Study on Stress Corrosion Resistance of Multiphase Composite Nanobainitic Steel via Isothermal Treatment
Abstract
1. Introduction
2. Materials and Methods
3. Results and Discussion
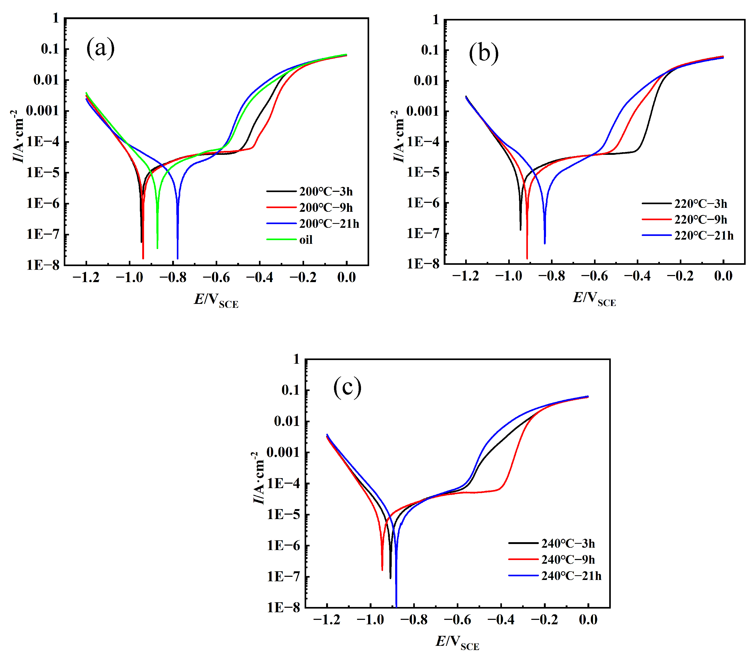
3.1. Polarization Curve Analysis
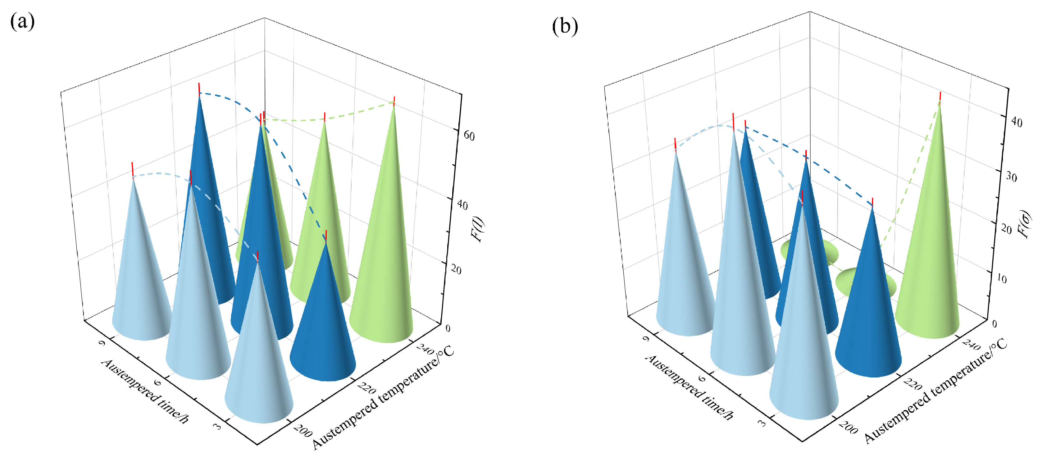
3.2. Stress Corrosion Susceptibility Analysis
- I0, I—represent the elongation in the inert medium and corrosive medium, respectively.
- F(I) represents the elongation loss rate.
- σ0, σ represent the tensile strength in air and NaCl solution, respectively.
- F(σ) represents the tensile strength loss rate.
- F(σ) reflects the extent to which the corrosive medium weakens the tensile strength, with higher values indicating poorer strength retention capability.
