The Impact of Temperature and Power Variation on the Optical, Wettability, and Anti-Icing Characteristics of AZO Coatings
Abstract
1. Introduction
2. Materials and Methods
3. Results and Discussion
- A = roughness factor;
- θ = contact angle of water;
- θ′ = water contact angle distinguished based on interfacial energy.
4. Conclusions
Author Contributions
Funding
Institutional Review Board Statement
Informed Consent Statement
Data Availability Statement
Conflicts of Interest
References
- He, Z.; Ji, L.; Xing, Z. Experimental Investigation on the DLC Film Coating Technology in Scroll Compressors of Automobile Air Conditioning. Energies 2020, 13, 5103. [Google Scholar] [CrossRef]
- Ogunlana, M.O.; Muchie, M.; Swanepoel, J.; Adenuga, O.T.; Oladijo, O.P. Numerical Modelling and Simulation for Sliding Wear Effect with Microstructural Evolution of Sputtered Titanium Carbide Thin Film on Metallic Materials. Coatings 2024, 14, 298. [Google Scholar] [CrossRef]
- Prajapati, B.G.; Patel, P.; Patel, D. Mouth Dissolving Film as a Potential Dosage Form for Paediatric Usage. J. Pharm. Biol. Sci. 2024, 11, 133–141. [Google Scholar] [CrossRef]
- Sevinç Özakar, R.; Özakar, E. Current Overview of Oral Thin Films. Turk. J. Pharm. Sci. 2021, 18, 111–121. [Google Scholar] [CrossRef]
- Wang, K.; Shen, Y.; Duan, M.; Wu, T.; Zhao, J.; Wang, J. Non-Fluorinated Durable Water Repellent and Stain Resistant Coating. In Proceedings of the 3rd International Conference on Materials Chemistry and Environmental Engineering (CONF-MCEE 2023), Stanford, CA, USA, 18 March 2023. [Google Scholar] [CrossRef]
- Zhu, Q.; Chua, M.H.; Ong, P.J.; Cheng Lee, J.J.; Le Osmund Chin, K.; Wang, S.; Kai, D.; Ji, R.; Kong, J.; Dong, Z.; et al. Recent Advances in Nanotechnology-Based Functional Coatings for the Built Environment. Mater. Today Adv. 2022, 15, 100270. [Google Scholar] [CrossRef]
- Ben Chobba, M.; Weththimuni, M.L.; Messaoud, M.; Urzi, C.; Licchelli, M. Recent Advances in the Application of Metal Oxide Nanomaterials for the Conservation of Stone Artefacts, Ecotoxicological Impact and Preventive Measures. Coatings 2024, 14, 203. [Google Scholar] [CrossRef]
- Khoo, Y.S.; Lau, W.J.; Liang, Y.Y.; Karaman, M.; Gürsoy, M.; Ismail, A.F. Eco-Friendly Surface Modification Approach to Develop Thin Film Nanocomposite Membrane with Improved Desalination and Antifouling Properties. J. Adv. Res. 2022, 36, 39–49. [Google Scholar] [CrossRef]
- Fotovvati, B.; Namdari, N.; Dehghanghadikolaei, A. On Coating Techniques for Surface Protection: A Review. J. Manuf. Mater. Process. 2019, 3, 28. [Google Scholar] [CrossRef]
- Piedade, A.P.; Pinho, A.C.; Branco, R.; Morais, P.V. Evaluation of Antimicrobial Activity of ZnO Based Nanocomposites for the Coating of Non-Critical Equipment in Medical-Care Facilities. Appl. Surf. Sci. 2020, 513, 145818. [Google Scholar] [CrossRef]
