RETRACTED: Preparation and Characterization of Nanofibrous Scaffolds of Ag/Vanadate Hydroxyapatite Encapsulated into Polycaprolactone: Morphology, Mechanical, and In Vitro Cells Adhesion
Abstract
1. Introduction
2. Experimental Section
2.1. Materials
2.2. Series of -HAP@PCL Preparation
2.3. Characterization
2.3.1. X-ray Diffraction (XRD) Measurements for the Prepared Samples
2.3.2. Fourier Transformed Infrared (FTIR) for the Detection of Newly Created Bands
2.3.3. Surface Topography Examination by Making Use of Field Emission Scanning Electron (FESEM)
2.3.4. Tensile Stress Behavior
2.3.5. Thermogravimetric Analysis (TGA)
2.3.6. In Vitro Ionic Release
2.3.7. Cell Viability
2.3.8. Cell Growth In Vitro
2.3.9. Antibacterial Effectiveness
3. Results and Discussion
3.1. XRD of Powder and Fiber Phases
3.2. FTIR of Powder and Fiber Phases
3.3. Surface Morphology of Powder Phase
3.4. Transmission Electron Microscopy (TEM) of Nanofiber Composites
3.5. Surface Morphology of Nanofiber Composites
3.6. Mechanical Properties
3.7. Contact Angle
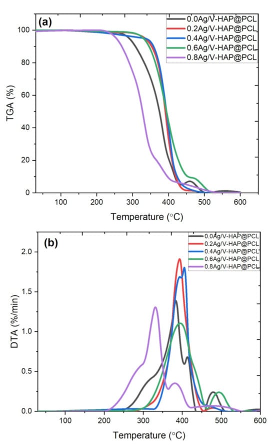
3.8. TGA Analysis
3.9. Ionic Release from Nanofibers
3.10. Cell Viability
3.11. Antibacterial Properties
3.12. Cell Attachment
4. Conclusions
Author Contributions
Funding
Data Availability Statement
Acknowledgments
Conflicts of Interest
References
- Gu, S.H.; Nicolas, V.; Lalis, A.; Sathirapongsasuti, N.; Yanagihara, R. Complete genome sequence and molecular phylogeny of a newfound hantavirus harbored by the Doucet’s musk shrew (Crocidura douceti) in Guinea. Infect. Genet. Evol. 2013, 20, 118–123. [Google Scholar] [CrossRef] [PubMed]
- Joob, B.; Wiwanitkit, V. COVID-19 can present with a rash and be mistaken for dengue. J. Am. Acad. Dermatol. 2020, 82, e177. [Google Scholar] [CrossRef] [PubMed]
- Kucharzewski, M.; Rojczyk, E.; Wilemska-Kucharzewska, K.; Wilk, R.; Hudecki, J.; Los, M.J. Novel trends in application of stem cells in skin wound healing. Eur. J. Pharmacol. 2019, 843, 307–315. [Google Scholar] [CrossRef]
- Ren, Y.; Yu, X.; Li, Z.; Liu, D.; Xue, X. Fabrication of pH-responsive TA-keratin bio-composited hydrogels encapsulated with photoluminescent GO quantum dots for improved bacterial inhibition and healing efficacy in wound care management: In vivo wound evaluations. J. Photochem. Photobiol. B Biol. 2020, 202, 111676. [Google Scholar] [CrossRef] [PubMed]
- Rajakumari, R.; Volova, T.; Oluwafemi, O.S.; Rajeshkumar, S.; Thomas, S.; Kalarikkal, N. Nano formulated proanthocyanidins as an effective wound healing component. Mater. Sci. Eng. C 2020, 106, 110056. [Google Scholar] [CrossRef] [PubMed]
- Rahmani, H.; Najafi, S.H.M.; Ashori, A.; Fashapoyeh, M.A.; Mohseni, F.A.; Torkaman, S. Preparation of chitosan-based composites with urethane cross linkage and evaluation of their properties for using as wound healing dressing. Carbohydr. Polym. 2020, 230, 115606. [Google Scholar] [CrossRef]