- F(I) characterizes the tendency toward brittle fracture induced by corrosion, with higher values indicating more significant degradation in plasticity.
3.3. Fracture Morphology Characteristics
4. Conclusions
- The results of the polarization curve indicated that both corrosion tendency and dissolution rate decrease with prolonged isothermal holding time. The synergistic effect of a high proportion of bainite and RA-F endows the specimen treated at 220 °C for 21 h with optimal corrosion resistance.
- The results of the polarization curve indicated that the sample austempered at 220 °C for 21 h exhibited the lowest corrosion tendency. Stress corrosion tensile test demonstrates that the F(σ) values of specimens austempered at 200 °C for 21 h, 220 °C for 3 h and 220 °C for 9 h are between 25% and 35%, indicating relatively low strength sensitivity. In contrast, the F(σ) values for specimens treated at 220 °C for 21 h, 240 °C for 9 h and 240 °C for 21 h are significantly below 25%, demonstrating very low strength sensitivity. Notably, the specimen austempered at 240 °C for 9 h exhibited excellent corrosion resistance while maintaining favorable comprehensive mechanical properties, with a stress corrosion cracking sensitivity coefficient for tensile strength as low as 4.1%.
- The findings of this study provide a theoretical foundation and technical support for the application of nanobainitic steel in fields such as springs, high-strength bolts, marine engineering, and the petrochemical industry.
5. Limitations
Author Contributions
Funding
Data Availability Statement
Conflicts of Interest
References
- Rana, R.; Tapia, C.E.; Rivas, M.L.; Jiménez, J.A.; Garcia-Mateo, C. Mechanical behaviour and microstructural characteristics of high-silicon ultra-strong bainitic steels for hot rolling practice. Mater. Sci. Eng. A 2025, 931, 148236. [Google Scholar] [CrossRef]
- Bhadeshia, H.K.D.H. Bainite in Steels: Theory and Practice, 3rd ed.; CRC Press: Boca Raton, FL, USA, 2019. [Google Scholar]
- Pet, W.; Liu, W.; Zhang, Y.; Qie, R.; Zhao, A. Study on Kinetics of Transformation in Medium Carbon Steel Bainite at Different Isothermal Temperatures. Materials 2021, 14, 2721. [Google Scholar] [CrossRef]
- Prathamesh, G.; Sandeep, S. Effect of fly ash on compressive strength, carbonation and corrosion resistance of reinforced concrete: A systematic review. World J. Eng. 2025, 22, 40–60. [Google Scholar] [CrossRef]
- Ayad, A.; Gholamreza, A.; Seyedkomeil, H. Effect of silica fume on Pullout capacity and corrosion resistance of hook bars in the external beam-column concrete joint. World J. Eng. 2025, 22, 357–366. [Google Scholar] [CrossRef]
- Lei, K.; Chen, L.; Lu, H.; Lian, X.; Feng, Q.; Li, H.; Dong, H. Microstructure and properties of corrosion-resistant steel produced by CASTRIP. Crystals 2025, 15, 595. [Google Scholar] [CrossRef]
