air dielectric non-parallel plate capacitor with the relative permittivity εr2 and uneven distribution of air gap gw(r) (see Figure 2b). Therefore, the expression of capacitance C 2 needs to be further derived. To this end, let us take a micro area element, ABCD, from the substrate electrode plate, as shown in Figure 3.
The area of the micro area element ABCD is
Δ S = ( r + Δ r ) 2 Δ φ 2 r 2 Δ φ 2 = r Δ r Δ φ + 1 2 ( Δ r ) 2 Δ φ .
After ignoring the higher-order terms (the second term in Equation (5)), ΔS can be approximated by rΔrφ, while the air gap between this micro area element ABCD on the substrate electrode plate and the corresponding deflected conductive membrane can be approximated by gw(r), resulting in
Δ C 2 = ε 0 ε r 2 r Δ r Δ φ g w ( r )
and
C 2 = 0 a 0 2 π ε 0 ε r 2 r g w ( r ) d φ d r = 2 π ε 0 ε r 2 0 a r g w ( r ) d r .
Thus, the total capacitance C of the non-parallel plate capacitor formed by the deflected circular conductive membrane and the substrate electrode plate may finally be written as
C = C 1 C 2 C 1 + C 2 = ε 0 ε r 1 π a 2 t 2 π ε 0 ε r 2 0 a r g w ( r ) d r ε 0 ε r 1 π a 2 t + 2 π ε 0 ε r 2 0 a r g w ( r ) d r .
It can be seen from Equation (8) that the total capacitance C can be determined as long as an analytical expression for deflection w(r) is available. Therefore, the analytical solutions of deflection w(r) and stress σr(r) of the deflected circular conductive membrane under pressure q is vital to the determination of the total capacitance C of the non-parallel plate capacitor formed by the deflected circular conductive membrane under pressure q and the substrate electrode plate.
To this end, we have to analytically solve the problem of axisymmetric deformation with large deflection of the deflected circular conductive membrane under the uniformly distributed transverse loads q. However, for the sake of coherence, the detailed derivation of the analytical solution of this axisymmetric deformation problem is arranged in the Appendix A. The analytical expressions for stress σr(r) and deflection w(r) can be written as, from Equations (A16), (A22) and (A23),
σ r ( r ) = E i = 0 b 2 i a 2 i r 2 i
and
w ( r ) = i = 0 c 2 i a 2 i 1 r 2 i ,
where c2i and b2i are the coefficients of the power series, which are listed in Appendix B. It can be seen from Appendix B that when i ≠ 0 the coefficients c2i and b2i are expressed into the polynomials with regard to the coefficients b0, Poisson’s ratio v and dimensionless parameter Q (the dimensionless pressure, see Equation (A16)). The coefficients b0 and c0 are usually called undetermined constants. For a given Poisson’s ratio v, Young’s modulus of elasticity E, thickness h, radius a and pressure q, the undetermined constant b0 can be determined by solving Equation (A24). Additionally, with the known b0, all the coefficients c2i and b2i when i ≠ 0 can be determined (see Appendix B), such that the undetermined constant c0 can be determined by Equation (A25). In this way, the deflection expression, i.e., Equation (10), can be determined due to the known coefficient c2i (i = 0, 1, 2, 3…). The maximum stress σm and maximum deflection wm of the axisymmetrically deflected circular conductive membrane are at its center (i.e., at r = 0), hence given by
σ m = E b 0
and
w m = a c 0 .
For a given conductive membrane (given Poisson’s ratio v, Young’s modulus of elasticity E, thickness h, radius a and yield strength σy), the maximum stress σm at any pressure q can be determined by Equation (11). To ensure the strength of the material, it is assumed that the working stress of the conductive membrane is always controlled below 70% of the yield strength σy. So, if the pressure q at σm = 0.7σy is equal to the maximum pressure of a given pressure measurement range, then the given conductive membrane meets the design requirements; otherwise, a new conductive membrane (with different design parameters such as membrane thickness h, Poisson’s ratio v and Young’s modulus of elasticity E) needs to be selected. On the other hand, the maximum deflection wm at σm = 0.7σy can be determined by Equation (12) and is used primarily to determine the initial gap g between the insulator layer and the initially flat, undeflected, circular conductive membrane, see Figure 2a. The minimum value of the initial gap g should be greater than but as close as possible to this maximum deflection wm.
After plugging the known deflection expression (i.e., for given Poisson’s ratio v, Young’s modulus of elasticity E, thickness h, radius a and pressure q, the power series coefficients c2i/a2i−1 in Equation (10) are known) into Equation (8), the total capacitance C of the non-parallel plate capacitor, which is formed by the deflected circular conductive membrane under the given pressure q and the substrate electrode plate, can finally be determined with the known initial gap g, vacuum permittivity ε0, and relative permittivities εr1 and εr2. In this way, a pair of numerical values of calculated capacitance C and given loads q, having an intrinsic analytical relationship, is thus established. Additionally, with another given value of pressure q, another pair of numerical values of calculated capacitance C and given loads q can be further established.
Therefore, the numerical calculations of a progressive increase in the values of pressure q will result in a data sequence (sequential number pairs) with respect to numerical values of calculated capacitance C and given loads q, as shown in the next section. Additionally, further, based on this data sequence, the analytical relationship between loads q and capacitance C can be established by using least-squares data fitting, including straight line fitting and curve fitting, as shown in the next section. In each fitting function, the ranges of variation of loads q and capacitance C are affected by different requirements of fitting accuracy (average sum of fitting error squares). On the other hand, for given requirements of fitting accuracy, the ranges of variation of loads q and capacitance C can also be changed by changing geometric parameters (such as the thickness h and radius a of the conductive membranes and the initial gap g) and physical parameters (such as the Poisson’s ratio v and Young’s modulus of elasticity E of the conductive membranes), as shown in Section 3.2.
All in all, with Equation (8) and the analytical solution in Appendix A, the non-touch mode circular capacitive pressure sensors can be perfectly designed and numerically calibrated, thus greatly reducing the dependence on experimental calibration.

3. Results and Discussion

In this section, an example is first given of how to use Equation (8) and the analytical solution in Appendix A to realize the design and numerical calibration of non-touch mode circular capacitive pressure sensors (see Section 3.1). Then, in order to clarify the direction of approaching the desired pressure–capacitance relationships by changing design parameters, the influence of changing design parameters on pressure–capacitance relationships is comprehensively investigated, such as changing the initial gap g between the insulator layer coating on the substrate electrode plate and the initially flat undeflected circular conductive membrane, the thickness h of the circular conductive membranes, Young’s modulus of elasticity E, Poisson’s ratio v and the thickness t of the insulator layers, see Section 3.2.
In fact, Equation (8) has given the accurate analytical relationship between the capacitance C and the pressure q, where q is included in the power series coefficients c2i of the deflection w(r) (see Appendix B). However, in order to achieve the sensor mechanism of detecting pressure by measuring capacitance, we need to know the accurate analytical relationship between the pressure q as output and the capacitance C as input, that is, the analytical expression of the capacitance C as independent variable and the pressure q as dependent variable, q(C). Obviously, such an analytical expression cannot be directly given due to the strong nonlinearity between the deflection w(r) and the applied pressure q. Therefore, in this case, we have to perform a lot of numerical calculations using Equation (8) and the analytical solution of deflection and use least-squares data fitting to arrive at the analytical expression q(C), which may be seen in Section 3.1.
On the other hand, the numerical calculations using Equation (8) and the analytical solution of deflection can only be carried out on the premise that the circular conductive membrane is known and the range of pressure q is specified. Therefore, the design of a non-touch mode circular capacitive pressure sensor whose pressure range is beforehand specified has to begin with a tentative choice of a circular conductive membrane, including membrane thickness h, Poisson’s ratio v and Young’s modulus of elasticity E. If the resulting pressure–capacitance relationship, q(C), does not satisfy the desired usage or technical requirements, especially the range of the input capacitance C and output pressure q, then the design parameters, especially the membrane thickness h and Young’s modulus of elasticity E, must be adjusted. Section 3.2 gives the direction of the adjustment for approaching the desired usage or technical requirements.

