The Potential of Agglomerated Cork for Sandwich Structures: A Systematic Investigation of Physical, Thermal, and Mechanical Properties
Abstract
1. Introduction
2. Materials and Methods
2.1. Materials
2.2. Morphological Characterization and Surface Wettability
2.3. Thermal Characterization
2.4. Mechanical Characterization
2.5. Statistical Analysis of Data
3. Results and Discussion
3.1. Morphological Characterization
3.2. Surface Wettability
3.3. Thermal Conductivity
3.4. Thermogravimetric Analysis (TGA)
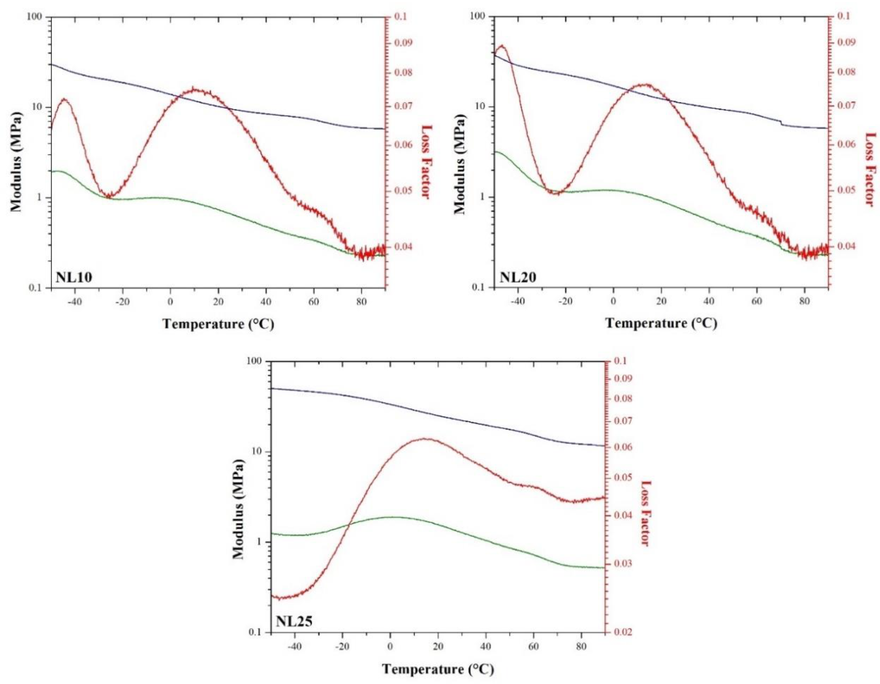
3.5. Dynamic Mechanical Analysis (DMA)
3.6. Shear Test
3.7. Bending Test
3.8. Compression Test
4. Conclusions
Author Contributions
Funding
Conflicts of Interest
References
- VinsonR, J. The Behavior of Sandwich Structures of Isotropic and Composite Materials; Technomic Publishing Company: Lancaster, PA, USA, 1999. [Google Scholar]
- Shahzad, A. Hemp fiber and its composites—A review. J. Compos. Mater. 2012, 46, 973–986. [Google Scholar] [CrossRef]
- Baran, I.; Weijermars, W. Residual bending behaviour of sandwich composites after impact. J. Sandw. Struct. Mater. 2018, 0, 1–21. [Google Scholar] [CrossRef]
- Zaharia, S.M.; Morariu, C.O.; Nedelcu, A.; Pop, M.A. Experimental Study of Static and Fatigue Behavior of CFRP-Balsa Sandwiches under Three-point Flexural Loading Sebastian. Biol. Resour. 2017, 12, 2673–2689. [Google Scholar]
- Li, X.; Liu, W.; Fang, H.; Huo, R.; Wu, P. Flexural creep behavior and life prediction of GFRP-balsa sandwich beams. Compos. Struct. 2019, 224, 111009. [Google Scholar] [CrossRef]
- Pereira, H. The rationale behind cork properties: A review of structure and chemistry. Biol. Resour. 2015, 10, 1–23. [Google Scholar] [CrossRef]
- Silva, S.P.; Sabino, M.A.; Fernandes, E.M.; Correlo, V.M.; Boesel, L.F.; Reis, R.L. Cork: Properties, capabilities and applications. Int. Mater. Rev. 2008, 53, 256. [Google Scholar] [CrossRef]
- Knapic, S.; Oliveira, V.; Machado, J.S.; Pereira, H. Cork as a building material: A review. Eur. J. Wood Wood Prod. 2016, 74, 775–791. [Google Scholar] [CrossRef]
- Paiva, D.; Gonçalves, C.; Vale, I.; Bastos, M.M.S.M.; Magalhães, F.D. Oxidized Xanthan Gum and Chitosan as Natural Adhesives for Cork. Polymers 2016, 8, 259. [Google Scholar] [CrossRef]
- Jurczyk, S.; Musioł, M.; Sobota, M.; Klim, M.; Hercog, A.; Kurcok, P.; Janeczek, H.; Rydz, J. (Bio)degradable Polymeric Materials for Sustainable Future—Part 2: Degradation Studies of P(3HB-co-4HB)/Cork Composites in Different Environments. Polymers 2019, 11, 547. [Google Scholar] [CrossRef]