- Sun, J.L.; Tang, H.J.; Wang, C.L.; Han, Z.; Li, S.S. Effects of alloying elements and microstructure on stainless steel corrosion: A Review. Steel. Res. Int. 2022, 93, 2100450. [Google Scholar] [CrossRef]
- Wang, D.; Zhong, Q.D.; Yang, J.; Zhang, S.J. Effects of Cr and Ni on the microstructure and corrosion resistance of high-strength low alloy steel. J. Mater. Res. Technol. 2023, 23, 36–52. [Google Scholar] [CrossRef]
- Feng, C.; Zhu, L.J.; Cheng, X.; Li, Z.; Gui, X.L.; Gao, G.H. Mechanistic role of vanadium microalloying in improving corrosion resistance of low carbon bainitic steel. J. Mater. Res. Technol. 2024, 33, 982–993. [Google Scholar] [CrossRef]
- Lv, W.; Yan, L.; Pang, X.; Qiao, L.; Su, Y.; Salvatori, I.; Gao, K.; Yang, H. Synergistic effect of Cu and Cr on pitting behavior induced by MnS inclusions in low alloy steels. J. Alloys Compd. 2021, 864, 158133. [Google Scholar] [CrossRef]
- Scully, J.R.; Inma, S.B.; Gerard, A.Y.; Taylor, C.D.; Windl, W.G.; Schreiber, D.K.; Lu, P.; Saal, J.E.; Frankel, G. Controlling the corrosion resistance of multi-principal element alloys. Scripta. Mater. 2020, 188, 96–101. [Google Scholar] [CrossRef]
- Song, D.; Hao, D.; Yang, F.L.; Chen, H.D.; Liang, N.N.; Wu, Y.Y.; Zhang, J.C.; Ma, H.; Klu, E.E.; Gao, B. Corrosion behavior and mechanism of Cr–Mo alloyed steel: Role of ferrite/bainite duplex microstructure. J. Alloy. Compd. 2019, 809, 151787. [Google Scholar] [CrossRef]
- Li, L.; Liu, H.; Yan, Y.; Zhu, H.L.; Fang, H.J.; Luo, X.R.; Dai, Y.L.; Yu, K. Effects of alloying elements on the electrochemical behaviors of Al-Mg-Ga-In based anode alloys. Int. J. Hydrogen. Energ. 2019, 44, 12073–12084. [Google Scholar] [CrossRef]
- Kong, D.J.; Wang, J.C. Salt spray corrosion and electrochemical corrosion properties of anodic oxide film on 7475 aluminum alloy. J. Alloy. Compd. 2015, 632, 286–290. [Google Scholar] [CrossRef]
- Liu, W.M.; Zhou, Q.J.; Li, L.S.; Wu, Z.J.; Cao, F.B.; Gao, Z.F. Effect of alloy element on corrosion behavior of the huge crude oil storage tank steel in seawater. J. Alloy. Compd. 2014, 598, 198–204. [Google Scholar] [CrossRef]
- Zheng, Q.J.; Wu, J.; Jiang, H.X.; Zhang, L.L.; Zhao, J.Z.; He, J. Effect of micro-alloying element La on corrosion behavior of Al-Mg-Si alloys. Corros. Sci. 2021, 179, 109113. [Google Scholar] [CrossRef]
- Yuan, J.; Li, P.; Zhang, H.H.; Yin, S.B.; Xu, M.L.; Zhou, A.K. The Effects of alloying elements on the corrosion of rebar steel in a chloride environment. Metals. 2025, 15, 383. [Google Scholar] [CrossRef]
- Liu, Z.; Lian, X.T.; Liu, T.S.; Yang, Y.D.; Zhu, J.A.; Dong, H. Effects of rare earth elements on corrosion behaviors of low-carbon steels and weathering steels. Mater. Corros. 2020, 71, 258–266. [Google Scholar] [CrossRef]