- Patel, N.P.; Chauhan, K.V. Effects of Argon Partial Pressure Variations on Wettability and Anti-Icing Characteristics of Aluminum Doped ZnO Thin Films. Mater. Res. 2023, 26, e20220339. [Google Scholar] [CrossRef]
- Baji, Z.; Pécz, B.; Fogarassy, Z.; Szabó, Z.; Cora, I. Atomic Layer Deposited Fe-Sulfide Layers with Pyrrhotite Structure Controlled by the Deposition Temperature. Thin Solid Films 2024, 794, 140267. [Google Scholar] [CrossRef]
- Ivanova, T.; Harizanova, A.; Koutzarova, T.; Vertruyen, B.; Closset, R. Sol–Gel Synthesis of ZnO:Li Thin Films: Impact of Annealing on Structural and Optical Properties. Crystals 2024, 14, 6. [Google Scholar] [CrossRef]
- Growth, J.; Wang, Z.; Liu, J.; Chen, P.; Liu, P.; Ma, J.; Xu, X.; Wei, Y.; Lebbou, K.; Xu, J. Growth and Characterization of Yb: CALYGLO Crystal for Ultrashort Pulse Laser Applications. Crystals 2024, 14, 120. [Google Scholar] [CrossRef]
- Yue, F.; Zhu, J.; Geng, Y.; Xiang, M.; Zhu, Q. One-Step Synthesis of Single-Crystal Si3N4 Nanowires-Amorphous SiO2 Beads Nanochains by Chemical Vapor Deposition. Ceram. Int. 2024, 50, 10635–10640. [Google Scholar] [CrossRef]
- Nguyen, T.T.; Thai, T.T.; Paint, Y.; Trinh, A.T.; Olivier, M.G. Effect of Cerium Nitrate Concentration on Corrosion Protection of Hybrid Organic/Inorganic Si/Zr Sol-Gel Coating Applied on Hot-Dip Galvanized Steel. Surf. Coat. Technol. 2024, 480, 130562. [Google Scholar] [CrossRef]
- Rawal, S.; Chauhan, K.V.; Patel, N.P. Characterization of Reactive Sputtered Chromium Oxynitride Coatings Developed on Glass Substrate. Crystals 2023, 13, 1262. [Google Scholar] [CrossRef]
- Ellmer, K. Past Achievements and Future Challenges in the Development of Optically Transparent Electrodes. Nat. Photonics 2012, 6, 809–817. [Google Scholar] [CrossRef]
- Bussell, B.C.; Gibson, P.N.; Lawton, J.; Couture, P.; Sharpe, M.K.; England, J.; Hinder, S.J.; Stolojan, V.; Thornley, S.A.; Baker, M.A. The Effect of RF Plasma Power on Remote Plasma Sputtered AZO Thin Films. Surf. Coat. Technol. 2022, 442, 128402. [Google Scholar] [CrossRef]
- Ali, M.M.; Kabir, M.H.; Rahman, M.S. Exploration of Optical and Frequency Dependent Electrical Properties of Boron-Cobalt Co-Doped ZnO Thin Films. Opt. Mater. 2024, 148, 114949. [Google Scholar] [CrossRef]
- Lekoui, F.; Amrani, R.; Hassani, S.; Garoudja, E.; Filali, W.; Ouchabane, M.; Hendaoui, N.; Oussalah, S. On the Substrate Heating Effects on Structural, Mechanical and Linear/Non-Linear Optical Properties of Ag–Mn Co-Doped ZnO Thin Films. Opt. Mater. 2024, 150, 115151. [Google Scholar] [CrossRef]
- Tiwari, A.; Sahay, P.P. Improved Transparent Conductive Properties of Highly C-Axis Oriented ZnO Thin Films upon (Ga, Mg) Co-Doping. Micro Nanostruct. 2023, 181, 207617. [Google Scholar] [CrossRef]
