Abstract
A single crystal of Bi6Te2O15 was obtained from the melt of the solid-state reaction of Bi2O3 and TeO3. Bi6Te2O15 crystallizes in the Pnma space group (No. 62) and exhibits a three-dimensional network structure with a =10.5831(12) Å, b = 22.694(3) Å, c = 5.3843(6) Å, α = β = γ = 90°, V = 1293.2(3) Å3, and Z = 4. The structure was determined using single-crystal X-ray diffraction. An asymmetric unit in the unit cell, Bi3Te1O7.5, uniquely composed of four Bi3+ sites, one Te6+ site, and nine O2− sites, was solved and refined. As a bulk phase, Bi6Te2O15 was also synthesized and characterized using powder X-ray diffraction (XRD), infrared (FT-IR) spectrometry, and the thermogravimetric analysis (TGA) method. Through bond valence sum (BVS) calculations from the single crystal structure, Bi and Te cations have +3 and +6 oxidation numbers, respectively. Each Bi3+ cation forms a square pyramidal structure with five O2− anions, and a single Te6+ cation forms a six-coordinated octahedral structure with O2− anions. Since the lone-pair electron (Lp) of the square pyramidal structure, [BiO5]7−, where the Bi+ cation occupies the center of the square base plane, exists in the opposite direction of the square plane, the asymmetric environments of all four Bi3+ cations were analyzed and explored by determining the local dipole moments. In addition, to determine the extent of bond strain and distortion in the unit cell, which is attributed to the asymmetric environments of the Bi3+ and Te6+ cations in Bi6Te2O15, bond strain index (BSI) and global instability index (GII) were also calculated. We also investigated the structural, electronic, and optical properties of the structure of Bi6Te2O15 using the full potential linear augmented plane wave (FP-LAPW) method and the density functional theory (DFT) with WIEN2k code. In order to study the ground state properties of Bi6Te2O15, the theoretical total energies were calculated as a function of reduced volumes and then fitted with the Birch–Murnaghan equation of state (EOS). The band gap energy within the modified Becke–Johnson potential with Tran–Blaha parameterization (TB-mBJ) revealed a value of 3.36 eV, which was higher than the experimental value of 3.29 eV. To explore the optical properties of Bi6Te2O15, the real and imaginary parts of the dielectric function, refraction index, optical absorption coefficient, reflectivity, the real part of the optical conductivity extinction function, and the energy loss function were also calculated.
1. Introduction
Bismuth tellurium oxides, including solid solution phases, have been synthesized and reported in the literature: Bi2TeO5 [1,2,3,4,5,6,7], Bi2TeO6 [1,8,9,10], Bi2Te2O7 [2,11,12], Bi2Te2O8 [8,10,13], Bi2Te4O11 [4,11,12], Bi10Te2O19 [4], Bi16Te5O34 [4], Bi6Te2O13+δ (δ = 0 or 2) [14,15], Bi1-xTexO(3+x)/2 (0.333 < x < 0.500) [16], etc. Among these, Bi2TeO5 has garnered attention for its applications in nonlinear microphotonic and holographic devices [5,6], particularly with recent findings highlighting the ferroelectric domains observed at room temperature in two-dimensional (2D) Bi2TeO5 grown via chemical vapor deposition (CVD) [7].
In terms of the structural composition of bismuth tellurium oxides, the oxidation number of Te cations is either 4+ or 6+, while Bi cations exhibit a consistent oxidation state of 3+. Bismuth tellurium oxides are formed through the combination of Bi3+ and Te4+ cations or the combination of Bi3+ and Te6+ cations. In the case of the structure of Bi2Te2O8 [13], both Te4+ and Te6+ cations coexist within the compound. The distinction between these cations is evident through bond valence sum (BVS) calculations based on the crystal structure. A Te6+ cation produces a six-coordinated octahedral structure as [Te6+O6]6−. Generally, transition metal cations in the reported transition metal oxides have shown distorted octahedral structures. However, the octahedral structure of [Te6+O6]6− shows no distortion because the six coordinated bonds have roughly the same bond distances. As an example, the Te6+ cation of Bi2TeO6 has an undistorted octahedral structure [9]. In contrast, the Te4+ cation exhibits three- or four-coordinated structures as [Te4+O3]2− or [Te4+O4]6−, which corresponds to a trigonal pyramid or a seesaw shape, respectively. For the Bi3+ cation, a square pyramid [Bi3+O5]7− structure with five coordinates is also available. In addition, a lone-pair electron also exists in Te4+ and Bi3+ cations, which induces distorted structures related to the second-order Jahn–Teller (SOJT) effect in Bi2TeO5 [3].
For Bi6Te2O13+δ (δ = 0 or 2), it was reported that two different phases according to the synthetic temperature conditions and the transition from Bi6Te2O15 (orthorhombic) to Bi6Te2O13 (cubic) occurs around 860 °C, which is driven by a shift in the oxidation state of the Te cation [15]. The literature also shows that Bi6Te2O15 is composed of Bi3+ and Te6+ cations and O2− anions using powder XRD or a single crystal structure using natural pingguite crystals [14]. However, for Bi6Te2O13, it was difficult to analyze the exact atomic coordinates of Bi, Te, and O due to the disorder of the Bi and Te atoms. Thus, we have demonstrated the growth of single crystals in two phases, Bi6Te2O13 and Bi6Te2O15, to determine the exact atomic coordinates in the unit cell.