- Church, D.; Elsayed, S.; Reid, O.; Winston, B.; Lindsay, R. Burn wound infections. Clin. Microbiol. Rev. 2006, 19, 403–434. [Google Scholar] [CrossRef]
- Ahmed, M.K.; Moydeen, A.M.; Ismail, A.M.; El-Naggar, M.E.; Menazea, A.A.; El-Newehy, M.H. Wound dressing properties of functionalized environmentally biopolymer loaded with selenium nanoparticles. J. Mol. Struct. 2021, 1225, 129138. [Google Scholar] [CrossRef]
- Wentao, W.; Tao, Z.; Bulei, S.; Tongchang, Z.; Qicheng, Z.; Fan, W.; Ninglin, Z.; Jian, S.; Ming, Z.; Yi, S. Functionalization of polyvinyl alcohol composite film wrapped in am-ZnO@ CuO@ Au nanoparticles for antibacterial application and wound healing. Appl. Mater. Today 2019, 17, 36–44. [Google Scholar] [CrossRef]
- Türe, H. Characterization of hydroxyapatite-containing alginate—Gelatin composite films as a potential wound dressing. Int. J. Biol. Macromol. 2019, 123, 878–888. [Google Scholar] [CrossRef]
- Shanmugapriya, K.; Kang, H.W. Engineering pharmaceutical nanocarriers for photodynamic therapy on wound healing. Mater. Sci. Eng. C 2019, 105, 110110. [Google Scholar] [CrossRef]
- Safaee-Ardakani, M.R.; Hatamian-Zarmi, A.; Sadat, S.M.; Mokhtari-Hosseini, Z.B.; Ebrahimi-Hosseinzadeh, B.; Rashidiani, J.; Kooshki, H. Electrospun Schizophyllan/polyvinyl alcohol blend nanofibrous scaffold as potential wound healing. Int. J. Biol. Macromol. 2019, 127, 27–38. [Google Scholar] [CrossRef]
- Joseph, J.; Deshmukh, K.; Tung, T.; Chidambaram, K.; Pasha, S.K.K. 3D printing technology of polymer composites and hydrogels for artificial skin tissue implementations. In Polymer Nanocomposites in Biomedical Engineering; Springer: Berlin/Heidelberg, Germany, 2019; pp. 205–233. [Google Scholar]
- Ding, A.; Wang, J.; Ni, A.; Li, S. Ageing of sandwich composites with E-glass fibre/vinylester skins and PVC foam core in synergistic environmental agents. Compos. Struct. 2018, 202, 253–260. [Google Scholar] [CrossRef]
- Yu, N.; Wang, X.; Qiu, L.; Cai, T.; Jiang, C.; Sun, Y.; Li, Y.; Peng, H.; Xiong, H. Bacteria-triggered hyaluronan/AgNPs/gentamicin nanocarrier for synergistic bacteria disinfection and wound healing application. Chem. Eng. J. 2020, 380, 122582. [Google Scholar] [CrossRef]
- Venault, A.; Lin, K.-H.; Tang, S.-H.; Dizon, G.V.; Hsu, C.-H.; Maggay, I.V.B.; Chang, Y. Zwitterionic electrospun PVDF fibrous membranes with a well-controlled hydration for diabetic wound recovery. J. Memb. Sci. 2020, 598, 117648. [Google Scholar] [CrossRef]
- Notodihardjo, S.C.; Morimoto, N.; Kakudo, N.; Mitsui, T.; Le, T.M.; Tabata, Y.; Kusumoto, K. Comparison of the efficacy of cryopreserved human platelet lysate and refrigerated lyophilized human platelet lysate for wound healing. Regen. Ther. 2019, 10, 1–9. [Google Scholar] [CrossRef]
