Abstract
Calcium Carbonate (CC) exhibits broad application prospects and significant market demand due to its diverse polymorphs, each with distinct potential for application in various fields. Consequently, the preparation of CC with specific polymorphs has emerged as a research hotspot. This paper commences with an overview of the structure of CC, followed by an analysis of the advantages and disadvantages, as well as the mechanisms, of common preparation methods such as physical methods, chemical carbonation processes, and double displacement reactions. Special emphasis is placed on elucidating the influence of polymorph control agents (including inorganic ions, sugars, alcohols, and acids), process conditions (temperature, stirring rate, pH, and solution mixing rate), and reactor configurations (rotating packed beds and high-gravity reactors) on the polymorph regulation of CC. This paper points out how these factors alter the crystal formation process. Furthermore, it introduces the nucleation and growth control of CC crystallization, analyzing the mechanisms underlying these two processes. Research indicates that the carbonation process is currently a relatively mature preparation technique, with multiple factors synergistically influencing the polymorph and particle size of CC. Future efforts should focus on further improving production processes, exploring novel polymorph control agents, and delving deeper into the intrinsic mechanisms of polymorph control to achieve efficient preparation of diverse CC types.
1. Introduction
Calcium carbonate (CaCO3), a ubiquitous compound found in natural mineral deposits and biological minerals like pearls, holds substantial significance across diverse industries, including rubber manufacturing, plastics production, papermaking, and the food sector [1]. Its versatility stems from its ability to impart various functional properties to the materials it incorporates, such as enhanced strength, durability, and optical clarity. In recent decades, the increasing demand for high-end products, including premium paper, sophisticated plastic goods, and automotive paints, has propelled extensive research into ultrafine materials, particularly nanomaterials. Nanoscale calcium carbonate, as a pivotal subset within the calcium carbonate family, has emerged as a focal point of global research due to its unique properties and potential applications [2]. Calcium carbonate exists in several polymorphic forms, the most common of which are aragonite, calcite, and vaterite [2]. Each of these polymorphs exhibits unique physical and chemical properties that significantly influence their performance in various applications. Aragonite, known for its needle-like crystalline structure, tends to possess higher hardness and brittleness compared to other polymorphs. This makes aragonite particularly suitable for applications requiring high mechanical strength and wear resistance, such as in abrasives and polishing compounds. Aragonite’s unique crystal orientation can also contribute to enhanced optical properties, making it a potential candidate for optical components. Calcite, the most abundant and stable form of calcium carbonate under ambient conditions, is characterized by its rhombic crystalline structure. Calcite’s relatively low hardness and good cleavage properties make it ideal for applications where material flexibility and ease of processing are crucial. In addition, calcite’s optical transparency and biocompatibility make it a preferred material for medical applications, such as in bone scaffolds and dental implants. Also, vaterite’s unique morphological features can be tailored to enhance material performance, making it a versatile material for innovative technological advancements. In summary, the different polymorphic forms of calcium carbonate each offer distinct advantages that can be harnessed to optimize material performance in a wide range of applications.
The extensive utilization of CaCO3 in high-end sectors has prompted in-depth research into its synthesis and processing techniques. Nanoscale CaCO3, due to its small particle size and high surface area, exhibits enhanced properties such as improved dispersion, reactivity, and mechanical performance. These properties make it an ideal candidate for various applications, including reinforcing agents in polymers, fillers in paints and coatings, and as a nutrient supplement in the food industry. The application properties of nanoscale CaCO3 are influenced by multiple factors, primarily including polymorph, morphology, and particle size. Polymorph refers to the different crystalline forms that CaCO3 can adopt, such as calcite, aragonite, and vaterite. Each polymorph exhibits distinct physical and chemical properties, which can significantly affect the performance of the final product. Also, polymorphism is now frequently regarded as a valuable opportunity, as it enables a significantly broader spectrum of functionalities [3]. Morphology and particle size also play crucial roles in determining the dispersion, reactivity, and mechanical properties of nanoscale CaCO3 [4].
To achieve precise control over these factors, researchers have developed various preparation methodologies, including precipitation, sol–gel synthesis, and mechanical milling. These methods allow for the fabrication of calcium carbonate materials with unique shapes, distinct polymorphs, controllable sizes, and uniform distributions. Furthermore, the incorporation of polymorph-controlling agents, such as surfactants and polymers, can further tailor the properties of nanoscale CaCO3 to meet specific application requirements [5]. This comprehensive review analyzes and summarizes the research conducted by scholars globally in the field of nanoscale calcium carbonate. It emphasizes the controllable preparation of polymorphs, exploring the various preparation methodologies and polymorph-controlling agents used to tailor the properties of nanoscale CaCO3. Additionally, it offers insights into future directions and prospects for this burgeoning area of research, highlighting potential advancements in synthesis techniques, characterization methods, and new applications.
2. Properties and Preparation of Various Polymorphs of Nano-Calcium Carbonate
Calcium carbonate, with a relative molecular mass of 100.09, exhibits limited solubility in water at room temperature (Ksp = 2.9 × 10−9), and its decomposition reaction usually takes place in the 825–950 °C temperature range in industrial practice, as noted in [6]. It is odorless, non-toxic, and non-irritating, typically manifesting as a white solid with a density ranging from 2.6 to 2.93 g/cm3 and is classified as a chemically stable substance exhibiting slight alkalinity. Compared to common calcium carbonate, nano-calcium carbonate exhibits several distinctive characteristics: (1) smaller particle sizes, with an average diameter less than 100 nm; (2) larger specific surface area; (3) high surface activation rate, enabling its application in a wide range of fields; (4) higher whiteness and a slightly alkaline pH value [6,7]. Nano-calcium carbonate possesses diverse properties and is extensively utilized as a filler and pigment in the production of paper, rubber, plastics, pharmaceuticals, food, paints, textiles, and numerous other materials [8,9].
2.1. Structure of Nano-Calcium Carbonate
Nano-calcium carbonate exists in three common anhydrous polymorphs, namely, calcite, aragonite, and vaterite, with decreasing thermal stability in that order [10]. Figure 1 illustrates the microstructural diagrams of these three polymorphs of CaCO3 [11,12,13]. It is evident from the figure that each polymorph exhibits a distinct crystal morphology, with calcite appearing in rhombic and spindle shapes, aragonite in needle-like forms, and vaterite in spherical shapes. Among these three polymorphs, calcite is the most thermodynamically stable phase, aragonite is metastable, and vaterite is the most thermodynamically unstable, often transforming into calcite or aragonite within a short period [14,15]. Therefore, the synthesis of vaterite-type nano-calcium carbonate can only be achieved under specific experimental conditions.