- Long, X.Y.; Wang, W.S.; Zhu, R.R.; Li, Y.N.; Yang, Y.; Tong, L.; Liu, Y.D.; Li, Y.G.; Wang, Y.F. Study on corrosion resistance of plain high-strength bainite steel in an industrial atmospheric corrosion environment. J. Mater. Eng. Perform. 2025, 1–12. [Google Scholar] [CrossRef]
- Łukaszczyk, A.; Banaś, J.; Pisarek, M.; Seyeux, A.; Marcus, P.; Światowska. Effect of Cr content on corrosion resistance of low-Cr alloy steels studied by surface and electrochemical techniques. J. Electrochem. 2021, 2, 546–562. [Google Scholar] [CrossRef]
- Benmessaoud, M.; Es-salah, K.; Hajjaji, N.; Takenouti, H.; Srhiri, A.; Ebentouhami, M. Inhibiting effect of 2-mercaptobenzimidazole on the corrosion of Cu–30Ni alloy in aerated 3% NaCl in presence of ammonia. Corros. Sci. 2007, 49, 3880–3888. [Google Scholar] [CrossRef]
- Cheng, X.Q.; Jin, Z.; Liu, M.; Li, X.G. Optimizing the nickel content in weathering steels to enhance their corrosion resistance in acidic atmospheres. Corros. Sci. 2017, 115, 135–142. [Google Scholar] [CrossRef]
- Sequeira, C.A.C.; Cardoso, D.S.P.; Amaral, L.; Šljukić, B.; Santos, D.M.F. Corrosion-resistant materials for alkaline water electrolyzers. Corrosion 2020, 76, 1155–1176. [Google Scholar] [CrossRef]
- Hendery, M.L.; Whittaker, M.T.; Cockings, B.J.; Mignanelli, P.M. The effect of salt composition on the stress-free and corrosion-fatigue performance of a fine-grained nickel-based superalloy. Corros. Sci. 2022, 198, 110113. [Google Scholar] [CrossRef]
- Xiao, X.M.; Peng, Y.; Ma, C.Y.; Tian, Z.L. Effects of alloy element and microstructure on corrosion resistant property of deposited metals of weathering steel. J. Iron Steel Res. Int. 2023, 23, 171–177. [Google Scholar] [CrossRef]
- Singh, K.; Singh, A. Effect of austempering temperature on corrosion evolution during immersion of high carbon nano-structured bainitic steel in aqueous chloride environment. Materialia 2022, 21, 101282. [Google Scholar] [CrossRef]
- Wang, Y.; Zhang, F.; Yang, Z.; Lv, B.; Zheng, C. Rolling contact fatigue performances of carburized and high-C nanostructured bainitic steels. Materials 2016, 9, 960. [Google Scholar] [CrossRef]
- Lunarska, E.; Nikiforow, K.; Sitko, E. Stress corrosion cracking of bainite 0.3C-1Cr-1Mn-1Si-1Ni type steel in acid rain simulated solution. Materials. And. Corrosion 2004, 55, 373–380. [Google Scholar] [CrossRef]
- Wang, Z.F.; Li, P.H.; Guan, Y.; Chen, Q.F.; Pu, S.K. The corrosion resistance of ultra-low carbon bainitic steel. Corros. Sci. 2009, 51, 954–961. [Google Scholar] [CrossRef]
- Wang, Z.F.; Yin, F.X.; Wu, L.X.; Sun, Y.Q.; Zhang, W.L. Corrosion resistance on high strength bainitic steel and 09CuPCrNi after wet-dry cyclic conditions. J. Iron. Steel. Res. Int. 2013, 20, 72–78. [Google Scholar] [CrossRef]
