Low-Frequency Vibration Sensor with Dual-Fiber Fabry–Perot Interferometer Using a Low-Coherence LED
Abstract
1. Introduction
2. Sensing Principles of a Dual FFPI and Experimental Setup
2.1. Basic Principles of a Dual FFPI
2.2. Inner Mirror Fabrication and Experimental Setup
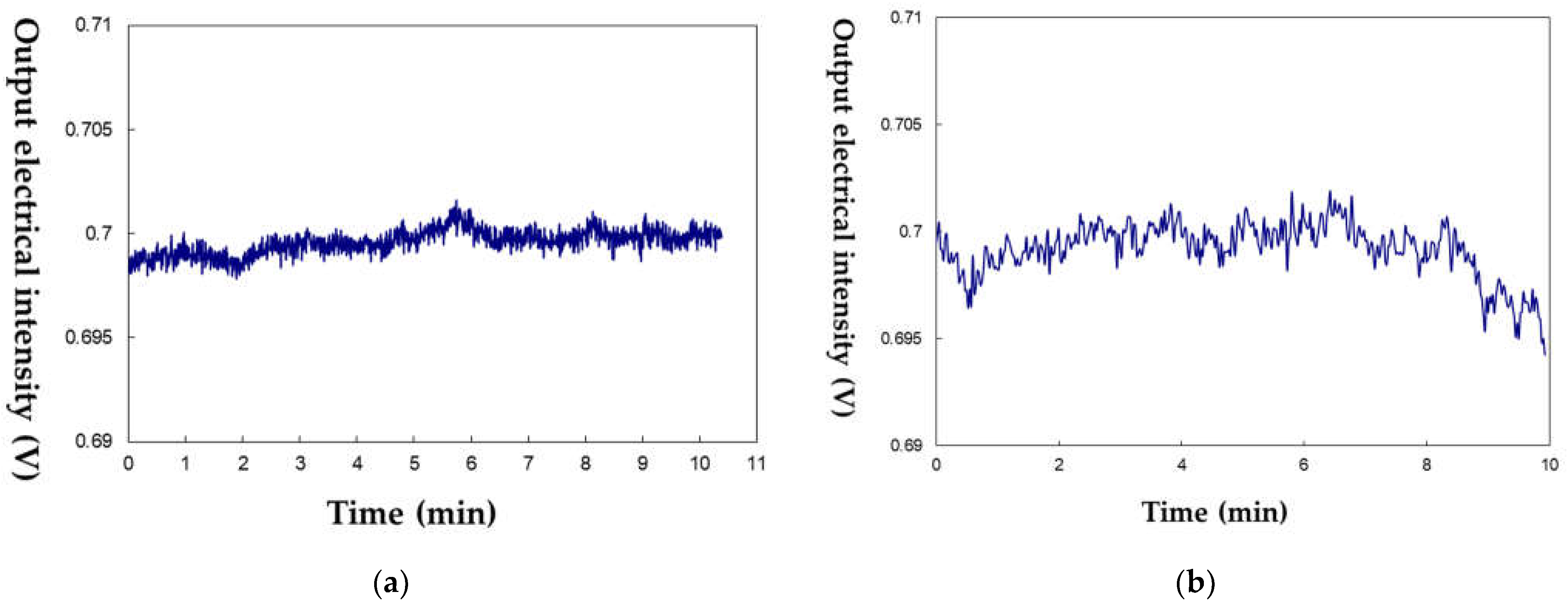
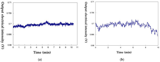
3. Results and Discussion
4. Conclusions
Author Contributions
Funding
Conflicts of Interest
References
- Fattinger, C. The bidiffractive grating coupler. Appl. Phys. Lett. 1993, 62, 1460. [Google Scholar] [CrossRef]
- Brichard, B.; Butov, O.V.; Golant, K.M.; Fernandez, A.F. Gamma radiation-induced refractive index change in Ge- and N-doped silica. J. Appl. Phys. 2008, 103, 054905. [Google Scholar] [CrossRef]
- Wu, Y.; Li, H.; Brunel, M.; Chen, J.; Gréhan, G.; Mädler, L. Phase interferometric particle imaging for simultaneous measurements of evaporating micron-sized droplet and nanoscale size changes. Appl. Phys. Lett. 2017, 111, 041905. [Google Scholar] [CrossRef]
- Jiang, B.; Zhou, K.; Wang, C.; Zhao, Y.; Zhao, J.; Zhang, L. Temperature-calibrated high-precision refractometer using a tilted fiber Bragg grating. Opt. Express 2017, 25, 25910–25918. [Google Scholar] [CrossRef] [PubMed]
- Wang, H.; Ma, Y.; Zhao, S.; Li, Y.; Wu, L.; Qin, H.; Xing, D. Fabry–Pérot interference principle-based non-contact thermoacoustic imaging system for breast tumor screening. Appl. Phys. Lett. 2021, 119, 143701. [Google Scholar] [CrossRef]
- Sorg, K.; Heimann, L.; Lana, G.M.; Langenbucher, A.; Schick, B.; Arzt, E.; Wenzel, G.I. Optoacoustically induced auditory brainstem responses in the mouse model enhanced through an absorbing film. J. Biomed. Opt. 2021, 26, 098001. [Google Scholar] [CrossRef] [PubMed]
- Klingshirn, C. Semiconductor Optics, 4th ed.; Springer: New York, NY, USA, 2012. [Google Scholar]
- Allard, R.C. Fiber Optics Handbook for Engineers and Scientists, 1st ed.; McGRAW Hill: Ney York, NY, USA, 1990. [Google Scholar]
- Hunsperger, R.G. Integrated Optics: Theory and Technology, 3rd ed.; Springer: New York, NY, USA, 1992. [Google Scholar]
- Fiber-optic Communication. Available online: https://en.wikipedia.org/wiki/Fiber-optic_communication (accessed on 10 May 2021).