Figure 1.
Micrographs of various calcium carbonate [11,12,13]: (a) calcite; (b) vaterite; (c) aragonite.
2.2. Methodologies for the Synthesis of Nano-Calcium Carbonate
The preparation of calcium carbonate predominantly involves two methodologies: physical and chemical approaches. The calcium carbonate obtained through physical processes is commonly referred to as heavy calcium carbonate, which naturally occurs within marble deposits and is subsequently extracted through a series of industrial procedures, including mining, crushing, and sieving. This material is distinguished by its expansive raw material availability, robust thermal stability, non-toxic nature, and economic affordability [16]. Conversely, chemical methodologies entail the synthesis of calcium carbonate through controlled chemical reactions, yielding light or Precipitated Calcium Carbonate (PCC). By manipulating experimental conditions, the crystallographic form and particle size of the calcium carbonate products can be tailored, with particles smaller than 100 nm designated as nano-calcium carbonate.
The prevalent chemical methodologies for synthesizing nano-calcium carbonate encompass carbonation and double decomposition. Based on the underlying reaction mechanisms, these methodologies can be further categorized into the [Ca(OH)2–H2O–CO2] system (carbonation methodology), the [Ca2+–H2O–CO32−] system (double decomposition methodology), and the [Ca2+–R–CO32−] system (R indicates the organic media) [17]. Figure 2 elucidates the process flow diagrams for the production of nano-calcium carbonate, with a focus on the [Ca(OH)2–H2O–CO2] and [Ca2+–H2O–CO32−] systems. The following sections provide an in-depth overview of these two systems.
Figure 2.
Preparation methods of nano calcium carbonate: (a) precipitation method; (b) bubbling method (carbonation); (c) emulsion method (W/O).
The [Ca(OH)2–H2O–CO2] (carbonation) stands as a well-established process for synthesizing nano-calcium carbonate. This methodology is characterized by its straightforward process flow and minimal capital investment in equipment. However, it necessitates a prolonged carbonation duration and exhibits suboptimal gas-liquid mass transfer efficiency [18]. Figure 3 delineates the reaction mechanism of the bubbling carbonation methodology. The chemical equations governing the synthesis of calcium carbonate through the carbonation methodology are as follows.
Figure 3.
Schematic diagram of the production mechanism of nano calcium carbonate particles via carbonation method [19]: (i) formation of Ca(OH)2 on the surface of CaO particles; (ii) dissolution of CO2 gas in water to form carbonate ions; (iii–vi) homogeneous and heterogeneous nucleation of Amorphous Calcium Carbonate (ACC); (vii) growth and crystallization of hydrated ACC.
As the carbonation reaction progresses, the supersaturation of calcium carbonate within the solution increases, ultimately leading to the nucleation and subsequent growth of crystalline particles to a specific size. The size and morphology of these crystalline particles are intricately linked to both the nucleation and growth rates of the crystals [20]. Alternatively, the [Ca2+–H2O–CO32−] system (double decomposition methodology) facilitates the production of nano-calcium carbonate with high whiteness and purity levels. However, this methodology is encumbered by elevated production costs and limited economic viability, resulting in its restricted adoption in industrial applications [21,22]. Figure 4 illustrates the process flow diagram for synthesizing nano-calcium carbonate via the double decomposition methodology. It presents a comprehensive flowchart delineating the production sequence from polymorph control agents to the definitive calcium carbonate product. Initially, a precipitation reaction transpires between Na2CO3 and CaCl2 within the mother liquor medium, facilitated by a double displacement reaction. Subsequent to this, the resultant precipitates endure a series of processing stages, including aging, centrifugation, washing, and drying, ultimately yielding dried calcium carbonate products. In the final phase, these calcium carbonate products undergo milling and screening procedures to ensure the attainment of products that meet the required quality standards. The choice of preparation methodology is paramount, as it is contingent upon the desired crystallographic form and particle size of the nano-calcium carbonate.
Figure 4.
Flow chart of the preparation of nano-CaCO3 via double decomposition method.
3. Crystal Polymorphism Control
Various types of polymorphism controllers can penetrate into the interior of crystals and adsorb on their surfaces, thereby influencing the formation of crystals and achieving the purpose of controllable preparation of specific products [23]. Polymorphism controllers exert a pronounced effect on nano-calcium carbonate. In addition to polymorphism controllers, factors such as carbon dioxide flow rate, the molar ratio of n(Ca2+)/n(CO32−), temperature, stirring rate, and ion concentration also impact the polymorphism and particle size of CaCO3 [24]. Table 1 summarizes the controlling factors for the crystallization of various polymorphs of nano-calcium carbonate.
Table 1.
Determining parameters of the crystallization of different crystalline types of nano CaCO3.
Furthermore, the reactor plays a crucial role in determining the particle size and reaction time of nano-calcium carbonate. Nessi et al. [25] investigated the influence of three key process parameters (rotation speed, slurry flow rate, and gas flow rate) on critical process performance indicators such as reaction time, particle size, and carbon dioxide capture efficiency. The results indicated that the centrifugal force generated in the rotating packed bed led to the formation of thin liquid films and droplets, significantly enhancing micro-mixing and mass transfer rates, thereby facilitating rapid nucleation and achieving a relatively uniform spatial concentration. Compared to traditional reactors, rotating bed reactors offer smaller dimensions, narrower particle size distributions, shorter reaction times, and greater ease of industrialization.
3.1. Influence of Polymorphism Controllers
3.1.1. Inorganic Ions
The concentration of Ca2+ has a significant impact on the morphology, size, and phase composition of CaCO3 crystals [26]. Furthermore, in the presence of NH4+, the pH gradually increases with rising concentration of NH4+ in the solution. Studies have shown that an excessively high initial pH is detrimental to the formation of vaterite [27,28]. Song et al. [29] found during their research that adjusting the concentrations of Ca2+ and NH4+ in solution can synergistically control the content, size, and morphology of vaterite. An increase in NH4+ concentration results in an elevated vaterite content in the product. This increase in vaterite content is attributed to the elevated NH4+ concentration in the reaction system, rather than an increase in pH value. According to Ostwald’s step rule, metastable vaterite grains are first formed in the reaction system, while the adsorption of NH4+ on the surface of vaterite particles slows down or prevents the transformation of vaterite into the stable phase of calcite.