In this paper, we report the structure of Bi6Te2O15 from a single crystal grown using conventional solid-state methods. Pure Bi6Te2O15 as a bulk phase was also synthesized and characterized via powder X-ray diffraction (XRD), infrared (IR) spectrometry, and the thermogravimetric analysis (TGA) method. The structure of Bi6Te2O15 was explored using the bond valence sum (BVS) calculation, the dipole moment calculation, and a calculation for the extent of the distortion and bond strain in a unit cell using the global instability index (GII) and the bond strain index (BSI). In addition, based on the determined crystal structure of Bi6Te2O15, the volume-optimized structures, density of state (DOS), band structure, and optical properties were calculated and investigated via the first-principles method.
2. Materials and Methods
Reagents Bi2O3 (Alfa Aesar, Haverhill, MA, USA, 99%) and H2TeO4·2H2O (Alfa Aesar, Haverhill, MA, USA, 99+%) were used without any further purification.
Crystal Growth Crystals of Bi6Te2O15 were obtained from a melt of the solid-state reaction of Bi2O3 and TeO3. Amorphous TeO3 was prepared by heating H2TeO4·2H2O at 400 °C for 12 h in air. Stoichiometric amounts of Bi2O3 and TeO3 were thoroughly ground and pressed into a pellet. The pellet was placed into a Pt crucible with extra amounts of Bi2O3, which acted as flux. The crucible was heated to 800 °C for 24 h, then cooled slowly to 450 °C at a rate of 3.5 °C/h, and then the furnace was turned off. Colorless plate-shaped crystals of Bi6Te2O15 and unidentified glassy products were obtained.
Single-Crystal X-ray Diffraction. A colorless plate-shaped crystal (0.030 × 0.040 × 0.150 mm3) was selected for single crystal data collection. The data were collected with a Bruker SMART APEX CCD diffractometer with graphite-monochromatized Mo-Kα radiation (λ = 0.71073 Å) at 100 K. A hemisphere of data was collected using a narrow-frame method with scan widths of 0.30° in ω and an exposure time of 30 s per frame. The data were integrated using the SAINT program [17], with the intensities corrected for Lorentz, polarization, and air absorption. Numerical methods were used for the absorption correction on the hemisphere of data. The structure was solved using direct methods (SHELXS-2014) [18,19]. As an asymmetric unit in the unit cell, the Bi3Te1O7.5 model was used, and all atoms were refined with anisotropic thermal parameters using the program SHELXL (2018) [18,19]. Data were converged for I > 2σ (I), and all calculations were performed using the WINGX-98 crystallographic software package [20]. Relevant crystallographic data and selected bond distances for Bi6Te2O15 are given in Table 1 and Table 2, with additional details found in the Supporting Information (see Supporting Information, Tables S1 and S2). The structural figure for Bi6Te2O15 was drawn using the VESTA crystal structure drawing package [21].
Table 1.
Crystallographic data and structure refinement for Bi6Te2O15.
Table 2.
Selected bond distances (Å) and bond valence sums (BVS) for Bi6Te2O15.
Powder X-ray Diffraction The powder XRD data of Bi6Te2O15 were collected on a PANalytical X’pert pro diffractometer using CuKα radiation in the 2θ range 5–65°. A step size of 0.008 degrees (deg) with a scan time of 0.3 s/deg was used.
FT-IR Spectroscopy FT-IR spectra of Bi6Te2O15 were obtained using a Thermo Scientific Nicolet 6700 FT-IR spectrometer in the range of 400–4000 cm−1.
Thermal Analysis Thermogravimetric analysis (TGA) of Bi6Te2O15 was carried out on a TA Instruments TGA 2050. About ~10 mg of the sample was placed into a Pt crucible and heated under nitrogen atmosphere at a rate of 10 °C min−1 to 900 °C.
Computational Methods All calculations were performed using the all-electron full-potential linearized augmented plane-wave (FP-LAPW) method implemented with the WIEN2k package [22,23]. Generalized gradient approximation, including the Perdew–Burke–Ernzerhof (GGA-PBE) [24,25], Perdew–Burke–Ernzerhof for solids (GGA-PBESol) [26], and Wu–Cohen (GGA-WC) [27] functionals, was used for the treatment of exchange-correlation electron interactions. To achieve an accurate electronic structure for optical properties, the modified version of the original Becke–Johnson exchange potential with Tran–Blaha parameterization (TB-mBJ) was also used [28,29]. In addition, the electron configuration for each atom was as follows: Bi: [Xe]4f145d106s26p3, Te: [Kr]4d105s25p4, and O: [He]2s22p4. The muffin tin radii (RMT) for Bi, Te, and O were 2.04, 1.81, and 1.56 Bohr, respectively, to avoid the overlapping of atomic spheres [23]. The number of plane waves in the potential of the interstitial region between the atomic spheres was restricted to RMT × kmax = 7, where RMT is the muffin tin radii and kmax indicates the highest k-vector for plane wave expansion. Valence wave functions inside MT-spheres were expanded up to lmax = 10, and the charge density was Fourier expanded up to Gmax = 16 Bohr−1. In order to optimize the cell structure, more precise calculations were performed using the first Brillouin zone sampling with 200 k-points mesh according to the Monkhorst–Pack scheme [30]. The total energy convergence criterion was also set to 10−4 Ry.
3. Results and Discussion
3.1. Single-Crystal Structure
Compared to the structure of Bi6Te2O15 obtained from the crystal fragment of natural pingguite [14], the structure of Bi6Te2O15 synthesized using the conventional solid-state method described above was similar, except that the bond distance information of the synthesized structure was better. Thus, only a brief description of the structure of Bi6Te2O15 is given here. In the binary system, Bi6Te2O15 exhibited a three-dimensional network consisting of one unique Te6+ and four unique Bi3+ cations (see Figure 1). The Te6+ cation showed an octahedral structure with six O2− anions, and the bond distances of Te–O ranged from 1.912 to 1.958 Å. Although the Te4+ cation from TeO2 was used as a starting reagent, it was expected that the relatively higher temperature condition would induce the oxidation of Te4+ cations to Te6+, accompanied by a structural change from trigonal pyramidal to octahedral. It was also proved that Te has an approx. 6+ oxidation (5.80) from the bond valance sum (BVS) calculation [31,32,33] (see Table 3). Each Bi3+ cation had a five-coordinated square pyramidal structure with asymmetric environments, and the bond distances of Bi–O ranged from 2.098 to 2.585 Å.