- De Oliveira, R.S.; Folli, H.A.; Stegemann, C.; Horta, I.M.; Damasceno, B.S.; Miyakawa, W.; Pereira, A.L.J.; Massi, M.; Da Silva Sobrinho, A.S.; Leite, D.M.G. Structural, Morphological, Vibrational and Optical Properties of GaN Films Grown by Reactive Sputtering: The Effect of RF Power at Low Working Pressure Limit. Mater. Res. 2022, 25, e20210432. [Google Scholar] [CrossRef]
- Akmal, M.; Hatta, M.; Warikh, M.; Rashid, A.; Azlan, U.A.H.; Azmi, A.; Azam, M.A.; Moriga, T.; Pembuatan, F.K.; Jaya, H.T.; et al. Influence of Yttrium Dopant on the Structure and Electrical Conductivity of Potassium Sodium Niobate Thin Films. Mater. Res. 2016, 19, 1417–1422. [Google Scholar]
- Oliveira, L.P.G.; Ribeiro, R.P.; Bortoleto, J.R.R.; Cruz, N.C.; Rangel, E.C. SiOxCyHz-TiO2 Nanocomposite Films Prepared by a Novel PECVD-Sputtering Process. Mater. Res. 2021, 24, e20210058. [Google Scholar] [CrossRef]
- Li, J.; Lei, L.; Li, L.; Deng, B.; Zhao, G.; Jin, L.; Li, C. Microstructural Evolution and Its Influence on Oxygen Diffusion in Yttrium-Doped Ceria Thin Films. Mater. Res. Express 2022, 9, 046404. [Google Scholar] [CrossRef]
- Bethge, O.; Nobile, M.; Abermann, S.; Glaser, M.; Bertagnolli, E. ALD Grown Bilayer Junction of ZnO:Al and Tunnel Oxide Barrier for SIS Solar Cell. Sol. Energy Mater. Sol. Cells 2013, 117, 178–182. [Google Scholar] [CrossRef][Green Version]
- Shen, H.L.; Zhang, H.; Lu, L.F.; Jiang, F.; Yang, C. Preparation and Properties of AZO Thin Films on Different Substrates. Prog. Nat. Sci. Mater. Int. 2010, 20, 44–48. [Google Scholar] [CrossRef]
- Kim, D.S.; Park, J.H.; Lee, S.J.; Ahn, K.J.; Lee, M.S.; Ham, M.H.; Lee, W.; Myoung, J.M. Effects of Oxygen Concentration on the Properties of Al-Doped ZnO Transparent Conductive Films Deposited by Pulsed DC Magnetron Sputtering. Mater. Sci. Semicond. Process. 2013, 16, 997–1001. [Google Scholar] [CrossRef]
- Yang, W.; Rossnagel, S.M.; Joo, J. The Effects of Impurity and Temperature for Transparent Conducting Oxide Properties of Al:ZnO Deposited by Dc Magnetron Sputtering. Vacuum 2012, 86, 1452–1457. [Google Scholar] [CrossRef]
- Shu-wen, X. A Study of Annealing Time Effects on the Properties of Al:ZnO. Phys. Procedia 2012, 25, 345–349. [Google Scholar] [CrossRef]
- Guo, T.; Dong, G.; Liu, Q.; Wang, M.; Wang, M.; Gao, F.; Chen, Q.; Yan, H.; Diao, X. Superlattices and Microstructures Optimization of Oxygen and Pressure of ZnO:Al Films Deposited on PMMA Substrates by Facing Target Sputtering. Superlattices Microstruct. 2013, 64, 552–562. [Google Scholar] [CrossRef]
- Liu, G.; Yuan, Y.; Jiang, Z.; Youdong, J.; Liang, W. Anti-Frosting/Anti-Icing Property of Nano-ZnO Superhydrophobic Surface on Al Alloy Prepared by Radio Frequency Magnetron Sputtering. Mater. Res. Express 2020, 7, 026401. [Google Scholar] [CrossRef]
- Bai, Z.G.; Zhang, B. Fabrication of a Mechanically-Stable Anti-Icing Graphene Oxide-Diatomaceous Earth/Epoxy Coating. Mater. Res. Express 2019, 6, 085090. [Google Scholar] [CrossRef]