3.1.2. Carbohydrates
Taking glucose as an example, the process begins with glucose binding with a portion of Ca2+ to produce glucose-coordinated Ca2+. Subsequently, carbonate ions combine with glucose-coordinated calcium ions and hydrated calcium ions, forming calcium carbonate molecules adsorbed on glucose and free calcium carbonate molecules. Next, free calcium carbonate molecules may combine with calcium carbonate molecules on glucose to form clustered structures. Finally, due to the coordination of carbon ions occupying the linkages, excess carbon dioxide tends to react with calcium carbonate at these linkages to produce more calcium carbonate, which disrupts the linkages and results in the formation of nanoparticles (Figure 5) [30]. Adding sucrose, glucose, and soluble starch with the same mass fraction to the reaction system all yielded relatively regular cubic calcite-type nano-calcium carbonate crystals.
Figure 5.
Growth process of nano-CaCO3 [30]: (1) addition of glucose; (2) introduction of carbon dioxide; (3) aggregation of clusters; (4) dehydration and crystallization; (5) fragmentation at chain linkages.
3.1.3. Alcohols
Commonly used alcohol regulators for controlling the polymorphism of nano-calcium carbonate include ethanol, ethylene glycol, and glycerol. As the number of hydroxyl groups in the alcohol additives increases, the surface binding ability with vaterite gradually enhances, which is more conducive to the stability of vaterite and resists re-dissolution [31,32]. Polyhydroxylic alcohol compounds form complex hydrogen bonding networks with aqueous solutions, while CO32− can form hydrogen bonds with solvents. Simultaneously, as the number of hydroxyl groups increases, the strength and number of hydrogen bonds between CO32− and solvents also increase, thus restricting the freely adjustable orientation of CO32− [33]. Trushina et al. [34] showed that the number of hydroxyl groups in the reaction medium is particularly important in terms of particle size. Additionally, when the number of hydroxyl groups in the system is the same, a higher viscosity of the polyol/water mixture results in smaller particle sizes.
3.1.4. Acids
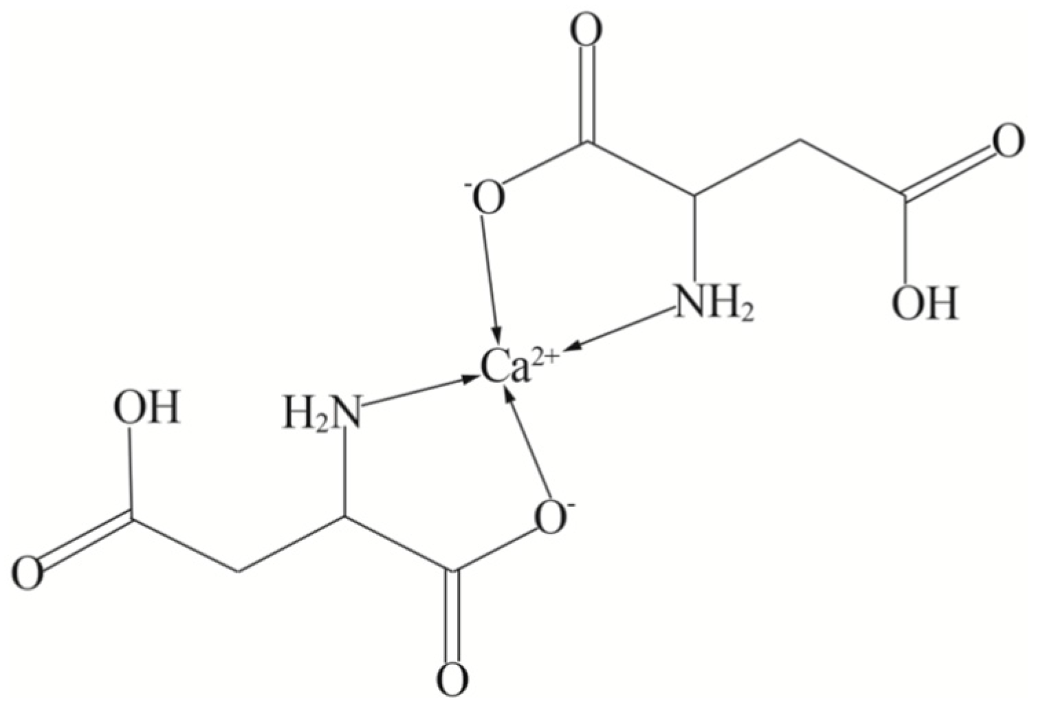
Common acid additives include aspartic acid, glycine, and others. Hood et al. [35] evaluated the inhibitory effects of different acids on the nucleation and growth of CaCO3 by monitoring turbidity and calcium concentration. They found that the order of stability of vaterite among different acids, from highest to lowest, is aspartic acid (Asp), glutamic acid (Gls), cysteine (Cys), serine (Ser), histidine (His), and leucine (Leu). During carbonization, an increase in glycine concentration inhibited the nucleation and growth of calcite and promoted the formation of vaterite [36]. The author believes that when glycine is added, it reacts with Ca(OH)2 to form (H2NCH2COO)2Ca (calcium glycinate), which may maintain the system’s buffering capacity, leading to a gradual decrease in conductivity and pH. Furthermore, calcium glycinate has a higher solubility in solution than Ca(OH)2, weakening the heterogeneous nucleation effect. Taking aspartic acid (Asp) as an example [37], the mechanism by which Asp concentration promotes the formation of vaterite was explored using the carbonization method. The mole fraction of different polymorphs in all samples is shown in Figure 6. It can be seen from Figure 6 that as the Asp concentration increases, the polymorph of the precipitated particles gradually transitions from calcite to vaterite. The added Asp reacts with Ca(OH)2 to form the complex calcium aspartate, with the structural formula shown in Figure 7. The reaction equations are as follows:
where CaCO3(V) represents vaterite and HY represents aspartic acid.
Figure 6.
Mole fractions of various crystalline forms at various concentrations of Asp [37].
Figure 7.
The chemical formula of calcium aspartate.
During the carbonization reaction, when no polymorphism controller is added, the product is calcite. As the Asp concentration increases, calcium aspartate (chelated calcium) is produced, which ionizes to produce Ca2+, leading to the formation of vaterite calcium carbonate. According to chemical equilibrium theory, increasing the Asp concentration shifts the equilibrium to the right, promoting the production of a large amount of CaY2 in reaction (6), thereby increasing the content of vaterite.