Figure 1.
Ball-and-stick representation of Bi6Te2O15 in the ab–plane.
Table 3.
Calculated local dipole moments of polyhedral structure of Bi6Te2O15 (D = Debye).
Each square pyramidal was also connected to the six oxygen atoms of the TeO6 octahedral via corner sharing. In addition, there was an edge-shared connection between the two square pyramidals of Bi(3) and Bi(4), and it formed the three-dimensional network structure along the ab–plane of the unit cell. Bond valence sum calculations, weighted to reflect occupancies, resulted in values of 3.01, 2.94, 2.89, and 2.77 for the Bi(1), Bi(2), Bi(3), and Bi(4) cations, respectively. In addition, all four Bi3+ cations were in asymmetric coordination environments, owing to their unbonded electron pair (lone-pair electron) in the square pyramidal (see Figure 2).
Figure 2.
ORTEP representations (50% probability ellipsoids) of Bi(1)3+, Bi(2)3+, Bi(3)3+, Bi(4)3+, and Te(1)6+ cations.
3.2. Characterization
The bulk phase of Bi6Te2O15 was also synthesized using the conventional solid-state method described above. The impurities were not observed, and the calculated and experimental powder XRD patterns were in agreement (see Supporting Information, Figure S1). The FT-IR spectra of Bi6Te2O15 revealed Te–O and Bi–O vibrations between 700 and 400 cm−1. The bands occurring between 670 and 570 cm−1 and 540 and 400 cm−1 can be assigned to Te–O and Bi–O vibrations, respectively. These assignments of vibrations were consistent with the corresponding bonds for previously reported compounds [34]. The IR spectra and assignments were deposited in the Supporting Information (see Figure S2). The thermal behavior of Bi6Te2O15 was also investigated using thermogravimetric analysis (TGA) under a nitrogen atmosphere. Bi6Te2O15 was thermally stable up to around 775 °C, and beyond that, the sample decomposed. A TGA diagram for Bi6Te2O15 was also deposited in the Supporting Information (see Figure S3). After cooling the heated sample, the final residue products, Bi2TeO5 and Bi2O3, were also confirmed via powder XRD (see Supporting Information, Figure S4).
3.3. Local Dipole Moment and Structural Distortion
To determine the contribution of the lone-pair electron to the asymmetric coordination environments of the square pyramidal, the direction and magnitude of the lone-pair polyhedral were quantified and investigated by determining the local dipole moments [35,36] (see Table 3). The method uses a bond-valence approach to calculate the direction and magnitude of a local dipole moment. This approach was also extended to include the polarization of lone-pair electrons. With the square pyramidal including the lone-pair electron, the lone-pair electron was given a charge of 2– and was localized 0.98 Å from the Bi3+ cation [37,38,39]. Using this methodology, the dipole moments for the Bi(1)O5, Bi(2)O5, Bi(3)O5, and Bi(4)O5 square pyramidals in which the lone-pair electron (Lp) was included had dipole moments of 9.3, 7.9, 8.8, and 6.8 Debye (D), respectively (see Table 3). In addition, similar to the octahedral for the transition metal oxide, the local dipole moment of the Te(1)O6 octahedral containing six Te–O bonds also had a dipole moment of 0.5 Debye (D). This shows that the TeO6 octahedral was slightly distorted, and the deviation of the Te5+ cation from the center of the octahedral was smaller [40]. The calculation of dipole moments is also described in the Supporting Information (see Table S3).
Two indices, global instability index (GII) and bond strain index (BSI), were also calculated to measure the extent to which a real structure violates its ideal structure using the difference between the real bond valence sum (ΣSij) and the theoretical bond valence sum (Σsij) [32,41,42]. This difference indicates the extent of distortion and bond strains in its unit cell. After solving the topological loop equations using the BONDVAL program [43] (see Supporting Information, Table S4), we calculated theoretical bond valences (sij) for the six Bi3+ cations, two Te6+cations, and fifteen O2− anions from the formula of Bi6Te2O15. The equation [<(Sij − sij)2>]1/2, where the symbol < > indicates the average of (Sij − sij)2 and 42 chemical bonds exist in the topological loop equations, determines the value of the BSI. The calculated value of 0.172 was significantly larger than 0.05, which means that Bi6Te2O15 was structurally strained [41]. Because two Bi(4) cations and two Te cations had relatively larger values for (Sij − sij)2 in the table containing the BSI and GII calculations, which is depicted in the Supporting Information (see Table S4), it is proposed that the structural strain in Bi6Te2O15 is attributed to the Bi(4)–O(2), Bi(4)–O(5), and Te(1)–O(1) bonds. For GII, the equation [(ΣSij − Σsij)2/N]1/2, where N is the number of atoms in the formula, was used. Since 23 atoms exist in the formula of Bi6Te2O15, N corresponded to 23. The calculated GII also was 0.279, which is larger than 0.20, meaning that the structure of Bi6Te2O15 was unstable and distorted in the unit cell [32,44].