- Montaser, A.S.; Rehan, M.; El-Naggar, M.E. pH-Thermosensitive hydrogel based on polyvinyl alcohol/sodium alginate/N-isopropyl acrylamide composite for treating re-infected wounds. Int. J. Biol. Macromol. 2019, 124, 1016–1024. [Google Scholar] [CrossRef]
- Mauro, N.; Drago, S.E.; Cavallaro, G.; Giammona, G. Near-Infrared, Light-Triggered, On-Demand Anti-Inflammatories and Antibiotics Release by Graphene Oxide/Elecrospun PCL Patch for Wound Healing. C—J. Carbon Res. 2019, 5, 63. [Google Scholar] [CrossRef]
- Wang, K.; Chen, P.; Nie, W.; Xu, Y.; Zhou, Y. Improved photocatalytic reduction of Cr (VI) by molybdenum disulfide modified with conjugated polyvinyl alcohol. Chem. Eng. J. 2019, 359, 1205–1214. [Google Scholar] [CrossRef]
- Menazea, A.A.; Abdelbadie, S.A.; Ahmed, M.K. Manipulation of AgNPs coated on selenium/carbonated hydroxyapatite/ε-polycaprolactone nano-fibrous via pulsed laser deposition for wound healing applications. Appl. Surf. Sci. 2020, 508, 145299. [Google Scholar] [CrossRef]
- Crans, D.C. Antidiabetic, chemical, and physical properties of organic vanadates as presumed transition-state inhibitors for phosphatases. J. Org. Chem. 2015, 80, 11899–11915. [Google Scholar] [CrossRef] [PubMed]
- Crans, D.C.; Smee, J.J.; Gaidamauskas, E.; Yang, L. The chemistry and biochemistry of vanadium and the biological activities exerted by vanadium compounds. Chem. Rev. 2004, 104, 849–902. [Google Scholar] [CrossRef] [PubMed]
- Treviño, S.; Díaz, A.; Sánchez-Lara, E.; Sanchez-Gaytan, B.L.; Perez-Aguilar, J.M.; González-Vergara, E. Vanadium in biological action: Chemical, pharmacological aspects, and metabolic implications in diabetes mellitus. Biol. Trace Elem. Res. 2019, 188, 68–98. [Google Scholar] [CrossRef] [PubMed]
- Bogden, J.D.; Higashino, H.; Lavenhar, M.A.; Bauman, J.W., Jr.; Kemp, F.W.; Aviv, A. Balance and tissue distribution of vanadium after short-term ingestion of vanadate. J. Nutr. 1982, 112, 2279–2285. [Google Scholar] [CrossRef]
- Wiegmann, T.B.; Day, H.D.; Patak, R.V. Intestinal absorption and secretion of radioactive vanadium (48VO− 3) in rats and effect of Al (OH) 3. J. Toxicol. Environ. Heal. Part A Curr. Issues 1982, 10, 233–245. [Google Scholar] [CrossRef]
- Crans, D.C.; Yang, L.; Haase, A.; Yang, X. Health benefits of vanadium and its potential as an anticancer agent. Met. Ions Life Sci. 2018, 18, 251–279. [Google Scholar]
- Loiseau, A.; Asila, V.; Boitel-Aullen, G.; Lam, M.; Salmain, M.; Boujday, S. Silver-based plasmonic nanoparticles for and their use in biosensing. Biosensors 2019, 9, 78. [Google Scholar] [CrossRef]