- Delucia, M.; Catapano, A.; Montemurro, M.; Pailhès, J. Determination of the effective thermoelastic properties of cork-based agglomerates. J. Reinf. Plast. Compos. 2019, 38, 760–776. [Google Scholar] [CrossRef]
- Anjos, O.; Pereira, H.; Rosa, M.E. Effect of quality, porosity and density on the compression properties of cork. Holz Als Roh-und Werkst. 2008, 66, 295–301. [Google Scholar] [CrossRef]
- Rosa, M.E.; Fortes, M.A. Rate effects on the compression and recovery of dimensions of cork. J. Mater. Sci. 1988, 23, 879–885. [Google Scholar] [CrossRef]
- Cordeiro, N.; Neto, C.P.; Gandini, A.; Belgacem, M.N. Characterization-of-the-cork-surface-by-inverse-gas-chromatography. J. Colloid Interface Sci. 1995, 174, 246–249. [Google Scholar] [CrossRef]
- Limam, A.; Zerizer, A.; Quenard, D.; Sallee, H.; Chenak, A. Experimental thermal characterization of bio-based materials (Aleppo Pine wood, cork and their composites) for building insulation. Energy Build. 2016, 116, 89–95. [Google Scholar] [CrossRef]
- Kaczynski, P.; Ptak, M.; Wilhelm, J.; Fernandes, F.A.O.; De Sousa, R.J.A. International Journal of Impact Engineering High-energy impact testing of agglomerated cork at extremely low and high temperatures. Int. J. Impact. Eng. 2019, 126, 109–116. [Google Scholar] [CrossRef]
- Gibson, L.J.; Easterling, K.E.; Ashby, M.F. The Structure and Mechanics of Cork. Proc. R. Soc. A 1981, 377, 99–117. [Google Scholar] [CrossRef]
- Colloca, M.; Dorogokupets, G.; Gupta, N.; Porfiri, M. Mechanical properties and failure mechanisms of closed-cell PVC foams. Int. J. Crashworthiness 2012, 17, 327–336. [Google Scholar] [CrossRef]
- Lim, G.T.; Altstädt, V. Understanding the Compressive Behavior of Linear and Cross-linked Poly (vinyl chloride) Foams. J. Cell Plast. 2009, 45, 419–439. [Google Scholar] [CrossRef]
- Abenojar, J.; Barbosa, A.Q.; Ballesteros, Y.; Del Real, J.C.; Da Silva, L.F.M.; Martinez, M.A. Effect of surface treatments on natural cork: Surface energy, adhesion, and acoustic insulation. Wood Sci. Technol. 2014, 48, 207–224. [Google Scholar] [CrossRef]
- Gomes, C.; Fernandes, A.C. The Surface Tension of Cork from Contact Angle Measurements. J. Colloid Interface Sci. 1993, 156, 195–201. [Google Scholar] [CrossRef]
- Mcginty, K.M.; Brittain, W.J. Hydrophilic surface modification of poly (vinyl chloride) film and tubing using physisorbed free radical grafting technique Hydrophilic surface modification of poly (vinyl chloride) film and tubing using physisorbed free radical grafting technique. Polymer 2018, 49, 4350–4357. [Google Scholar] [CrossRef]