3.1. An Example of Design and Numerical Calibration Based on Analytical Solutions

A non-touch mode circular capacitive pressure sensor is assumed to use a circular conductive membrane with Poisson’s ratio v = 0.47, Young’s modulus of elasticity E = 7.84 MPa, radius a = 100 mm, thickness h = 1 mm and yield strength σy = 2.4 MPa. The maximum value of the applied pressure q can be determined by the condition that the maximum stress σm of the circular conductive membrane under pressure q does not exceed its yield strength σy = 2.4 MPa. Table 1 shows the calculation results as the applied pressure q progressively increases, where the undetermined constants b0 and c0 are calculated by Equations (A24) and (A25), the maximum stress σm and maximum deflection wm are calculated by Equations (11) and (12). It may be seen from Table 1 that when the maximum stress σm approaches the yield strength σy = 2.4 MPa, the maximum value of the applied pressure q is about 34 KPa. Figure 4 and Figure 5 show the variations of wm and σm with the applied pressure q.
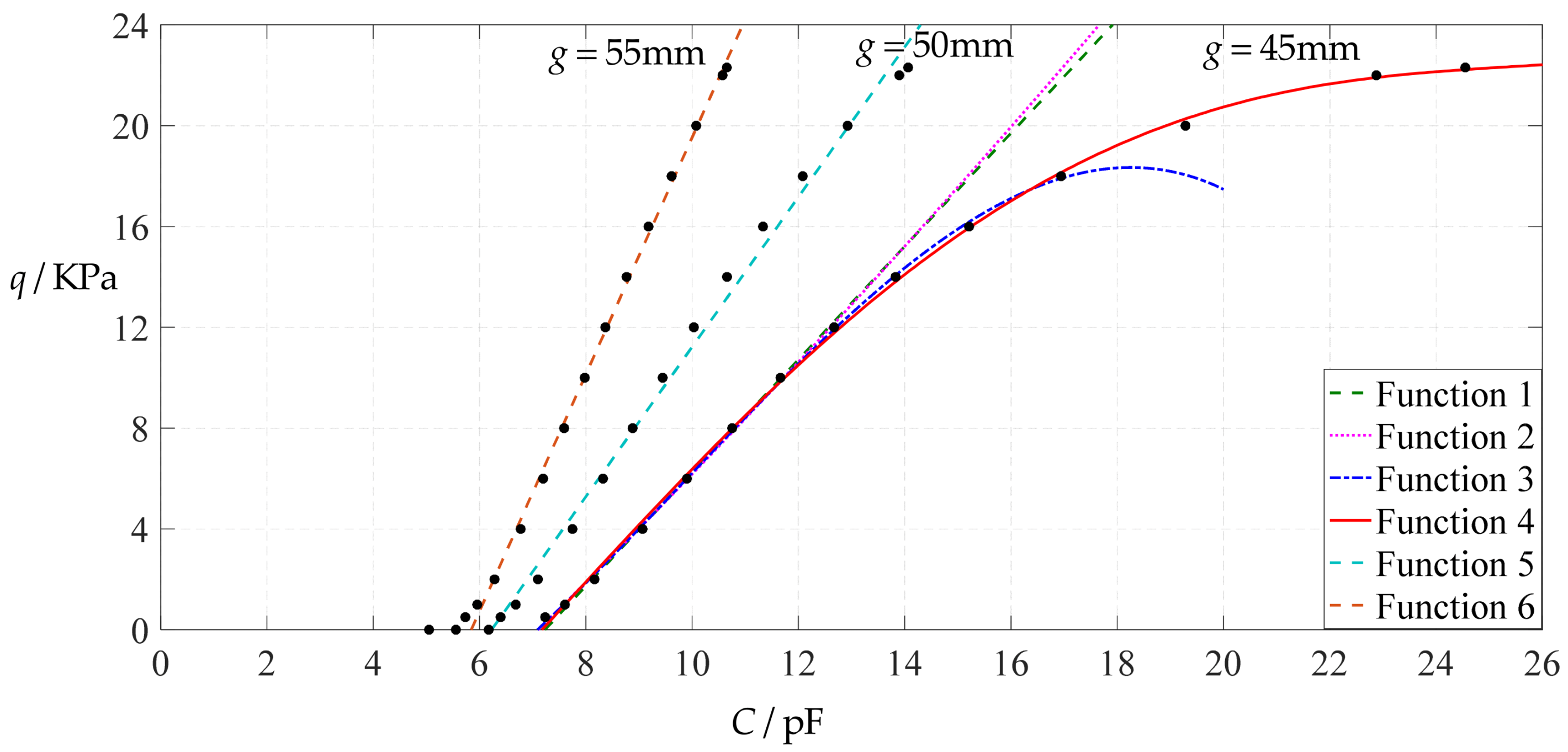
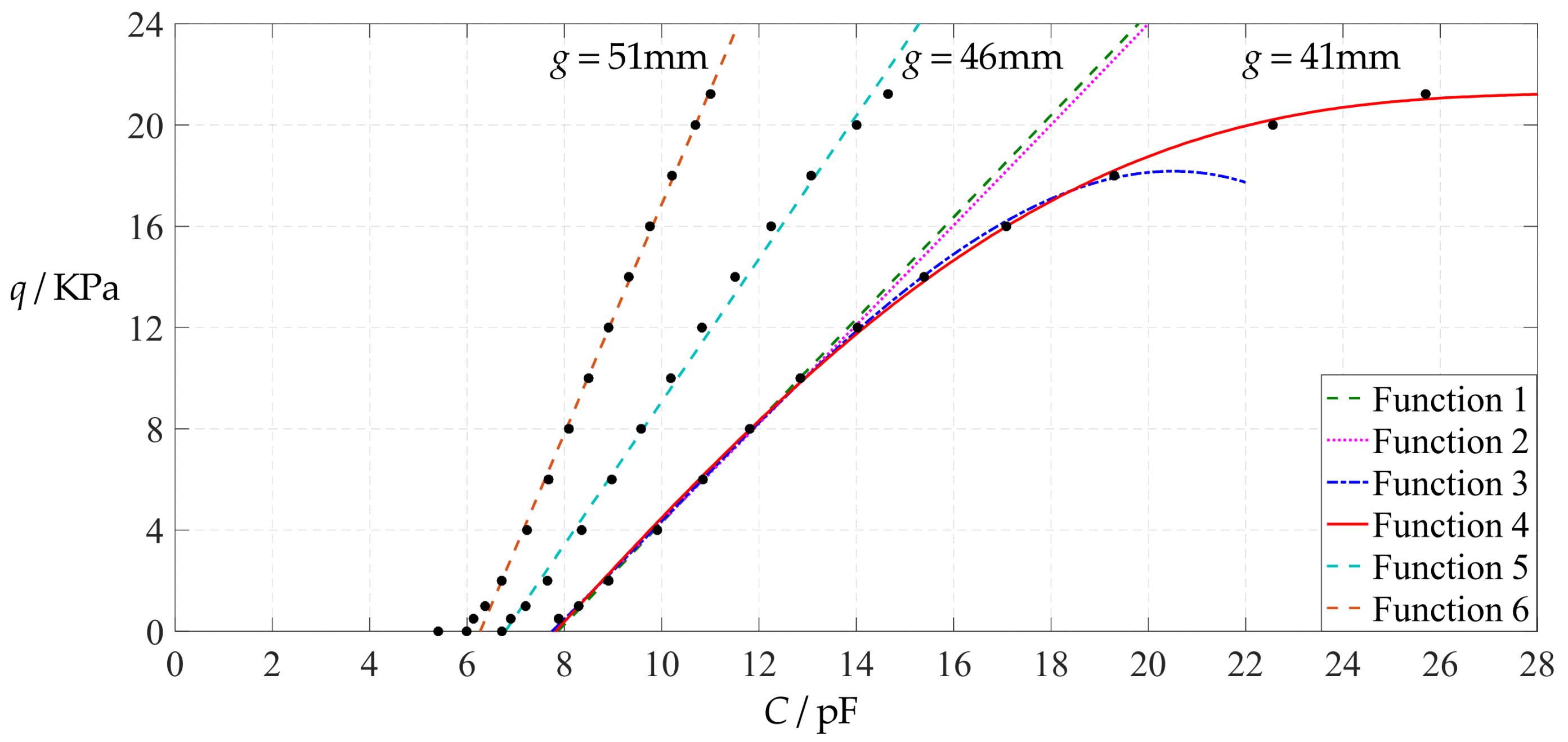
If the working stress of the circular conductive membrane is always controlled to be less than or equal to 70% of the yield strength σy, that is, σm ≤ 0.7 σy ≈ 1.68 MPa, then it can be seen from Table 1 that the maximum operation pressure should not exceed 21.225 KPa. Therefore, the values of the undetermined constants b0 at pressures less than or equal to 21.225 KPa in Table 1 will be used to determine the values of the coefficients c2i (see Appendix B for their expressions), as shown in Table 2 and Table 3. Moreover, from Table 1, we may also see that the value of the maximum deflection wm corresponding to 21.225 KPa pressure is about 39.67 mm. Therefore, the initial gap g between the initially flat undeflected conductive membrane and the insulator layer coating on the substrate electrode plate should be greater than or equal to 41 mm. For investigating the influence of changing the initial gap g on the input–output relationship between the input capacitance C and the output pressure q, the pressure–capacitance relationship q(C), here, the initial gap g takes 41 mm, 46 mm and 51 mm, respectively.
If the insulator layer is assumed to take 0.1 mm of polystyrene, then t = 0.1 mm and the relative permittivity εr1 = 2.5. In addition, the vacuum permittivity ε0 = 8.854 × 10−12 F/m = 8.854 × 10−3 pF/mm, and the air relative permittivity εr2 = 1.00053. The deflection expressions describing the shape of the deflected conductive membrane under different pressures q can be determined by Equation (10) with the values of the coefficients c2i in Table 2 and Table 3. Therefore, the values of the total capacitance (at rest) of the non-parallel plate capacitor formed by the deflected circular conductive membrane and the substrate electrode plate may finally be determined by Equation (8), which are listed in Table 4, where the definite integral in Equation (8) was calculated by using Maple 2018 software package.
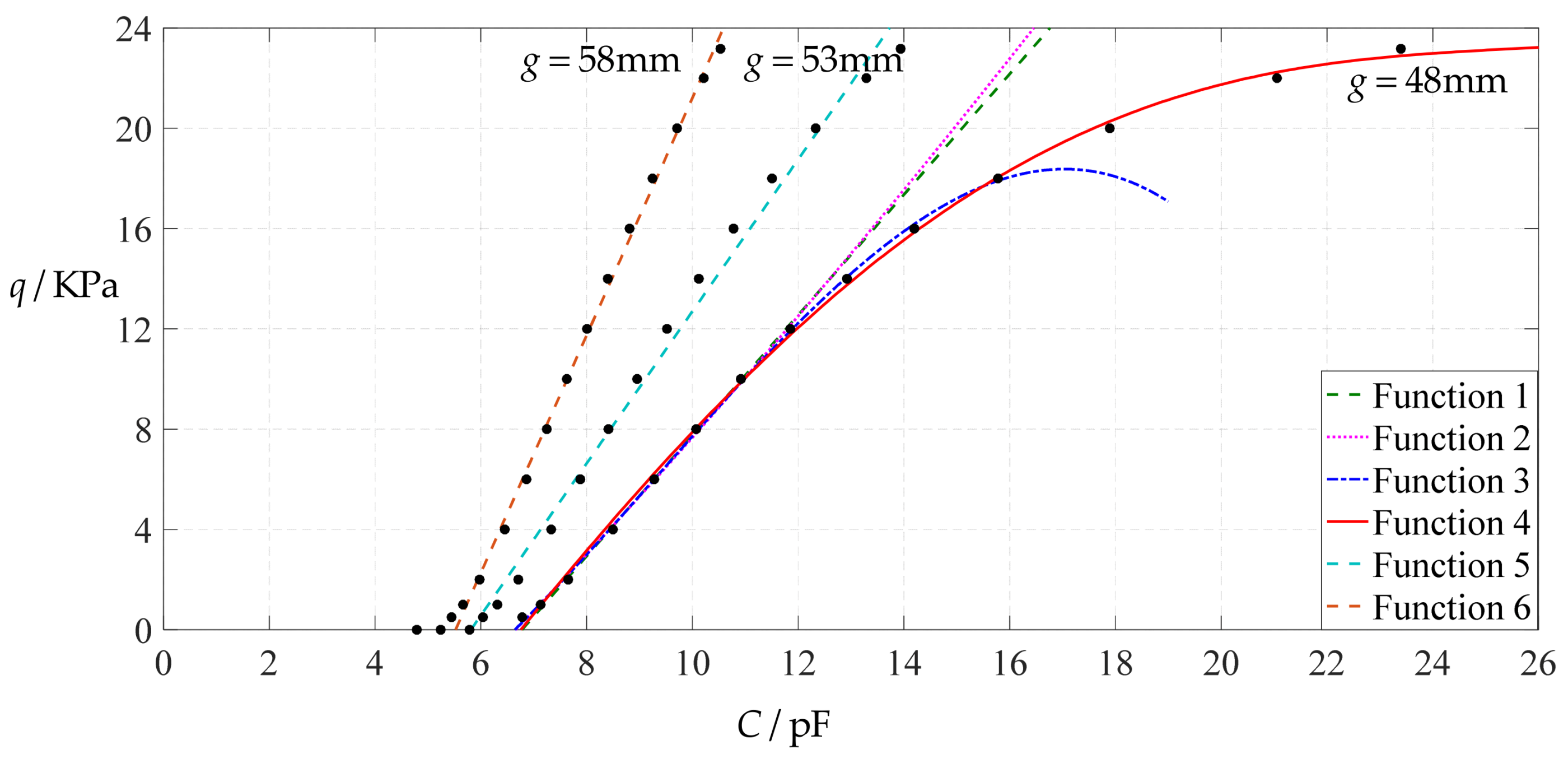
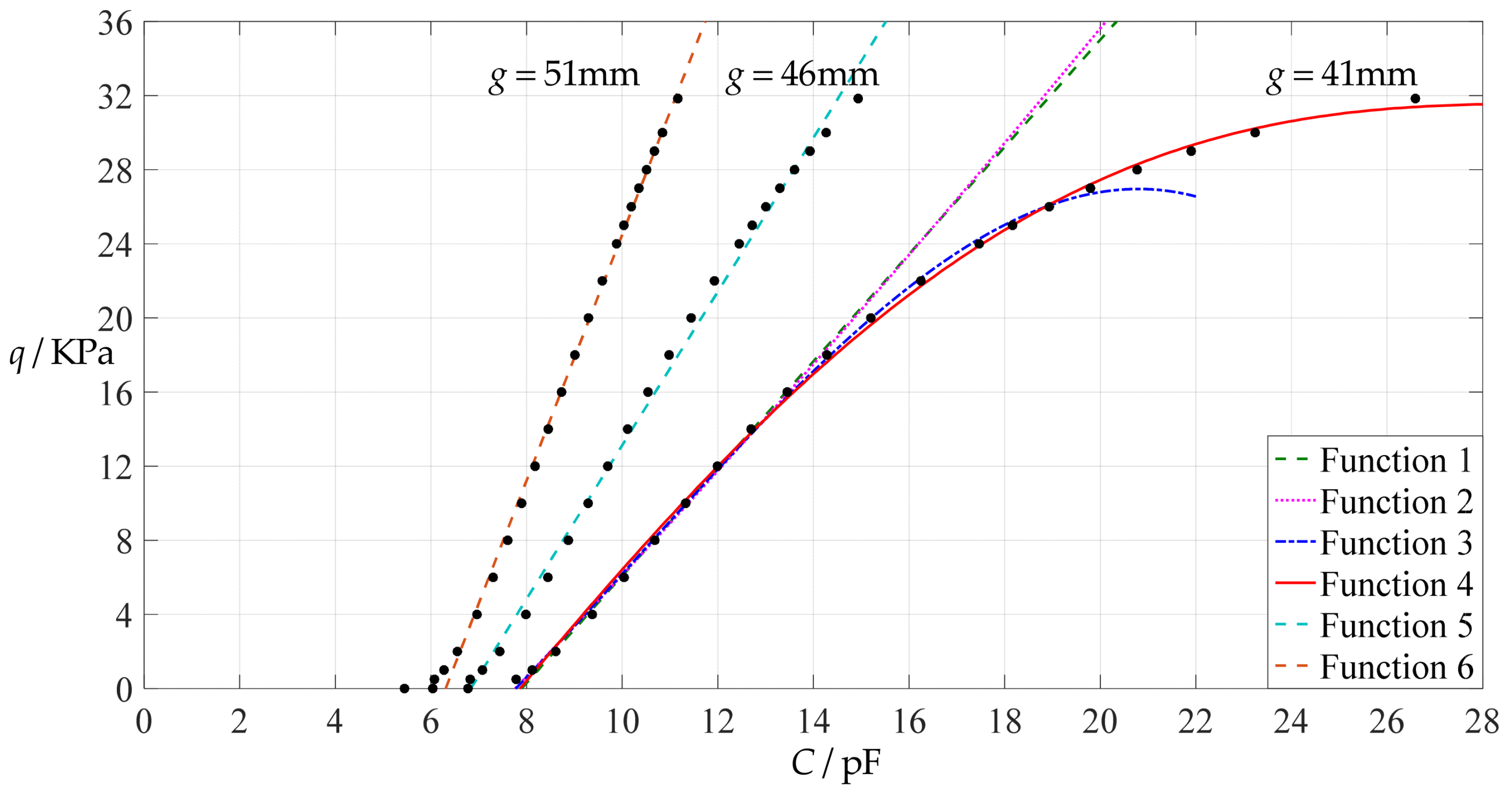
Figure 6 shows the variations of pressure q with capacitance C, showing that the increase in the initial gap g will increase the degree of linearity of the pressure–capacitance relationship q(C). From this point of view, the view in the literature is open to debate that non-touch mode capacitive pressure sensors are far inferior to touch mode capacitive pressure sensors in the easy realization of nearly linear input–output relationships [30]. The linearization in such a way, however, will narrow the range of the input capacitance and eventually increase the output pressure per unit capacitance, in addition to increasing the edge effect in capacitance of the non-parallel plate capacitor. So, it is best not to do so unless necessary. In fact, it can be imagined from Figure 6 that the nearly linear pressure–capacitance relationship q(C) can also be realized by least-squares data fitting of the data for g = 41 mm. Figure 7 shows the results of least-squares fitting, where Functions 1–4 are the results for g = 41 mm, Function 5 is the result for g = 46 mm, Function 6 is the result for g = 51 mm and Functions 1, 5 and 6 are fitted by straight lines, and Function 2 is fitted by a quadratic function, Function 3 by a cubic function and Function 4 by a quartic function. The resulting fitting functions are listed in Table 5, and the average sum of fitting error squares of each fitting function is shown in the footer of Table 5.
As can be seen from Table 5 and Figure 7, the above design and numerical calibration can realize five non-touch mode circular capacitive pressure sensors with different pressure–capacitance relationships, two linear (Functions 1 and 6) and three nonlinear (Functions 2–4). Obviously, Function 1 should be preferred to Function 6 if a 1~8 KPa pressure range is sufficient for use, because the output pressure per unit capacitance is about 1.940 KPa/pF for Function 1 but 4.267 KPa/pF for Function 6 (which are calculated from Table 5). However, for today’s advanced digital technologies, the emphasis on nearly linear input–output relationships makes no sense, because in most cases, using digital technologies is feasible. Therefore, in this sense, Function 4 should be one of the best choices for pressure monitoring microcomputer systems based on such non-touch mode circular capacitive pressure sensing devices.
Of course, Functions 1–4 and 6 may also not satisfy the usage or technical requirements of the input capacitance and output pressure under consideration. In this case, the design parameters, other than the initial gap g, should further be adjusted to meet the desired requirements, as shown in the next section.

3.2. Parametric Analysis

As mentioned above, although the increase in the initial gap g between the initially flat undeflected conductive membrane and the substrate electrode plate can increase the degree of linearity of the analytical relationship between input capacitance C and output pressure q, it is not a preferred option to encourage adoption. On the other hand, however, we should also see that decreasing the initial gap g can increase the range of input capacitance C, see Figure 6. The main purpose of this section is to show the influence of changing the design parameters other than the initial gap g on the analytical relationship between input capacitance C and output pressure q. To this end, we take the design parameters used in Section 3.1 as reference and change each parameter one by one on this basis, such as changing the thickness h of the conductive membranes, Young’s modulus of elasticity E, Poisson’s ratio v, and the thickness t of insulator layers.

3.2.1. Effect of Membrane Thickness on Input–Output Relationships

The design parameters used in Section 3.1 are used as reference, that is, Poisson’s ratio v = 0.47, Young’s modulus of elasticity E = 7.84 MPa, circular conductive membrane radius a = 100 mm, circular conductive membrane thickness h = 1 mm, insulator layer thickness t = 0.1 mm, vacuum permittivity ε0 = 8.854 × 10−12 F/m = 8.854 × 10−3 pF/mm, air relative permittivity εr2 = 1.00053, insulator layer relative permittivity εr1 = 2.5, membrane yield stress σy = 2.4 MPa and membrane maximum stress σm ≤ 0.7 σy ≈ 1.68 MPa. In this section, the thickness h of the circular conductive membrane is first increased from the reference thickness of 1 mm to 1.5 mm and then is further increased to 2 mm. When h = 1.5 mm, the calculation results are listed in Table 6, the relationships between input capacitance C and output pressure q are shown in Figure 8, the results of least-squares fitting are shown in Figure 9, the fitting functions are listed in Table 7, and the average sum of fitting error squares of each fitting function is shown in the footer of Table 7. When h = 2 mm, the calculation results are listed in Table 8, the input–output relationships are shown in Figure 10, the results of least-squares fitting are shown in Figure 11, the fitting functions are listed in Table 9, and the average sum of fitting error squares of each fitting function is shown in the footer of Table 9. The effects of an increase in the membrane thickness h from 1 mm to 1.5 mm and then to 2 mm on the fitting functions (Functions 1–4) are summarized in Figure 12, Figure 13, Figure 14 and Figure 15.
It can be seen from Figure 12, Figure 13, Figure 14 and Figure 15 that the change in the membrane thickness h only affects the range of output pressure q (increasing with the increase in the membrane thickness h) and does not affect the range of input capacitance C on the premise of ensuring the basically same fitting accuracy (the average sum of fitting error squares of each fitting function (e.g., Function 1, 2, 3 or 4) is basically the same (see the footers of Table 5, Table 7 and Table 9)). It should also be noted, however, that an increase in the membrane thickness h increases the range of output pressure q, but it also moderately increases the output pressure per unit capacitance because the input capacitance C remains constant. For instance, as the membrane thickness h increases from the reference value of 1 mm to 1.5 mm and then to 2 mm, the output pressure per unit capacitance of Function 1 increases from 1.940 KPa/pF to 2.840 KPa/pF and then to 3.724 KPa/pF, while the output pressure per unit capacitance of Function 4 increases from 1.071 KPa/pF to 1.607 KPa/pF and then to 2.143 KPa/pF, which are calculated from Table 5, Table 7 and Table 9.