- Rehan, M.; El-Naggar, M.E.; Al-Enizi, A.M.; Alothman, A.A.; Nafady, A.; Abdelhameed, R.M. Development of silk fibers decorated with the in situ synthesized silver and gold nanoparticles: Antimicrobial activity and creatinine adsorption capacity. J. Ind. Eng. Chem. 2021, 97, 584. [Google Scholar] [CrossRef]
- GhavamiNejad, A.; Rajan Unnithan, A.; Ramachandra Kurup Sasikala, A.; Samarikhalaj, M.; Thomas, R.G.; Jeong, Y.Y.; Nasseri, S.; Murugesan, P.; Wu, D.; Hee Park, C. Mussel-inspired electrospun nanofibers functionalized with size-controlled silver nanoparticles for wound dressing application. ACS Appl. Mater. Interfaces 2015, 7, 12176–12183. [Google Scholar] [CrossRef]
- Abdulsada, F.W.; Hammood, A.S. Characterization of corrosion and antibacterial resistance of hydroxyapatite/silver nano particles powder on 2507 duplex stainless steel. Mater. Today Proc. 2021, 42, 2301–2307. [Google Scholar] [CrossRef]
- Mirzaee, M.; Vaezi, M.; Palizdar, Y. Synthesis and characterization of silver doped hydroxyapatite nanocomposite coatings and evaluation of their antibacterial and corrosion resistance properties in simulated body fluid. Mater. Sci. Eng. C 2016, 69, 675–684. [Google Scholar] [CrossRef]
- Zhou, J.; Yang, Y.; Detsch, R.; Boccaccini, A.R.; Virtanen, S. Iron surface functionalization system-Iron oxide nanostructured arrays with polycaprolactone coatings: Biodegradation, cytocompatibility, and drug release behavior. Appl. Surf. Sci. 2019, 492, 669–682. [Google Scholar] [CrossRef]
- Ahmed, M.K.; Al-Wafi, R.; Mansour, S.F.; El-dek, S.I.; Uskoković, V. Physical and biological changes associated with the doping of carbonated hydroxyapatite/polycaprolactone core-shell nanofibers dually, with rubidium and selenite. J. Mater. Res. Technol. 2020, 9, 3710–3723. [Google Scholar] [CrossRef]
- Vyas, C.; Zhang, J.; Øvrebø, Ø.; Huang, B.; Roberts, I.; Setty, M.; Allardyce, B.; Haugen, H.; Rajkhowa, R.; Bartolo, P. 3D printing of silk microparticle reinforced polycaprolactone scaffolds for tissue engineering applications. Mater. Sci. Eng. C 2021, 118, 111433. [Google Scholar] [CrossRef]
- Mamidi, N.; Zuníga, A.E.; Villela-Castrejón, J. Engineering and evaluation of forcespun functionalized carbon nano-onions reinforced poly (ε-caprolactone) composite nanofibers for pH-responsive drug release. Mater. Sci. Eng. C 2020, 112, 110928. [Google Scholar] [CrossRef]
- Ao, C.; Niu, Y.; Zhang, X.; He, X.; Zhang, W.; Lu, C. Fabrication and characterization of electrospun cellulose/nano-hydroxyapatite nanofibers for bone tissue engineering. Int. J. Biol. Macromol. 2017, 97, 568–573. [Google Scholar] [CrossRef]
- El-Naggar, M.E.; El-Newehy, M.H.; Aldalbahi, A.; Salem, W.M.; Khattab, T.A. Immobilization of anthocyanin extract from red-cabbage into electrospun polyvinyl alcohol nanofibers for colorimetric selective detection of ferric ions. J. Environ. Chem. Eng. 2021, 9, 105072. [Google Scholar] [CrossRef]