- Ma, H.C.; Liu, Z.Y.; Du, C.W.; Wang, H.R.; Li, X.G.; Zhang, D.W.; Cui, Z.Y. Stress corrosion cracking of E690 steel as a welded joint in a simulated marine atmosphere containing sulphur dioxide. Corros. Sci. 2015, 100, 627–641. [Google Scholar] [CrossRef]
- Zhao, T.L.; Liu, Z.Y.; Du, C.W.; Dai, C.D.; Li, X.G.; Zhang, B.W. Corrosion fatigue crack initiation and initial propagation mechanism of E690 steel in simulated seawater. Mater. Sci. Eng. A 2017, 708, 181–192. [Google Scholar] [CrossRef]
- Liang, Z.Q.; Li, H.G.; Wang, Q.C.; Sun, X.W.; Gao, X.L.; Yuan, S.J.; Yang, Z.Y. Enhancing the resistance to hydrogen embrittlement in bainitic steel via grain refinement, dislocation density reduction, and retained austenite stability improvement. J. Mater. Sci. Technol. 2026, 247, 214–225. [Google Scholar] [CrossRef]
- Lv, B.; Zhang, Z.M.; Yang, Z.N.; Zhang, F.; Zheng, C.; He, Y. A higher corrosion resistance for a bainitic steel with Al instead of Si. Mater. Lett. 2016, 173, 95–97. [Google Scholar] [CrossRef]
- Kazum, O.; Kannan, M.B.; Beladi, H.; Timokhina, I.B.; Hodgson, P.D.; Khoddam, S. Aqueous corrosion performance of nanostructured bainitic steel. Mater. Des. 2014, 54, 67–71. [Google Scholar] [CrossRef]
- Moon, A.P.; Sangal, S.; Layek, S.; Mondal, K. Corrosion behavior of high-strength bainitic rail steels. Metall. Mater. Trans. A 2015, 46, 1500–1518. [Google Scholar] [CrossRef]
- Sandeep, K.G.; Manna, R.; Chattopadhyay, K. Effect of austempering time on electrochemical and immersion corrosion behaviour of high carbon, carbide-free nanostructured bainitic steel in an aqueous 3.5% NaCl. Met. Mater. Int. 2023, 29, 2533–2555. [Google Scholar] [CrossRef]
- Qu, S.P.; Pang, X.L.; Wang, Y.B.; Gao, K.W. Corrosion behavior of each phase in low carbon microalloyed ferrite-bainite dual-phase steel: Experiments and modeling. Corros. Sci. 2013, 75, 67–77. [Google Scholar] [CrossRef]
- Davis, L.; Panda, A.; Ramkumar, P. The influence of lubricants on white etching areas formation in DLC-coated bearing steel under severe boundary lubrication. Tribol. Int. 2024, 192, 109310. [Google Scholar] [CrossRef]
- Yang, Q.; Zhao, J.; Wang, J.J.; Yang, J.; Wang, G.; Wang, Y.H.; Li, Q.; Ding, H.F.; Xu, S.R. Microstructure evolution and mechanical properties in multi-phase composite nanobainitic steel via isothermal treatment. J. Mater. Res. Technol. 2025, 39, 9119–9131. [Google Scholar] [CrossRef]
- Li, J.H. Study on Friction and Wear Properties and Corrosion Resistance of New Self-Lubricating Bearing Materials. Master’s Thesis, Hebei University of Engineering, Handan, China, 2023. [Google Scholar]