3.2.2. Effect of Young’s Modulus of Elasticity on Input–Output Relationships

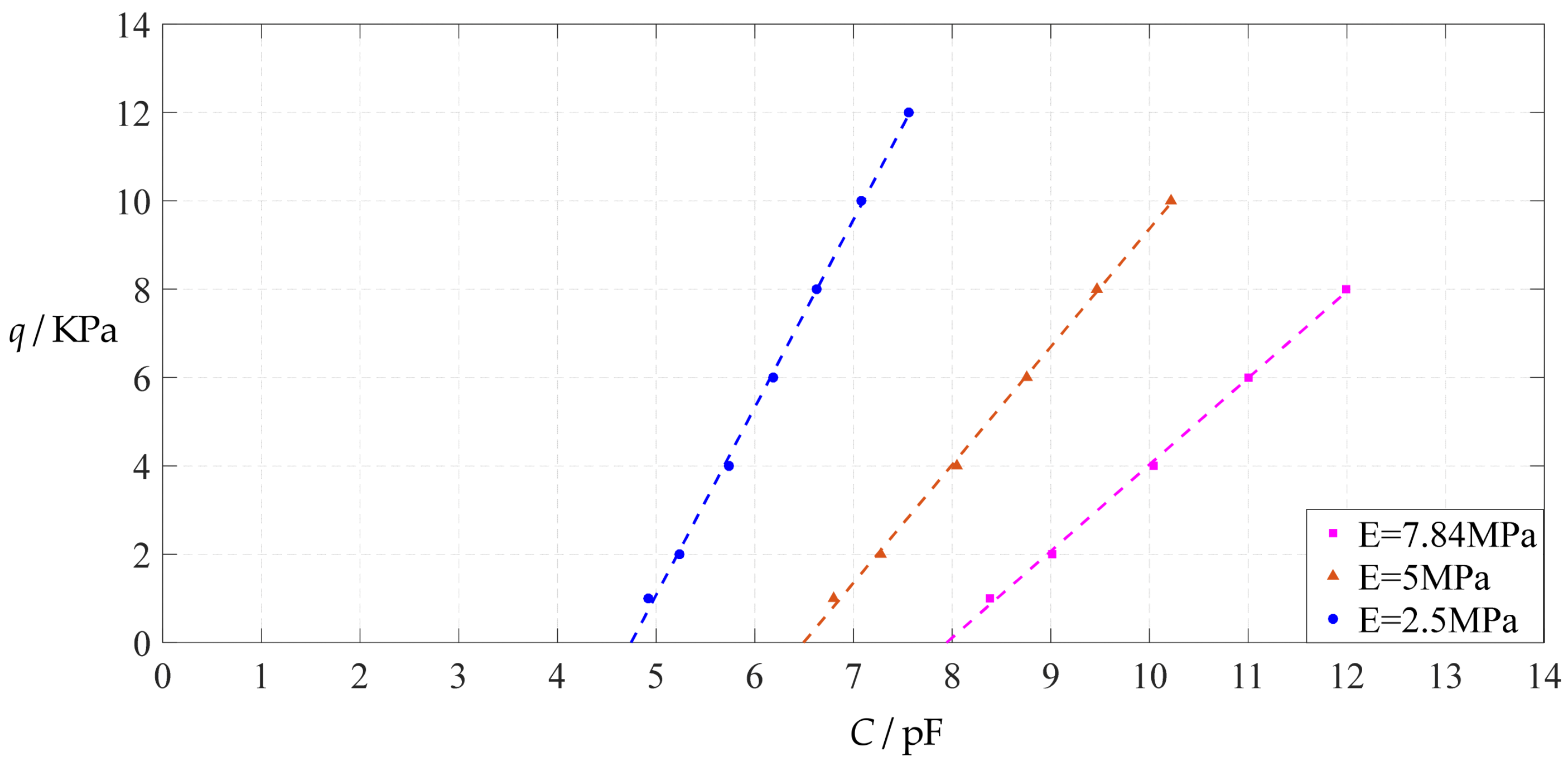
The design parameters used in Section 3.1 are still used as reference, that is, v = 0.47, E = 7.84 MPa, a = 100 mm, h = 1 mm, t = 0.1 mm, ε0 = 8.854 × 10−12 F/m = 8.854 × 10−3 pF/mm, εr1 = 2.5, εr2 = 1.00053, σy = 2.4 MPa and σm ≤ 0.7 σy ≈ 1.68 MPa. In this section, the Young’s modulus of elasticity E of the conductive membrane is first decreased from the reference value of 7.84 MPa to 5 MPa and then further decreased to 2.5 MPa. When E = 5 MPa, the calculation results are listed in Table 10, the relationships between input capacitance C and output pressure q are shown in Figure 16, the results of least-squares fitting are shown in Figure 17, the fitting functions are listed in Table 11, and the average sum of fitting error squares of each fitting function is shown in the footer of Table 11. When E = 2.5 MPa, the calculation results are listed in Table 12, the input–output relationships are shown in Figure 18, the results of least-squares fitting are shown in Figure 19, the fitting functions are listed in Table 13, and the average sum of fitting error squares of each fitting function is shown in the footer of Table 13. The effects of a decrease in the Young’s modulus of elasticity E from 7.84 MPa to 5 MPa and then to 2.5 MPa on the fitting functions (Functions 1–4) are summarized in Figure 20, Figure 21, Figure 22 and Figure 23.
From Figure 20, Figure 21, Figure 22 and Figure 23, it can be seen that the change in the Young’s modulus of elasticity E affects both the range of output pressure q (increasing with the decrease in the Young’s modulus of elasticity E) and the range of input capacitance C (decreasing with the decrease in the Young’s modulus of elasticity E) on the premise of ensuring the basically same fitting accuracy (the average sum of fitting error squares of each fitting function (e.g., Function 1, 2, 3 or 4) is basically the same (see the footers of Table 5, Table 11 and Table 13)). Therefore, as the Young’s modulus of elasticity E decreases from the reference value of 7.84 MPa to 5 MPa and then to 2.5 MPa, the output pressure per unit capacitance of Function 1 increases from 1.940 KPa/pF to 2.633 KPa/pF and then to 4.168 KPa/pF, while the output pressure per unit capacitance of Function 4 increases from 1.071 KPa/pF to 1.402 KPa/pF and then to 1.736 KPa/pF, which are calculated from Table 5, Table 11 and Table 13.

3.2.3. Effect of Poisson’s Ratio on Input–Output Relationships

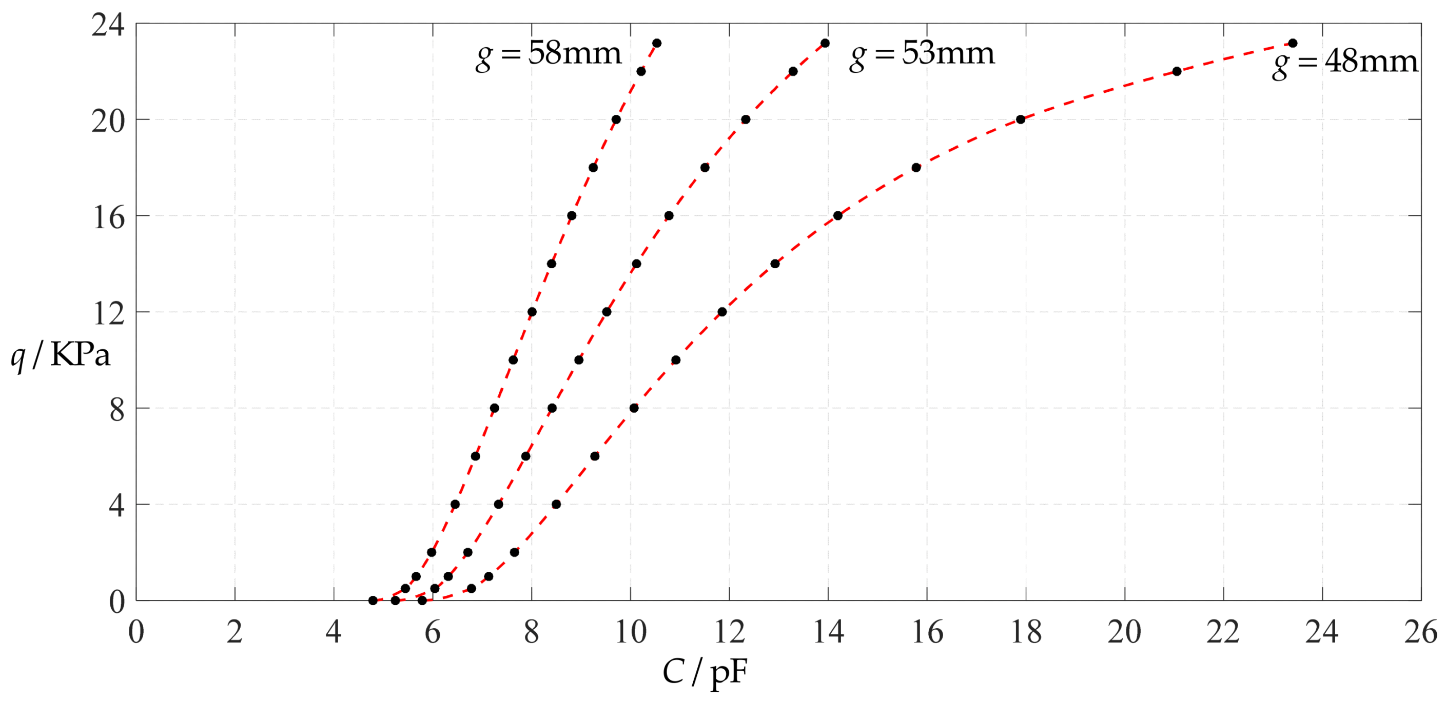
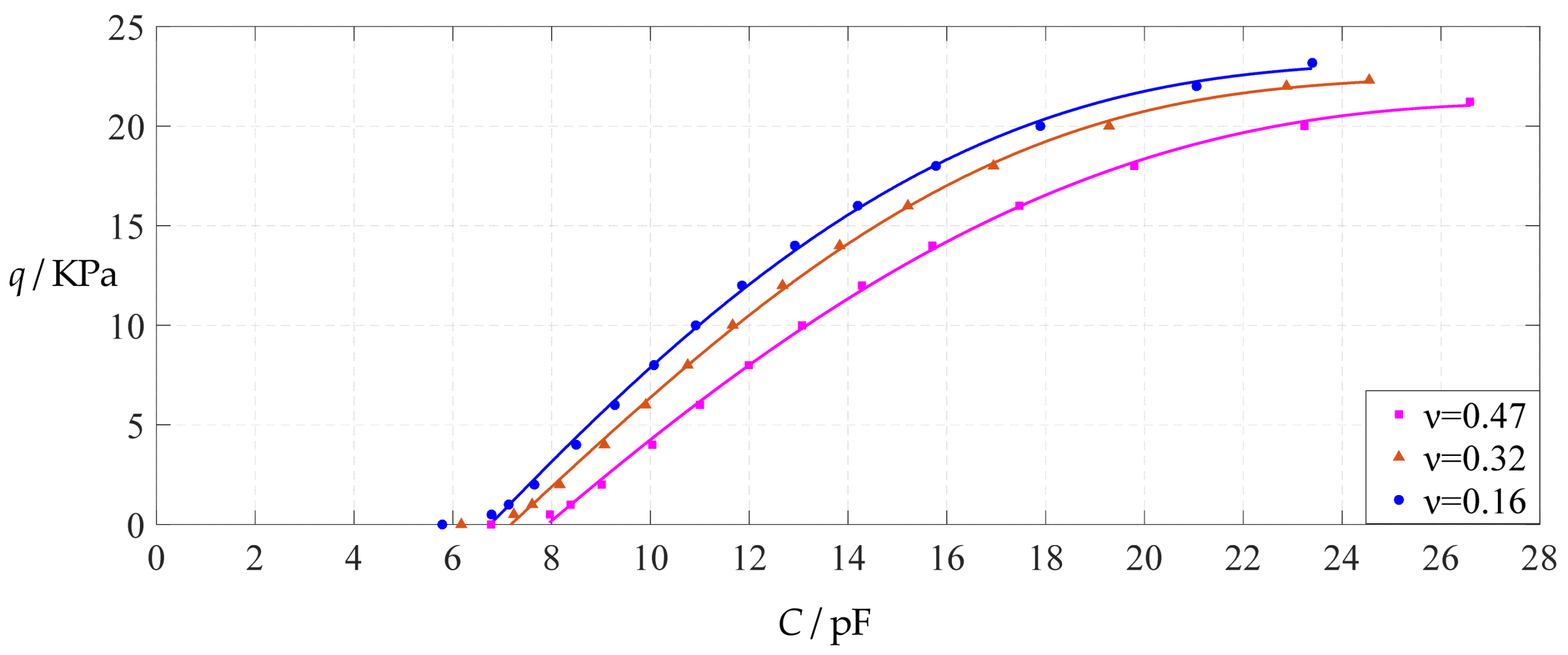
The design parameters used in Section 3.1 are still used as reference, that is, v = 0.47, E = 7.84 MPa, a = 100 mm, h = 1 mm, t = 0.1 mm, ε0 = 8.854 × 10−12 F/m = 8.854 × 10−3 pF/mm, εr1 = 2.5, εr2 = 1.00053, σy = 2.4 MPa and σm ≤ 0.7 σy ≈ 1.68 MPa. In this section, the Poisson’s ratio v of the conductive membrane is first decreased from the reference value of 0.47 (for such as polymer films) to 0.32 (for such as metal films) and then further decreased to 0.16 (for such as graphene films). When v = 0.32, the calculation results are listed in Table 14, the relationships between input capacitance C and output pressure q are shown in Figure 24, the results of least-squares fitting are shown in Figure 25, the fitting functions are listed in Table 15, and the average sum of fitting error squares of each fitting function is shown in the footer of Table 15. When v = 0.16, the calculation results are listed in Table 16, the input–output relationships are shown in Figure 26, the results of least-squares fitting are shown in Figure 27, the fitting functions are listed in Table 17, and the average sum of fitting error squares of each fitting function is shown in the footer of Table 17. The effects of a decrease in the Poisson’s ratio v from 0.47 to 0.32 and then to 0.16 on the fitting functions (Functions 1–4) are summarized in Figure 28, Figure 29, Figure 30 and Figure 31.
As can be seen from Figure 28, Figure 29, Figure 30 and Figure 31, especially from Figure 31, the change of the Poisson’s ratio v from 0.47 to 0.32 and then to 0.16 results in only a small nearly parallel shift of the q(C) curves along the horizontal coordinate axis; that is, such a large change in the Poisson’s ratio v from 0.47 to 0.32 and then to 0.16 does not have much effect on both the range of output pressure q and the range of input capacitance C. This means that when choosing a polymer conductive membrane as the movable electrode plate of a capacitor in a non-touch mode circular capacitive pressure sensor, it is sufficient to know the approximate range of Poisson’s ratio rather than its exact value.

3.2.4. Effect of Insulator Layer Thickness on Input–Output Relationships

The design parameters used in Section 3.1 are still used as reference, that is, v = 0.47, E = 7.84 MPa, a = 100 mm, h = 1 mm, t = 0.1 mm, ε0 = 8.854 × 10−12 F/m = 8.854 × 10−3 pF/mm, εr1 = 2.5, εr2 = 1.00053, σy = 2.4 MPa and σm ≤ 0.7 σy ≈ 1.68 MPa. In this section, the thickness t of the insulator layer is first increased from the reference value of 0.1 mm to 1 mm and then to 10 mm. When t = 1 mm, the calculation results are listed in Table 18, the relationships between input capacitance C and output pressure q are shown in Figure 32, the results of least-squares fitting are shown in Figure 33, the fitting functions are listed in Table 19, and the average sum of fitting error squares of each fitting function are shown in the footer of Table 19. When t = 10 mm, the calculation results are listed in Table 20, the input–output relationships are shown in Figure 34, the results of least-squares fitting are shown in Figure 35, the fitting functions are listed in Table 21, and the average sum of fitting error squares of each fitting function are shown in the footer of Table 21. The effects of an increase in the thickness t of the insulator layer from 0.1 mm to 1 mm and then to 10 mm on the fitting functions (Functions 1–4) are summarized in Figure 36, Figure 37, Figure 38 and Figure 39.
From Figure 36, Figure 37, Figure 38 and Figure 39, it can be seen that increasing the thickness t of the insulator layer has no effect on the range of output pressure q, and it only reduces the range of input capacitance C, resulting in an increase in the output pressure per unit capacitance. Taking Function 4 as an example, when the thickness t of the insulator layer increases from 0.1 mm to 10 mm, the output pressure per unit capacitance increases from 1.071 KPa/pF (calculated from Table 5) to 1.620 KPa/pF (calculated from Table 21). As a result, it is generally welcome for the thickness t of the insulator layer to be as thin as possible.

4. Concluding Remarks

In this paper, an analytical solution-based method for the design and numerical calibration of polymer conductive membrane-based non-touch mode circular capacitive pressure sensors is presented. This novel method can provide effective theoretical support for the design and fabrication of such sensors. From this study, the following conclusions can be drawn.
The so-called nearly linear input–output relationships of non-touch mode capacitive pressure sensors can be easily realized by using the presented analytical solution-based method. It can be seen from Section 3 that the desired nearly linear input–output relationships can be easily achieved by changing design parameters, such as membrane thickness, Young’s modulus of elasticity and the initial gap between the initially flat undeflected conductive membrane and the insulator layer coating on the substrate electrode plate. Therefore, the view in the literature is open to debate that non-touch mode capacitive pressure sensors are far inferior to touch mode capacitive pressure sensors in the easy realization of nearly linear input–output relationships.
The change in membrane thickness has no effect on the range of input capacitance and only affects the range of output pressure, which increases with the increase in membrane thickness.
The change in Young’s modulus of elasticity affects both the range of output pressure and the range of input capacitance, where the range of output pressure increases with the decrease in Young’s modulus of elasticity, and the range of input capacitance decreases with the decrease in Young’s modulus of elasticity.
The change in Poisson’s ratio has a very limited effect on input–output relationships. Therefore, it is sufficient to know the approximate range of Poisson’s ratio rather than its exact value when choosing a polymer conductive membrane as the movable electrode plate of a capacitor of a non-touch mode circular capacitive pressure sensor.
The change in insulator layer thickness has no effect on the range of output pressure and only affects the range of input capacitance, which decreases with the increase in insulator layer thickness.