- El-Naggar, M.E.; Abdel-Aty, A.M.; Wassel, A.R.; Elaraby, N.M.; Mohamed, S.A. Immobilization of horseradish peroxidase on cationic microporous starch: Physico-bio-chemical characterization and removal of phenolic compounds. Int. J. Biol. Macromol. 2021, 181, 734. [Google Scholar] [CrossRef]
- Baldino, L.; Cardea, S.; Reverchon, E. A supercritical CO2 assisted electrohydrodynamic process used to produce microparticles and microfibers of a model polymer. J. CO2 Util. 2019, 33, 532–540. [Google Scholar] [CrossRef]
- Milovac, D.; Ferrer, G.G.; Ivankovic, M.; Ivankovic, H. PCL-coated hydroxyapatite scaffold derived from cuttlefish bone: Morphology, mechanical properties and bioactivity. Mater. Sci. Eng. C 2014, 34, 437–445. [Google Scholar] [CrossRef]
- Mansour, S.F.; El-Dek, S.I.; Ahmed, M.K. Physico-mechanical and morphological features of zirconia substituted hydroxyapatite nano crystals. Sci. Rep. 2017, 7, 43202. [Google Scholar] [CrossRef]
- Mansour, S.F.; El-dek, S.I.; Ismail, M.; Ahmed, M.K. Structure and cell viability of Pd substituted hydroxyapatite nano particles. Biomed. Phys. Eng. Express 2018, 4, 45008. [Google Scholar] [CrossRef]
- Abdelbar, M.F.; El-Sheshtawy, H.S.; Shoueir, K.R.; El-Mehasseb, I.; Ebeid, E.-Z.M.; El-Kemary, M. Halogen bond triggered aggregation induced emission in an iodinated cyanine dye for ultra sensitive detection of Ag nanoparticles in tap water and agricultural wastewater. RSC Adv. 2018, 8, 24617–24626. [Google Scholar] [CrossRef]
- Tang, S.; Tian, B.; Guo, Y.-J.; Zhu, Z.-A.; Guo, Y.-P. Chitosan/carbonated hydroxyapatite composite coatings: Fabrication, structure and biocompatibility. Surf. Coat. Technol. 2014, 251, 210–216. [Google Scholar] [CrossRef]
- Murugan, N.; Murugan, C.; Sundramoorthy, A.K. In vitro and in vivo characterization of mineralized hydroxyapatite/polycaprolactone-graphene oxide based bioactive multifunctional coating on Ti alloy for bone implant applications. Arab. J. Chem. 2018, 11, 959–969. [Google Scholar] [CrossRef]
- Duta, L.; Mihailescu, N.; Popescu, A.C.; Luculescu, C.R.; Mihailescu, I.N.; Çetin, G.; Gunduz, O.; Oktar, F.N.; Popa, A.C.; Kuncser, A. Comparative physical, chemical and biological assessment of simple and titanium-doped ovine dentine-derived hydroxyapatite coatings fabricated by pulsed laser deposition. Appl. Surf. Sci. 2017, 413, 129–139. [Google Scholar] [CrossRef]
- Fadeeva, I.V.; Barinov, S.M.; Fedotov, A.Y.; Komlev, V.S. Interactions of calcium phosphates with chitosan. Dokl. Chem. 2012, 441, 387–390. [Google Scholar] [CrossRef]
- Sattary, M.; Rafienia, M.; Khorasani, M.T.; Salehi, H. The effect of collector type on the physical, chemical, and biological properties of polycaprolactone/gelatin/nano-hydroxyapatite electrospun scaffold. J. Biomed. Mater. Res. Part B Appl. Biomater. 2019, 107, 933–950. [Google Scholar] [CrossRef]