3.2. Influence of Process Conditions
- ▪
- Temperature
Temperature exerts a certain influence on the polymorphism of CaCO3. A significant negative correlation exists between supersaturation and reaction temperature. Among the three polymorphic forms—aragonite, vaterite, and calcite—the supersaturation during nucleation increases sequentially [38]. Xiao et al. [39] demonstrated that in an Ethanol-Water Binary System (EWBS), an increase in temperature accelerates the diffusion rates of Ca2+ and CO32−, thereby facilitating the transformation of vaterite to calcite through a dissolution-diffusion-recrystallization mechanism.
- ▪
- Stirring Rate
External perturbations, such as mechanical stirring and ultrasonic treatment, are generally regarded as effective methods for homogenizing ionic solutions. Utilizing the high-speed stirring of a high-shear reactor, CO2 bubbles are rapidly disrupted and evenly dispersed in the solution, which favors the formation of aragonite.
- ▪
- pH
Oral et al. [40] used calcium acetate and calcium bicarbonate as starting materials and adjusted the initial pH, with experimental results depicted in Figure 8. Rietveld refinement analysis revealed that polymorphic transformations vary with changes in ion concentration. An excess of Ca2+ in the solution favors the transformation of spherical vaterite into rhombic calcite, consistent with the findings of Han et al. [41]. Due to the addition of excessive solution, Ca2+ reacts with OH− to form Ca(OH)2, leading to a rapid decrease in calcite content. An increase in pH across all samples was observed to accompany the transformation of vaterite to calcite. This phenomenon may be related to changes in supersaturation induced by pH variations. During this reaction process, supersaturation increases with rising pH, and high supersaturation promotes the formation of calcite. However, these conditions, leading to increased supersaturation, are only effective in the early stages of particle synthesis and are prone to change over time.
Figure 8.
Percentage of calcite polycrystallinity at various pH levels and ratios of [Ca2+] to [CO32−] [40].
- ▪
- Mixing Rate of the Solution
When preparing nano-calcium carbonate via double decomposition, the mixing rate of calcium and carbonate salts influences the particle size and morphology of calcium carbonate [42]. Yang et al. [43] added Na2CO3 at a constant flow rate to a CaCl2 solution containing Ca(OH)2 slurry. As the mixing rate of the Na2CO3 solution increased, the supersaturation phenomenon during solution mixing became more pronounced. As illustrated in the Figure 9, when the mixing rate of the Na2CO3 solution gradually increased, the average grain size of the prepared calcium carbonate decreased regularly. However, when the mixing rate of the Na2CO3 solution was greater than or equivalent to 160 mL/min or direct solution mixing, the particle size of calcium carbonate increased instead. Excessive supersaturation and crystal growth rates are the primary causes of coarsening in Precipitated Calcium Carbonate (PCC) crystals. XRD analysis confirmed that all products were calcite. A rapid increase in CO32− concentration in the solution within a short period is more conducive to the formation of calcite.
Figure 9.
Micrographs of products with various injection rates of Na2CO3 [43]: (a) 20 mL/min; (b) 40 mL/min; (c) 80 mL/min; (d) 160 mL/min; (e) 320 mL/min; (f) direct mixing.
3.3. Influence of Reactor Structure
3.3.1. Rotating Packed Bed Reactor
By optimizing operational conditions, the Packed Bed Reactor (PBR) effectively addresses the issue of uneven gas-liquid mixing and enhances the micro-mixing effect between solutions. The reactor’s configuration plays a crucial role in the mass transfer coefficient, providing uniform concentrations at both the vessel and molecular scales, thereby enhancing CO2 mass transfer and significantly increasing nucleation rates [44]. By controlling these factors, particles with a narrower size distribution can be obtained. Figure 10 illustrates the setups of the Packed Bed Reactor and the Continuously Stirred Bubble Reactor (CSBR). During the experimental process, the performance of both reactors was studied and compared by varying the gas flow rate while keeping other conditions such as temperature and stirring rate constant. The results indicated that the adoption of PBR could improve the performance of CaCO3 synthesized via carbonation. The particle size analysis of PBR and CSBR is depicted in Figure 11a. It shows that the product particle size from PBR is significantly smaller than that from CSBR, and the average particle size increases with increasing gas flow rate, which may be related to the higher mass transfer coefficient provided by PBR. Higher calcium and carbon dioxide conversion rates were achieved using PBR, as shown in Figure 11b. Additionally, compared to CSBR, PBR allows for better control of the nucleation process, resulting in a narrower particle size distribution. Sun et al. [45] synthesized nano-calcium carbonate by simultaneously introducing ammonia and carbon dioxide into a calcium chloride solution in a rotating packed bed, with the products being calcium carbonate and ammonium chloride solids.
Figure 10.
Schematic diagrams of two reactor sets [44]: continuous Stirred Bubble Reactor (CSBR) (left); Packed Bed Reactor (PBR) (right).
Figure 11.
Properties of CSBR and PBR: (a) particle size distribution; (b) conversion rate of carbon dioxide [44].
3.3.2. High-Gravity Reactor
Kang et al. [46] demonstrated that in a high-gravity environment, the enhanced mass transfer and micro-mixing rates greatly improve the overall reaction efficiency, particularly for carbonation reactions (gas-liquid mass transfer processes). The centrifugal force generated in the Rotating Packed Bed (RPB) leads to the formation of liquid droplets, significantly increasing the micro-mixing and mass transfer rates, thereby enabling rapid nucleation and relatively uniform spatial concentrations. Figure 12 illustrates the setup of a high-gravity rotating packed reactor for synthesizing nano-calcium carbonate. The impact of high-gravity (g) variations on the average particle size of nano-calcium carbonate is depicted in the Figure 13a. Additionally, the influence of high-gravity (gr) changes on the operating time is shown by Figure 13b. From Figure 13a, it can be observed that as gravity increases, the particle size of the product exhibits a significant decreasing trend. This is due to the enhanced collision between the packing and the liquid, leading to an increased gas-liquid interface area and enhanced gas-liquid mass transfer. The rapid formation of CaCO3 supersaturated solution favors the generation of smaller CaCO3 particles. Figure 13b indicates that the operating time decreases with increasing gravity. This is because an increase in gravity enhances gas-liquid mass transfer within the RPB, resulting in shorter operating times.
Figure 12.
Schematic diagram of the high-gravity rotating packed bed unit [46].
Figure 13.