Author Contributions

Conceptualization, J.-Y.S.; methodology, F.-Y.L., Q.Z. and J.-Y.S.; validation, X.L. and X.-T.H.; writing—original draft preparation, F.-Y.L. and Q.Z.; writing—review and editing, X.L. and X.-T.H.; visualization, F.-Y.L. and Q.Z.; funding acquisition, J.-Y.S. All authors have read and agreed to the published version of the manuscript.

Funding

This research was funded by the National Natural Science Foundation of China (Grant No. 11772072).

Institutional Review Board Statement

Not applicable.

Informed Consent Statement

Not applicable.

Data Availability Statement

Not applicable.

Acknowledgments

Not applicable.

Conflicts of Interest

The authors declare no conflict of interest.

Appendix A

A peripherally fixed, initially flat and taut linearly elastic circular membrane with Young’s modulus of elasticity E, Poisson’s ratio ν, thickness h, and radius a is subjected to a uniformly distributed transverse loads q, as shown in Figure A1, where r is the radial coordinate, w is the transversal displacement, o is and the original point of the introduced cylindrical coordinates system (r, ϕ, w) (where the polar coordinate plane (r, ϕ) is located in the plane in which the geometric middle plane of the initially flat circular membrane is located). Let us take a free body with radius 0 ≤ ra from the deflected circular membrane under uniformly distributed transverse loads q, as shown in Figure A2, to study its static problem of equilibrium.
Figure A1. Sketch of the circular membrane under loads q.
Figure A1. Sketch of the circular membrane under loads q.
Polymers 14 03087 g0a1
Figure A2. Sketch of a free body with radius 0 ≤ r ≤ a.
Figure A2. Sketch of a free body with radius 0 ≤ r ≤ a.
Polymers 14 03087 g0a2
In the vertical direction perpendicular to the initially flat circular membrane, there are two vertical forces acting the free body, that is, the πr2q produced by the loads q within r, and the 2πrσrhsinθ produced by the membrane force σrh, where σr is radial stress. So, the out-of-plane equilibrium condition is
2 π r σ r h sin θ = π r 2 q ,
where
sin θ = 1 / 1 + 1 / tan 2 θ = 1 / 1 + 1 / ( d w / d r ) 2 .
Substituting Equation (A2) into Equation (A1) yields
1 2 r q 1 + 1 / ( d w / d r ) 2 = σ r h .
While in the direction parallel to the initially flat circular membrane, the equilibrium condition may be written as [36]
d ( r σ r ) d r σ t [ 1 + ( d w d r ) 2 ] = 0 ,
where σt denotes circumferential stress. The derivation of Equation (A4) is detailed in [36]. If the radial and circumferential strain and the radial displacement are denoted by er, et and u, respectively, then the relationships between strain and displacement for large deflection problems may be written as [37]
e r = [ ( 1 + d u d r ) 2 + ( d w d r ) 2 ] 1 / 2 1
and
e t = u r .
Moreover, the relationships between stress and strain are still assumed to satisfy linear elasticity and expressed in terms of generalized Hooke’s law [38]
σ r = E 1 ν 2 ( e r + ν e t )
and
σ t = E 1 ν 2 ( e t + ν e r ) .
Substituting Equations (A5) and (A6) into Equations (A7) and (A8) yields
σ r = E 1 ν 2 { [ ( 1 + d u d r ) 2 + ( d w d r ) 2 ] 1 / 2 1 + ν u r }
and
σ t = E 1 ν 2 { u r + ν [ ( 1 + d u d r ) 2 + ( d w d r ) 2 ] 1 / 2 ν } .
By means of Equations (A4), (A9) and (A10), one has
u r = 1 E ( σ t ν σ r ) = 1 E [ d ( r σ r ) d r 1 + ( d w d r ) 2 ν σ r ] .
After substituting the u in Equation (A11) into Equation (A9), we obtain an equation containing only the radial stress σr and deflection w(r)
{ 1 + 1 E d ( r σ r ) d r 1 + ( d w d r ) 2 ν σ r E + r E d d r [ d ( r σ r ) d r 1 + ( d w d r ) 2 ] r ν E d σ r d r } 2 + ( d w d r ) 2 [ σ r E ν E d ( r σ r ) d r 1 + ( d w d r ) 2 + 1 ] 2 = 0 .
Equations (A3) and (A12) are two equations for solving the radial stress σr and deflection w(r). The boundary conditions, under which the particular solutions of the radial stress σr and deflection w(r) can be determined, are
w = 0   at   r = a ,
u = 0   at   r = a
and
d w d r = 0   at   r = 0 .
Let us introduce the following dimensionless variables
Q = q a E h , W = w a , S r = σ r E , S t = σ t E , x = r a , α = b a ,
and transform Equations (A3), (A12), (A13)–(A15) into
( 4 S r 2 x 2 Q 2 ) ( d W d x ) 2 x 2 Q 2 = 0 ,
{ 1 + d ( x S r ) d x 1 + ( d W d x ) 2 ν S r + x d d x [ d ( x S r ) d x 1 + ( d W d x ) 2 ] x ν d S r d x } 2 + ( d W d x ) 2 [ S r ν d ( x S r ) d x 1 + ( d W d x ) 2 + 1 ] 2 = 0 ,
W = 0   at   x = 1 ,
S t ν S r = d ( x S r ) d x 1 + ( d W d x ) 2 ν S r = 0   at   x = 1
and
d W d x = 0   at   x = 0 .
Since the values of stress and deflection are both finite at x = 0, Sr and W can be expanded into the power series of the x, i.e., letting
S r = i = 0 b i x i ,
and
W = i = 0 c i x i .
After substituting Equations (A22) and (A23) into Equations (A17) and (A18), it is found that b i 0 and c i 0 when i is odd, and when i is even, b i and c i can be expressed into the polynomial of the first coefficient b 0 , which are listed in Appendix B. The remaining two coefficients, b 0 and c 0 , are often called undetermined coefficients, which can be determined by using the boundary conditions Equations (A19) and (A20). From Equations (A22) and (A23), Equation (A20) gives
( 1 ν ) i = 0 b i + i = 1 i b i ν i = 0 b i ( i = 1 i c i ) 2 = 0 ,
and from Equation (A23), Equation (A19) gives
c 0 = i = 1 c i .
After substituting all expressions of b i and c i (i = 2, 4, 6, …) in Appendix B into Equation (A24), an equation which contains only the undetermined constant b 0 can be obtained. Therefore, the undetermined constant b 0 can be determined by solving this univariate variable equation. So, with the known b 0 , all the coefficients c i (i = 2, 4, 6, …) can be determined, and the undetermined constant c 0 can thus be determined by Equation (A25). The problem under consideration is thus solved.

Appendix B

b 2 = 1 64 Q 2 [ ( 2 v 2 + 4 v 6 ) b 0 2 + ( 2 v 6 ) b 0 + 1 ] ( v b 0 b 0 1 ) b 0 2 ,
b 4 = Q 4 12288 ( v b 0 b 0 1 ) 3 b 0 5 [ ( 4 v 5 + 20 v 4 24 v 3 88 v 2 + 148 v 60 ) b 0 5 + ( 12 v 4 72 v 3 + 264 v 180 ) b 0 4 + ( 4 v 3 + 108 v 2 + 60 v 172 ) b 0 3 + ( 6 v 2 64 v 38 ) b 0 2 + ( 7 v + 21 ) b 0 + 2 ] ,
b 6 = Q 6 4718592 b 0 8 ( ν b 0 b 0 1 ) 5 [ ( 48 ν 8 + 336 ν 7 432 ν 6 2544 ν 5 + 4080 v 4 + 3312 v 3 10896 v 2 + 8812 v 2016 ) b 0 8 + ( 240 ν 7 1920 ν 6 + 240 ν 5 + 12960 v 4 7440 v 3 24000 v 2 + 30480 v 10080 ) b 0 7 + ( 412 ν 6 + 5696 ν 5 + 396 v 4 20704 v 3 3404 v 2 + 36384 v 18780 ) b 0 6 + ( 440 v 5 9400 v 4 432 v 3 + 16016 v 2 + 9064 v 14808 ) b 0 5 + ( 196 v 4 + 10044 v 3 396 v 2 7084 v 2760 ) b 0 4 + ( 64 v 3 6508 v 2 + 328 v + 1508 ) b 0 3 + ( 139 v 2 + 2492 v 365 ) b 0 2 + ( 70 v 414 ) b 0 13 ] ,
b 8 = Q 8 3019898880 b 0 11 ( ν b 0 b 0 1 ) 7 [ ( 3360 ν 10 + 24960 ν 9 80160 ν 8 199680 ν 7 + 840000 ν 6 349440 ν 5 2103360 ν 4 + 4085760 ν 3 3354720 ν 2 + 1353600 v 220320 ) b 0 11 + ( 23520 ν 9 198240 ν 8 + 362880 ν 7 + 1760640 ν 6 4119360 ν 5 1673280 ν 4 + 13050240 v 3 15550080 v 2 + 7932960 v 1542240 ) b 0 10 + ( 1144 ν 9 + 10392 ν 8 + 972096 ν 7 998912 ν 6 5469840 ν 5 + 7437936 v 4 + 10223488 v 3 26362176 v 2 + 18746712 v 4560840 ) b 0 9 + ( 3536 ν 8 + 159280 ν 7 2551472 ν 6 + 1399344 ν 5 + 9325040 ν 4 6036976 ν 3 17004560 v 2 + 21988752 v 7282944 ) b 0 8 + ( 11700 v 7 575948 v 6 + 4167164 v 5 1060860 v 4 9371740 v 3 + 1693660 v 2 + 11673108 v 6513684 ) b 0 7 + ( 15080 v 6 + 979400 v 5 4425584 v 4 + 382096 v 3 + 5710216 v 2 + 148136 v 2809344 ) b 0 6 + ( 7734 v 5 1038294 v 4 + 3202252 v 3 52244 v 2 2084822 v 19158 ) b 0 5 + ( 2064 v 4 + 715572 v 3 1522436 v 2 9076 v + 357204 ) b 0 4 + ( 5851 v 3 319097 v 2 + 451169 v 24635 ) b 0 3 + ( 3872 ν 2 + 83624 ν 61360 ) b 0 2 + ( 1249 ν 9867 ) b 0 170 ] ,
b 10 = Q 10 2899102924800 b 0 14 ( ν b 0 b 0 1 ) 9 [ ( 22400 ν 14 + 409920 ν 13 + 1014720 ν 12 9726080 ν 11 3521280 ν 10 + 86385600 ν 9 111330240 ν 8 171037440 ν 7 + 582744960 ν 6 550034240 ν 5 + 35112000 ν 4 + 348136320 v 3 304353280 v 2 + 112365120 v 16188480 ) b 0 14 + ( 201600 ν 13 3890880 ν 12 13023360 ν 11 + 74511360 v 10 + 106202880 ν 9 671267520 ν 8 + 330704640 ν 7 + 1870041600 ν 6 3374663040 ν 5 + 1575645120 ν 4 + 1259637120 ν 3 1873589760 ν 2 + 865589760 v 145696320 ) b 0 13 + ( 877424 ν 12 + 13856448 ν 11 + 97175520 ν 10 341615296 ν 9 489544432 ν 8 + 2072814464 ν 7 + 273949760 ν 6 6299616640 ν 5 + 6738156176 v 4 14196288 v 3 4216050208 v 2 + 2722935872 v 558742800 ) b 0 12 + ( 1833472 ν 11 28624640 ν 10 377462272 ν 9 + 970592000 ν 8 + 1233044480 ν 7 3745627648 v 6 2152600576 v 5 + 10025887232 ν 4 5730388480 ν 3 3346656000 v 2 + 4325224960 v 1171555584 ) b 0 11 + ( 2530256 ν 10 + 27659168 ν 9 + 948859856 ν 8 1906270080 ν 7 2010922592 ν 6 + 4592590016 ν 5 + 3483742752 v 4 8686119296 v 3 + 1747844240 v 2 + 3209060512 v 1408974832 ) b 0 10 + ( 2272896 ν 9 + 10991840 ν 8 1652145088 v 7 + 2664400960 ν 6 + 2358232384 ν 5 4169356544 ν 4 2792458560 v 3 + 4314276288 v 2 + 146218560 v 877886944 ) b 0 9 + ( 1293024 ν 8 83384976 v 7 + 2090074736 ν 6 2716072144 ν 5 2029579664 ν 4 + 2826419792 ν 3 + 1222698832 v 2 1193075440 v 118374160 ) b 0 8 + ( 412456 v 7 + 144241880 v 6 1941687272 v 5 + 2014558744 v 4 + 1251889736 v 3 1368033976 v 2 231963960 v + 131407304 ) b 0 7 + ( 223816 v 6 151574252 v 5 + 1326402684 v 4 1088660824 v 3 512170784 v 2 + 437971268 v 12191908 ) b 0 6 + ( 430984 v 5 + 108223300 v 4 651169928 v 3 + 410820848 v 2 + 124004176 v 68861812 ) b 0 5 + ( 514053 v 4 53453864 v 3 + 219557418 v 2 101677512 v 8835455 ) b 0 4 + ( 350854 v 3 + 17631250 v 2 45524858 v + 12106846 ) b 0 3 + ( 145077 ν 2 3525540 ν + 4378799 ) b 0 2 + ( 34588 v + 326224 ) + 3700 ] ,
b 12 = 1 1376256 b 0 12 ( v b 0 b 0 1 ) { ( 2752512   v + 9830400 ) b 6 2 b 0 12 3584   Q 6 b 2 3 b 0 3 + [ ( 24576   Q 2 v 2 237568   Q 2 v + 1179648   Q 2 ) b 0 7 + ( 18432   Q 2 v 239616   Q 2 ) b 0 6 6144   Q 2 b 0 5 ] b 2 5 + [ ( 1280   Q 4 v 2 + 109824   Q 4 ) b 0 6 + 8960   Q 4 b 0 4 ] b 2 4 + 576   Q 8 b 2 2 b 0 2 + { ( 1280   Q 4 v 2 5376   Q 4 ) b 0 8 + 2560   Q 4 b 0 6 + [ ( 90112   Q 2 v 2 696320   Q 2 v + 5308416   Q 2 ) b 0 9 + ( 55296   Q 2 v 718848   Q 2 ) b 0 8 12288   Q 2 b 0 7 ] b 2 } b 4 2 40   Q 10 b 2 b 0 + [ ( 3670016   v + 8912896 ) b 2 b 0 12 + ( 40960   Q 2 v 2 + 286720   Q 2 v 983040   Q 2 ) b 0 11 + ( 18432   Q 2 v 239616   Q 2 ) b 0 10 2048   Q 2 b 0 9 ] b 10 + { ( 5046272   v + 16580608 ) b 4 b 0 12 + ( 3584   Q 4 v 2 + 118272   Q 4 ) b 0 9 1024   Q 4 b 0 7 + [ ( 24576   Q 2 v 2 + 106496   Q 2 v 1769472   Q 2 ) b 0 10 + ( 36864   Q 2 v + 479232   Q 2 ) b 0 9 + 6144   Q 2 b 0 8 ] b 2 } b 8 + { ( 384   Q 6 b 0 5 + [ ( 73728   Q 2 v 2 548864   Q 2 v + 4227072   Q 2 ) b 0 9 + ( 55296   Q 2 v 718848   Q 2 ) b 0 8 12288   Q 2 b 0 7 ] b 2 2 + [ ( 57344   Q 2 v 2 + 303104   Q 2 v 3932160   Q 2 ) b 0 10 + ( 36864   Q 2 v + 479232   Q 2 ) b 0 9 + 6144   Q 2 b 0 8 ] b 4 + [ ( 4608   Q 4 v 2 121344   Q 4 ) b 0 8 + 5120   Q 4 b 0 6 ] b 2 } b 6 + ( 2688   Q 6 b 2 b 0 4 + { ( 106496   Q 2 v 2 + 942080   Q 2 v 5603328   Q 2 ) b 0 8 + ( 73728   Q 2 v + 958464   Q 2 ) b 0 7 + 20480   Q 2 b 0 6 ) b 2 3 128   Q 8 b 0 3 + [ ( 1024   Q 4 v 2 101376   Q 4 ) b 0 7 15360   Q 4 b 0 5 ] b 2 2 } b 4 + Q 12 } ,
b 14 = 1 7340032   b 0 14 ( v b 0 b 0 1 ) { ( 196608   Q 2 v 2 b 12 + 1572864   Q 2 v b 12 5505024   Q 2 b 12 ) b 0 13 + ( 90112   Q 2 v b 12 1351680   Q 2 b 12 ) b 0 12 8192   Q 2 b 12 b 0 11 + 32256   Q 6 b 2 4 b 0 4 + [ ( 131072   Q 2 v 2 + 1540096   Q 2 v 7274496   Q 2 ) b 0 8 + ( 90112   Q 2 v + 1351680   Q 2 ) b 0 7 + 28672   Q 2 b 0 6 ] b 2 6 7680   Q 8 b 2 3 b 0 3 + [ ( 26624   Q 4 v 2 2004992   Q 4 ) b 0 7 57344   Q 4 b 0 5 ] b 2 5 + 880   Q 10 b 2 2 b 0 2 + [ ( 196608   Q 2 v 2 1835008   Q 2 v + 14417920   Q 2 ) b 0 11 + ( 90112   Q 2 v 1351680   Q 2 ) b 0 10 16384   Q 2 b 0 9 ] b 4 3 + [ ( 196608   Q 2 v 2 + 1277952   Q 2 v 16711680   Q 2 ) b 0 12 + ( 90112   Q 2 v + 1351680   Q 2 ) b 0 11 + 12288   Q 2 b 0 10 ] b 6 2 + { 5376   Q 6 b 0 6 + [ ( 983040   Q 2 v 2 + 10125312   Q 2 v 65077248   Q 2 ) b 0 10 + ( 540672   Q 2 v + 8110080   Q 2 ) b 0 9 + 122880   Q 2 b 0 8 ] b 2 2 + [ ( 20480   Q 4 v 2 2502656   Q 4 ) b 0 9 61440   Q 4 b 0 7 ] b 2 } b 4 2 + { ( 28311552   v + 99090432 ) b 4 b 0 14 + ( 18432   Q 4 v 2 + 718848   Q 4 ) b 0 11 4096   Q 4 b 0 9 + ( ( 131072   Q 2 v 2 + 720896   Q 2 v 10878976   Q 2 ) b 0 12 + ( 180224   Q 2 v + 2703360   Q 2 ) b 0 11 + 24576   Q 2 b 0 10 ) b 2 } b 10 + [ ( 32505856   v + 130023424 ] b 6 b 0 14 1536   Q 6 b 0 7 + [ ( 393216   Q 2 v 2 3342336   Q 2 v + 27131904   Q 2 ) b 0 11 + ( 270336   Q 2 v 4055040   Q 2 ) b 0 10 49152   Q 2 b 0 9 ] b 2 2 + [ ( 327680   Q 2 v 2 + 2097152   Q 2 v 27000832   Q 2 ) b 0 12 + ( 180224   Q 2 v + 2703360   Q 2 ) b 0 11 + 24576   Q 2 b 0 10 ] b 4 + [ ( 22528   Q 4 v 2 649216   Q 4 ) b 0 10 + 20480   Q 4 b 0 8 ] b 2 } b 8 + { 10752   Q 6 b 2 b 0 6 512   Q 8 b 0 5 + [ ( 589824   Q 2 v 2 + 5898240   Q 2 v 38535168   Q 2 ) b 0 10 + ( 360448   Q 2 v + 5406720   Q 2 ) b 0 9 + 81920   Q 2 b 0 8 ] b 2 3 + [ ( 4096   Q 4 v 2 1355776   Q 4 ) b 0 9 61440   Q 4 b 0 7 ] b 2 2 + { ( 6144   Q 4 v 2 + 497664   Q 4 ) b 0 10 + 20480   Q 4 b 0 8 + [ ( 1048576   Q 2 v 2 9306112   Q 2 v + 76808192   Q 2 ) b 0 11 + ( 540672   Q 2 v 8110080   Q 2 ) b 0 10 98304   Q 2 b 0 9 ] b 2 } b 4 } b 6 + { 43008   Q 6 b 2 2 b 0 5 + 4608   Q 8 b 2 b 0 4 + [ ( 720896   Q 2 v 2 7995392   Q 2 v + 43515904   Q 2 ) b 0 9 + ( 450560   Q 2 v 6758400   Q 2 ) b 0 8 122880   Q 2 b 0 7 ] b 2 4 + [ ( 61440   Q 4 v 2 + 5296128   Q 4 ) b 0 8 + 143360   Q 4 b 0 6 ] b 2 3 160   Q 10 b 0 3 } b 4 + [ ( 19922944   v b 12 + 49807360   b 12 ) b 0 14 48   Q 12 b 0 ] b 2 + Q 14 } ,
c 2 = Q 4   b 0 ,
c 4 = Q 3 512   b 0 4 ( v b 0 b 0 1 ) [ ( 2   v 2 4   v + 2   ) b 0 2 + ( 2   2   v ) b 0 + 1 ] ,
c 6 = Q 5 147456   b 0 7 ( v b 0 b 0 1 ) 3 [ ( 8   v 5 128   v 4 + 240   v 3 32   v 2 184   v + 96 )   b 0 5   + ( 24   v 4 + 360   v 3 360   v 2 264   v + 288   ) b 0 4 + ( 44   v 3 420   v 2 + 132   v + 244   ) b 0 3   + ( 232   v 42   v 2 + 2   ) b 0 2 + ( 22   v 60   ) b 0 5 ] ,
c 8 = Q 7 75497472   b 0 10 ( v b 0 b 0 1 ) 5 [ ( 3216   v 7 15408   v 6 + 24912   v 5 6000   v 4 29520   v 3   + 39024   v 2 20112   v + 3888   ) b 0 8 + ( 16080   v 6 + 60960   v 5 63600   v 4 33600   v 3   + 114000   v 2 81120   v + 19440   ) b 0 7 + ( 428   v 6 + 38288   v 5 108684   v 4 + 60416   v 3   + 94396   v 2 124176   v + 40188   ) b 0 6 + ( 1336   v 5 53608   v 4 + 109296   v 3 19600   v 2   80936   v + 43512 )   b 0 5 + ( 2096   v 4 + 47964   v 3 65748   v 2 4012   v + 23892   ) b 0 4   + ( 1948   v 3 27136   v 2 + 22492   v + 2696 )   b 0 3 + ( 1117   v 2 + 9128   v 3815 )   b 0 2   + ( 370   v 1410   ) b 0 55 ] ,
c 10 = Q 9 60397977600   b 0 13 ( v b 0 b 0 1 ) 7 [ ( 1600   v 11 + 72480   v 10 960960   v 9 + 3537120   v 8   4771200   v 7 880320   v 6   + 9475200   v 5 9445440   v 4 + 1308480   v 3 + 3600800   v 2   2431680   v   + 493920   ) b 0 11 + ( 11200   v 10 518560   v 9 + 6208160   v 8 18551680   v 7   + 14846720   v 6 + 21008960   v 5 45317440   v 4 + 20800640   v 3 + 11641280   v 2   13564320   v + 3457440 )   b 0 10 + ( 23336   v 9 + 1969928   v 8 19393216   v 7     + 44830592   v 6 13689520   v 5 66084016   v 4 + 71105792   v 3 1117504   v 2   27499192   v + 9853800   ) b 0 9 + ( 17456   v 8 4713840   v 7 + 37036272   v 6   63503984   v 5 7305840   v 4 + 89499696   v 3 45688880   v 2 19459152   v   + 14153184 ) b 0 8 + ( 33980   v 7 + 7727068   v 6 47283244   v 5 + 57453900   v 4   + 25152780   v 3 62541740   v 2 + 10101212   v + 9424004 ) b 0 7   + ( 116760   v 6   8919720   v 5 + 41681104   v 4 34006096   v 3 21915336   v 2 + 23022584   v   + 20704 ) b 0 6 + ( 172946   v 5 + 7335694   v 4 25480732   v 3 + 12969284   v 2   + 9123182   v 3774482 )   b 0 5 + ( 159544   v 4 4242372   v 3 + 10451396   v 2   2963324   v 1562044   ) b 0 4 + ( 97851   v 3   + 1657497   v 2 2644289   v   + 355355 )   b 0 3 + ( 39292   v 2 396104   v + 316660 ) b 0 2 + ( 9469   v + 44047 )   b 0 + 1050 ] ,
c 12 = 1 12   b 0 ( 14   Q c 2 10 80   Q c 2 7 c 4 + 36   Q c 2 5 c 6 + 120   Q c 2 4 c 4 2 16   Q c 2 3 c 8   72   Q c 2 2 c 4 c 6 32   Q c 2 c 4 3 + 10   Q c 2 c 10 + 16   Q c 4 c 8 + 9   Q c 6 2 + 10   b 2 c 10 + 8   b 4 c 8   + 6   b 6 c 6 + 4   b 8 c 4 + 2   b 10 c 2 ) ,
c 14 = 1 7   b 0 ( 21   Q c 2 12 140   Q c 2 9 c 4 + 60   Q c 2 7 c 6 + 280   Q c 2 6 c 4 2 24   Q c 2 5 c 8 180   Q c 2 4 c 4 c 6   160   Q c 2 3 c 4 3 + 10   Q c 2 3 c 10 + 48   Q c 2 2 c 4 c 8 + 27   Q c 2 2 c 6 2 + 72   Q c 2 c 4 2 c 6 + 8   Q c 4 4 6   Q c 2 c 12   10   Q c 4 c 10 12   Q c 6 c 8 6   b 2 c 12 5   b 4 c 10 4   b 6 c 8 3   b 8 c 6 2   b 10 c 4 b 12 c 2 ) .