- Matias, L.; Santos, C.; Reis, M.; Gil, L. Declared value for the thermal conductivity coefficient of insulation corkboard. Wood Sci. Technol. 1997, 31, 355–365. [Google Scholar] [CrossRef]
- Şen, A.; Van Den Bulcke, J.; Defoirdt, N.; Van Acker, J.; Pereira, H. Thermal behaviour of cork and cork components. Thermochim. Acta 2014, 582, 94–100. [Google Scholar] [CrossRef]
- Shangguan, W.; Chen, Z.; Zhao, J.; Song, X. Thermogravimetric analysis of cork and cork components from Quercus variabilis. Wood Sci. Technol. 2017, 52, 181–192. [Google Scholar] [CrossRef]
- Silvano, L.T.; Vittorazzo, A.L., Jr.; Araujo, R.G. Effect of Preparation Method on the Electrical and Mechanical Properties of PVC/Carbon Nanotubes Nanocomposites. Mater. Res. 2018, 21, 5. [Google Scholar] [CrossRef]
- Paiva, D.; Magalhães, F.D. Dynamic mechanical analysis and creep-recovery behavior of agglomerated cork. Eur. J. Wood Wood Prod. 2017, 76, 133–141. [Google Scholar] [CrossRef]
- Khoshnoud, P.; Abu-zahra, N. Effect of Cenosphere Fly Ash on the Thermal, Mechanical, and Morphological Properties of Rigid PVC Foam Composites Effect of Cenosphere Fly Ash on the Thermal, Mechanical, and Morphological Properties of Rigid PVC Foam Composites. J. Res. Updates Polym. Sci. 2015, 4, 1. [Google Scholar] [CrossRef]
- Jiang, Z.; Du, Z.; Xue, J.; Liu, W.; Li, M.; Tang, T. Hierarchical structure and properties of rigid PVC foam crosslinked by the reaction between anhydride and diisocyanate. J. Appl. Polym. Sci. 2018, 135, 46141. [Google Scholar] [CrossRef]
- Reis, L.; Silva, A. Mechanical behavior of sandwich structures using natural cork agglomerates as core materials. J. Sandw. Struct. Mater. 2009, 11, 487–500. [Google Scholar] [CrossRef]
- Anjos, O.; Rodrigues, C.; Morais, J.; Pereira, H. Effect of density on the compression behaviour of cork. Mater. Des. 2014, 53, 1089–1096. [Google Scholar] [CrossRef]
- Jardin, R.T.; Fernandes, F.A.O.; Pereira, A.B.; Alves de Sousa, R.J. Static and dynamic mechanical response of different cork agglomerates. Mater. Des. 2015, 68, 121–126. [Google Scholar] [CrossRef]
- Le Barbenchon, L.; Girardot, J.; Kopp, J.; Viot, P. Strain Rate Effect on the Compressive Behaviour of Reinforced Cork Agglom- erates. EPJ Web Conf. 2018, 183, 6. [Google Scholar] [CrossRef]
- Daniel, I.M.; Cho, J.-M. Strain-Rate-Dependent Behavior of Polymeric Foams. In Proceedings of the 52nd AIAA/ASME/ASCE/AHS/ASC Structures, Structural Dynamics and Materials Conference, Denver, CO, USA, 1–7 April 2011; pp. 1–8. [Google Scholar]
