- Li, H.D. Study on Microstructure and Corrosion Resistance of Nickel-Based 690 Alloy for Nuclear Power Plant Safe-End. Master’s Thesis, Shanghai Jiao Tong University, Shanghai, China, 2018. [Google Scholar]
- Zeng, H.T. Study on Pitting Behavior of 2205 Duplex Stainless Steel in Hot Concentrated Seawater. Ph.D. Thesis, Shanghai University, Shanghai, China, 2021. [Google Scholar]
- Wei, J.; Dong, J.H.; Ke, W.; He, X.Y. Influence of Inclusions on Early Corrosion Development of Ultra-Low Carbon Bainitic Steel in NaCl Solution. Corrosion 2015, 71, 1467–1480. [Google Scholar] [CrossRef]
- Dong, X.X.; Shen, Y.F. Improving mechanical properties and corrosion resistance of 0.5 wt.% C TRIP steel by adjusting retained austenite stability and microstructural constituents. Mater. Sci. Eng. A 2022, 852, 143737. [Google Scholar] [CrossRef]
- Bahmani, A.; Moradi, S.; Lotfpour, M.; Jeong, H.T.; Kim, W.J. Effect of grain size on the corrosion resistance of the Fe41Mn25Ni24Co8Cr2 high entropy alloy. Corros. Sci. 2024, 230, 111892. [Google Scholar] [CrossRef]
- Li, Y.; Wei, Y.Z.; Zhang, G.H.; Liu, E.K.; Luo, H.Z.; Luo, G.D.; Xi, X.K.; Wang, S.G.; Wang, W.H.; Yue, M.; et al. Windows open for highly tunable magnetostructural phase transitions. APL Mater. 2016, 4, 071101. [Google Scholar] [CrossRef]
- Collazo, A.; Figueroa, R.; Mariño-Martínez, C.; Nóvoa, X.R.; Pérez, C. Electrochemical characterization of a Fe-based shape memory alloy in an alkaline medium and the behaviour in aggressive conditions. Electrochim. Acta 2023, 444, 142034. [Google Scholar] [CrossRef]
- Gong, L. Effect of Retained Austenite on Electrochemical and Stress Corrosion Behavior in Micro-Nano Structured Bainitic Steel. Master’s Thesis, Wuhan University of Science and Technology, Wuhan, China, 2023. [Google Scholar]
- Xu, Y.T.; Zhang, B.; Wei, X.X.; Chen, Z.Y.; Li, X.L.; Ma, X.L. Detecting structure and composition of passive film on Mo-containing stainless steel formed in alkaline environment by aberration-corrected TEM. Corrosion. Sci. 2024, 235, 112208. [Google Scholar] [CrossRef]
- Freixes, L.M.; Peguet, L.; Warner, T.; Gault, B. Nanoscale perspective on the stress-corrosion cracking behavior of a peak-aged 7XXX-Al alloy. Corros. Sci. 2024, 229, 111904. [Google Scholar] [CrossRef]
- Putri, E.D.W.S.; Triyono, T.; Prabowo, A.R. Estimating Failure Mechanism of Steel Specimens using Stress Corrosion-Cracking (SCC) Testing Methods: State and Development. Procedia Struct. Integr. 2022, 41, 266–273. [Google Scholar] [CrossRef]
- Li, X.; Ran, Y.; Yu, Z.; Mao, T. Study on Sulfide Stress Corrosion Cracking Susceptibility of 20# Steel Weld Joints in H2S-Rich Environments. Molecules 2025, 30, 4499. [Google Scholar] [CrossRef]
- Sun, H.Q. Study on Mechanical Properties and Corrosion Resistance of Alloy Spring Steel. Master’s Thesis, Hebei University of Engineering, Handan, China, 2024. [Google Scholar]