- Farhadi, S.; Farzaneh, M.; Kulinich, S.A. Anti-Icing Performance of Superhydrophobic Surfaces. Appl. Surf. Sci. 2011, 257, 6264–6269. [Google Scholar] [CrossRef]
- Chen, X.; Ma, R.; Zhou, H.; Zhou, X.; Che, L.; Yao, S.; Wang, Z. Activating the Microscale Edge Effect in a Hierarchical Surface for Frosting Suppression and Defrosting Promotion. Sci. Rep. 2013, 3, 2515. [Google Scholar] [CrossRef]
- Chen, Y.; Chen, S.; Yu, F.; Sun, W.; Zhu, H.; Yin, Y. Fabrication and Anti-Corrosion Property of Superhydrophobic Hybrid Film on Copper Surface and Its Formation Mechanism. Surf. Interface Anal. 2009, 41, 872–877. [Google Scholar] [CrossRef]
- Patel, N.P.; Chauhan, K.V. Effect of Sputtering Power and Substrate Temperature on Structural, Optical, Wettability and Anti-Icing Characteristics of Aluminium Doped Zinc Oxide. Mater. Res. Express 2022, 9, 076402. [Google Scholar] [CrossRef]
- Misra, P.; Ganeshan, V.; Agrawal, N. Low Temperature Deposition of Highly Transparent and Conducting Al-Doped ZnO Fi Lms by RF Magnetron Sputtering. J. Alloys Compd. 2017, 725, 60–68. [Google Scholar] [CrossRef]
- Tuyaerts, R.; Raskin, J.P.; Proost, J. Opto-Electrical Properties and Internal Stress in Al:ZnO Thin Films Deposited by Direct Current Reactive Sputtering. Thin Solid Films 2020, 695, 137760. [Google Scholar] [CrossRef]
- Cosme, I.; Vázquez-y-parraguirre, S.; Malik, O.; Mansurova, S.; Carlos, N.; Tavira-fuentes, A.; Ramirez, G.; Kudriavtsev, Y. Surface & Coatings Technology Di Ff Erences between (103) and (002) X-Ray Di Ff Raction Characteristics of Nanostructured AZO Fi Lms Deposited by RF Magnetron Sputtering. Surf. Coat. Technol. 2019, 372, 442–450. [Google Scholar] [CrossRef]
- Li, W.; Hao, H. Effect of Substrate Temperature on High Rate Deposited ZnO:Al Films by Magnetron Sputtering. Adv. Mater. Res. 2012, 432, 480–483. [Google Scholar] [CrossRef]
- Atilgan, A.; Ozel, K.; Sbeta, M.; Yildiz, A. Engineering the Visible Light Absorption of One-Dimensional Photonic Crystals Based on Multilayers of Al-Doped ZnO (AZO) Thin Films. Mater. Sci. Semicond. Process. 2023, 166. [Google Scholar] [CrossRef]
- Aydin, H.; Aydin, C.; Al-Ghamdi, A.A.; Farooq, W.A.; Yakuphanoglu, F. Refractive Index Dispersion Properties of Cr-Doped ZnO Thin Films by Sol-Gel Spin Coating Method. Optik 2016, 127, 1879–1883. [Google Scholar] [CrossRef]
- Wu, K.R.; Wang, J.J.; Liu, W.C.; Chen, Z.S.; Wu, J.K. Deposition of Graded TiO2 Films Featured Both Hydrophobic and Photo-Induced Hydrophilic Properties. Appl. Surf. Sci. 2006, 252, 5829–5838. [Google Scholar] [CrossRef]
- Cassie, A.B.D.; Baxter, S. Wetting of Porous Surfaces. Trans. Faraday Soc. 1944, 40, 546–551. [Google Scholar] [CrossRef]
- Brassard, J.D.; Sarkar, D.K.; Perron, J. Studies of Drag on the Nanocomposite Superhydrophobic Surfaces. Appl. Surf. Sci. 2015, 324, 525–531. [Google Scholar] [CrossRef]