3.4. Structural Optimization
The atomic coordinates in the unit cell of a single crystal structure of Bi6Te2O15 were used to determine the theoretical equilibrium geometry and the minimized total energy by varying the c/a ratio and the volume in the WIEN2k package [23]. After running the volume optimization under three different exchange-correlation potentials, the estimated equilibrium lattice parameters (ao, bo, and co), volume, bulk modulus (Bo), derivative of the bulk modulus (Bo′), and ground state total energy (Eo) were obtained and tabulated in Table 4. The calculated total energies were also fitted with the Birch–Murnaghan equation of state (EOS) to obtain the theoretical lattice parameters [45,46,47]. The total energy as a function of the volume for Bi6Te2O15 is shown in the Supporting Information (see Figure S5). From the volume optimization calculations, the theoretical structure with the lowest optimal energy was thought to be the ground state structure, and this structure was selected for further calculations.
Table 4.
Estimated equilibrium lattice parameters (ao, bo, co), volume, bulk modulus (Bo), derivative of bulk modulus (Bo′), and ground state energy (Eo).
3.5. Electronic Band Structure and Density of State
The band structure of Bi6Te2O15 was calculated with the volume-optimized structures along highly symmetrical points of the first Brillouin zone, Γ-Χ-S-Y-Γ-Z-U-R-T-Z, using different exchange-correlation potentials [48,49] (see Figure 3 and Table 5). To get the band-gap energy to match with the experimental one, the modified potential (TB-mBJ) was also used [29,50,51]. However, the calculated band gap was slightly higher than the experimental result by 0.07 eV (see Table 5). To further explain the nature of the electronic structure, the total density of state (TDOS) and partial density of state (PDOS) were also calculated with the GGA-PBE and the TB-mBJ potential. Figure 4 shows the plots of the TDOS and PDOS of Bi6Te2O15 with the Fermi level (EF), as illustrated by the vertical dot line at 0 eV. The lowest part of the valence band region (from −10.3 to −5.5 eV) was formed mainly by Bi-, Te-, and O-PDOS and attributed to the electrons occupying the Bi-6s, Te-5s, and O-2s orbitals, while the middle part (from −5.5 to −4.2 eV) was created by the electrons occupying the Bi-6p, Te-6p, and O-2p orbitals. In addition, the O-PDOS caused by the electrons occupying the O-2p orbitals was perceived as the main contributor to the highest part of the valence band region (from −4.2 to 0 eV). The conduction band (from 3.3 to 6.8 eV) was attributed to the empty electron orbitals of Bi-6p, Te-5p, and O-2p.
Figure 3.
Band structure of Bi6Te2O15. The calculated band gap of Bi6Te2O15 was obtained by analyzing the energy difference from the maximum of valence band at point S to the minimum of conduction band at point X. The band gap shows 3.36 eV within TB-mBJ potential.
Table 5.
Calculated and experimental band-gap energy of Bi6Te2O15.
Figure 4.
Total density of state (TDOS) and partial density of state (PDOS) of Bi6Te2O15. Depicted as a vertical dot line, EF represents the Fermi level. TDOS and PDOS were also calculated using the TB-mBJ potential. TDOS, Bi-PDOS, Te-PDOS, and O-PDOS curves were drawn with black, red, green, and blue lines, respectively.
3.6. Optical Properties
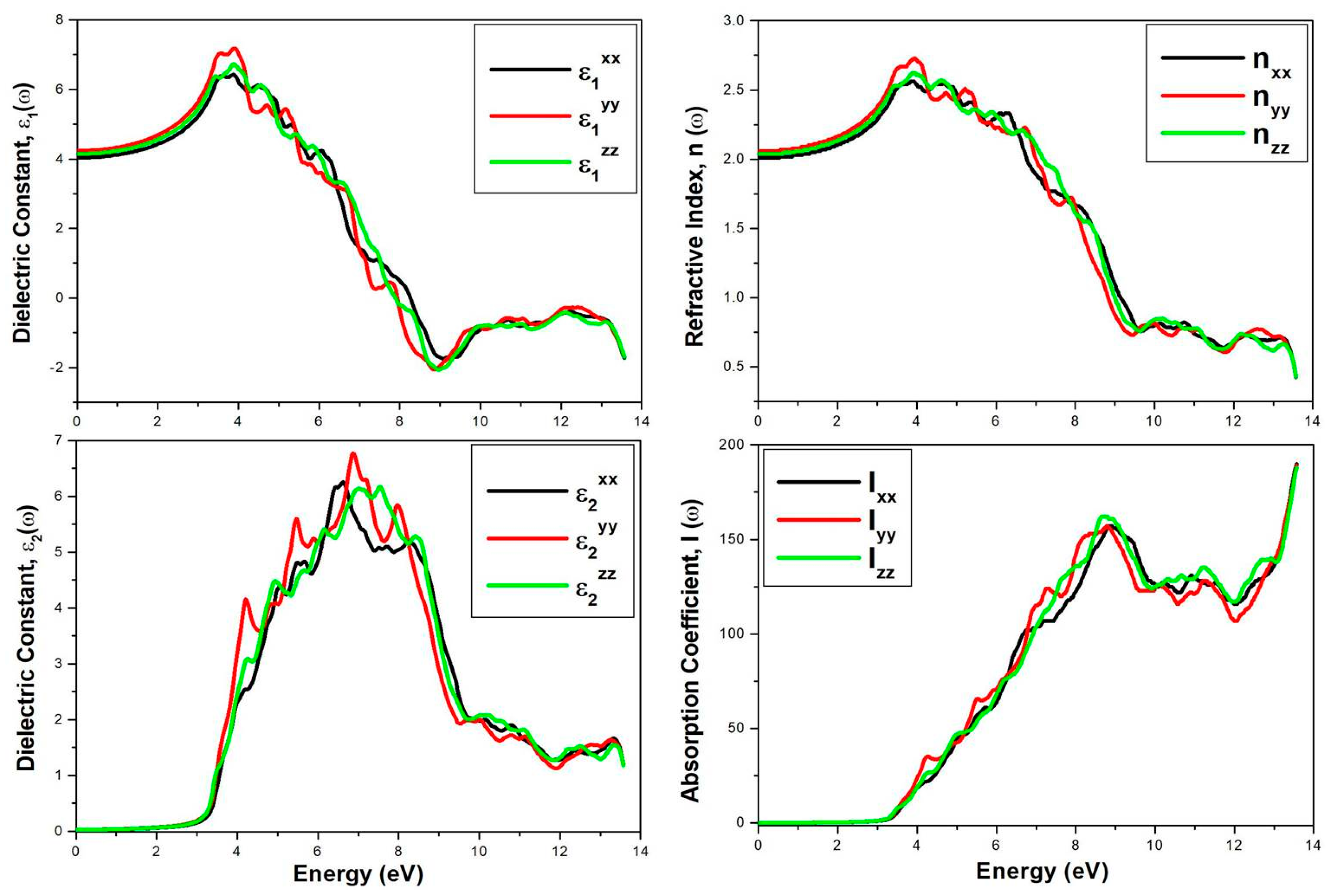
The interaction of incident light with Bi6Te2O15 was investigated using the complex dielectric function ε(ω) = ε1(ω) + iε2(ω), where the real part ε1(ω) defines the energy dissipation and wave damping and the imaginary part ε2(ω) is related to the polarization and the capacity of a material to store energy [53]. Regarding the orthorhombic symmetry of Bi6Te2O15, the three polarization directions showed the following relation: εxx ≠ εyy ≠ εzz. The imaginary part ε2(ω) was calculated from the electronic band structure according to the photon energy along three polarization directions: εxx, εyy, and εzz [54,55,56]. The real part ε1(ω) was also computed from ε2(ω) using the Kramers–Kronig relation. As shown in Figure 5, the calculated static dielectric function, ε1(0), is 4.06, 4.24, and 4.13 along the three polarization directions. The real part, ε1(ω), also increases with increasing photon energy until it reaches its maximum value near 3.3 eV. The imaginary part, ε2(ω), remains at zero below the calculated band gap. It starts to increase sharply over the band gap at −3.3 eV, and the maximum values of ε2xx (near 6.3 eV), ε2yy (near 6.7 eV), and ε2zz (near 6.8 eV) are 6.3, 6.8, and 6.1, respectively, as shown in Figure 5.