- Xu, P.; Dong, Y.; Zhou, D.; Fu, C.; Zhang, J.; Zhang, H.; Lu, Z.; Chen, L.; Bao, X. 1200 °C high-temperature distributed optical fiber sensing using Brillouin optical time domain analysis. Appl. Opt. 2016, 55, 5471–5478. [Google Scholar] [CrossRef] [PubMed]
- Allured, R.; Ashcom, J.B. Broadband chromatic dispersion in fiber-coupled optical interferometry. Appl. Opt. 2021, 60, 6371–6384. [Google Scholar] [CrossRef]
- Narayanaswamy, R.; Wolfbeis, O.S. Optical Sensors: Industrial, Environmental and Diagnostic Applications, 1st ed.; Springer: New York, NY, USA, 2004. [Google Scholar]
- Culshaw, B. Fiber-Optic Sensors: Applications and Advances. Opt. Photonics News 2005, 16, 24–29. [Google Scholar] [CrossRef]
- Fiber Bragg Grating. Available online: https://en.wikipedia.org/wiki/Fiber_Bragg_grating/ (accessed on 10 June 2021).
- Kersey, A.D.; Davis, M.A.; Patrick, H.J.; LeBlanc, M.; Koo, K.P.; Askins, C.G.; Putnam, M.A.; Friebele, E.J. Fiber grating sensors. IEEE J. Lightwave Tech. 1997, 15, 1442–1463. [Google Scholar] [CrossRef]
- Erdogan, T. Fiber grating spectra. IEEE J. Lightwave Tech. 1997, 15, 1277–1294. [Google Scholar] [CrossRef]
- Kenneth, O.H.; Meltz, G. Fiber Bragg grating technology fundamentals and overview. IEEE J. Lightwave Tech. 1997, 15, 1263–1276. [Google Scholar]
- Kashyap, R. Fiber Bragg Gratings, 2nd ed.; Academic Press: Cambridge, MA, USA, 2010; pp. 53–118. [Google Scholar] [CrossRef]
- Seadawy, A.R.; Ahmed, H.M.; Rabie, W.B.; Biswas, A. Chirp-free optical solitons in fiber Bragg gratings with dispersive reflectivity having polynomial law of nonlinearity. Optik 2021, 225, 165681. [Google Scholar] [CrossRef]
- He, J.; Xu, B.; Xu, X.; Liao, C.; Wang, Y. Review of Femtosecond-Laser-Inscribed Fiber Bragg Gratings: Fabrication Technologies and Sensing Applications. Photonic Sens. 2021, 11, 203–226. [Google Scholar] [CrossRef]
- González del Val, M.; Nogués, J.M.; Gallego, P.G.; Frövel, M. Icing condition predictions using FBGS. Sensors 2021, 21, 6053. [Google Scholar] [CrossRef] [PubMed]
- Castrellon-Uribe, J. Optical Fiber Sensors: An Overview; SourceInTech: London, UK, 2012. [Google Scholar] [CrossRef]
- Webb, D.J. Optical-Fiber Sensors: An Overview; Cambridge University Press: Cambridge, UK, 2011. [Google Scholar]
- Cheo, P.K. Fiber Optics: Devices and System, 1st ed.; Prentice-Hall: New Jersey, NJ, USA, 1985. [Google Scholar]
- Chen, C.L. Elements of Optoelectronics and Fiber Optics, 1st ed.; Irwin: New York, NY, USA, 1996. [Google Scholar]
- Fidanboylu, K.; Efendioglu, H.S. Fiber optic sensors and their applications. In Proceedings of the 5th International Advanced Technologies Symposium, Karabuk, Turkey, 13–15 May 2009. [Google Scholar]
- Kersey, A.; Dandridge, A. Applications of fiber-optic sensors. IEEE Trans. Comp. Hybrids Manuf. Tech. 1989, 13, 472–478. [Google Scholar]
- Krohn, D.A.; MacDougall, T.W.; Mendez, A. Fiber Optic Sensors Fundamentals and Applications, 4th ed.; SPIE: Washington, WA, USA, 2015. [Google Scholar]
- Wang, M.C.; Hsieh, Z.Y.; Huang, H.S.; Wang, J.E. Dual fiber-optic Fabry-Perot interferometer strain sensor with low-cost light-emitting diode light source. Opt. Eng. 2008, 47, 64401-1–64401-6. [Google Scholar]