| Sample | Glass Transition Temperature (°C) |
|---|---|
| NL10 | 11.75 ± 0.78 |
| NL20 | 10.90 ± 2.12 |
| NL25 | 15.80 ± 1.27 |
| HP130 | 85.40 ± 0.56 |
| HP200 | 79.80 ± 1.98 |
| HP250 | 76.80 ± 0.99 |
| Sample | Shear Modulus (MPa) | Shear Strength (MPa) |
|---|---|---|
| NL10 | 1 ± 0.05 | 0.26 ± 0.04 |
| NL20 | 1.26 ± 0.04 | 0.57 ± 0.03 |
| NL25 | 1.92 ± 0.27 | 0.75 ± 0.04 |
| Samples | Flexural Modulus (MPa) | Flexural Strength (MPa) |
|---|---|---|
| NL10 | 9.24 ± 0.32 | 0.46 ± 0.01 |
| NL20 | 17.20 ± 0.52 | 0.86 ± 0.02 |
| NL25 | 37.28 ± 2.20 | 1.42 ± 0.04 |
| HP130 | 62.00 ± 3.49 | 2.42 ± 0.08 |
| HP200 | 147.80 ± 2.68 | 6.54 ± 0.19 |
| HP250 | 182.80 ± 4.71 | 8.31 ± 0.27 |
| Flexural Modulus Parameter | Agglomerated Cork Pr (>|t|) | PVC Foam Pr (>|t|) |
|---|---|---|
| Density | 4.67 × 10−14 | <2.00 × 10−16 |
| Temperature | 3.05 × 10−2 | 4.17 × 10−3 |
| Density × Temperature | 6.08 × 10−4 | 2.10 × 10−5 |
| Flexural Strength Parameter | Agglomerated Cork Pr (>|t|) | PVC Foam Pr (>|t|) |
|---|---|---|
| Density | <2.00 × 10−16 | <2.00 × 10−16 |
| Temperature | 4.42 × 10−4 | 7.09 × 10−5 |
| Density × Temperature | 1.71 × 10−7 | 5.22 × 10−10 |
| Dependent Variable | Multiple R2 |
|---|---|
| PVC foam flexural modulus | 0.976 |
| PVC foam flexural strength | 0.978 |
| Agglomerated cork flexural modulus | 0.865 |
| Agglomerated cork flexural strength | 0.951 |
| Test Speed (mm/min) | Compressive Modulus (MPa) | Plateau Stress (MPa) | ||||
|---|---|---|---|---|---|---|
| NL10 | NL20 | NL25 | NL10 | NL20 | NL25 | |
| 5 | 4.36 ± 0.18 | 5.58 ± 0.38 | 7.62 ± 0.54 | 0.24 ± 0.01 | 0.42 ± 0.04 | 0.64 ± 0.02 |
| 25 | 4.36 ± 0.25 | 5.80 ± 0.38 | 8.32 ± 0.66 | 0.25 ± 0.01 | 0.44 ± 0.02 | 0.70 ± 0.01 |
| 50 | 4.68 ± 0.19 | 6.82 ± 0.43 | 12.48 ± 0.61 | 0.26 ± 0.01 | 0.46 ± 0.03 | 0.71 ± 0.01 |
| 100 | 4.54 ± 0.15 | 6.96 ± 0.44 | 12.40 ± 0.12 | 0.26 ± 0.01 | 0.48 ± 0.03 | 0.73 ± 0.03 |
| 150 | 4.30 ± 0.25 | 7.12 ± 0.25 | 13.60 ± 1.17 | 0.28 ± 0.01 | 0.51 ± 0.01 | 0.78 ± 0.04 |
| 200 | 4.12 ± 0.13 | 6.62 ± 0.11 | 12.38 ± 0.40 | 0.27 ± 0.01 | 0.50 ± 0.02 | 0.78 ± 0.01 |
| Test Speed (mm/min) | Compressive Modulus (MPa) | Plateau Stress (MPa) | ||||
|---|---|---|---|---|---|---|
| HP130 | HP200 | HP250 | HP130 | HP200 | HP250 | |
| 5 | 75.08 ± 2.13 | 100.58 ± 7.43 | 118.68 ± 5.15 | 2.73 ± 0.10 | 5.82 ± 0.38 | 7.65 ± 0.08 |
| 25 | 71.52 ± 2.54 | 103.57 ± 4.61 | 121.40 ± 2.35 | 2.71 ± 0.23 | 6.02 ± 0.49 | 8.02 ± 0.14 |