Figure 5.
Calculated real part (ε1(ω)) and imaginary part (ε2(ω)) of the dielectric function, refractive index n (ω), and optical absorption coefficient I (ω) of Bi6Te2O15.
Both the real and imaginary parts of the dielectric function allow the calculation of other optical functions such as refractive index n (ω), optical absorption coefficient I(ω), reflectivity R(ω), the real part of optical conductivity σ(ω), and the energy-loss function L(ω) [55,57]. As depicted in Figure 5, the static refraction index n(0) of Bi6Te2O15 is ~2.1 for three components. The maximum peaks of nxx(ω), nyy(ω), and nzz(ω) are 2.5, 2.7, and 2.6, respectively, near 4 eV of photon energy. Given that n(ω) ⟩ 1 for a given type of matter, the speed of the photons is reduced when they enter the matter because the photons interact with electrons. Thus, the higher electronic density of a material also increases its n(ω). The calculated absorption coefficient I(ω) is also shown in Figure 5. The threshold point at which matter begins to absorb electromagnetic radiation is 3.16, 3.30, and 3.22 eV, according to the three polarization directions for the structure of Bi6Te2O15. The maximum absorptions for Ixx, Iyy, and Izz are also diverse at different photon energies. Other optical properties, such as reflectivity R(ω), the real part of optical conductivity σ(ω), and the energy-loss function L(ω) described above, are summarized in Table 6, and their spectra are also depicted in the Supporting Information (see Figure S6).
Table 6.
Summary of the calculated real part (ε1(ω)) and imaginary part (ε2(ω)) of the dielectric function, refractive index n (0), optical absorption coefficient I(ω), reflectivity R(ω), the real part of optical conductivity σ(ω), and the energy-loss function L(ω) within the TB-mBJ potential for Bi6Te2O15.
4. Conclusions
We reported that the structure of Bi6Te2O15 was precisely determined using the single-crystal diffraction method, and it had a three-dimensional network structure as an orthorhombic space group (No. 62, Pnma) with a =10.583 Å, b = 22.694(3) Å, c = 5.3843(6) Å, α = β = γ = 90°, V = 1293.2(3) Å3, and Z = 4. It was also composed of six [BiO5]7− and two [TeO6]6− moieties. Each Bi3+ cation exhibited a five-coordinated square pyramidal structure under asymmetric environments, and each Te6+ cation had an octahedral structure. Due to the asymmetric and distorted environments of the Bi3+ and Te6+ cations, the dipole moments of the square pyramidal of Bi3+, including the lone-pair electron (Lp), ranged from 6.8 to 9.3 Debye (D), and the Te6+ cation had a dipole moment of approximately 0.5 D. Additionally, the calculated values of the global instability index (GII) (0.172 a.u.) and bond strain index (BSI) (0.279 a.u.) indicated that the structure of Bi6Te2O15 was strained and distorted in the unit cell, which was attributable to the distortion of the square pyramidal of the [BiO5]7− moiety and the octahedral of the [TeO6]6− moiety. Finally, using the WIEN2k code (FP-LAPW), the electronic and optical properties of Bi6Te2O15 were investigated. The optimized structural parameters agreed with the experimental ones. The modified version of the original Becke–Johnson exchange potential (TB-mBJ) yielded a match between the calculated and experimental band-gap energies from the bulk phase of Bi6Te2O15. Regarding optical properties, the refraction index (n(w)), the optical absorption coefficient (I(ω)), reflectivity (R(ω)), the real part of the optical conductivity extinction function (σ(ω)), and the energy loss function (L(ω)) were calculated from the real and imaginary parts of the dielectric function.