- Jia, P.; Shi, L.; Li, L.F.; Huang, C.J.; Sun, W.T.; Huang, Y.N.; Dai, J.J.; Bao, R.; Zhang, B.T. Stability of retained austenite and its effect on tensile properties and hole expansion performance of high-strength steel. Mater. Sci. Eng. A 2024, 914, 147112. [Google Scholar] [CrossRef]
- Jiang, Y. Study on TRIP Effect of Super Bainite. Master’s Thesis, Changchun University of Technology, Changchun, China, 2015. [Google Scholar]










| Austempered Temperature/°C | Austempered Time/h | Corrosion Potential/VSCE (Mean ± 95% CI) | Corrosion Current Density/10−6A·cm−2 (Mean ± 95% CI) |
|---|---|---|---|
| 200 | 3 | −0.946 ± 0.005 | 7.25 ± 0.13 |
| 9 | −0.938 ± 0.102 | 5.91 ± 0.16 | |
| 21 | −0.779 ± 0.186 | 5.20 ± 0.30 | |
| 220 | 3 | −0.945 ± 0.057 | 5.64 ± 0.31 |
| 9 | −0.915 ± 0.134 | 4.39 ± 0.56 | |
| 21 | −0.833 ± 0.380 | 2.65 ± 0.41 | |
| 240 | 3 | −0.909 ± 0.112 | 4.90 ± 0.47 |
| 9 | −0.946 ± 0.057 | 5.76 ± 1.94 | |
| 21 | −0.882 ± 0.147 | 4.03 ± 1.41 | |
| Oil quenched | −0.872 ± 0.169 | 5.19 ± 1.05 | |
| Austempered Temperature/°C | Austempered Time/h | βa/(mV/dec) | βc(mV/dec) | Epass/VSCE | Ipass/10−6 A·cm−2 | Epit/VSCE | ΔEpass/V |
|---|---|---|---|---|---|---|---|
| 200 | 3 | 370.74 ± 17.9 | 106.84 ± 6.5 | −0.680 ± 0.052 | 39.68 ± 3.11 | −0.423 ± 0.037 | 0.257 ± 0.064 |
| 9 | 331.49 ± 15.9 | 104.62 ± 7.1 | −0.682 ± 0.102 | 43.18 ± 6.09 | −0.365 ± 0.070 | 0.317 ± 0.123 | |
| 21 | 318.93 ± 13.7 | 239.83 ± 8.0 | −0.717 ± 0.087 | 24.51 ± 2.63 | −0.527 ± 0.094 | 0.190 ± 0.128 | |
| 220 | 3 | 323.61 ± 17.2 | 101.81 ± 11.2 | −0.690 ± 0.169 | 35.31 ± 6.24 | −0.351 ± 0.134 | 0.339 ± 0.216 |
| 9 | 296.71 ± 14.5 | 113.58 ± 9.5 | −0.678 ± 0.134 | 35.70 ± 5.59 | −0.446 ± 0.052 | 0.232 ± 0.144 | |
| 21 | 270.44 ± 10.6 | 119.92 ± 6.3 | −0.704 ± 0.152 | 27.21 ± 4.20 | −0.520 ± 0.129 | 0.184 ± 0.199 | |
| 240 | 3 | 329.71 ± 16.5 | 106.05 ± 6.3 | −0.696 ± 0.139 | 50.55 ± 6.91 | −0.489 ± 0.112 | 0.207 ± 0.178 |
| 9 | 460.80 ± 10.6 | 98.83 ± 3.3 | −0.690 ± 0.134 | 44.94 ± 2.76 | −0.348 ± 0.084 | 0.342 ± 0.159 | |
| 21 | 228.07 ± 6.3 | 124.99 ± 9.6 | −0.700 ± 0.060 | 54.75 ± 9.89 | −0.507 ± 0.109 | 0.193 ± 0.125 | |
| Oil quenched | 326.69 ± 11.0 | 118.06 ± 6.5 | −0.674 ± 0.127 | 51.81 ± 10.24 | −0.493 ± 0.052 | 0.181 ± 0.137 | |
| Austempered Temperature/°C | Austempered Time/h | Tensile Strength/MPa | Yield Strength/MPa | Elongation/% | |||
|---|---|---|---|---|---|---|---|
| Air | Sea | Air | Sea | Air | Sea | ||
| 200 | 3 | 1503 ± 84 | 954 ± 42 | 1501 ± 79 | 288 ± 12 | 4.0 ± 1.2 | 2.3 ± 0.5 |
| 9 | 2257 ± 104 | 1280 ± 55 | 2257 ± 102 | 623 ± 22 | 7.6 ± 1.0 | 3.5 ± 1.2 | |
| 21 | 2124 ± 92 | 1407 ± 62 | 2124 ± 60 | 1407 ± 37 | 7.8 ± 1.2 | 4.2 ± 1.2 | |