- Liu, J.; Jia, P.; Zhang, H.; Tian, X.; Liang, H.; Hong, Y.; Liang, T.; Liu, W.; Xiong, J. Fiber-optic Fabry–Perot pressure sensor based on low-temperature co-fired ceramic technology for high-temperature applications. Appl. Opt. 2018, 57, 4211–4215. [Google Scholar] [CrossRef]
- Tseng, Y.T.; Chuang, Y.J.; Wu, Y.C.; Yang, C.S.; Wang, M.C.; Tseng, F.G. A gold-nanoparticle-enhanced immune sensor based on fiber optic interferometry. Nanotechnology 2008, 19, 345501-1–345501-9. [Google Scholar] [CrossRef]
- Li, T.; Xiao, Q.; Huang, J.; Zhou, P.; Jia, B. Ultrasensitive temperature fiber optic sensor based on a HO(Me2SiO)nH (silicone rubber) Fabry–Pérot cavity. Appl. Opt. 2020, 59, 11319–11324. [Google Scholar] [CrossRef]
- Wang, S.; Wu, W.; Sang, M.; Jiang, J.; Liu, K.; Wang, X.; Yu, X.; Liu, T. High-consistency fiber-optic Fabry–Perot sensor based on MEMS for simultaneous temperature and liquid refractive index measurement. Appl. Opt. 2020, 59, 9353–9358. [Google Scholar] [CrossRef] [PubMed]
- Li, M.; Wang, S.; Jiang, J.; Liu, K.; Yu, L.; Liu, T. Cryogen adaptive and integrated differential pressure sensor for level sensing based on an optical Fabry–Perot interferometer. Appl. Opt. 2020, 59, 2457–2461. [Google Scholar] [CrossRef]
- Pain, H.J. The Physics of Vibrations and Waves, 6th ed.; Wiley: New Jersey, NJ, USA, 2005. [Google Scholar]
- Ryabukho, V.P. Problems and Answers in Wave Optics, 1st ed.; SPIE: New York, NY, USA, 2011. [Google Scholar] [CrossRef][Green Version]
- Li, H.; Li, D.; Xiong, C.; Si, W.; Fu, C.; Yuan, P.; Yu, Y. Low-cost, high-performance fiber optic Fabry–Perot sensor for ultrasonic wave detection. Sensors 2019, 19, 406. [Google Scholar] [CrossRef] [PubMed]
- Bucaro, J.A.; Dardy, H.D.; Carome, E.F. Optical fiber acoustic sensor. Appl. Opt. 1977, 16, 1761–1762. [Google Scholar] [CrossRef] [PubMed]
- Taylor, R.W.; Dailey, G.E. The super-directional acoustic sensor. In Proceedings of the IEEE Mastering the Oceans Through Technology, Newport, RI, USA, 26–29 October 1992. [Google Scholar]
- Taylor, H. Acoustooptic modulators for single-mode fibers. IEEE J. Lightwave Tech. 1987, 5, 990–992. [Google Scholar] [CrossRef]
- Chyad, R.M.; Ali, A.H.; Hammed, A.A.; Mahdi, B.R.; Khalef, N.H.; Mahmoud, A.I.; Rasheed, H.M. Acoustic fiber sensors by Fabry- Perot interferometer technology. J. Phys. Conf. Ser. 2020, 1660, 012052. [Google Scholar] [CrossRef]
- Gorshkov, B.G.; Yüksel, K.; Fotiadi, A.A.; Wuilpart, M.; Korobko, D.A.; Zhirnov, A.A.; Stepanov, K.V.; Turov, A.T.; Konstantinov, Y.A.; Lobach, I.A. Scientific Applications of Distributed Acoustic Sensing: State-of-the-Art Review and Perspective. Sensors 2022, 22, 1033. [Google Scholar] [CrossRef]
- Young, C.; Shragge, J.; Schultz, W.; Haines, S.; Oren, C.; Simmons, J.; Collett, T.S. Advanced Distributed Acoustic Sensing Vertical Seismic Profile Imaging of an Alaska North Slope Gas Hydrate Field. Energy Fuels 2022, 36, 3481. [Google Scholar] [CrossRef]
- Andrews, J.P.; McClintock, J.A. Interferometric optical sensor readout system. In Proceedings of the 1993 North American Conference on Smart Structures and Materials, Albuquerque, NM, USA, 12 July 1993. [Google Scholar] [CrossRef]
- Muñoz-Pérez, J.E.; Cruz, J.L.; Andrés, M.V.; Ortega-Mendoza, J.G. Conic optical fiber probe for generation and characterization of microbubbles in liquids. Sens. Actu. A Phy. 2021, 317, 112441. [Google Scholar] [CrossRef]