- Zhong, Z.; Qin, J.; Ma, J. Cellulose acetate/hydroxyapatite/chitosan coatings for improved corrosion resistance and bioactivity. Mater. Sci. Eng. C 2015, 49, 251–255. [Google Scholar] [CrossRef]
- Ahmed, M.K.; Mansour, S.F.; Al-Wafi, R.; Afifi, M.; Uskoković, V. Gold as a dopant in selenium-containing carbonated hydroxyapatite fillers of nanofibrous ε-polycaprolactone scaffolds for tissue engineering. Int. J. Pharm. 2020, 577, 118950. [Google Scholar] [CrossRef]
- Ahmed, M.K.; Mansour, S.F.; Mostafa, M.S.; Darwesh, R.; El-dek, S.I. Structural, mechanical and thermal features of Bi and Sr co-substituted hydroxyapatite. J. Mater. Sci. 2019, 54, 1977–1991. [Google Scholar] [CrossRef]
- Menazea, A.A. One-Pot Pulsed Laser Ablation route assisted copper oxide nanoparticles doped in PEO/PVP blend for the electrical conductivity enhancement. J. Mater. Res. Technol. 2020, 9, 2412–2422. [Google Scholar] [CrossRef]
- Samy, A.; El-Sherbiny, A.E.; Menazea, A.A. Green synthesis of high impact zinc oxide nanoparticles. Egypt. J. Chem. 2019, 62, 29–37. [Google Scholar] [CrossRef]
- Mansour, S.F.; El-dek, S.I.; Ahmed, M.K. Tailoring the structure of biphasic calcium phosphate via synthesis procedure. Mater. Res. Express 2017, 4, 125015. [Google Scholar] [CrossRef]
- Abdel-Karim, A.; El-Naggar, M.E.; Radwan, E.K.; Mohamed, I.M.; Azaam, M.; Kenawy, E.-R. High-performance mixed-matrix membranes enabled by organically/inorganic modified montmorillonite for the treatment of hazardous textile wastewater. Chem. Eng. J. 2021, 405, 126964. [Google Scholar] [CrossRef]
- Menazea, A.A.; Abdelghany, A.M.; Hakeem, N.A.; Osman, W.H.; Abd El-kader, F.H. Nd: YAG nanosecond laser pulses for precipitation silver nanoparticles in silicate glasses: AC conductivity and dielectric studies. Silicon 2020, 12, 13–20. [Google Scholar] [CrossRef]
- Menazea, A.A.; Abdelghany, A.M.; Hakeem, N.A.; Osman, W.H.; El-kader, F.H.A. Precipitation of silver nanoparticles in borate glasses by 1064 nm Nd: YAG nanosecond laser pulses: Characterization and dielectric studies. J. Electron. Mater. 2020, 49, 826–832. [Google Scholar] [CrossRef]
- Menazea, A.A. Femtosecond laser ablation-assisted synthesis of silver nanoparticles in organic and inorganic liquids medium and their antibacterial efficiency. Radiat. Phys. Chem. 2020, 168, 108616. [Google Scholar] [CrossRef]
- Destombe, C.; Botton, E.; Le Gal, G.; Roudaut, A.; Jousse-Joulin, S.; Devauchelle-Pensec, V.; Saraux, A. Investigations for bone metastasis from an unknown primary. Jt. Bone Spine 2007, 74, 85–89. [Google Scholar] [CrossRef]