Supplementary Materials
The following supporting information can be downloaded at: https://www.mdpi.com/article/10.3390/cryst14010023/s1. Table S1: Atomic coordinates and equivalent isotropic displacement parameters (Å2) for Bi6Te2O15. Table S2: Anisotropic displacement parameters (Å2 × 103) for Bi6Te2O15. Table S3: Local dipole moment calculation. Table S4: Table of the calculation for BSI (Bond Stability Index) and GII (Global Instability Index). Figure S1: Experimental and calculated X-ray powder diffraction patterns for Bi6Te2O15. Figure S2: FT-IR spectra of Bi6Te2O15. Figure S3: Thermogravimetric analysis (TGA) diagram for Bi6Te2O15. Figure S4: PXRD pattern for final residuals after TGA experiments. Figure S5: Dependence of total energy versus the unit cell volume by selected potential. Figure S6: Other optical properties.
Author Contributions
Conceptualization, S.W.K. and H.Y.C.; formal analysis, S.W.K. and H.Y.C.; investigation, S.W.K. and H.Y.C.; data curation, S.W.K. and H.Y.C.; writing—original draft preparation, S.W.K. and H.Y.C.; writing—review and editing, S.W.K. and H.Y.C.; visualization, S.W.K. and H.Y.C.; supervision, S.W.K. and H.Y.C.; funding acquisition, S.W.K. and H.Y.C. All authors have read and agreed to the published version of the manuscript.
Funding
This research received funding from the Robert A. Welch Foundation under grant number AK-0050-20201025. Additionally, support was provided by the National Research Foundation of Korea (NRF), the Ministry of Education (2022R111A3063132), and the Ministry of Science and ICT (2018R1C1B5085301).
Data Availability Statement
The corresponding crystallographic information file (CIF) has been deposited with the Cambridge Crystallographic Centre (CCDC) and can be obtained free of charge via http://www.ccdc.cam.ac.uk/conts/retrieving.html (or from the CCDC, 12 Union Road, Cambridge CB2 1EZ, UK; Fax: +44-1223-336033; E-mail: deposit@ccdc.cam.ac.uk) with the following depository number: 2313042. The data presented in this study are available on request from the corresponding author. The data are not publicly available due to privacy.
Acknowledgments
S.W.K thanks Martha Greenblatt and Thomas J. Emge (Rutgers, the State University of New Jersey, USA) for discussion.
Conflicts of Interest
The authors declare no conflicts of interest.
References
- Frit, B.; Jaymes, M. Synthesis and structural study of bismuth tellurates. Bull. Soc. Chim. Fr. 1974, 78, 402–406. [Google Scholar]
- Mercurio, D.; Champarnaud-Mesjard, J.C.; Gouby, I.; Frit, B. On the crystal structure of Bi2Te2O7. Eur. J. Solid State Inorg. Chem. 1998, 35, 49–65. [Google Scholar] [CrossRef]
- Ok, K.M.; Bhuvanesh, N.S.P.; Halasyamani, P.S. Bi2TeO5: Synthesis, structure, and powder Second Harmonic Generation properties. Inorg. Chem. 2001, 40, 1978–1980. [Google Scholar] [CrossRef] [PubMed]
- Atanasova, L.; Baikusheva-Dimitrova, G.; Gospodinov, G. Thermodynamic properties of bismuth tellurites Bi2TeO5, Bi2Te4O11, Bi10Te2O19 and Bi16Te5O34. J. Therm. Anal. Calorim. 2016, 126, 829–835. [Google Scholar] [CrossRef]
- Montenegro, R.; Fabris, Z.V.; Capovilla, D.A.; de Oliveira, I.; Frejlich, J.; Carvalho, J.F. Electrical and photoelectrical properties of Bi2TeO5 single crystals. Opt. Mater. 2019, 94, 398–402. [Google Scholar] [CrossRef]
- de Oliveira, I.; Capovilla, D.A. Volatile and permanent optical gratings recorded in Bi2TeO5 photorefractive crystal under high cw intensity. Appl. Opt. 2020, 59, 2248–2253. [Google Scholar] [CrossRef]
- Han, M.; Wang, C.; Niu, K.; Yang, Q.; Wang, C.; Zhang, X.; Dai, J.; Wang, Y.; Ma, X.; Wang, J.; et al. Continuously tunable ferroelectric domain width down to the single-atomic limit in bismuth tellurite. Nat. Commun. 2022, 13, 5903. [Google Scholar] [CrossRef]
- Udovic, M.; Valant, M.; Suvorov, D. Phase formation and dielectric characterization of the Bi2O3-TeO2 system prepared in an oxygen atmosphere. J. Am. Ceram. Soc. 2004, 87, 591–597. [Google Scholar] [CrossRef]
- Udovic, M.; Valant, M.; Suvorov, D. Formation and decomposition of the Bi2TeO6 compound. J. Eur. Ceram. Soc. 2004, 24, 953–958. [Google Scholar] [CrossRef]
- Udovic, M.; Valant, M.; Suvorov, D. Dielectric ceramics from the TiO2-TeO2 and Bi2O3-TeO2 systems. Ceram. Trans. 2005, 167, 175–188. [Google Scholar]
- Rossell, H.J.; Leblanc, M.; Ferey, G.; Bevan, D.J.M.; Simpson, D.J.; Taylor, M.R. On the crystal structure of bismuth tellurium oxide (Bi2Te4O11). Aust. J. Chem. 1992, 45, 1415. [Google Scholar] [CrossRef]
- Lovas, G.A.; Dodony, I.; Poppl, L.; Szaller, Z. On the phase transitions of Bi2Te4O11. J. Solid State Chem. 1998, 135, 175–181. [Google Scholar] [CrossRef]
- Thomas, P.; Jeansannetas, B.; Champarnaud-Mesjard, J.C.; Frit, B. Crystal structure of a new mixed-valence bismuth oxotellurate Bi2TeIVTeVIO8. Eur. J. Solid State Inorg. Chem. 1996, 33, 637–646. [Google Scholar]
- Nenert, G.; Missen, O.P.; Lian, H.; Weil, M.; Blake, G.R.; Kampf, A.R.; Mills, S.J. Crystal structure and thermal behavior of Bi6Te2O15: Investigation of synthetic and natural pingguite. Phys. Chem. Miner. 2020, 47, 53. [Google Scholar] [CrossRef]
- Ferreira, K.D.; Gasparotto, G.; Maia, L.J.Q.; Reis, S.P.; Araujo, E.B.; Carvalho, J.F. Phase stability and properties of Bi6Te2O13+δ (δ = 0 or 2). Phys. B 2021, 605, 412780. [Google Scholar] [CrossRef]
- Kikuchi, T.; Kitami, Y.; Yokoyama, M.; Sakai, H. Pseudo-binary system bismuth oxide-tellurium oxide (Bi2O3-TeO2) in air. J. Mater. Sci. 1989, 24, 4275. [Google Scholar] [CrossRef]
- SAINT, Program for Area Detector Absorption Correction, version 4.05; Siemens Analytical X-ray Systems: Madison, WI, USA, 1995.