References

  1. Bernardo, P.; Iulianelli, A.; Macedonio, F.; Drioli, E. Membrane technologies for space engineering. J. Membr. Sci. 2021, 626, 119177. [Google Scholar] [CrossRef]
  2. Suresh, K.; Katara, N. Design and development of circular ceramic membrane for wastewater treatment. Mater. Today Proc. 2021, 43, 2176–2181. [Google Scholar] [CrossRef]
  3. Tai, Y.; Zhou, K.; Chen, N. Dynamic Properties of Microresonators with the Bionic Structure of Tympanic Membrane. Sensors 2020, 20, 6958. [Google Scholar] [CrossRef] [PubMed]
  4. Molla-Alipour, M.; Ganji, B.A. Analytical analysis of mems capacitive pressure sensor with circular diaphragm under dynamic load using differential transformation method (DTM). Acta Mech. Solida Sin. 2015, 28, 400–408. [Google Scholar] [CrossRef]
  5. Yashaswini, P.R.; Mamatha, N.; Srikanth, P.C. Circular diaphragm-based MOEMS pressure sensor using ring resonator. Int. J. Inf. Technol. 2020, 13, 213–220. [Google Scholar] [CrossRef]
  6. Gabbi, R.; Rasia, L.A.; Müller, D.C.D.M.; Beltrán, J.R.; Silva, J.A.G.D.; Reimbold, M.M.P. Practical Approach Design Piezoresistive Pressure Sensor in Circular Diaphragm. J. Mater. Sci. Eng. B 2019, 9, 85–91. [Google Scholar]
  7. Lian, Y.S.; Sun, J.Y.; Ge, X.M.; Yang, Z.X.; He, X.T.; Zheng, Z.L. A theoretical study of an improved capacitive pressure sensor: Closed-form solution of uniformly loaded annular membranes. Measurement 2017, 111, 84–92. [Google Scholar] [CrossRef]
  8. Lian, Y.S.; Sun, J.Y.; Zhao, Z.H.; Li, S.Z.; Zheng, Z.L. A refined theory for characterizing adhesion of elastic coatings on rigid substrates based on pressurized blister test methods: Closed-form solution and energy release rate. Polymers 2020, 12, 1788. [Google Scholar] [CrossRef]
  9. Li, X.; Sun, J.Y.; Shi, B.B.; Zhao, Z.H.; He, X.T. A theoretical study on an elastic polymer thin film-based capacitive wind-pressure sensor. Polymers 2020, 12, 2133. [Google Scholar] [CrossRef]
  10. Jindal, S.K.; Varma, M.A.; Thukral, D. Comprehensive assessment of MEMS double touch mode capacitive pressure sensor on utilization of SiC film as primary sensing element: Mathematical modelling and numerical simulation. Microelectron. J. 2018, 73, 30–36. [Google Scholar] [CrossRef]
  11. Lee, H.Y.; Choi, B. Theoretical and experimental investigation of the trapped air effect on air-sealed capacitive pressure sensor. Sens. Actuator A-Phys. 2015, 221, 104–114. [Google Scholar] [CrossRef]
  12. Shu, J.F.; Yang, R.R.; Chang, Y.Q.; Guo, X.Q.; Yang, X. A flexible metal thin film strain sensor with micro/nano structure for large deformation and high sensitivity strain measurement. J. Alloys Compd. 2021, 879, 160466. [Google Scholar] [CrossRef]
  13. Zhang, D.Z.; Jiang, C.X.; Tong, J.; Zong, X.Q.; Hu, W. Flexible Strain Sensor Based on Layer-by-Layer Self-Assembled Graphene/Polymer Nanocomposite Membrane and Its Sensing Properties. J. Electron. Mater. 2018, 47, 2263–2270. [Google Scholar] [CrossRef]
  14. Han, X.D.; Li, G.; Xu, M.H.; Ke, X.; Chen, H.Y.; Feng, Y.J.; Yan, H.P.; Li, D.T. Differential MEMS capacitance diaphragm vacuum gauge with high sensitivity and wide range. Vacuum 2021, 191, 110367. [Google Scholar] [CrossRef]
  15. Chau, K.H.L.; Fung, C.D.; Harris, P.R.; Dahrooge, G.A. A versatile polysilicon diaphragm pressure sensor chip. In Proceedings of the International Electron Devices Meeting 1991 [Technical Digest], Washington, DC, USA, 8–11 December 1991; pp. 761–764. [Google Scholar]
  16. Marsi, N.; Majlis, B.Y.; Hamzah, A.A.; Mohd-Yasin, F. Development of high temperature resistant of 500 °C employing silicon carbide (3C-SiC) based MEMS pressure sensor. Microsyst. Technol. 2015, 21, 319–330. [Google Scholar] [CrossRef]
  17. Tang, W.; Zheng, B.X.; Liu, L.; Chen, Z.; Zhang, H.X. Complementary metal-oxide semiconductor-compatible silicon carbide pressure sensors based on bulk micromachining. Micro Nano Lett. 2011, 6, 265–268. [Google Scholar] [CrossRef]
  18. Fonseca, M.; Allen, G.; Kroh, J.; White, J. Flexible wireless passive pressure sensors for biomedical applications. In Proceedings of the 2006 Solid-State, Actuators, and Microsystems Workshop, Hilton Head Island, SC, USA, 4–8 June 2006; pp. 37–42. [Google Scholar]
  19. Xiong, J.J.; Li, Y.; Hong, Y.P.; Zhang, B.Z.; Cui, T.H.; Tan, Q.L.; Zheng, S.J.; Liang, T. Wireless LTCC-based capacitive pressure sensor for harsh environment. Sens. Actuator A-Phys. 2013, 197, 30–37. [Google Scholar] [CrossRef]
  20. Berger, C.N.; Dirschka, M.; Vijayaraghavan, A. Ultra-thin graphene–polymer heterostructure membranes. Nanoscale 2016, 8, 17928–17939. [Google Scholar] [CrossRef] [Green Version]
  21. Lee, G.H.; Cooper, R.C.; An, S.J.; Lee, S.; van der Zande, A.; Petrone, N.; Hammerherg, A.G.; Lee, C.; Crawford, B.; Oliver, W.; et al. High-strength chemical-vapor-deposited graphene and grain boundaries. Science 2013, 340, 1073–1076. [Google Scholar] [CrossRef]
  22. Akinwande, D.; Brennan, C.J.; Bunch, J.S.; Egberts, P.; Felts, J.R.; Gao, H.J.; Huang, R.; Kim, J.S.; Li, T.; Li, Y.; et al. A review on mechanics and mechanical properties of 2D materials—Graphene and beyond. Extrem. Mech. Lett. 2017, 13, 42–77. [Google Scholar] [CrossRef] [Green Version]
  23. Berger, C.; Phillips, R.; Pasternak, I.; Sobieski, J.; Strupinski, W.; Vijayaraghavan, A. Touch-mode capacitive pressure sensor with graphene-polymer heterostructure membrane. 2D Mater. 2018, 5, 015025. [Google Scholar] [CrossRef]
  24. Puers, R. Capacitive sensors: When and how to use them. Sens. Actuator A-Phys. 1993, 37–38, 93–105. [Google Scholar] [CrossRef]
  25. Rosengren, L.; Siiderkvist, J.; Smith, L. Micromachined sensor structures with linear capacitive response. Sens. Actuator A-Phys. 1992, 31, 200–205. [Google Scholar] [CrossRef]
  26. Sandmaier, H. Non-linear analytical modelling of bossed diaphragms for pressure sensors. Sens. Actuator A-Phys. 1991, 25–27, 815–819. [Google Scholar] [CrossRef]
  27. Jerman, J.H. The fabrication and use of micromachined corrugated silicon diaphragms. Sens. Actuator A-Phys. 1990, 23, 988–992. [Google Scholar] [CrossRef]
  28. Prudenziati, M. Thick-film technology. Sens. Actuator A-Phys. 1991, 25, 227–234. [Google Scholar] [CrossRef]
  29. Crescini, D.; Ferrari, V.; Marioli, D.; Taroni, A. A thick-film capacitive pressure sensor with improved linearity due to electrode-shaping and frequency conversion. Meas. Sci. Technol. 1997, 8, 71–77. [Google Scholar] [CrossRef]
  30. Ko, W.H.; Wang, Q. Touch mode capacitive pressure sensors. Sens. Actuator A-Phys. 1999, 75, 242–251. [Google Scholar] [CrossRef]
  31. Wang, Q.; Ko, W.H. Modeling of touch mode capacitive sensors and diaphragms. Sens. Actuator A-Phys. 1999, 75, 230–241. [Google Scholar] [CrossRef]
  32. Jindal, S.K.; Varma, M.A.; Thukral, D. Study of MEMS touch-mode capacitive pressure sensor utilizing flexible sic circular diaphragm: Robust design, theoretical modeling, numerical simulation and performance comparison. J. Circuits Syst. Comput. 2019, 28, 1950206. [Google Scholar] [CrossRef]
  33. Daigle, M.; Corcos, J.; Wu, K. An analytical solution to circular touch mode capacitor. IEEE Sens. J. 2007, 7, 502–505. [Google Scholar] [CrossRef]
  34. Omi, T.; Horibata, K.; Sato, F.; Takeuchi, M. Capacitive pressure sensor with center clamped diaphragm. IEICE Trans. Electron. 1997, E80C, 263–268. [Google Scholar]
  35. Barun, K.; Joseph, E. Linearization techniques for capacitive sensors. In Proceedings of the Micromachined Devices and Components, Austin, TX, USA, 23–24 October 1995; pp. 206–214. [Google Scholar]
  36. Li, X.; Sun, J.Y.; Zhao, Z.H.; Li, S.Z.; He, X.T. A new solution to well-known Hencky problem: Improvement of in-plane equilibrium equation. Mathematics 2020, 8, 653. [Google Scholar] [CrossRef]
  37. Lian, Y.S.; Sun, J.Y.; Zhao, Z.H.; He, X.T.; Zheng, Z.L. A revisit of the boundary value problem for Föppl–Hencky membranes: Improvement of geometric equations. Mathematics 2020, 8, 631. [Google Scholar] [CrossRef] [Green Version]
  38. Sun, J.Y.; Qian, S.H.; Li, Y.M.; He, X.T.; Zheng, Z.L. Theoretical study of adhesion energy measurement for film/substrate interface using pressurized blister test: Energy release rate. Measurement 2013, 46, 2278–2287. [Google Scholar] [CrossRef]
Figure 1. Sketch of the structure and modes of operation of a membrane elastic deflection-based capacitive pressure sensor: (a) the initial status without application of the pressure q, (b) non-touch mode of operation under the pressure q, and (c) touch mode of operation under the pressure q.
Figure 1. Sketch of the structure and modes of operation of a membrane elastic deflection-based capacitive pressure sensor: (a) the initial status without application of the pressure q, (b) non-touch mode of operation under the pressure q, and (c) touch mode of operation under the pressure q.
Polymers 14 03087 g001
Figure 2. Sketch of the capacitive pressure sensor: (a) initial state and (b) operating state.
Figure 2. Sketch of the capacitive pressure sensor: (a) initial state and (b) operating state.
Polymers 14 03087 g002
Figure 3. Sketch of the micro area element ABCD taken from the substrate electrode plate.
Figure 3. Sketch of the micro area element ABCD taken from the substrate electrode plate.
Polymers 14 03087 g003
Figure 4. Variation of maximum deflection wm with pressure q.
Figure 4. Variation of maximum deflection wm with pressure q.
Polymers 14 03087 g004
Figure 5. Variation of maximum stress σm with pressure q.
Figure 5. Variation of maximum stress σm with pressure q.
Polymers 14 03087 g005
Figure 6. Variations of pressure q with capacitance C, when a = 100 mm, h = 1 mm, E = 7.84 MPa, ν = 0.47, t = 0.1 mm, and g = 41 mm, 45 mm and 51 mm.
Figure 6. Variations of pressure q with capacitance C, when a = 100 mm, h = 1 mm, E = 7.84 MPa, ν = 0.47, t = 0.1 mm, and g = 41 mm, 45 mm and 51 mm.
Polymers 14 03087 g006
Figure 7. Least-squares fitting of the relationships between q and C in Figure 6.
Figure 7. Least-squares fitting of the relationships between q and C in Figure 6.
Polymers 14 03087 g007
Figure 8. Variations of pressure q with capacitance C, when a = 100 mm, h = 1.5 mm, E = 7.84 MPa, ν = 0.47, t = 0.1 mm, and g = 41 mm, 46 mm and 51 mm.
Figure 8. Variations of pressure q with capacitance C, when a = 100 mm, h = 1.5 mm, E = 7.84 MPa, ν = 0.47, t = 0.1 mm, and g = 41 mm, 46 mm and 51 mm.
Polymers 14 03087 g008
Figure 9. Least-squares fitting of the relationships between q and C in Figure 8.
Figure 9. Least-squares fitting of the relationships between q and C in Figure 8.
Polymers 14 03087 g009
Figure 10. Variations of pressure q with capacitance C, when a = 100 mm, h = 2 mm, E = 7.84 MPa, ν = 0.47, t = 0.1 mm, and g = 41 mm, 46 mm and 51 mm.
Figure 10. Variations of pressure q with capacitance C, when a = 100 mm, h = 2 mm, E = 7.84 MPa, ν = 0.47, t = 0.1 mm, and g = 41 mm, 46 mm and 51 mm.
Polymers 14 03087 g010
Figure 11. Least-squares fitting of the relationships between q and C in Figure 10.
Figure 11. Least-squares fitting of the relationships between q and C in Figure 10.
Polymers 14 03087 g011
Figure 12. The effect of changing the membrane thickness h on Function 1 in Table 5, Table 7 and Table 9 (fitted by a straight line).
Figure 12. The effect of changing the membrane thickness h on Function 1 in Table 5, Table 7 and Table 9 (fitted by a straight line).
Polymers 14 03087 g012
Figure 13. The effect of changing the membrane thickness h on Function 2 in Table 5, Table 7 and Table 9 (fitted by a quadratic function).
Figure 13. The effect of changing the membrane thickness h on Function 2 in Table 5, Table 7 and Table 9 (fitted by a quadratic function).
Polymers 14 03087 g013
Figure 14. The effect of changing the membrane thickness h on Function 3 in Table 5, Table 7 and Table 9 (fitted by a cubic function).
Figure 14. The effect of changing the membrane thickness h on Function 3 in Table 5, Table 7 and Table 9 (fitted by a cubic function).
Polymers 14 03087 g014
Figure 15. The effect of changing the membrane thickness h on Function 4 in Table 5, Table 7 and Table 9 (fitted by a quartic function).
Figure 15. The effect of changing the membrane thickness h on Function 4 in Table 5, Table 7 and Table 9 (fitted by a quartic function).
Polymers 14 03087 g015