- Shkarina, S.; Shkarin, R.; Weinhardt, V.; Melnik, E.; Vacun, G.; Kluger, P.J.; Loza, K.; Epple, M.; Ivlev, S.I.; Baumbach, T. 3D biodegradable scaffolds of polycaprolactone with silicate-containing hydroxyapatite microparticles for bone tissue engineering: High-resolution tomography and in vitro study. Sci. Rep. 2018, 8, 1–13. [Google Scholar] [CrossRef]
- Ahmed, M.K.; Zayed, M.A.; El-Dek, S.I.; Hady, M.A.; El Sherbiny, D.H.; Uskoković, V. Nanofibrous ε-polycaprolactone scaffolds containing Ag-doped magnetite nanoparticles: Physicochemical characterization and biological testing for wound dressing applications in vitro and in vivo. Bioact. Mater. 2021, 6, 2070–2088. [Google Scholar] [CrossRef] [PubMed]
- Xie, Y.-Y.; Hu, X.-H.; Zhang, Y.-W.; Wahid, F.; Chu, L.-Q.; Jia, S.-R.; Zhong, C. Development and antibacterial activities of bacterial cellulose/graphene oxide-CuO nanocomposite films. Carbohydr. Polym. 2020, 229, 115456. [Google Scholar] [CrossRef] [PubMed]
- Chen, Y.; Qiu, Y.; Chen, W.; Wei, Q. Electrospun thymol-loaded porous cellulose acetate fibers with potential biomedical applications. Mater. Sci. Eng. C 2020, 109, 110536. [Google Scholar] [CrossRef] [PubMed]














| 0.0 Ag/V-HAP | 0.0 Ag/V-HAP PCL | 0.2 Ag/V-HAP | 0.2 Ag/V-HAP @PCL | 0.4 Ag/V-HAP | 0.4 Ag/V-HAP @ PCL | 0.6 Ag/V-HAP | 0.6 Ag/V-HAP @PCL | 0.8 Ag/V-HAP | 0.8 Ag/V-HAP @PCL | Assignments | Ref |
|---|---|---|---|---|---|---|---|---|---|---|---|
| 560 | 583 | 560 | 583 | 560 | 583 | 560 | 583 | 560 | 583 | (ν4) group | [45] |
| 590 | 737 | 590 | 737 | 590 | 737 | 590 | 737 | 590 | 737 | (ν4) group | [45] |
| 870 | 949 | 870 | 949 | 870 | 949 | 870 | 949 | 870 | 949 | ν1 group | [46,47] |
| 1033 | 1039 | 1033 | 1039 | 1033 | 1039 | 1033 | 1039 | 1033 | 1039 | ν3 group | [48] |
| --- | 1149 | --- | 1149 | --- | 1149 | --- | 1149 | --- | 1149 | C–O and C–C | [45] |
| --- | 1181 | --- | 1181 | --- | 1181 | --- | 1181 | --- | 1181 | C-O-C | [45,49] |
| --- | 1239 | --- | 1239 | --- | 1239 | --- | 1239 | --- | 1239 | C-O-C | [45] |
| --- | 1279 | --- | 1279 | --- | 1279 | --- | 1279 | --- | 1279 | C–O, C–C | [45] |
| --- | 1734 | --- | 1734 | --- | 1734 | --- | 1734 | --- | 1734 | C=O | [45] |
| --- | 2858 | --- | 2858 | --- | 2858 | --- | 2858 | --- | 2858 | C-H | [50] |
| --- | 2935 | --- | 2935 | --- | 2935 | --- | 2935 | --- | 2935 | C-H | [49] |
| 3441 | 3441 | 3441 | 3441 | 3441 | O-H | [51,52] |
| Composition | Ra (nm) | Rq (nm) | Rt (nm) | Rv (nm) | Rp (nm) | Rtm (nm) |
|---|---|---|---|---|---|---|
| 0.0 Ag-V-HAP | 78.49 | 146.1 | 902.0 | 308.3 | 529.7 | 349.0 |
| 0.2 Ag-V-HAP | 93.9 | 119.2 | 902.0 | 323.8 | 510.7 | 474.5 |
| 0.4 Ag-V-HAP | 120.5 | 94.31 | 941.2 | 391.2 | 381.9 | 443.1 |
| 0.6 Ag-V-HAP | 122.5 | 149.4 | 843.5 | 427.1 | 557.2 | 454.9 |
| 0.8 Ag-V-HAP | 129.1 | 160.2 | 956.9 | 442.8 | 617.3 | 513.7 |
| Young’s Modulus (MPa) | Tensile Strength (MPa) | Fracture Strength (MPa) | Maximum Strain at the Break (%) | Toughness (MJ/m3) | |