Effect of the supergravity on the (a) average particle size of calcium carbonate and (b) the operation time [46].
4. Fundamentals of Crystallization
The crystallization process of nano-calcium carbonate occurs due to the reaction between calcium ions and carbonate ions. Additionally, other impurity ions interact and participate in this process, potentially influencing the crystal form and morphology of calcium carbonate. Nucleation is governed by thermodynamics and marks the initiation of the corresponding phase transition. The direction of the phase transition determines whether crystal nuclei can form in the system. Crystal growth, on the other hand, is controlled by kinetics and corresponds to the limit of the phase transition. In the crystal structure, as energy decreases, the structure becomes more stable. From a thermodynamic perspective, reactions tend to proceed in the direction of lower free energy. For a system or phase, its free energy (ΔG) can be expressed as follows:
where ΔH is the enthalpy change and ΔS is the entropy change. By determining thermodynamic parameters (ΔH and ΔS, etc.) of common mineral crystals, the most stable phase of the crystal can be determined.
ΔG = ΔH − TΔS
4.1. Crystal Nucleation
Crystal nucleation is a critical step in the formation of nano-calcium carbonate, representing the initial transition from a disordered phase to an ordered phase. It is also the most difficult part of the entire process to observe due to its short duration and length scale [47]. The nucleation process of nano-calcium carbonate crystals seems to exhibit a strong dependence on supersaturation. According to classical nucleation theory, homogeneous nucleation occurs due to increased supersaturation, while heterogeneous nucleation is induced by surfaces acting as active sites. The formation of calcium carbonate can be divided into three stages (Figure 14a). In the first stage, a gradual decrease in Amorphous Calcium Carbonate (ACC) content is observed, accompanied by an increase in calcite and vaterite content. This is because the conversion rate of ACC to vaterite is faster than the conversion rate of vaterite to calcite. Figure 14b illustrates the time course of the transformation from vaterite to calcite. It clearly shows the relative time lengths of the two crystallization pathways [48]. To date, three possible mechanisms for the crystallization of ACC to vaterite have been proposed [49]: (i) homogeneous nucleation of vaterite followed by rapid aggregation; (ii) solid-state transformation to vaterite; and (iii) rapid growth of vaterite polycrystalline. In the second stage, vaterite and calcite coexist; while in the final stage, the product is almost entirely the structurally stable calcite. Most studies have shown that the transformation of the ACC phase to calcite (or other polymorphs) occurs through dissolution, recrystallization, or nucleation on the surface of precursor phases [50]. This aligns with Ostwald’s step rule.
Figure 14.
Nano-calcium carbonate: (a) the formation process [44]; (b) conversion from vaterite to calcite [51].
Goodwin et al. [51] suggested that the local coordination environment of Ca in the ACC nano-framework is similar to that in CaCO3 crystals such as vaterite and calcite. Therefore, dehydration and condensation of the ACC structure in the first stage can form vaterite-type nano-calcium carbonate. In the second and third stages, the transformation of vaterite to calcite depends on the surface area of calcite. As the reaction progresses, the newly formed calcite surface area increases, leading to an increase in the rate of calcite formation as the transformation occurs.
4.2. Crystal Growth
Following the nucleation step is the process of crystal growth, which entails the gradual enlargement of the initially formed smaller nuclei. Nucleation determines the location and size of the nuclei, whereas growth controls the size, shape, and degree of aggregation of the newly formed nanoparticles. Furthermore, the presence of different ions influences the growth rate, with smaller ion radii leading to faster growth rates [52]. As well as playing a decisive role in polymorph selection, crystal habit modifiers also affect the surface energy of different surfaces during crystal growth, thereby exerting a certain regulatory effect on the morphology of the crystals. The direct driving force for the growth of nano-calcium carbonate crystals is the supersaturation of calcium carbonate, which can only precipitate in solutions with high supersaturation. Studies have shown that the pH-stat method and the constant composition method are frequently employed in the kinetic studies of calcium carbonate growth. Taking the constant composition method for studying nano-calcium carbonate crystallization as an example, this method allows for the investigation of growth mechanisms, growth kinetics, and morphology under a constant supersaturation value in a non-nucleating environment. It is also suitable for stable particle phases and can be used to study the influence of crystal habit modifiers on the crystallization process. Research by Beck et al. [53] has indicated that a constant pH does not guarantee a constant state of supersaturation. The supersaturated state can only be sustained during precipitation when the composition of the dropping pipette and the ionic strength in the working solution fulfill the following criteria: the total alkalinity, the total carbon dioxide concentration, the total calcium ion concentration, and the ionic strength of the solution must all remain invariant.
5. Conclusions and Outlook
This paper reviews the recent progress made in the synthesis and crystallization control of nano-calcium carbonate and draws the following conclusions: (1) the currently mature process for preparing nano-calcium carbonate is the carbonation method; (2) during the carbonation process, conditions such as polymorph modifiers, carbon dioxide flow rate, temperature, stirring rate, and ion concentration affect the polymorph and particle size of calcium carbonate; and (3) in the process of crystal nucleation, the transformation of Amorphous Calcium Carbonate (ACC) into polymorphs such as calcite involves dissolution, recrystallization, or surface nucleation. Crystal growth regulates the size, shape, and aggregation degree of new nanoparticles, thereby regulating the crystal morphology. Based on the research progress in the control of nano-calcium carbonate polymorphs, the following future study directions are proposed: (1) further improvement of the production processes; (2) exploration of new polymorph modifiers for the preparation of nano-calcium carbonate with controllable polymorphs and particle sizes; (3) further in-depth study of the intrinsic mechanisms by which polymorph modifiers affect crystal nucleation and growth to achieve the goal of efficiently preparing various types of nano-calcium carbonate.
Each unique shape and structure of calcium carbonate can be tailored to meet specific needs, unlocking a wide range of possibilities in various industries. In the materials science sector, different morphologies of calcium carbonate can be utilized to enhance the mechanical properties, optical characteristics, or thermal stability of various materials. In the field of pharmaceuticals, calcium carbonate with specific morphologies may exhibit improved dissolution rates or bioavailability, making it a valuable component in drug formulations. Additionally, its use in environmental remediation could see calcium carbonate in novel forms effectively absorbing pollutants or stabilizing contaminated soils. Furthermore, the exploration of these potential applications not only drives innovation but also contributes to the sustainable development of industries by promoting the utilization of this abundant and versatile natural resource.