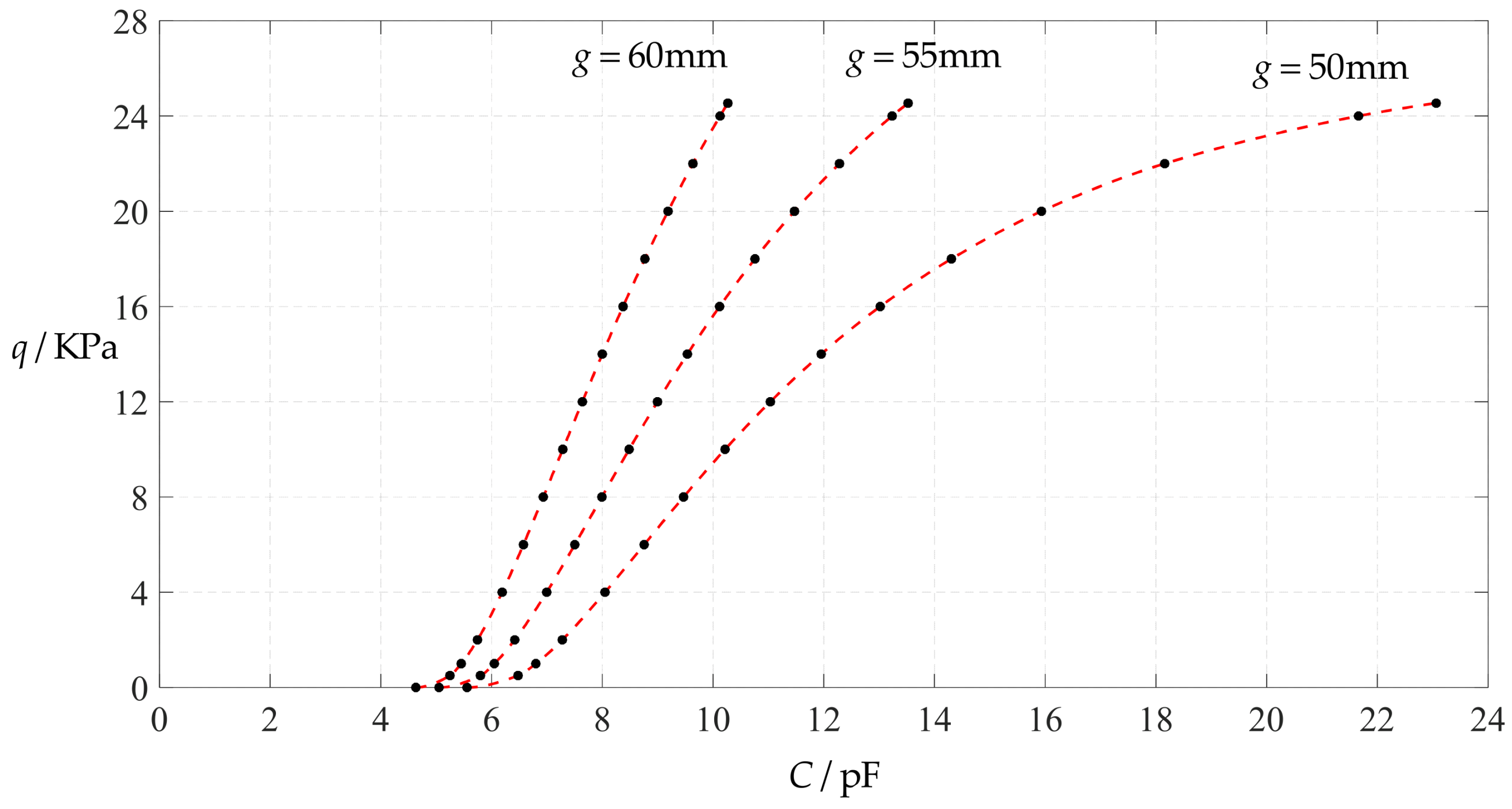
Figure 16. Variations of pressure q with capacitance C, when a = 100 mm, h = 1 mm, E = 5 MPa, ν = 0.47, t = 0.1 mm and g = 41 mm, 46 mm and 51 mm.
Figure 16. Variations of pressure q with capacitance C, when a = 100 mm, h = 1 mm, E = 5 MPa, ν = 0.47, t = 0.1 mm and g = 41 mm, 46 mm and 51 mm.
Polymers 14 03087 g016
Figure 17. Least-squares fitting of the relationships between q and C in Figure 16.
Figure 17. Least-squares fitting of the relationships between q and C in Figure 16.
Polymers 14 03087 g017
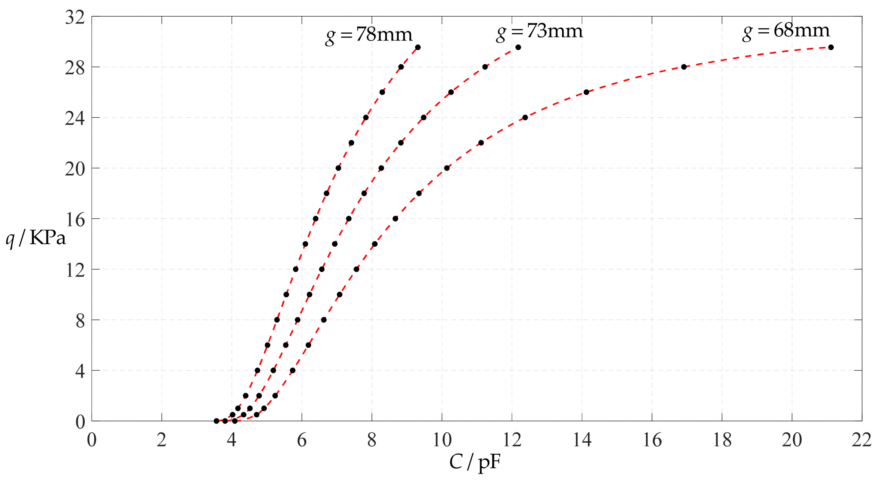
Figure 18. Variations of pressure q with capacitance C, when a = 100 mm, h = 1 mm, E = 2.5 MPa, ν = 0.47, t = 0.1 mm, and g = 68 mm, 73 mm and 78 mm.
Figure 18. Variations of pressure q with capacitance C, when a = 100 mm, h = 1 mm, E = 2.5 MPa, ν = 0.47, t = 0.1 mm, and g = 68 mm, 73 mm and 78 mm.
Polymers 14 03087 g018
Figure 19. Least-squares fitting of the relationships between q and C in Figure 18.
Figure 19. Least-squares fitting of the relationships between q and C in Figure 18.
Polymers 14 03087 g019
Figure 20. The effect of changing the Young’s modulus of elasticity E on Function 1 in Table 5, Table 11 and Table 13 (fitted by a straight line).
Figure 20. The effect of changing the Young’s modulus of elasticity E on Function 1 in Table 5, Table 11 and Table 13 (fitted by a straight line).
Polymers 14 03087 g020
Figure 21. The effect of changing the Young’s modulus of elasticity E on Function 2 in Table 5, Table 11 and Table 13 (fitted by a quadratic function).
Figure 21. The effect of changing the Young’s modulus of elasticity E on Function 2 in Table 5, Table 11 and Table 13 (fitted by a quadratic function).
Polymers 14 03087 g021
Figure 22. The effect of changing the Young’s modulus of elasticity E on Function 3 in Table 5, Table 11 and Table 13 (fitted by a cubic function).
Figure 22. The effect of changing the Young’s modulus of elasticity E on Function 3 in Table 5, Table 11 and Table 13 (fitted by a cubic function).
Polymers 14 03087 g022
Figure 23. The effect of changing the Young’s modulus of elasticity E on Function 4 in Table 5, Table 11 and Table 13 (fitted by a quartic function).
Figure 23. The effect of changing the Young’s modulus of elasticity E on Function 4 in Table 5, Table 11 and Table 13 (fitted by a quartic function).
Polymers 14 03087 g023
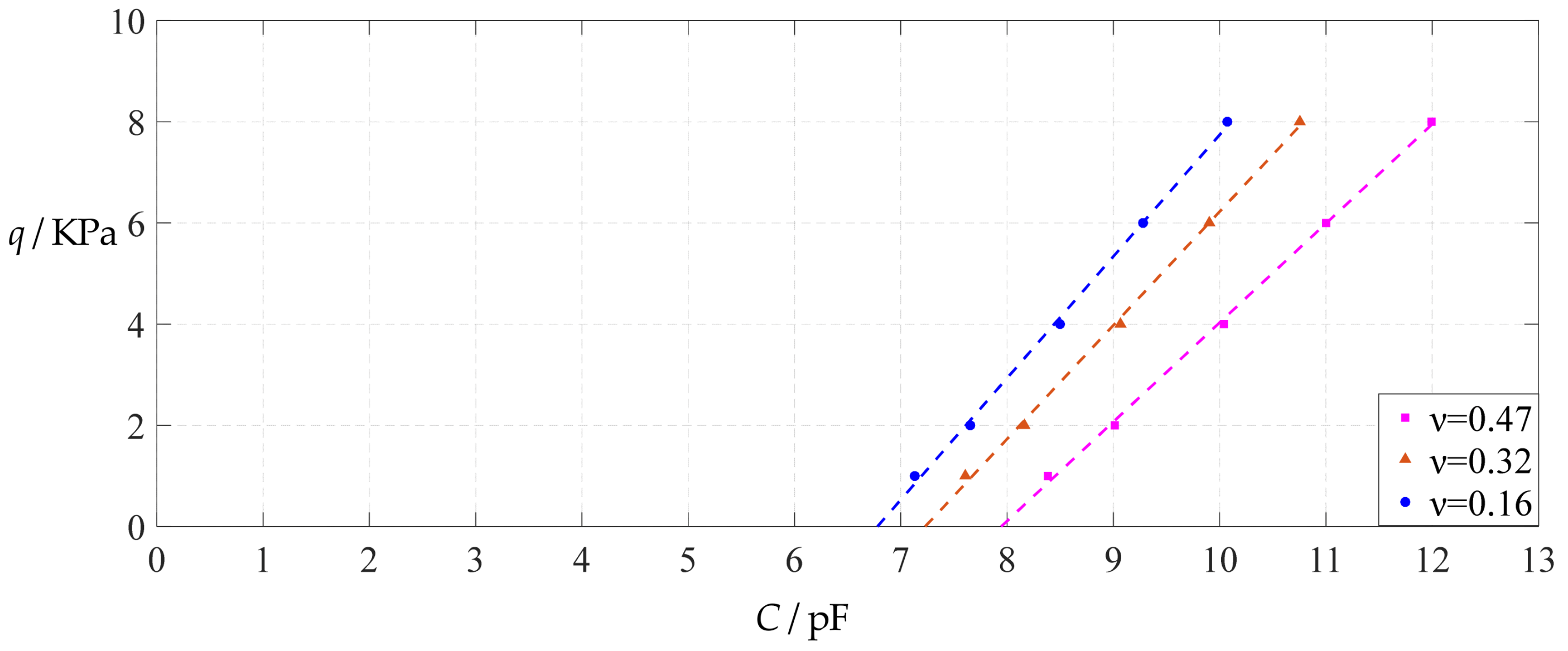
Figure 24. Variations of pressure q with capacitance C, when a = 100 mm, h = 1 mm, E = 7.84 MPa, ν = 0.32, t = 0.1 mm and g = 45 mm, 50 mm and 55 mm.
Figure 24. Variations of pressure q with capacitance C, when a = 100 mm, h = 1 mm, E = 7.84 MPa, ν = 0.32, t = 0.1 mm and g = 45 mm, 50 mm and 55 mm.
Polymers 14 03087 g024
Figure 25. Least-squares fitting of the relationships between q and C in Figure 24.
Figure 25. Least-squares fitting of the relationships between q and C in Figure 24.
Polymers 14 03087 g025
Figure 26. Variations of pressure q with capacitance C, when a = 100 mm, h = 1 mm, E = 7.84 MPa, ν = 0.16, t = 0.1 mm and g = 48 mm, 53 mm and 58 mm.
Figure 26. Variations of pressure q with capacitance C, when a = 100 mm, h = 1 mm, E = 7.84 MPa, ν = 0.16, t = 0.1 mm and g = 48 mm, 53 mm and 58 mm.
Polymers 14 03087 g026
Figure 27. Least-squares fitting of the relationships between q and C in Figure 26.
Figure 27. Least-squares fitting of the relationships between q and C in Figure 26.
Polymers 14 03087 g027
Figure 28. The effect of changing the Poisson’s ratio v on Function 1 in Table 5, Table 15 and Table 17 (fitted by a straight line).
Figure 28. The effect of changing the Poisson’s ratio v on Function 1 in Table 5, Table 15 and Table 17 (fitted by a straight line).
Polymers 14 03087 g028
Figure 29. The effect of changing the Poisson’s ratio v on Function 2 in Table 5, Table 15 and Table 17 (fitted by a quadratic function).
Figure 29. The effect of changing the Poisson’s ratio v on Function 2 in Table 5, Table 15 and Table 17 (fitted by a quadratic function).
Polymers 14 03087 g029
Figure 30. The effect of changing the Poisson’s ratio v on Function 3 in Table 5, Table 15 and Table 17 (fitted by a cubic function).
Figure 30. The effect of changing the Poisson’s ratio v on Function 3 in Table 5, Table 15 and Table 17 (fitted by a cubic function).
Polymers 14 03087 g030
Figure 31. The effect of changing the Poisson’s ratio v on Function 4 in Table 5, Table 15 and Table 17 (fitted by a quartic function).
Figure 31. The effect of changing the Poisson’s ratio v on Function 4 in Table 5, Table 15 and Table 17 (fitted by a quartic function).
Polymers 14 03087 g031
Figure 32. Variations of pressure q with capacitance C, when a = 100 mm, h = 1 mm, E = 7.84 MPa, ν = 0.47, t = 1 mm and g = 41 mm, 46 mm and 51 mm.
Figure 32. Variations of pressure q with capacitance C, when a = 100 mm, h = 1 mm, E = 7.84 MPa, ν = 0.47, t = 1 mm and g = 41 mm, 46 mm and 51 mm.
Polymers 14 03087 g032
Figure 33. Least-squares fitting of the relationships between q and C in Figure 32.
Figure 33. Least-squares fitting of the relationships between q and C in Figure 32.
Polymers 14 03087 g033
Figure 34. Variations of pressure q with capacitance C, when a = 100 mm, h = 1 mm, E = 7.84 MPa, ν = 0.47, t = 10 mm and g = 41 mm, 46 mm and 51 mm.
Figure 34. Variations of pressure q with capacitance C, when a = 100 mm, h = 1 mm, E = 7.84 MPa, ν = 0.47, t = 10 mm and g = 41 mm, 46 mm and 51 mm.
Polymers 14 03087 g034
Figure 35. Least-squares fitting of the relationships between q and C in Figure 34.
Figure 35. Least-squares fitting of the relationships between q and C in Figure 34.
Polymers 14 03087 g035
Figure 36. The effect of changing the insulator layer thickness t on Function 1 in Table 5, Table 19 and Table 21 (fitted by a straight line).
Figure 36. The effect of changing the insulator layer thickness t on Function 1 in Table 5, Table 19 and Table 21 (fitted by a straight line).
Polymers 14 03087 g036
Figure 37. The effect of changing the insulator layer thickness t on Function 2 in Table 5, Table 19 and Table 21 (fitted by a quadratic function).
Figure 37. The effect of changing the insulator layer thickness t on Function 2 in Table 5, Table 19 and Table 21 (fitted by a quadratic function).
Polymers 14 03087 g037
Figure 38. The effect of changing the insulator layer thickness t on Function 3 in Table 5, Table 19 and Table 21 (fitted by a cubic function).
Figure 38. The effect of changing the insulator layer thickness t on Function 3 in Table 5, Table 19 and Table 21 (fitted by a cubic function).
Polymers 14 03087 g038
Figure 39. The effect of changing the insulator layer thickness t on Function 4 in Table 5, Table 19 and Table 21 (fitted by a quartic function).
Figure 39. The effect of changing the insulator layer thickness t on Function 4 in Table 5, Table 19 and Table 21 (fitted by a quartic function).
Polymers 14 03087 g039
Table 1. The calculation results of b0 and c0, wm and σm for a = 100 mm, h = 1 mm, E = 7.84 MPa and ν = 0.47.
Table 1. The calculation results of b0 and c0, wm and σm for a = 100 mm, h = 1 mm, E = 7.84 MPa and ν = 0.47.
q/KPab0c0wm/mmσm/MPa
00.0000000.0000000.0000.000
0.50.0158190.11237411.2370.124
10.0252510.14172914.1730.198
20.0404430.17883917.8840.317
40.0651190.22579322.5790.511
60.0863620.25884125.8840.677
80.1057510.28519428.5190.829
100.1239330.30746530.7470.972
120.1412470.32693732.6941.107
140.1579010.34435134.4351.238
160.1740300.36017536.0181.364
180.1897290.37473237.4731.487
200.2050680.38825238.8251.608
21.2250.2143080.39669639.6701.680
220.2200990.40090640.0911.726
240.2348620.41282641.2831.841
260.2493890.42411642.4121.955
280.2637070.43485943.4862.067
300.2778380.44512344.5122.178
320.2917980.45496545.4962.288
340.3056030.46443246.4432.396
Table 2. The calculation results of the coefficients c2i (i = 0, 1, 2, 3) for a = 100 mm, h = 1 mm, E = 7.84 MPa and ν = 0.47.
Table 2. The calculation results of the coefficients c2i (i = 0, 1, 2, 3) for a = 100 mm, h = 1 mm, E = 7.84 MPa and ν = 0.47.
q/KPac0c2c4c6
00.0000000.0000000.0000000.000000
0.50.112374−0.100790−0.009047−1.854564 × 10−3
10.141729−0.126281−0.011851−2.564440 × 10−3
20.178839−0.157694−0.015787−3.678232 × 10−3
40.225793−0.195873−0.021459−5.497780 × 10−3
60.258841−0.221541−0.025922−7.084793 × 10−3
80.285194−0.241228−0.029749−8.541169 × 10−3
100.307465−0.257299−0.033155−9.905430 × 10−3
120.326937−0.270910−0.036253−1.119777 × 10−2
140.344351−0.282727−0.039109−1.243081 × 10−2
160.360175−0.293170−0.041768−1.361335 × 10−2
180.374732−0.302525−0.044262−1.475200 × 10−2
200.388252−0.310997−0.046617−1.585194 × 10−2
21.2250.396696−0.315815−0.047998−1.650838 × 10−2
Table 3. The calculation results of the coefficients c2i (i = 4, 5, 6, 7) for a = 100 mm, h = 1 mm, E = 7.84 MPa and ν = 0.47.
Table 3. The calculation results of the coefficients c2i (i = 4, 5, 6, 7) for a = 100 mm, h = 1 mm, E = 7.84 MPa and ν = 0.47.
q/KPac8c10c12c14
00.0000000.0000000.0000000.000000
0.5−4.789369 × 10−4−1.389200 × 10−4−4.326591 × 10−5−1.414301 × 10−5
1−7.036597 × 10−4−2.176087 × 10−4−7.241011 × 10−5−2.532468 × 10−5
2−1.094379 × 10−3−3.682477 × 10−4−1.335929 × 10−4−5.100339 × 10−5
4−1.810971 × 10−3−6.767557 × 10−4−2.731357 × 10−4−1.161416 × 10−4
6−2.497975 × 10−3−1.000748 × 10−3−4.333885 × 10−4−1.978624 × 10−4
8−3.169617 × 10−3−1.337792 × 10−3−6.107136 × 10−4−2.940391 × 10−4
10−3.829440 × 10−3−1.684867 × 10−3−8.021195 × 10−4−4.028732 × 10−4
12−4.478700 × 10−3−2.039522 × 10−3−1.005254 × 10−3−5.228583 × 10−4
14−5.118047 × 10−3−2.399892 × 10−3−1.218271 × 10−3−6.527353 × 10−4
16−5.747980 × 10−3−2.764584 × 10−3−1.439715 × 10−3−7.914557 × 10−4
18−6.368975 × 10−3−3.132569 × 10−3−1.668442 × 10−3−9.381483 × 10−4
20−6.981522 × 10−3−3.503093 × 10−3−1.903546 × 10−3−1.092091 × 10−3
21.225−7.352749 × 10−3−3.731051 × 10−3−2.050382 × 10−3−1.189700 × 10−3
Table 4. The calculation results for a = 100 mm, h = 1 mm, E = 7.84 MPa, ν = 0.47, t = 0.1 mm, and g = 41 mm, 46 mm and 51 mm.
Table 4. The calculation results for a = 100 mm, h = 1 mm, E = 7.84 MPa, ν = 0.47, t = 0.1 mm, and g = 41 mm, 46 mm and 51 mm.
q/KPawm/mmσm/MPaC/pF
g = 41 mmg = 46 mmg = 51 mm
0006.7756.0395.447
0.511.2370.1247.9656.9616.182
114.1730.1988.3847.2736.424
217.8840.3179.0137.7306.772
422.5790.51110.0408.4467.301
625.8840.67711.0029.0817.753
828.5190.82911.9939.6988.178
1030.7470.97213.06810.3268.594
1232.6941.10714.28110.9829.012
1434.4351.23815.70711.6839.439
1636.0181.36417.46812.4489.883
1837.4731.48719.79413.29810.349
2038.8251.60823.23914.26610.843
21.22539.6701.68026.58514.93511.164
Table 5. The range of pressure q and capacitance C, and the analytical expressions of Functions 1–6 in Figure 7.
Table 5. The range of pressure q and capacitance C, and the analytical expressions of Functions 1–6 in Figure 7.
Functionsq/KPaC/pFFunctional Expressions
Function 11~88.384~11.993q = −15.57 + 1.960C
Function 20.5~127.965~14.281q = −14.59 + 1.856C − 0.001137C2
Function 30.5~187.965~19.794q = −9.867 + 0.3584C + 0.1562C2 − 0.005222C3
Function 40~21.2256.775~26.585q = −16.64 + 1.865C + 0.06435C2 − 0.004878C3 + 0.00006859C4
Function 51~21.2257.273~14.935q = −18.73 + 2.743C
Function 61~21.2256.424~11.164q = −27.93 + 4.421C
Note: The average sum of fitting error squares of Functions 1–6 is 0.0088, 0.0259, 0.0233, 0.0481, 0.2590 and 0.0626, respectively.
Table 6. The calculation results for a = 100 mm, h = 1.5 mm, E = 7.84 MPa, ν = 0.47, t = 0.1 mm, and g = 41 mm, 46 mm and 51 mm.
Table 6. The calculation results for a = 100 mm, h = 1.5 mm, E = 7.84 MPa, ν = 0.47, t = 0.1 mm, and g = 41 mm, 46 mm and 51 mm.
q/KPawm/mmσm/MPaC/pF
g = 41 mmg = 46 mmg = 51 mm
00.0000.0006.7756.0395.447
0.59.8120.0947.7826.8226.074
112.3730.1518.1207.0776.273
215.6080.2418.6127.4406.553
419.6990.3869.3737.9866.963
622.5790.51110.0408.4467.301
824.8770.62410.6828.8747.607
1026.8200.72911.3279.2877.897
1228.5190.82911.9939.6988.178
1430.0400.92512.69710.1148.455
1631.4221.01813.45310.5408.732
1832.6941.10714.28110.9829.012
2033.8741.19515.20211.4439.295
2234.9781.28116.24911.9309.585
2436.0181.36417.46812.4489.883
2536.5161.40618.16412.72010.035
2637.0011.44718.93313.00410.191
2737.3731.48719.79413.29810.349
2837.9341.52820.77213.60610.510
2938.1851.56821.90213.92810.675
3038.8251.60823.23914.26610.843
31.8439.6111.68026.59114.93611.164