- Sheldrick, G.M. SHELXT—Integrated space-group and crystal-structure determination. Acta Crystallogr. Sect. A Found. Adv. 2015, 71, 3–8. [Google Scholar] [CrossRef]
- Sheldrick, G.M. Crystal structure refinement with SHELXL. Acta Crystallogr., Sect. C Struct. Chem. 2015, 71, 3–8. [Google Scholar] [CrossRef]
- Farrugia, L.J. WinGX and ORTEP for Windows: An update. J. Appl. Crystallogr. 2012, 45, 849–854. [Google Scholar] [CrossRef]
- Momma, K.; Izumi, F. VESTA: A three-dimensional visualization system for electronic and structural analysis. J. Appl. Crystallogr. 2008, 41, 653–658. [Google Scholar] [CrossRef]
- Hohenberg, P.; Kohn, W. Inhomogeneous Electron Gas. Phys. Rev. B 1964, 136, 864–871. [Google Scholar] [CrossRef]
- Blaha, P.; Schwarz, K.; Tran, F.; Laskowski, R.; Madsen, G.K.H.; Marks, L.D. WIEN2k: An APW+lo program for calculating the properties of solids. J. Chem. Phys. 2020, 152, 4101–4131. [Google Scholar] [CrossRef] [PubMed]
- Perdew, J.P.; Wang, Y. Accurate and simple analytic representation of the electron-gas correlation energy. Phys. Rev. B 1992, 45, 13244. [Google Scholar] [CrossRef] [PubMed]
- Perdew, J.P.; Burke, K.; Ernzerhof, M. Generalized gradient approximation made simple. Phys. Rev. Lett. 1996, 77, 3865–3868. [Google Scholar] [CrossRef] [PubMed]
- Perdew, J.P.; Ruzsinszky, A.; Csonka, G.I.; Vydrov, O.A.; Scuseria, G.E.; Constantin, L.A.; Zhou, X.; Burke, K. Restoring the density-gradient expansion for exchange in solids and surfaces. Phys. Rev. Lett. 2008, 100, 136406. [Google Scholar] [CrossRef] [PubMed]
- Wu, Z.; Cohen, R.E. More accurate generalized gradient approximation for solids. Phys. Rev. B 2006, 73, 235116. [Google Scholar] [CrossRef]
- Becke, A.D.; Johnso, E.R. A simple effective potential for exchange. J. Chem. Phys. 2006, 124, 221101. [Google Scholar] [CrossRef] [PubMed]
- Tran, F.; Blaha, P. Accurate band gaps of semiconductors and insulators with a semilocal exchange-correlation potential. Phys. Rev. Lett. 2009, 102, 226401. [Google Scholar] [CrossRef]
- Monkhorst, H.J.; Pack, J.D. Special points for Brillouin-zone integrations. Phys. Rev. B 1976, 13, 5188–5192. [Google Scholar] [CrossRef]
- Brown, I.D. Bond Valences—A simple structural model for inorganic chemistry. Chem. Soc. Rev. 1978, 7, 359–376. [Google Scholar] [CrossRef]
- Brown, I.D. Recent developments in the methods and applications of the Bond Valence Model. Chem. Rev. 2009, 109, 6858–6919. [Google Scholar] [CrossRef] [PubMed]
- Brown, I.D.; Altermatt, D. Bond-valence parameters obtained from a systematic analysis of the Inorganic Crystal Structure Database. Acta Crystallogr. Sect. B 1985, 41, 244–247. [Google Scholar] [CrossRef]
- Nakamoto, K. Infrared and Raman Spectra of Inorganic and Coordination Compounds Part A: Theory and Applications in Inorganic Chemistry, 5th ed.; John Wiley & Sons, Inc: New York, NY, USA, 1997. [Google Scholar]
- Maggard, P.A.; Nault, T.S.; Stern, C.L.; Poeppelmeier, K.R. Alignment of acentric [MoO3F3]3− anions in a polar material: (Ag3MoO3F3)(Ag3MoO4)Cl. J. Solid State Chem. 2003, 175, 27–33. [Google Scholar] [CrossRef]
- Izumi, H.K.; Kirsch, J.E.; Stern, C.L.; Poeppelmeier, K.R. Examining the out-of-center distortion in the [NbOF5]2− anion. Inorg. Chem. 2005, 44, 884–895. [Google Scholar] [CrossRef] [PubMed]
- Galy, J.; Meunier, G. Stereochimie des elements comportant des paires non liees: Ge (II), As (III), Se (IV), Br (v), Sn (II), Sb (III), Te (IV), I (V), Xe (VI), Tl (I), Pb (II), et Bi (III) (oxydes, fluorures et oxyfluorures). J. Solid State Chem. 1975, 13, 142–159. [Google Scholar] [CrossRef]
- Halasyamani, P.S. Asymmetric cation coordination in oxide materials: Influence of lone-pair cations on the intra-octahedral. Chem. Mater. 2004, 16, 3586–3592. [Google Scholar] [CrossRef]
- Ok, K.M.; Halasyamani, P.S. Mixed-metal tellurites: Synthesis, structure, and characterization of Na1.4Nb3Te4.9O18 and NaNb3Te4O16. Inorg. Chem. 2005, 44, 3919–3925. [Google Scholar] [CrossRef]