Author Contributions
C.-G.L., X.-C.Z. and J.-S.Z., draft writing; C.-J.J. and X.-F.C., reviewing, project administration, and funding acquisition. All authors have read and agreed to the published version of the manuscript.
Funding
This project was funded by the [Natural Science Foundation of Fujian] under grant number [No. 2023J01999]; the General Project of the Fujian Provincial Education and Scientific Research Program for Young and Middle-aged Teachers and Researchers (Social Sciences) under grant number [No. JAS24117]; and the [Startup Fund for Advanced Talents of Putian University] under grant number [2024051]. Additionally, this project received support from the [Putian University Zixiao Scholars-Young Top Talent Program-2024] under grand number [2024174], and the [Mulan River Comprehensive Governance Research Institute of Putian University] under grant number [No. ZX2024-12].
Data Availability Statement
The original contributions presented in this study are included in the article. Further inquiries can be directed to the corresponding authors.
Acknowledgments
Special recognition goes to the ‘Testing Technology Center for Materials and Devices of Tsinghua Shenzhen International Graduate School’ for their invaluable help. Also, the authors would like to express their sincere thanks to Wen-Cong Lin from Fujian Nanyu Engineering Construction Co., Ltd., Jian-Sheng Zheng from Fujian Zhongyong Construction Engineering Co., Ltd., and Guo-Hui Yan from Jinxi Holding Group Co., Ltd., all located in Putian, China, for their invaluable assistance and support in the completion of this paper.
Conflicts of Interest
Author Jiansheng Zheng was employed by the company Fujian Zhongyong Construction Engineering Co., Ltd. The remaining authors declare that the research was conducted in the absence of any commercial or financial relationships that could be construed as a potential conflict of interest.
References
- Wu, Z.G.; Wang, J.; Guo, Y.; Jia, Y.R. Exploring the Influence of Reaction Parameters on the Preparation of Calcium Carbonate by Spontaneous Precipitation. Cryst. Res. Technol. 2018, 53, 1700120. [Google Scholar] [CrossRef]
- Sovova, S.; Abalymov, A.; Pekar, M.; Skirtach, A.G.; Parakhonskiy, B. Calcium Carbonate Particles: Synthesis, Temperature and Time Influence on the Size, Shape, Phase, and Their Impact on Cell Hydroxyapatite Formation. J. Mater. Chem. B 2021, 9, 8308–8320. [Google Scholar] [CrossRef] [PubMed]
- Gentili, D.; Gazzano, M.; Melucci, M.; Jones, D.; Cavallini, M. Polymorphism as an Additional Functionality of Materials for Technological Applications at Surfaces and Interfaces. Chem. Soc. Rev. 2019, 48, 2502–2517. [Google Scholar] [CrossRef] [PubMed]
- Fadia, P.; Tyagi, S.; Bhagat, S.; Nair, A.; Panchal, P.; Dave, H.; Dang, S.; Singh, S. Calcium Carbonate Nano- and Microparticles: Synthesis Methods and Biological Applications. 3 Biotech 2021, 11, 457. [Google Scholar] [CrossRef]
- Adavi, K.; Molaei Dehkordi, A. Synthesis and Polymorph Controlling of Calcite and Aragonite Calcium Carbonate Nanoparticles in a Confined Impinging-Jets Reactor. Chem. Eng. Process.-Process Intensif. 2021, 159, 108239. [Google Scholar] [CrossRef]
- Escardino, A.; García-Ten, J.; Feliu, C.; Moreno, A. Calcium Carbonate Thermal Decomposition in White-Body Wall Tile during Firing. I. Kinetic Study. J. Eur. Ceram. Soc. 2010, 30, 1989–2001. [Google Scholar] [CrossRef]
- Clark, S.M.; Colas, B.; Jacob, D.E.; Neuefeind, J.C.; Wang, H.-W.; Page, K.L.; Soper, A.K.; Schodder, P.I.; Duchstein, P.; Zubiri, B.A.; et al. The Nano- and Meso-Scale Structure of Amorphous Calcium Carbonate. Sci. Rep. 2022, 12, 6870. [Google Scholar] [CrossRef]
- Qiu, J.; Lyu, J.-W.; Yang, J.-L.; Cui, K.-B.; Liu, H.-Z.; Wang, G.-F.; Liu, X. Review on Preparation, Modification and Application of Nano-Calcium Carbonate. Part. Part. Syst. Charact. 2024, 41, 2400097. [Google Scholar] [CrossRef]
- Ševčík, R.; Pérez-Estébanez, M.; Viani, A.; Šašek, P.; Mácová, P. Characterization of Vaterite Synthesized at Various Temperatures and Stirring Velocities without Use of Additives. Powder Technol. 2015, 284, 265–271. [Google Scholar] [CrossRef]
- Chilakala, R.; Thenepalli, T.; Huh, J.-H.; Ahn, J.-W. Precipitated Calcium Carbonate Synthesis by Simultaneous Injection to Produce Nano Whisker Aragonite. J. Korean Ceram. Soc. 2016, 53, 222–226. [Google Scholar] [CrossRef]
- Ševčík, R.; Šašek, P.; Viani, A. Physical and Nanomechanical Properties of the Synthetic Anhydrous Crystalline CaCO3 Polymorphs: Vaterite, Aragonite and Calcite. J. Mater. Sci. 2018, 53, 4022–4033. [Google Scholar] [CrossRef]
- Hussein, A.I.; Ab-Ghani, Z.; Che Mat, A.N.; Ab Ghani, N.A.; Husein, A.; Rahman, I.A. Synthesis and Characterization of Spherical Calcium Carbonate Nanoparticles Derived from Cockle Shells. Appl. Sci. 2020, 10, 7170. [Google Scholar] [CrossRef]
- Luo, M.; Zhang, G.; Fang, Y.; Cao, L.; Guo, Z.; Wang, K.; Li, J. Calcium Carbonate Crystallization Process from the Mineralization of Calcium Chloride Waste. Sep. Purif. Technol. 2023, 319, 124066. [Google Scholar] [CrossRef]