Table 7. The range of pressure q and capacitance C, and the analytical expressions of the Functions 1–6 in Figure 9.
Table 7. The range of pressure q and capacitance C, and the analytical expressions of the Functions 1–6 in Figure 9.
Functionsq/KPaC/pFFunctional Expressions
Function 11~128.120~11.993q = −22.81 + 2.889C
Function 20.5~187.782~14.281q = −19.88 + 2.425C + 0.01752C2
Function 30.5~277.782~19.794q = −12.73 + 0.08131C + 0.2674C2 − 0.008633C3
Function 40~31.846.775~26.591q = −22.87 + 2.312C + 0.1379C2 − 0.008860C3 + 0.0001237C4
Function 51~31.847.077~14.936q = −28.34 + 4.146C
Function 61~31.846.273~11.164q = −41.83 + 6.632C
Note: The average sum of fitting error squares of Functions 1–6 is 0.0393, 0.0715, 0.0614, 0.0958, 0.4674 and 0.1774, respectively.
Table 8. The calculation results for a = 100 mm, h = 2 mm, E = 7.84 MPa, ν = 0.47, t = 0.1 mm, and g = 41 mm, 46 mm and 51 mm.
Table 8. The calculation results for a = 100 mm, h = 2 mm, E = 7.84 MPa, ν = 0.47, t = 0.1 mm, and g = 41 mm, 46 mm and 51 mm.
q/KPawm/mmσm/MPaC/pF
g = 41 mmg = 46 mmg = 51 mm
00.0000.000 6.775 6.039 5.447
0.58.9130.078 7.673 6.739 6.008
111.2370.124 7.965 6.961 6.182
214.1730.198 8.384 7.273 6.424
417.884 0.317 9.013 7.730 6.772
620.496 0.419 9.545 8.106 7.052
822.579 0.511 10.040 8.446 7.301
1024.342 0.596 10.522 8.769 7.533
1225.884 0.677 11.002 9.081 7.753
1427.264 0.755 11.491 9.390 7.967
1628.519 0.829 11.993 9.698 8.178
1829.674 0.901 12.517 10.010 8.386
2030.747 0.972 13.068 10.326 8.594
2231.750 1.040 13.653 10.649 8.802
2432.694 1.107 14.281 10.982 9.012
2633.587 1.173 14.961 11.325 9.224
2834.435 1.238 15.707 11.683 9.439
3035.594 1.302 16.535 12.056 9.659
3236.018 1.364 17.468 12.448 9.883
3436.760 1.426 18.538 12.860 10.113
3637.473 1.487 19.794 13.298 10.349
3838.161 1.548 21.315 13.76510.592
4038.825 1.608 23.239 14.26610.843
4239.468 1.667 25.847 14.80711.104
42.4539.610 1.680 26.585 14.93511.164
Table 9. The range of pressure q and capacitance C, and the analytical expressions of Functions 1–6 in Figure 11.
Table 9. The range of pressure q and capacitance C, and the analytical expressions of Functions 1–6 in Figure 11.
Functionsq/KPaC/pFFunctional Expressions
Function 11~167.965~11.993q = −30.00 + 3.813C
Function 21~247.965~14.281q = −29.645 + 3.7645C + 0.001365C2
Function 31~367.965~19.794q = −21.30 + 1.011C + 0.2956C2 − 0.01017C3
Function 40~42.456.775~26.585q = −30.96 + 2.917C + 0.2205C2 − 0.01388C3 + 0.0002010C4
Function 51~42.456.961~14.935q = −37.33 + 5.481C
Function 61~42.456.182~11.164q = −55.36 + 8.791C
Note: The average sum of fitting error squares of Functions 1–6 is 0.0991, 0.0915, 0.0854, 0.0987, 0.9849 and 0.4131, respectively.
Table 10. The calculation results for a = 100 mm, h = 1 mm, E = 5 MPa, ν = 0.47, t = 0.1 mm and g = 50 mm, 55 mm and 60 mm.
Table 10. The calculation results for a = 100 mm, h = 1 mm, E = 5 MPa, ν = 0.47, t = 0.1 mm and g = 50 mm, 55 mm and 60 mm.
q/KPawm/mmσm/MPaC/pF
g = 50 mmg = 55 mmg = 60 mm
00.000 0.000 5.556 5.051 4.631
0.513.063 0.107 6.478 5.798 5.248
116.481 0.171 6.799 6.050 5.452
220.804 0.275 7.277 6.419 5.745
426.274 0.445 8.048 6.995 6.192
630.121 0.593 8.756 7.503 6.575
833.185 0.729 9.467 7.992 6.934
1035.774 0.857 10.217 8.485 7.286
1238.036 0.980 11.035 8.996 7.639
1440.061 1.099 11.954 9.537 8.000
1641.904 1.214 13.020 10.119 8.375
1843.603 1.326 14.305 10.757 8.769
2045.186 1.437 15.932 11.471 9.187
2246.673 1.545 18.158 12.284 9.637
2448.079 1.652 21.659 13.235 10.127
24.5448.447 1.680 23.062 13.523 10.267
Table 11. The range of pressure q and capacitance C, and the analytical expressions of the fitting functions in Figure 17.
Table 11. The range of pressure q and capacitance C, and the analytical expressions of the fitting functions in Figure 17.
Functionsq/KPaC/pFFunctional Expressions
Function 11~106.799~10.217q = −17.349 + 2.672C
Function 20.5~146.478~11.954q = −16.73 + 2.644C − 0.004760C2
Function 30.5~206.478~15.932q = −9.282 − 0.03216C + 0.3101C2 − 0.01213C3
Function 40~24.545.556~23.062q = −18.81 + 2.632C + 0.09652C2 − 0.009415C3 − 0.0001647C4
Function 51~24.546.050~13.523q = −18.10 + 3.262C
Function 61~24.545.452~10.267q = −26.97 + 5.075C
Note: The average sum of fitting error squares of Functions 1–6 is 0.0123, 0.0375, 0.0273, 0.0634, 0.678 and 0.129, respectively.
Table 12. The calculation results for a = 100 mm, h = 1 mm, E = 2.5 MPa, ν = 0.47, t = 0.1 mm and g = 68 mm, 73 mm and 78 mm.
Table 12. The calculation results for a = 100 mm, h = 1 mm, E = 2.5 MPa, ν = 0.47, t = 0.1 mm and g = 68 mm, 73 mm and 78 mm.
q/KPawm/mmσm/MPaC/pF
g = 68 mmg = 73 mmg = 78 mm
00.000 0.000 4.086 3.807 3.563
0.516.481 0.086 4.708 4.338 4.023
120.801 0.138 4.921 4.517 4.175
226.274 0.223 5.237 4.779 4.396
433.185 0.365 5.738 5.185 4.732
638.036 0.490 6.187 5.540 5.020
841.904 0.607 6.627 5.879 5.290
1045.186 0.718 7.079 6.219 5.555
1248.079 0.826 7.560 6.570 5.824
1450.698 0.930 8.084 6.941 6.102
1653.114 1.032 8.671 7.340 6.394
1855.376 1.132 9.345 7.779 6.706
2057.518 1.230 10.142 8.269 7.044
2259.566 1.327 11.119 8.828 7.415
2461.539 1.422 12.378 9.480 7.828
2663.450 1.516 14.127 10.261 8.296
2865.313 1.609 16.912 11.232 8.834
29.5566.728 1.680 21.112 12.180 9.314
Table 13. The range of pressure q and capacitance C, and the analytical expressions of the fitting functions in Figure 19.
Table 13. The range of pressure q and capacitance C, and the analytical expressions of the fitting functions in Figure 19.
Functionsq/KPaC/pFFunctional Expressions
Function 11~124.921~7.560q = −20.16 + 4.248C
Function 20.5~164.708~8.671q = −19.13 + 4.098C − 0.001996C2
Function 30.5~224.708~11.119q = −6.704 − 1.874C + 0.9372C2 − 0.04836C3
Function 40~29.554.086~21.112q = −35.72 + 9.574C − 0.5129C2 + 0.01150C3 − 0.00008396C4
Function 51~29.554.517~12.180q = −14.94 + 3.964C
Function 61~29.554.175~9.314q = −22.78 + 5.878C
Note: The average sum of fitting error squares of Functions 1–6 is 0.0206, 0.0548, 0.0332, 0.0961, 3.1043 and 1.1813, respectively.
Table 14. The calculation results for a = 100 mm, h = 1 mm, E = 7.84 MPa, ν = 0.32, t = 0.1 mm and g = 45 mm, 50 mm and 55 mm.
Table 14. The calculation results for a = 100 mm, h = 1 mm, E = 7.84 MPa, ν = 0.32, t = 0.1 mm and g = 45 mm, 50 mm and 55 mm.
q/KPawm/mmσm/MPaC/pF
g = 45 mmg = 50 mmg = 55 mm
00.000 0.000 6.173 5.556 5.051
0.512.048 0.118 7.236 6.398 5.734
115.196 0.189 7.607 6.682 5.959
219.177 0.303 8.164 7.099 6.283
424.212 0.488 9.067 7.750 6.775
627.755 0.648 9.903 8.325 7.197
830.579 0.795 10.754 8.882 7.592
1032.966 0.932 11.664 9.446 7.980
1235.054 1.064 12.672 10.033 8.369
1436.922 1.190 13.830 10.657 8.767
1638.623 1.312 15.211 11.334 9.181
1840.189 1.432 16.944 12.082 9.615
2041.647 1.548 19.283 12.926 10.077
2243.014 1.663 22.876 13.899 10.574
22.3143.219 1.680 24.548 14.065 10.654
Table 15. The range of pressure q and capacitance C, and the analytical expressions of the fitting functions in Figure 25.
Table 15. The range of pressure q and capacitance C, and the analytical expressions of the fitting functions in Figure 25.
Functionsq/KPaC/pFFunctional Expressions
Function 11~87.607~10.754q = −16.243 + 2.247C
Function 20.5~127.236~12.672q = −13.84 + 1.816C + 0.01848C2
Function 30.5~187.236~16.944q = −5.703 − 0.8907C + 0.3141C2 − 0.01058C3
Function 40~22.316.173~24.548q = −13.26 + 0.9157C + 0.2073C2 − 0.01209C3 + 0.0001844C4
Function 51~22.316.682~14.065q = −18.52 + 2.974C
Function 61~22.315.959~10.654q = −27.45 + 4.697C
Note: The average sum of fitting error squares of Functions 1–6 is 0.0112, 0.0245, 0.0182, 0.03928, 0.3715 and 0.0729, respectively.
Table 16. The calculation results for a = 100 mm, h = 1 mm, E = 7.84 MPa, ν = 0.16, t = 0.1 mm and g = 48 mm, 53 mm and 58 mm.
Table 16. The calculation results for a = 100 mm, h = 1 mm, E = 7.84 MPa, ν = 0.16, t = 0.1 mm and g = 48 mm, 53 mm and 58 mm.
q/KPawm/mmσm/MPaC/pF
g = 48 mmg = 53 mmg = 58 mm
00.000 0.000 5.787 5.242 4.790
0.512.756 0.114 6.783 6.041 5.446
116.091 0.182 7.131 6.312 5.663
220.307 0.292 7.653 6.709 5.976
425.639 0.472 8.498 7.331 6.453
629.390 0.627 9.279 7.881 6.863
832.381 0.769 10.072 8.414 7.248
1034.910 0.903 10.918 8.955 7.627
1237.126 1.031 11.854 9.520 8.009
1439.113 1.154 12.924 10.122 8.402
1640.925 1.274 14.196 10.778 8.812
1842.598 1.390 15.780 11.506 9.246
2044.160 1.504 17.892 12.331 9.711
2245.630 1.616 21.054 13.290 10.215
23.17346.455 1.680 23.397 13.937 10.532
Table 17. The range of pressure q and capacitance C, and the analytical expressions of the fitting functions in Figure 27.
Table 17. The range of pressure q and capacitance C, and the analytical expressions of the fitting functions in Figure 27.
Functionsq/KPaC/pFFunctional Expressions
Function 11~87.131~10.072q = −16.29 + 2.404C
Function 20.5~126.783~11.854q = −13.65 + 1.889C − 0.02428C2
Function 30.5~186.783~15.780q = −5.029 − 1.161C + 0.3782C2 − 0.01347C3
Function 40~23.1735.787~23.397q = −17.29 + 2.232C + 0.09929C2 − 0.008501C3 − 0.0001417C4
Function 51~23.1736.312~13.937q = −17.62 + 3.031C
Function 61~23.1735.663~10.532q = −26.15 + 4.735C
Note: The average sum of fitting error squares of Functions 1–6 is 0.0117, 0.0245, 0.0177, 0.0597, 0.5367 and 0.1019, respectively.
Table 18. The calculation results for a = 100 mm, h = 1 mm, E = 7.84 MPa, ν = 0.47, t = 1 mm and g = 41 mm, 46 mm and 51 mm.
Table 18. The calculation results for a = 100 mm, h = 1 mm, E = 7.84 MPa, ν = 0.47, t = 1 mm and g = 41 mm, 46 mm and 51 mm.
q/KPawm/mmσm/MPaC/pF
g = 41 mmg = 46 mmg = 51 mm
00.0000.0006.7165.9925.409
0.511.2370.1247.8846.8996.133
114.1730.1988.2937.2056.371
217.8840.3178.9097.6546.713
422.5790.5119.9118.3557.233
625.8840.67710.8488.9767.676
828.5190.82911.8109.5788.092
1030.7470.97212.85010.1898.499
1232.6941.10714.02210.8288.908
1434.4351.23815.39411.5099.325
1636.0181.36417.08212.2509.758
1837.4731.48719.30013.07310.212
2038.8251.60822.56014.00710.693
21.22539.6701.68025.70014.65111.005
Table 19. The range of pressure q and capacitance C, and the analytical expressions of the fitting functions in Figure 33.
Table 19. The range of pressure q and capacitance C, and the analytical expressions of the fitting functions in Figure 33.
Functionsq/KPaC/pFFunctional Expressions
Function 11~88.294~11.810q = −15.82 + 2.012C
Function 20.5~127.884~14.022q = −14.56 + 1.850C + 0.003927C2
Function 30.5~187.884~19.300q = −9.152 + 0.1343C + 0.1818C2 − 0.006018C3
Function 40~21.2256.716~25.700q = −14.44 + 1.227C + 0.1336C2 − 0.007816C3 + 0.0001108C4
Function 51~21.2257.205~14.651q = −19.15 + 2.822C
Function 61~21.2256.371~11.005q = −28.36 + 4.522C
Note: The average sum of fitting error squares of Functions 1–6 is 0.0093, 0.0258, 0.0226, 0.0431, 0.2428 and 0.0641, respectively.
Table 20. The calculation results for a = 100 mm, h = 1 mm, E = 7.84 MPa, ν = 0.47, t = 10 mm and g = 41 mm, 46 mm and 51 mm.
Table 20. The calculation results for a = 100 mm, h = 1 mm, E = 7.84 MPa, ν = 0.47, t = 10 mm and g = 41 mm, 46 mm and 51 mm.
q/KPawm/mmσm/MPaC/pF
g = 41 mmg = 46 mmg = 51 mm
00.0000.0006.1785.5615.055
0.511.2370.1247.1546.3335.682
114.1730.1987.4896.5905.886
217.8840.3177.9876.9646.176
422.5790.5118.7847.5396.613
625.8840.6779.5128.0416.982
828.5190.82910.2438.5217.325
1030.7470.97211.0179.0027.656
1232.6941.10711.8679.4967.986
1434.4351.23812.83610.0168.321
1636.0181.36413.98810.5738.663
1837.4731.48715.44111.1819.019
2038.8251.60817.46011.8579.393
21.22539.6701.68019.28312.3159.632
Table 21. The range of pressure q and capacitance C, and the analytical expressions of the fitting functions in Figure 35.
Table 21. The range of pressure q and capacitance C, and the analytical expressions of the fitting functions in Figure 35.
Functionsq/KPaC/pFFunctional Expressions
Function 11~87.489~10.243q = −18.39 + 2.566C
Function 20.5~127.154~11.867q = −13.80 + 1.634C − 0.04658C2
Function 30.5~187.154~15.441q = 0.3096 − 3.154C + 0.5811C2 − 0.01963C3
Function 40~21.2256.178~19.283q = 0.005001 − 3.930C + 0.8241C2 − 0.04285C3 + 0.0007059C4
Function 51~21.2256.590~12.315q = −23.29 + 3.673C
Function 61~21.2255.886~9.632q = −32.63 + 5.593C
Note: The average sum of fitting error squares of Functions 1–6 is 0.0150, 0.0251, 0.0168, 0.0281, 0.1352 and 0.0876, respectively.
Publisher’s Note: MDPI stays neutral with regard to jurisdictional claims in published maps and institutional affiliations.