| 50 | 67.92 ± 2.24 | 109 ± 4.10 | 124.62 ± 1.14 | 2.82 ± 0.18 | 6.34 ± 0.42 | 8.2 ± 0.13 |
| 100 | 65.78 ± 0.63 | 106.20 ± 2.77 | 127 ± 1.69 | 2.71 ± 0.10 | 6.68 ± 0.13 | 8.44 ± 0.10 |
| 150 | 66.56 ± 2.87 | 116.36 ± 2.47 | 128.2 ± 1.83 | 2.61 ± 0.04 | 6.52 ± 0.38 | 8.51 ± 0.14 |
| 200 | 70.68 ± 4.74 | 118.30 ± 1.46 | 128.68 ± 2.89 | 2.82 ± 0.15 | 6.50 ± 0.58 | 8.75 ± 0.13 |
| Compressive Modulus Parameter | Agglomerated Cork Pr (>|t|) | PVC Foam Pr (>|t|) |
|---|---|---|
| Density | 3.33 × 10−12 | <2.00 × 10−16 |
| Speed | 6.09 × 10−5 | 9.15 × 10−2 |
| Density × Speed | 4.18 × 10−7 | - |
| Plateau Stress Parameter | Agglomerated Cork Pr (>|t|) | PVC Foam Pr (>|t|) |
|---|---|---|
| Density | <2.00 × 10−16 | <2.20 × 10−16 |
| Speed | 2.91 × 10−2 | 1.27 × 10−2 |
| Density × Speed | 6.01 × 10−5 | 1.27 × 10−4 |
| Dependent Variable | Multiple R2 |
|---|---|
| Agglomerated cork compressive modulus | 0.842 |
| Agglomerated cork plateau stress | 0.975 |
| PVC foam plateau stress | 0.981 |
© 2019 by the authors. Licensee MDPI, Basel, Switzerland. This article is an open access article distributed under the terms and conditions of the Creative Commons Attribution (CC BY) license (http://creativecommons.org/licenses/by/4.0/).
Share and Cite
Sergi, C.; Tirillò, J.; Sarasini, F.; Barbero Pozuelo, E.; Sanchez Saez, S.; Burgstaller, C. The Potential of Agglomerated Cork for Sandwich Structures: A Systematic Investigation of Physical, Thermal, and Mechanical Properties. Polymers 2019, 11, 2118. https://doi.org/10.3390/polym11122118
Sergi C, Tirillò J, Sarasini F, Barbero Pozuelo E, Sanchez Saez S, Burgstaller C. The Potential of Agglomerated Cork for Sandwich Structures: A Systematic Investigation of Physical, Thermal, and Mechanical Properties. Polymers. 2019; 11(12):2118. https://doi.org/10.3390/polym11122118
Chicago/Turabian StyleSergi, Claudia, Jacopo Tirillò, Fabrizio Sarasini, Enrique Barbero Pozuelo, Sonia Sanchez Saez, and Christoph Burgstaller. 2019. "The Potential of Agglomerated Cork for Sandwich Structures: A Systematic Investigation of Physical, Thermal, and Mechanical Properties" Polymers 11, no. 12: 2118. https://doi.org/10.3390/polym11122118
APA StyleSergi, C., Tirillò, J., Sarasini, F., Barbero Pozuelo, E., Sanchez Saez, S., & Burgstaller, C. (2019). The Potential of Agglomerated Cork for Sandwich Structures: A Systematic Investigation of Physical, Thermal, and Mechanical Properties. Polymers, 11(12), 2118. https://doi.org/10.3390/polym11122118