- Kogo, M.; Suzuki, K.; Umegaki, T.; Kojima, Y. Control of Aragonite Formation and Its Crystal Shape in CaCl2-Na2CO3-H2O Reaction System. J. Cryst. Growth 2021, 559, 125964. [Google Scholar] [CrossRef]
- Tabassum, S.; Sahadat Hossain, M.; Bin Mobarak, M.; Nigar, F.; Ahmed, S. Synthesis of Nano Calcium Silicates from Waste Calcite and Aragonite Phases for Efficient Adsorptive Removal of Industrial Organic Pollutants. Arab. J. Chem. 2024, 17, 105901. [Google Scholar] [CrossRef]
- Yadav, V.K.; Yadav, K.K.; Cabral-Pinto, M.M.S.; Choudhary, N.; Gnanamoorthy, G.; Tirth, V.; Prasad, S.; Khan, A.H.; Islam, S.; Khan, N.A. The Processing of Calcium Rich Agricultural and Industrial Waste for Recovery of Calcium Carbonate and Calcium Oxide and Their Application for Environmental Cleanup: A Review. Appl. Sci. 2021, 11, 4212. [Google Scholar] [CrossRef]
- Fu, H.-Y.; Qi, S.-X.; Shi, Z.-N.; Zeng, L.; Zhao, H.-B. Effect of Nano-CaCO3 on the Physical and Mechanical Properties of Analogue to Silty Mudstone Materials. Arab. J. Geosci. 2021, 14, 2502. [Google Scholar] [CrossRef]
- Li, W.; Huang, Y.; Wang, T.; Fang, M.; Li, Y. Preparation of Calcium Carbonate Nanoparticles from Waste Carbide Slag Based on CO2 Mineralization. J. Clean. Prod. 2022, 363, 132463. [Google Scholar] [CrossRef]
- Shang, D.; Zhou, N.; Dai, Z.; Song, N.; Wang, Z.; Du, P. Formation of Calcium Carbonate Nanoparticles through the Assembling Effect of Glucose and the Influence on the Properties of PDMS. RSC Adv. 2022, 12, 13600–13608. [Google Scholar] [CrossRef]
- Chen, X.-F.; Jiao, C.-J. Effect of Construction Wastes on the Rheo-Physical Behavior of Photocatalytic Mortar. Case Stud. Constr. Mater. 2022, 16, e01049. [Google Scholar] [CrossRef]
- Zhao, P.; Tian, Y.; You, J.; Hu, X.; Liu, Y. Recent Advances of Calcium Carbonate Nanoparticles for Biomedical Applications. Bioengineering 2022, 9, 691. [Google Scholar] [CrossRef] [PubMed]
- Yang, A.; Huang, Z.; Zhu, Y.; Han, Y.; Tong, Z. Preparation of Nano-Sized Calcium Carbonate in Solution Mixing Process. J. Cryst. Growth 2021, 571, 126247. [Google Scholar] [CrossRef]
- Tian, B.; Ding, Z.; Zong, S.; Yang, J.; Wang, N.; Wang, T.; Huang, X.; Hao, H. Manipulation of Pharmaceutical Polymorphic Transformation Process Using Excipients. Curr. Pharm. Des. 2020, 26, 2553–2563. [Google Scholar] [CrossRef]
- Seepma, S.Y.M.H.; Ruiz-Hernandez, S.E.; Nehrke, G.; Soetaert, K.; Philipse, A.P.; Kuipers, B.W.M.; Wolthers, M. Controlling CaCO3 Particle Size with {Ca2+}:{CO32−} Ratios in Aqueous Environments. Cryst. Growth Des. 2021, 21, 1576–1590. [Google Scholar] [CrossRef]
- Nessi, E.; Dimoliani, M.; Papadopoulos, A.I.; Ntourou, G.; Voutetakis, S.; Intzes, K.; Dimitriadis, G.; Seferlis, P. Experimental Testing for Calcium Carbonate Nanoparticles Production in a Rotating Packed Bed. Chem. Eng. Trans. 2022, 94, 727–732. [Google Scholar] [CrossRef]
- Ma, L.; Zhao, L.; Li, Y.; Zhang, J. Controllable Crystallization of Pure Vaterite Using CO2-Storage Material and Different Ca2+ Sources. J. CO2 Util. 2021, 48, 101520. [Google Scholar] [CrossRef]
- Milner, M.P.; Yang, M.; Compton, R.G. Vaterite Dissolution: Mechanism and Kinetics. J. Phys. Chem. C 2024, 128, 10388–10396. [Google Scholar] [CrossRef]
- Huang, Y.; Skirtach, A.G.; Parakhonskiy, B. V Systematic Study of Stability, Loading Efficiency and Release Mechanisms, and Cellular Interaction of Vaterite with Various Sizes. Ceram. Int. 2024, 50, 7469–7479. [Google Scholar] [CrossRef]
- Song, X.; Hua, X.; Yang, R.; Tuo, Y.; Wang, S.; Wang, J.; He, P.; Luo, X. Synergetic Effects of Initial NH4+ and Ca2+ Concentration on the Formation Vaterite Using Steamed Ammonia Liquid Waste as a Direct Carbonation. Powder Technol. 2023, 419, 118363. [Google Scholar] [CrossRef]
- Chen, W.-Z.; Jiao, C.-J.; Zhang, X.-C.; Yang, Y.; Chen, X.-F. Study on the Microstructure of Recycled Aggregate Concrete Strengthened by the Nano-SiO2 Soaking Method. Structures 2023, 58, 105388. [Google Scholar] [CrossRef]
- Wang, W.; Bao, Y.; Wang, K.; Qi, X.; Jia, Z.; Guo, S. A Novel Strategy to Enhance the Toughness of Foamed Concrete Utilizing the Synergistic Effect of Polyvinyl Alcohol Fibers and In-Situ Grown Calcium Carbonate. Constr. Build. Mater. 2025, 462, 139973. [Google Scholar] [CrossRef]
- Maslyk, M.; Mondeshki, M.; Tremel, W. Amorphous Calcium Carbonate Monohydrate Containing a Defect Hydrate Network by Mechanochemical Processing of Mono-Hydrocalcite Using Ethanol as Auxiliary Solvent. CrystEngComm 2022, 24, 4687–4697. [Google Scholar] [CrossRef]
- Remya, K.P.; Kim, S.; Kim, M.-J. Surfactant-Free Hydrothermal Fabrication of Vaterite CaCO3 with Hexagonal Bipyramidal Morphologies Using Seawater. Powder Technol. 2022, 410, 117865. [Google Scholar] [CrossRef]
- Trushina, D.B.; Bukreeva, T.V.; Antipina, M.N. Size-Controlled Synthesis of Vaterite Calcium Carbonate by the Mixing Method: Aiming for Nanosized Particles. Cryst. Growth Des. 2016, 16, 1311–1319. [Google Scholar] [CrossRef]