- Gurav, A.B.; Latthe, S.S.; Vhatkar, R.S.; Lee, J.G.; Kim, D.Y.; Park, J.J.; Yoon, S.S. Superhydrophobic Surface Decorated with Vertical ZnO Nanorods Modified by Stearic Acid. Ceram. Int. 2014, 40, 7151–7160. [Google Scholar] [CrossRef]
- Chang, C.J.; Kuo, E.H. Roughness-Enhanced Thermal-Responsive Surfaces by Surface-Initiated Polymerization of Polymer on Ordered ZnO Pore-Array Films. Thin Solid Films 2010, 519, 1755–1760. [Google Scholar] [CrossRef]
- Patel, N.P.; Chauhan, K.V. Impact of Deposition Time and Working Pressure on Delay of Ice Formation on Aluminum Doped Zinc Oxide Thin Films. Thin Solid Films 2023, 769, 139750. [Google Scholar] [CrossRef]
- Patel, N.P.; Chauhan, K.V. Consequences of Variation in Oxygen Partial Pressure on Zirconium Oxide Thin Films. Mater. Today Proc. 2022, 62, 3325–3329. [Google Scholar] [CrossRef]
- Ahmad, D.; van den Boogaert, I.; Miller, J.; Presswell, R.; Jouhara, H. Hydrophilic and Hydrophobic Materials and Their Applications. Energy Sources Part A Recovery Util. Environ. Eff. 2018, 40, 2686–2725. [Google Scholar] [CrossRef]
- Noormohammed, S.; Sarkar, D.K. Rf-sputtered Teflon®-modified Superhydrophobic Nanostructured Titanium Dioxide Coating on Aluminum Alloy for Icephobic Applications. Coatings 2021, 11, 432. [Google Scholar] [CrossRef]
- Xia, Y.; Wang, P.; Shi, S.; Zhang, M.; He, G.; Lv, J.; Sun, Z. Deposition and Characterization of AZO Thin Films on Flexible Glass Substrates Using DC Magnetron Sputtering Technique. Ceram. Int. 2017, 43, 4536–4544. [Google Scholar] [CrossRef]
- Yang, S.; Chen, F.; Shen, Q.; Zhang, L.; Huang, A.; Gu, H. Superior Crystallinity, Optical and Electrical Properties of Carbon Doped ZnO:Al Films at Low-Temperature Deposition. Appl. Surf. Sci. 2019, 483, 545–550. [Google Scholar] [CrossRef]
- Patel, K.H.; Rawal, S.K. Influence of Power and Temperature on Properties of Sputtered AZO Films. Thin Solid Films 2016, 620, 182–187. [Google Scholar] [CrossRef]
- Spadoni, A.; Addonizio, M.L. Effect of the RF Sputtering Power on Microstructural, Optical and Electrical Properties of Al Doped ZnO Thin Films. Thin Solid Films 2015, 589, 514–520. [Google Scholar] [CrossRef]
- Patel, N.P.; Chauhan, K.V.; Desai, M.K. Effects of Power and Temperature on the Structural, Anti-Icing, Wettability, and Optical Properties of Zinc Oxide Thin Films. Ceram. Int. 2023, 49, 26943–26949. [Google Scholar] [CrossRef]
- Ben Jbara, H.; Aubry, E.; Kanzari, M.; Billard, A.; Yazdi, M.A.P. Effect of Thermal Annealing on the Optoelectronic Properties of Cu-Fe-O Thin Films Deposited by Reactive Magnetron Co-Sputtering. Thin Solid Films 2021, 721, 138538. [Google Scholar] [CrossRef]
- Alqahtani, A.; Alraddadi, S.; Alshomrany, A.S.; Qasem, A. Extended-Analysis for ZnO Monolayers, (TiO2 & WO3)/ZnO Bilayers, and WO3/TiO2/ZnO Multilayers Deposited on Silica Glass Substrates by RF Sputtering as Promising Cap Layers in Optoelectronic Applications. Opt. Mater. 2024, 149, 115002. [Google Scholar] [CrossRef]