- Giallorenzi, T.G.; Bucaro, J.A.; Dandridge, A.; Cole, J.H. Optical fiber sensors challenge the competition. IEEE Spectrum 1986, 23, 44–49. [Google Scholar] [CrossRef]
- Lee, C.E.; Atkins, R.A.; Taylor, H.F. Performance of a fiber-optic temperature sensor from −200 to 1050 °C. Opt. Lett. 1988, 13, 1038–1040. [Google Scholar] [CrossRef]
- He, T.Y.; Chen, M.Q.; Zhao, Y.; Liu, Q.F.; Wang, C.R. Inexpensive optical fiber Fabry–Perot microcavity with controllable length for sensitive temperature measurements. Instrum. Sci. Tech. 2021, 49, 658–670. [Google Scholar] [CrossRef]
- Sadkowski, R. Mixed-signal Processor for A Fabry-Perot Interferometric Fiber Optic Pressure Sensor. Ph.D. Thesis, Texas A&M University, College Station, TX, USA, 1994. [Google Scholar]
- Lee, C.E.; Taylor, H.F. Fiber-optic Fabry-Perot temperature sensor using a low-coherence light source. IEEE J. Lightwave Tech. 1991, 9, 129–134. [Google Scholar] [CrossRef]
- Wang, W.; Li, S.; Wen, L. Ultra-low sensitivity to temperature low-cost optical fiber Fabry-Perot micro pressure sensor with a chitosan diaphragm. Optics Commun. 2013, 309, 302–306. [Google Scholar] [CrossRef]
- Rashid, M.H. Microelectronic Circuits: Analysis & Design, 2nd ed.; Cengage: Boston, MA, USA, 2011. [Google Scholar]
- Goodman, J.W. Statistical Optics, 2nd ed.; Wiley: New York, NY, USA, 2015. [Google Scholar]
- Hirsch, M.; Majchrowicz, D.; Wierzba, P.; Weber, M.; Bechelany, M.; Jędrzejewska-Szczerska, M. Low-Coherence Interferometric Fiber-Optic Sensors with Potential Applications as Biosensors. Sensors 2017, 17, 261. [Google Scholar] [CrossRef] [PubMed]
- Shang, Q.; Qin, W. Fiber Bragg Grating Dynamic Calibration Based on Online Sequential Extreme Learning Machine. Sensors 2020, 20, 1840. [Google Scholar] [CrossRef] [PubMed]










Publisher’s Note: MDPI stays neutral with regard to jurisdictional claims in published maps and institutional affiliations. |
© 2022 by the authors. Licensee MDPI, Basel, Switzerland. This article is an open access article distributed under the terms and conditions of the Creative Commons Attribution (CC BY) license (https://creativecommons.org/licenses/by/4.0/).
Share and Cite
Wang, M.-C.; Chao, S.-Y.; Lin, C.-Y.; Chang, C.-H.-T.; Lan, W.-H. Low-Frequency Vibration Sensor with Dual-Fiber Fabry–Perot Interferometer Using a Low-Coherence LED. Crystals 2022, 12, 1079. https://doi.org/10.3390/cryst12081079
Wang M-C, Chao S-Y, Lin C-Y, Chang C-H-T, Lan W-H. Low-Frequency Vibration Sensor with Dual-Fiber Fabry–Perot Interferometer Using a Low-Coherence LED. Crystals. 2022; 12(8):1079. https://doi.org/10.3390/cryst12081079
Chicago/Turabian StyleWang, Mu-Chun, Shou-Yen Chao, Chun-Yeon Lin, Cheng-Hsun-Tony Chang, and Wen-How Lan. 2022. "Low-Frequency Vibration Sensor with Dual-Fiber Fabry–Perot Interferometer Using a Low-Coherence LED" Crystals 12, no. 8: 1079. https://doi.org/10.3390/cryst12081079
APA StyleWang, M.-C., Chao, S.-Y., Lin, C.-Y., Chang, C.-H.-T., & Lan, W.-H. (2022). Low-Frequency Vibration Sensor with Dual-Fiber Fabry–Perot Interferometer Using a Low-Coherence LED. Crystals, 12(8), 1079. https://doi.org/10.3390/cryst12081079

