Evaluation of the Suitability of Poly(Lactide)/Poly(Butylene-Adipate-co-Terephthalate) Blown Films for Chilled and Frozen Food Packaging Applications
Abstract
1. Introduction
2. Experimental
2.1. Materials
2.2. Preparation of the Films
2.3. Rheological Characterization
2.4. Differential Scanning Calorimetry (DSC)
2.5. Fourier Transformation Infrared Spectroscopy (FT-IR)
2.6. Morphological Characterization
2.7. Oxygen Transmission Rate (OTR)
2.8. Water Vapor Transmission Rate (WVTR)
2.9. Mechanical Properties
3. Results and Discussion
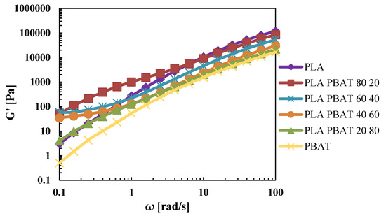
3.1. Rheological Characterization of the Pellet
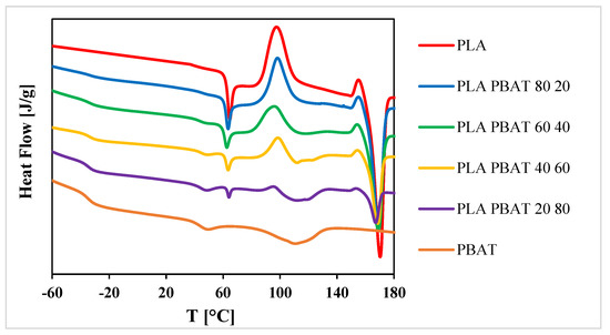
3.2. Thermal Analysis (DSC) of the Films
3.3. FT-IR
3.4. Morphological Characterization
3.5. Barrier Properties
3.6. Mechanical Properties
4. Conclusions
Author Contributions
Funding
Conflicts of Interest
References
- Krishnan, S.; Pandey, P.; Mohanty, S.; Nayak, S.K. Toughening of Polylactic Acid: An Overview of Research Progress. Polym. Plast. Technol. Eng. 2016, 55, 1623–1652. [Google Scholar] [CrossRef]
- Plastics Europe. Plastic-the Facts 2019: An Analysis of European Plastics Production, Demand and Waste Data. 2019. Available online: https://www.plasticseurope.org/en/resources/publications/1804-plastics-facts-2019 (accessed on 18 March 2020).
- Dilkes-Hoffman, L.S.; Lane, J.L.; Grant, T.; Pratt, S.; Lant, P.A.; Laycock, B. Environmental impact of biodegradable food packaging whenconsidering food waste. J. Clean. Prod. 2018, 180, 325–334. [Google Scholar] [CrossRef]
- Lacks, D.; Rutledge, G. Simulation of the Temperature Dependence of Mechanical Properties of Polyethylene. J. Phys. Chem. 1994, 98, 1222–1231. [Google Scholar] [CrossRef]
- Jordan, J.L.; Casem, D.T.; Bradley, J.M.; Dwivedi, A.K.; Brown, E.N.; Jordan, C.W. Mechanical Properties of Low Density Polyethylene. J. Dyn. Behav. Mater. 2016, 2, 411–420. [Google Scholar] [CrossRef]
- Alcock, B.; Cabrera, N.O.; Barkoula, N.-M.; Reynolds, C.T.; Govaert, L.E.; Peijs, T. The effect of temperature and strain rate on the mechanical properties of highly oriented polypropylene tapes and all-polypropylene composites. Compos. Sci. Technol. 2007, 67, 2061–2070. [Google Scholar] [CrossRef]
- Mrkić, S.; Galić, K.; Ivanković, M. Effect of Temperature and Mechanical Stress on Barrier Properties of Polymeric Films Used for Food Packaging. J. Plast. Film Sheet. 2007, 23, 239–256. [Google Scholar] [CrossRef]
- Farah, S.; Anderson, D.G.; Langer, R. Physical and mechanical properties of PLA, and their functions in widespread applications—A comprehensive review. Adv. Drug Deliv. Rev. 2016, 107, 367–392. [Google Scholar] [CrossRef]
- Scarfato, P.; Di Maio, L.; Milana, M.R.; Giamberardini, S.; Denaro, M.; Incarnato, L. Performance properties, lactic acid specific migration and swelling by simulant of biodegradable poly(lactic acid)/nanoclay multilayer films for food packaging. Food Addit. Contam. A 2017, 34, 1730–1742. [Google Scholar] [CrossRef]
- Scarfato, P.; Avallone, E.; Galdi, M.R.; Di Maio, L.; Incarnato, L. Preparation, characterization, and oxygen scavenging capacity of biodegradable α-tocopherol/PLA microparticles for active food packaging applications. Polym. Compos. 2017, 38, 981–986. [Google Scholar] [CrossRef]