- Hood, M.A.; Landfester, K.; Muñoz-Espí, R. The Role of Residue Acidity on the Stabilization of Vaterite by Amino Acids and Oligopeptides. Cryst. Growth Des. 2014, 14, 1077–1085. [Google Scholar] [CrossRef]
- Lai, Y.; Chen, L.; Bao, W.; Ren, Y.; Gao, Y.; Yin, Y.; Zhao, Y. Glycine-Mediated, Selective Preparation of Monodisperse Spherical Vaterite Calcium Carbonate in Various Reaction Systems. Cryst. Growth Des. 2015, 15, 1194–1200. [Google Scholar] [CrossRef]
- Luo, J.; Kong, F.; Ma, X. Role of Aspartic Acid in the Synthesis of Spherical Vaterite by the Ca(OH)2–CO2 Reaction. Cryst. Growth Des. 2016, 16, 728–736. [Google Scholar] [CrossRef]
- Xu, A.-W.; Dong, W.-F.; Antonietti, M.; Cölfen, H. Polymorph Switching of Calcium Carbonate Crystals by Polymer-Controlled Crystallization. Adv. Funct. Mater. 2008, 18, 1307–1313. [Google Scholar] [CrossRef]
- Xiao, H.; Hu, C.; Chen, C.; Tao, C.; Wu, Y.; Jiang, J. The Advantage of Alcohol–Calcium Method on the Formation and the Stability of Vaterite against Ethanol–Water Binary Solvent Method. J. Mater. Res. 2020, 35, 289–298. [Google Scholar] [CrossRef]
- Oral, Ç.M.; Ercan, B. Influence of PH on Morphology, Size and Polymorph of Room Temperature Synthesized Calcium Carbonate Particles. Powder Technol. 2018, 339, 781–788. [Google Scholar] [CrossRef]
- Han, Y.S.; Hadiko, G.; Fuji, M.; Takahashi, M. Influence of Initial CaCl2 Concentration on the Phase and Morphology of CaCO3 Prepared by Carbonation. J. Mater. Sci. 2006, 41, 4663–4667. [Google Scholar] [CrossRef]
- Wang, B.; Yang, X.; Wang, L.; Li, G.; Li, Y. Facile Preparation of CaCO3 with Diversified Patterns Modulated by N-[(2-Hydroxyl)-Propyl-3-Trimethylammonium] Chitosan Chloride. Powder Technol. 2016, 299, 51–61. [Google Scholar] [CrossRef]
- Quan, C.-Q.; Jiao, C.-J.; Chen, W.-Z.; Xue, Z.-C.; Liang, R.; Chen, X.-F. The Impact of Fractal Gradation of Aggregate on the Mechanical and Durable Characteristics of Recycled Concrete. Fractal Fract. 2023, 7, 663. [Google Scholar] [CrossRef]
- Liendo, F.; Arduino, M.; Deorsola, F.A.; Bensaid, S. Optimization of CaCO3 Synthesis through the Carbonation Route in a Packed Bed Reactor. Powder Technol. 2021, 377, 868–881. [Google Scholar] [CrossRef]
- Sun, B.-C.; Wang, X.-M.; Chen, J.-M.; Chu, G.-W.; Chen, J.-F.; Shao, L. Synthesis of Nano-CaCO3 by Simultaneous Absorption of CO2 and NH3 into CaCl2 Solution in a Rotating Packed Bed. Chem. Eng. J. 2011, 168, 731–736. [Google Scholar] [CrossRef]
- Kang, F.; Wang, D.; Pu, Y.; Zeng, X.-F.; Wang, J.-X.; Chen, J.-F. Efficient Preparation of Monodisperse CaCO3 Nanoparticles as Overbased Nanodetergents in a High-Gravity Rotating Packed Bed Reactor. Powder Technol. 2018, 325, 405–411. [Google Scholar] [CrossRef]
- Nielsen, M.H.; Aloni, S.; Yoreo, J.J. De In Situ TEM Imaging of CaCO3 Nucleation Reveals Coexistence of Direct and Indirect Pathways. Science 2014, 345, 1158–1162. [Google Scholar] [CrossRef]
- Rodriguez-Blanco, J.D.; Shaw, S.; Benning, L.G. The Kinetics and Mechanisms of Amorphous Calcium Carbonate (ACC) Crystallization to Calcite, via Vaterite. Nanoscale 2011, 3, 265–271. [Google Scholar] [CrossRef]
- Bots, P.; Benning, L.G.; Rodriguez-Blanco, J.-D.; Roncal-Herrero, T.; Shaw, S. Mechanistic Insights into the Crystallization of Amorphous Calcium Carbonate (ACC). Cryst. Growth Des. 2012, 12, 3806–3814. [Google Scholar] [CrossRef]
- Giuffre, A.J.; Gagnon, A.C.; De Yoreo, J.J.; Dove, P.M. Isotopic Tracer Evidence for the Amorphous Calcium Carbonate to Calcite Transformation by Dissolution–Reprecipitation. Geochim. Cosmochim. Acta 2015, 165, 407–417. [Google Scholar] [CrossRef]
- Goodwin, A.L.; Michel, F.M.; Phillips, B.L.; Keen, D.A.; Dove, M.T.; Reeder, R.J. Nanoporous Structure and Medium-Range Order in Synthetic Amorphous Calcium Carbonate. Chem. Mater. 2010, 22, 3197–3205. [Google Scholar] [CrossRef]
- Liendo, F.; Arduino, M.; Deorsola, F.A.; Bensaid, S. Nucleation and Growth Kinetics of CaCO3 Crystals in the Presence of Foreign Monovalent Ions. J. Cryst. Growth 2022, 578, 126406. [Google Scholar] [CrossRef]
- Beck, R.; Seiersten, M.; Andreassen, J.-P. The Constant Composition Method for Crystallization of Calcium Carbonate at Constant Supersaturation. J. Cryst. Growth 2013, 380, 187–196. [Google Scholar] [CrossRef]
Disclaimer/Publisher’s Note: The statements, opinions and data contained in all publications are solely those of the individual author(s) and contributor(s) and not of MDPI and/or the editor(s). MDPI and/or the editor(s) disclaim responsibility for any injury to people or property resulting from any ideas, methods, instructions or products referred to in the content. |
© 2025 by the authors. Licensee MDPI, Basel, Switzerland. This article is an open access article distributed under the terms and conditions of the Creative Commons Attribution (CC BY) license (https://creativecommons.org/licenses/by/4.0/).