| 220 | 3 | 1967 ± 72 | 1380 ± 57 | 1967 ± 70 | 1379 ± 32 | 5.6 ± 2.0 | 3.5 ± 1.0 |
| 9 | 2226 ± 77 | 1502 ± 62 | 1878 ± 62 | 1502 ± 35 | 11.4 ± 1.0 | 4.3 ± 1.2 | |
| 21 | 2078 ± 70 | 1821 ± 67 | 1977 ± 67 | 1820 ± 42 | 13.0 ± 1.2 | 4.9 ± 1.0 | |
| 240 | 3 | 2247 ± 92 | 1284 ± 55 | 1966 ± 84 | 1283 ± 30 | 10.9 ± 0.7 | 3.5 ± 1.2 |
| 9 | 1954 ± 82 | 1874 ± 47 | 1840 ± 79 | 1874 ± 40 | 13.5 ± 1.2 | 6.1 ± 1.7 | |
| 21 | 1948 ± 70 | 1891 ± 65 | 1926 ± 70 | 1890 ± 42 | 10.8 ± 1.5 | 5.8 ± 1.2 | |
| Oil quenched | 2410 ± 87 | 1261 ± 45 | 2409 ± 87 | 1245 ± 27 | 7.5 ± 0.5 | 3.2 ± 1.0 | |
| Austempered Temperature/°C | Austempered Time/h | F(I) | F(σ) |
|---|---|---|---|
| 200 | 3 | 42.5 ± 2.7 | 36.5 ± 3.0 |
| 9 | 53.9 ± 3.5 | 43.3 ± 4.0 | |
| 21 | 46.2 ± 3.0 | 33.8 ± 3.7 | |
| 220 | 3 | 37.5 ± 3.7 | 29.8 ± 2.7 |
| 9 | 62.1 ± 5.5 | 32.5 ± 3.5 | |
| 21 | 62.2 ± 5.7 | 12.4 ± 1.2 | |
| 240 | 3 | 67.9 ± 6.2 | 42.9 ± 2.7 |
| 9 | 54.8 ± 3.7 | 4.1 ± 0.5 | |
| 21 | 46.3 ± 3.5 | 2.9 ± 0.2 | |
| Oil quenched | 57.3 ± 4.2 | 47.7 ± 3.7 | |
Disclaimer/Publisher’s Note: The statements, opinions and data contained in all publications are solely those of the individual author(s) and contributor(s) and not of MDPI and/or the editor(s). MDPI and/or the editor(s) disclaim responsibility for any injury to people or property resulting from any ideas, methods, instructions or products referred to in the content. |
© 2026 by the authors. Licensee MDPI, Basel, Switzerland. This article is an open access article distributed under the terms and conditions of the Creative Commons Attribution (CC BY) license.
Share and Cite
Yang, Q.; Zhao, J.; Wang, J.; Zhang, Y.; Wang, Y.; Li, Q.; Sun, W.; Sun, Y.; Xiong, W.; Ding, H.; et al. Study on Stress Corrosion Resistance of Multiphase Composite Nanobainitic Steel via Isothermal Treatment. Crystals 2026, 16, 151. https://doi.org/10.3390/cryst16020151
Yang Q, Zhao J, Wang J, Zhang Y, Wang Y, Li Q, Sun W, Sun Y, Xiong W, Ding H, et al. Study on Stress Corrosion Resistance of Multiphase Composite Nanobainitic Steel via Isothermal Treatment. Crystals. 2026; 16(2):151. https://doi.org/10.3390/cryst16020151
Chicago/Turabian StyleYang, Qian, Jing Zhao, Junjie Wang, Yanru Zhang, Yanhui Wang, Qiang Li, Wanshuo Sun, Yanling Sun, Wei Xiong, Huafeng Ding, and et al. 2026. "Study on Stress Corrosion Resistance of Multiphase Composite Nanobainitic Steel via Isothermal Treatment" Crystals 16, no. 2: 151. https://doi.org/10.3390/cryst16020151
APA StyleYang, Q., Zhao, J., Wang, J., Zhang, Y., Wang, Y., Li, Q., Sun, W., Sun, Y., Xiong, W., Ding, H., Wang, Z., & Xu, M. (2026). Study on Stress Corrosion Resistance of Multiphase Composite Nanobainitic Steel via Isothermal Treatment. Crystals, 16(2), 151. https://doi.org/10.3390/cryst16020151