- Di Maio, L.; Garofalo, E.; Scarfato, P.; Incarnato, L. Effect of Polymer/Organoclay Composition on Morphology and Rheological Properties of Polylactide Nanocomposites. Polym. Compos. 2015, 36, 1135–1144. [Google Scholar] [CrossRef]
- Clarkson, C.M.; El Awad Azrak, S.M.; Chowdhury, R.; Nandy Shuvo, S.; Snyder, J.; Schueneman, G.; Ortalan, V.; Youngblood, J.P. Melt Spinning of Cellulose Nanofibril/Polylactic Acid (CNF/PLA) Composite Fibers for High Stiffness. ACS Appl. Polym. Mater. 2019, 1–2, 160–168. [Google Scholar] [CrossRef]
- Rubio-Lòpez, A.; Olmedo, A.; Díaz-Álvarez, A.; Santiuste, C. Manufacture of compression moulded PLA based biocomposites: A parametric study. Compos. Struct. 2015, 131, 995–1000. [Google Scholar] [CrossRef]
- Karkhanis, S.S.; Stark, N.M.; Sabo, R.C.; Matuana, L.M. Blown film extrusion of poly(lactic acid) without melt strength enhancers. J. Appl. Polym. Sci. 2017, 134, 45212–452229. [Google Scholar] [CrossRef]
- Coppola, B.; Cappetti, N.; Di Maio, L.; Scarfato, P.; Incarnato, L. 3D Printing of PLA/clay Nanocomposites: Influence of Printing Temperature on Printed Samples Properties. Materials 2018, 11, 1947. [Google Scholar] [CrossRef] [PubMed]
- Bitinis, N.; Verdejo, R.; Cassagnau, P.; Lopez-Manchado, M.A. Structure and properties of polylactide/natural rubber blends. Mater. Chem. Phys. 2011, 129, 823–831. [Google Scholar] [CrossRef]
- Zhang, C.; Li, W.; Zhu, B.; Chen, H.; Chi, H.; Li, L.; Qin, Y.; Xue, J. The Quality Evaluation of Postharvest Strawberries Stored in Nano-Ag Packages at Refrigeration Temperature. Polymers 2018, 10, 894. [Google Scholar] [CrossRef]
- Wang, S.; Daelemans, L.; Fiorio, R.; Gou, M.; D’hooge, D.R.; De Clerck, K.; Cardon, L. Improving Mechanical Properties for Extrusion-Based Additive Manufacturing of Poly(Lactic Acid) by Annealing and Blending with Poly(3-Hydroxybutyrate). Polymers 2019, 11, 1529. [Google Scholar] [CrossRef]
- García-Masabet, V.; Santana Pérez, O.; Cailloux, J.; Abt, T.; Sánchez-Soto, M.; Carrasco, F.; Maspoch, M.L. PLA/PA Bio-Blends: Induced Morphology by Extrusion. Polymers 2020, 12, 10. [Google Scholar] [CrossRef]
- Arruda, L.C.; Magaton, M.; Suman Bretas, R.E.; Ueki, M.M. Influence of chain extender on mechanical, thermal and morphological properties of blown films of PLA/PBAT blends. Polym. Test. 2015, 43, 27–37. [Google Scholar] [CrossRef]
- Chiu, H.-T.; Huang, S.-Y.; Chen, Y.-F.; Kuo, M.-T.; Chiang, T.-Y.; Chang, C.-Y.; Wang, Y.-H. Heat Treatment Effects on the Mechanical Properties and Morphologies of Poly (Lactic Acid)/Poly (Butylene Adipate-co-terephthalate) Blends. Int. J. Polym. Sci. 2013, 2013, 951696. [Google Scholar] [CrossRef]
- Gu, S.-Y.; Zhang, K.; Ren, J.; Zhan, H. Melt rheology of polylactide/poly(butylene adipate-co-terephthalate) blends. Carbohydr. Polym. 2008, 74, 79–85. [Google Scholar] [CrossRef]
- Wang, L.F.; Rhim, J.W.; Hong, S.-I. Preparation of poly(lactide)/poly(butylene adipate-co-terephthalate) blend films using a solvent casting method and their food packaging application. LWT-Food Sci. Technol. 2016, 68, 454–461. [Google Scholar] [CrossRef]
- Al-Itry, R.; Lamnawar, K.; Maazouz, A. Biopolymer Blends Based on Poly (lactic acid): Shear and Elongation Rheology/Structure/Blowing Process Relationships. Polymers 2015, 7, 939–962. [Google Scholar] [CrossRef]