Share and Cite

MDPI and ACS Style

Li, F.-Y.; Zhang, Q.; Li, X.; He, X.-T.; Sun, J.-Y. Polymer Conductive Membrane-Based Non-Touch Mode Circular Capacitive Pressure Sensors: An Analytical Solution-Based Method for Design and Numerical Calibration. Polymers 2022, 14, 3087. https://doi.org/10.3390/polym14153087

AMA Style

Li F-Y, Zhang Q, Li X, He X-T, Sun J-Y. Polymer Conductive Membrane-Based Non-Touch Mode Circular Capacitive Pressure Sensors: An Analytical Solution-Based Method for Design and Numerical Calibration. Polymers. 2022; 14(15):3087. https://doi.org/10.3390/polym14153087

Chicago/Turabian Style

Li, Fei-Yan, Qi Zhang, Xue Li, Xiao-Ting He, and Jun-Yi Sun. 2022. "Polymer Conductive Membrane-Based Non-Touch Mode Circular Capacitive Pressure Sensors: An Analytical Solution-Based Method for Design and Numerical Calibration" Polymers 14, no. 15: 3087. https://doi.org/10.3390/polym14153087

APA Style

Li, F.-Y., Zhang, Q., Li, X., He, X.-T., & Sun, J.-Y. (2022). Polymer Conductive Membrane-Based Non-Touch Mode Circular Capacitive Pressure Sensors: An Analytical Solution-Based Method for Design and Numerical Calibration. Polymers, 14(15), 3087. https://doi.org/10.3390/polym14153087

Note that from the first issue of 2016, this journal uses article numbers instead of page numbers. See further details here.

Article Metrics

Back to TopTop