|---|---|---|---|---|---|
| 0.0 Ag-V-HAP@PCL | 0.37 ± 0.12 | 3.74 ± 0.32 | 2.51 ± 0.35 | 68.70 ± 4.12 | 2.09 ± 0.23 |
| 0.2 Ag-V-HAP@PCL | 0.60 ± 0.17 | 5.10 ± 0.37 | 0.77 ± 0.12 | 67.60 ± 2.12 | 2.18 ± 0.54 |
| 0.4 Ag-V-HAP@PCL | 0.97 ± 0.22 | 5.65 ± 0.41 | 0.00 ± 0.11 | 67.34 ± 1.92 | 3.19 ± 0.17 |
| 0.6 Ag-V-HAP@PCL | 0.54 ± 0.10 | 6.51 ± 0.49 | 1.70 ± 0.21 | 67.69 ± 3.32 | 3.43 ± 0.42 |
| 0.8 Ag-V-HAP@PCL | 0.44 ± 0.19 | 4.00 ± 0.23 | 4.23 ± 0.64 | 67.34 ± 3.72 | 2.39 ± 0.11 |
| Composition | Ra (nm) | Rq (nm) | Rt (nm) | Rv (nm) | Rp (nm) | Rtm (nm) |
|---|---|---|---|---|---|---|
| 0.0 Ag-V-HAP@PCL | 131.8 | 162.2 | 947.4 | 414.9 | 548.0 | 451.0 |
| 0.2 Ag-V-HAP@PCL | 153.5 | 187.8 | 964.3 | 433.4 | 562.4 | 443.1 |
| 0.4 Ag-V-HAP@PCL | 168.5 | 203.2 | 969.1 | 441.2 | 558.8 | 454.9 |
| 0.6 Ag-V-HAP@PCL | 216.2 | 259.7 | 975.6 | 437.6 | 566.6 | 466.7 |
| 0.8 Ag-V-HAP@PCL | 228.6 | 267.9 | 987.3 | 452.0 | 585.1 | 423.5 |
Publisher’s Note: MDPI stays neutral with regard to jurisdictional claims in published maps and institutional affiliations. |
© 2021 by the authors. Licensee MDPI, Basel, Switzerland. This article is an open access article distributed under the terms and conditions of the Creative Commons Attribution (CC BY) license (https://creativecommons.org/licenses/by/4.0/).
Share and Cite
El-Hamshary, H.; El-Naggar, M.E.; El-Faham, A.; Abu-Saied, M.A.; Ahmed, M.K.; Al-Sahly, M. RETRACTED: Preparation and Characterization of Nanofibrous Scaffolds of Ag/Vanadate Hydroxyapatite Encapsulated into Polycaprolactone: Morphology, Mechanical, and In Vitro Cells Adhesion. Polymers 2021, 13, 1327. https://doi.org/10.3390/polym13081327
El-Hamshary H, El-Naggar ME, El-Faham A, Abu-Saied MA, Ahmed MK, Al-Sahly M. RETRACTED: Preparation and Characterization of Nanofibrous Scaffolds of Ag/Vanadate Hydroxyapatite Encapsulated into Polycaprolactone: Morphology, Mechanical, and In Vitro Cells Adhesion. Polymers. 2021; 13(8):1327. https://doi.org/10.3390/polym13081327
Chicago/Turabian StyleEl-Hamshary, Hany, Mehrez E. El-Naggar, Ayman El-Faham, M. A. Abu-Saied, M. K. Ahmed, and Mosaed Al-Sahly. 2021. "RETRACTED: Preparation and Characterization of Nanofibrous Scaffolds of Ag/Vanadate Hydroxyapatite Encapsulated into Polycaprolactone: Morphology, Mechanical, and In Vitro Cells Adhesion" Polymers 13, no. 8: 1327. https://doi.org/10.3390/polym13081327
APA StyleEl-Hamshary, H., El-Naggar, M. E., El-Faham, A., Abu-Saied, M. A., Ahmed, M. K., & Al-Sahly, M. (2021). RETRACTED: Preparation and Characterization of Nanofibrous Scaffolds of Ag/Vanadate Hydroxyapatite Encapsulated into Polycaprolactone: Morphology, Mechanical, and In Vitro Cells Adhesion. Polymers, 13(8), 1327. https://doi.org/10.3390/polym13081327