- Rapisarda, M.; La Mantia, F.P.; Ceraulo, M.; Mistretta, M.C.; Giuffrè, C.; Pellegrino, R.; Valenti, G.; Rizzarelli, P. Photo-Oxidative and Soil Burial Degradation of Irrigation Tubes Based on Biodegradable Polymer Blends. Polymers 2019, 11, 1489. [Google Scholar] [CrossRef] [PubMed]
- Wu, H.; Hao, M. Strengthening and Toughening of Polylactide/Sisal Fiber Biocomposites via in-situ Reaction with Epoxy-Functionalized Oligomer and Poly (butylene-adipate-terephthalate). Polymers 2019, 11, 1747. [Google Scholar] [CrossRef] [PubMed]
- Liu, T.Y.; Lin, W.C.; Yang, M.C.; Chen, S.Y. Miscibility, thermal characterization and crystallization of poly(l-lactide) and poly(tetramethylene adipate-co-terephthalate) blend membranes. Polymer 2005, 46, 12586–12594. [Google Scholar] [CrossRef]
- Li, K.; Peng, J.; Turng, L.S.; Huang, H.-X. Dynamic Rheological Behavior and Morphology of Polylactide/Poly(butylenes adipate-co-terephthalate) Blends with Various Composition Ratios. Adv. Polym. Technol. 2011, 30, 151–157. [Google Scholar] [CrossRef]
- Deng, Y.; Yu, C.; Wongwiwattana, P.; Thomas, N.L. Optimising Ductility of Poly(Lactic Acid)/Poly(Butylene Adipate-co-Terephthalate) Blends Through Co-continuous Phase Morphology. J. Polym. Environ. 2018, 26, 3802–3816. [Google Scholar] [CrossRef]
- Hongdilokkul, P.; Keeratipinit, K.; Chawthai, S.; Hararak, B.; Seadan, M.; Suttiruengwong, S. A study on properties of PLA/PBAT from blown film process. IOP Conf. Ser. Mater. Sci. Eng. 2015, 87, 012112. [Google Scholar] [CrossRef]
- Xiao, H.; Lu, W.; Yeh, J.-T. Crystallization behavior of fully biodegradable poly(lactic acid)/poly(butylene adipate-co-terephthalate) blends. J. Appl. Polym. Sci. 2009, 112, 3754–3763. [Google Scholar] [CrossRef]
- Wang, X.; Peng, S.; Chen, H.; Yu, X.; Zhao, X. Mechanical properties, rheological behaviors, and phase morphologies of high-toughness PLA/PBAT blends by in-situ reactive compatibilization. Compos. Part B-Eng. 2019, 173, 107028. [Google Scholar] [CrossRef]
- Li, X.; Ai, X.; Pan, H.; Yang, J.; Gao, G.; Zhang, H.; Yang, H.; Dong, L. The morphological, mechanical, rheological, and thermal properties of PLA/PBAT blown films with chain extender. Polym. Adv. Technol. 2018, 29, 1706–1717. [Google Scholar] [CrossRef]
- Farsetti, S.; Cioni, B.; Lazzeri, A. Physico-mechanical properties of biodegradable rubber toughened polymers. Macromol. Symp. 2011, 301, 82–89. [Google Scholar]
- Tabasi, R.Y.; Ajji, A. Tailoring Heat-Seal Properties of Biodegradable Polymers through Melt Blending. Int. Polym. Process. XXXII 2017, 5, 607–613. [Google Scholar] [CrossRef]
- Gigante, V.; Canesi, I.; Cinelli, P.; Coltelli, M.B.; Lazzeria, A. Rubber Toughening of Polylactic Acid (PLA) with Poly(butylene adipate-coterephthalate) (PBAT): Mechanical Properties, Fracture Mechanics and Analysis of Ductile-to-Brittle Behavior while Varying Temperature and Test Speed. Eur. Polym. J. 2019, 115, 125–137. [Google Scholar] [CrossRef]
- Najafi, N.; Heuzey, M.C.; Carreau, P.J. Polylactide (PLA)-clay nanocomposites prepared by melt compounding in the presence of a chain extender. Compos. Sci. Technol. 2012, 72, 608–615. [Google Scholar] [CrossRef]