- Ok, K.M.; Halasyamani, P.S. Distortions in octahedrally coordinated d0 transition metal oxides: A continuous symmetry measures approach. Chem. Mater. 2006, 18, 3176–3183. [Google Scholar] [CrossRef]
- Brown, I.D. The Chemical Bond in Inorganic Chemistry: The Bond Valence Model, 1st ed.; Oxford University Press: Oxford, UK, 2002. [Google Scholar]
- Marvel, M.R.; Lesage, J.; Baek, J.; Halasyamani, P.S.; Stern, C.L.; Poeppelmeier, K.R. Cation−anion interactions and polar structures in the solid state. J. Am. Chem. Soc. 2007, 129, 13963–13969. [Google Scholar] [CrossRef]
- Orlov, I.P.; Popov, K.A.; Urusov, V.S. Program for predicting interatomic distances in crystals by the bond valence method. J. Struct. Chem. 1998, 39, 575–579. [Google Scholar] [CrossRef]
- Yatoo, M.A.; Seymour, I.D.; Skinner, S.J. Neutron diffraction and DFT studies of oxygen defect and transport in higher-order Ruddlesden–Popper phase materials. RSC Advances 2023, 13, 13786–13797. [Google Scholar] [CrossRef] [PubMed]
- Birch, F. Finite elastic strain of cubic crystals. Phys. Rev. 1947, 71, 809–824. [Google Scholar] [CrossRef]
- Birch, F. Finite strain isotherm and velocities for single-crystal and polycrystalline NaCl at high pressures and 300°K. J. Geophys. Res. Solid Earth 1978, 83, 1257–1268. [Google Scholar] [CrossRef]
- Murnaghan, F.D. The compressibility of media under extreme pressures. Proc. Natl. Acad. Sci. USA 1944, 30, 244–246. [Google Scholar] [CrossRef] [PubMed]
- Setyawan, W.; Curtarolo, S. High-throughput electronic band structure calculations: Challenges and tools. Comput. Mater. Sci. 2010, 49, 299–312. [Google Scholar] [CrossRef]
- Kokalj, A. Computer graphics and graphical user interfaces as tools in simulations of matter at the atomic scale. Comp. Mater. Sci. 2003, 28, 155–168. [Google Scholar] [CrossRef]
- Engel, E.; Vosko, S.H. Exact exchange-only potentials and the virial relation as microscopic criteria for generalized gradient approximations. Phys. Rev. B 1993, 47, 13164. [Google Scholar] [CrossRef]
- Dufek, P.; Blaha, P.; Schwarz, K. Applications of Engel and Vosko’s generalized gradient approximation in solids. Phys. Rev. B 1994, 50, 7279. [Google Scholar] [CrossRef]
- Johnson, K.A.; Ashcroft, N.W. Corrections to density-functional theory band gaps. Phys. Rev. B 1998, 58, 15548–15556. [Google Scholar] [CrossRef]
- Wooten, F. Optical Properties of Solid; Academic Press: New York, NY, USA, 1972. [Google Scholar]
- Yu, P.Y.; Cardona, M. Fundamentals of Semiconductors: Physics and Materials Properties; Springer-Verlag: Berlin/Heidelberg, Germany, 1999. [Google Scholar]
- Ambrosch-Draxl, C.; Sofo, J.O. Linear optical properties of solids within the full-potential linearized augmented planewave method. Comput. Phys. Commun. 2006, 175, 1–14. [Google Scholar] [CrossRef]
- Puschnig, P.; Ambrosch-Draxl, C. Optical absorption spectra of semiconductors and insulators including electron-hole correlations: An ab initio study within the LAPW method. Phys. Rev. B 2002, 66, 165105. [Google Scholar] [CrossRef]
- Hill, N.A.; Battig, P.; Daul, C. First principles search for multiferroism in BiCrO3. J. Phys. Chem. B 2002, 106, 3383–3388. [Google Scholar] [CrossRef]
Disclaimer/Publisher’s Note: The statements, opinions and data contained in all publications are solely those of the individual author(s) and contributor(s) and not of MDPI and/or the editor(s). MDPI and/or the editor(s) disclaim responsibility for any injury to people or property resulting from any ideas, methods, instructions or products referred to in the content. |
© 2023 by the authors. Licensee MDPI, Basel, Switzerland. This article is an open access article distributed under the terms and conditions of the Creative Commons Attribution (CC BY) license (https://creativecommons.org/licenses/by/4.0/).