| RF Power | 200, 220, 240, and 260 W |
| Temperature | 50, 150, 200, and 250 °C |
| Pressure | 2.5 Pa |
| Sputtering time | 60 min |
| Distance between surface and substrate | 50 mm |
| Argon/oxygen flow | 10:10 sccm |
| Sputtering Details | 200 W | 220 W | 240 W | 260 W | 50 °C | 100 °C | 150 °C | 200 °C |
| Water Contact Angle (°) | 107.1 | 107.6 | 109 | 110 | 86.8 | 102.4 | 106.5 | 109.7 |
| Time Delay (folds/times) | 2.60 | 2.71 | 3.15 | 3.38 | 1.2 | 2.01 | 2.50 | 3.22 |
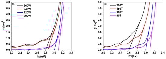
| Sample Name | RF Power (W) | Temperature (°C) | Gas Flow Rate of O2/Ar (sccm) | Band Gap (eV) | Refractive Index (n) | Thickness (nm) |
|---|---|---|---|---|---|---|
| 50 T | 200 | 50 | 10:10 | 3.09 | 1.49 | 1207 |
| 100 T | 200 | 100 | 10:10 | 3.00 | 1.50 | 1228 |
| 150 T | 200 | 150 | 10:10 | 2.78 | 1.50 | 1232 |
| 200 T | 200 | 200 | 10:10 | 2.61 | 1.51 | 1254 |
| 200 W | 200 | 50 | 10:10 | 3.11 | 1.50 | 1079 |
| 220 W | 220 | 50 | 10:10 | 3.01 | 1.50 | 1143 |
| 240 W | 240 | 50 | 10:10 | 2.84 | 1.51 | 1150 |
| 260 W | 260 | 50 | 10:10 | 2.80 | 1.52 | 1198 |
Disclaimer/Publisher’s Note: The statements, opinions and data contained in all publications are solely those of the individual author(s) and contributor(s) and not of MDPI and/or the editor(s). MDPI and/or the editor(s) disclaim responsibility for any injury to people or property resulting from any ideas, methods, instructions or products referred to in the content. |
© 2024 by the authors. Licensee MDPI, Basel, Switzerland. This article is an open access article distributed under the terms and conditions of the Creative Commons Attribution (CC BY) license (https://creativecommons.org/licenses/by/4.0/).
Share and Cite
Chauhan, K.V.; Rawal, S.; Patel, N.P.; Vyas, V. The Impact of Temperature and Power Variation on the Optical, Wettability, and Anti-Icing Characteristics of AZO Coatings. Crystals 2024, 14, 368. https://doi.org/10.3390/cryst14040368
Chauhan KV, Rawal S, Patel NP, Vyas V. The Impact of Temperature and Power Variation on the Optical, Wettability, and Anti-Icing Characteristics of AZO Coatings. Crystals. 2024; 14(4):368. https://doi.org/10.3390/cryst14040368
Chicago/Turabian StyleChauhan, Kamlesh V., Sushant Rawal, Nicky P. Patel, and Vandan Vyas. 2024. "The Impact of Temperature and Power Variation on the Optical, Wettability, and Anti-Icing Characteristics of AZO Coatings" Crystals 14, no. 4: 368. https://doi.org/10.3390/cryst14040368
APA StyleChauhan, K. V., Rawal, S., Patel, N. P., & Vyas, V. (2024). The Impact of Temperature and Power Variation on the Optical, Wettability, and Anti-Icing Characteristics of AZO Coatings. Crystals, 14(4), 368. https://doi.org/10.3390/cryst14040368