- Li, X.; Yan, X.; Yang, J.; Pan, H.; Gao, G.; Zhang, H.; Dong, L. Improvement of Compatibility and Mechanical Properties of the Poly(lactic acid)/Poly(butylene adipate-co-terephthalate) Blends and Films by Reactive Extrusion With Chain Extender. Polym. Eng. Sci. 2018, 58, 1868–1878. [Google Scholar] [CrossRef]
- Lu, X.; Zhao, J.; Yang, X.; Xiao, P. Morphology and properties of biodegradable poly (lactic acid)/poly (butylene adipate-co-terephthalate) blends with different viscosity ratio. Polym. Test. 2017, 60, 58–67. [Google Scholar] [CrossRef]
- Favis, B.D.; Chalifoux, J.P. The Effect of Viscosity Ratio on the Morphology of Polypropylene/Polycarbonate Blends During Processing. Polym. Eng. Sci. 1987, 27, 1591–1600. [Google Scholar] [CrossRef]
- Yu, W.; Zhou, W.; Zhou, C. Linear viscoelasticity of polymer blends with co-continuous morphology. Polymer 2010, 51, 2091–2098. [Google Scholar] [CrossRef]
- Pötschke, P.; Paul, D.R. Formation of Co-continuous Structures in Melt-Mixed Immiscible Polymer Blends. J. Macromol. Sci. C Polym. Rev. 2003, 43, 87–141. [Google Scholar] [CrossRef]
- Omonov, T.S.; Harrats, C.; Moldenaers, P.; Groeninckx, G. Phase continuity detection and phase inversion phenomena in immiscible polypropylene/polystyrene blends with different viscosity ratios. Polymer 2007, 48, 5917–5927. [Google Scholar] [CrossRef]
- Jalali Dil, E.; Carreau, P.J.; Favis, B.D. Morphology, miscibility and continuity development in poly(lactic acid)/poly(butylene adipate-co-terephthalate) blends. Polymer 2015, 68, 202–212. [Google Scholar] [CrossRef]
- Serban, D.A.; Weber, G.; Marsavina, L.; Silberschmidt, V.V.; Hufenbach, W. Tensile properties of semi-crystalline thermoplasticpolymers: Effects of temperature and strain rates. Polym. Test. 2013, 32, 413–425. [Google Scholar] [CrossRef]
- Gan, Z.; Kuwabara, K.; Yamamoto, M.; Abe, H.; Doi, Y. Solid-state structures and thermal properties of aliphaticearomatic poly(-butylene adipate-co-butylene terephthalate) copolyesters. Polym. Degrad. Stabil. 2004, 83, 289–300. [Google Scholar] [CrossRef]
- Signori, F.; Coltelli, M.B.; Bronco, S. Thermal degradation of poly(lactic acid) (PLA) and poly(butylene adipate-co-terephthalate) (PBAT) and their blends upon melt processing. Polym. Degrad. Stabil. 2009, 94, 74–82. [Google Scholar] [CrossRef]
- Jiang, L.; Wolcott, M.P.; Zhang, J. Study of biodegradable Polylactide/Poly(butylene adipate-co-terephthalate) Blend. Biomacromolecules 2006, 7, 199–207. [Google Scholar] [CrossRef]
- Al-Itry, R.; Lamnawar, K.; Maazouz, A. Improvement of thermal stability, rheological and mechanical properties of PLA, PBAT and their blends by reactive extrusion with functionalized epoxy. Polym. Degrad. Stabil. 2012, 97, 1898–1914. [Google Scholar] [CrossRef]
- Walsh, D.J.; Rostami, S. The miscibility of high polymers: The role of specific interactions. Adv. Polym. Sci. 1985, 70, 119–169. [Google Scholar]
- Fox, D.W.; Allen, R.B.; Kroschwitz, J.I. Compatibility. In Encyclopedia of Polymer Science and Engineering, 2nd ed.; Wiley and Sons: New York, NY, USA, 1985; Volume 3, pp. 758–775. [Google Scholar]
- Suyatma, N.E.; Copinet, A.; Tighzert, L.; Coma, V. Mechanical and Barrier Properties of Biodegradable Films Made from Chitosan and Poly (Lactic Acid) Blends. J. Polym. Environ. 2004, 12, 1–6. [Google Scholar] [CrossRef]
- Nielsen, L.E. Mechanical Properties of Polymers and Composites, II; Marcel Dekker: New York, NY, USA, 1974. [Google Scholar]
- Davies, W.E.A. The theory of elastic composite materials. J. Phys. D Appl. Phys. 1971, 4, 1325–1339. [Google Scholar] [CrossRef]













| I Heating | |||||||||||
|---|---|---|---|---|---|---|---|---|---|---|---|
| Tg PBAT [°C] | Tg PLA [°C] | Tcc [°C] | ΔHcc [J/g] | Tm1 PBAT [°C] | Tm2 PBAT [°C] | ΔHm PBAT [J/g] | Tm PLA [°C] | ΔHm PLA [J/g] | Xc PBAT [%] | Xc PLA [%] | |
| PLA | / | 63.5 | 97.6 | 35.3 | / | / | / | 170.3 | 36.6 | / | 1.5 |
| PLA PBAT 80 20 | −33.1 | 62.1 | 97.2 | 21.7 | / | / | / | 168.6 | 27.9 | / | 8.3 |
| PLA PBAT 60 40 | −33.9 | 61.3 | 96.0 | 14.9 | 47.5 | 118.0 | 0.8 | 169.2 | 22.8 | 1.7 | 14.1 |
| PLA PBAT 40 60 | −34.1 | 61.5 | 96.4 | 8.0 | 48.2 | 111.8 | 2.3 | 168.8 | 15.3 | 3.3 | 19.4 |
| PLA PBAT 20 80 | −35.1 | 63.2 | 95.5 | 1.7 | 48.0 | 112.6 | 7.9 | 167.2 | 6.0 | 8.7 | 22.7 |
| PBAT | −35.4 | / | / | / | 48.8 | 110.6 | 17.2 | / | / | 15.1 | / |
| P O2 [cm3·mm/m2·d·bar] | P H2O [g·mm/(d·m2)] | |
|---|---|---|
| PLA | 33.4 | 1.3 |
| PLA PBAT 80 20 | 40.9 | 1.4 |
| PLA PBAT 60 40 | 50.3 | 2.8 |
| PLA PBAT 40 60 | 61.9 | 2.9 |
| PLA PBAT 20 80 | 71.8 | 3.0 |
| PBAT | 84.0 | 3.1 |
| Mechanical Properties at Ambient Temperature | |||
|---|---|---|---|
| Blend | E (MPa) | εb (%) | σy (MPa) |
| PLA | 2411.0 ± 164.3 | 6.7 ± 1.2 | 45.3 ± 5.4 |
| PLA PBAT 80 20 | 1432.1 ± 119.7 | 15.4 ± 3.8 | 39.1 ± 2.5 |
| PLA PBAT 60 40 | 819.6 ± 73.1 | 183.0 ± 20.1 | 22.1 ± 2.3 |
| PLA PBAT 40 60 | 288.0 ± 27.4 | 220.8 ± 12.9 | 9.7 ± 1.2 |
| PLA PBAT 20 80 | 110.9 ± 6.6 | 531.9 ± 43.2 | 6.1 ± 0.7 |
| PBAT | 69.1 ± 5.0 | 581.1 ± 119.9 | 5.1 ± 0.8 |
© 2020 by the authors. Licensee MDPI, Basel, Switzerland. This article is an open access article distributed under the terms and conditions of the Creative Commons Attribution (CC BY) license (http://creativecommons.org/licenses/by/4.0/).
Share and Cite
Pietrosanto, A.; Scarfato, P.; Di Maio, L.; Nobile, M.R.; Incarnato, L. Evaluation of the Suitability of Poly(Lactide)/Poly(Butylene-Adipate-co-Terephthalate) Blown Films for Chilled and Frozen Food Packaging Applications. Polymers 2020, 12, 804. https://doi.org/10.3390/polym12040804
Pietrosanto A, Scarfato P, Di Maio L, Nobile MR, Incarnato L. Evaluation of the Suitability of Poly(Lactide)/Poly(Butylene-Adipate-co-Terephthalate) Blown Films for Chilled and Frozen Food Packaging Applications. Polymers. 2020; 12(4):804. https://doi.org/10.3390/polym12040804
Chicago/Turabian StylePietrosanto, Arianna, Paola Scarfato, Luciano Di Maio, Maria Rossella Nobile, and Loredana Incarnato. 2020. "Evaluation of the Suitability of Poly(Lactide)/Poly(Butylene-Adipate-co-Terephthalate) Blown Films for Chilled and Frozen Food Packaging Applications" Polymers 12, no. 4: 804. https://doi.org/10.3390/polym12040804
APA StylePietrosanto, A., Scarfato, P., Di Maio, L., Nobile, M. R., & Incarnato, L. (2020). Evaluation of the Suitability of Poly(Lactide)/Poly(Butylene-Adipate-co-Terephthalate) Blown Films for Chilled and Frozen Food Packaging Applications. Polymers, 12(4), 804. https://doi.org/10.3390/polym12040804

