Effect of Cr Content on the Microstructure of Casting Infiltration Layers: Simulations and Experiments
Abstract
:1. Introduction
2. Materials and Methods
2.1. Materials
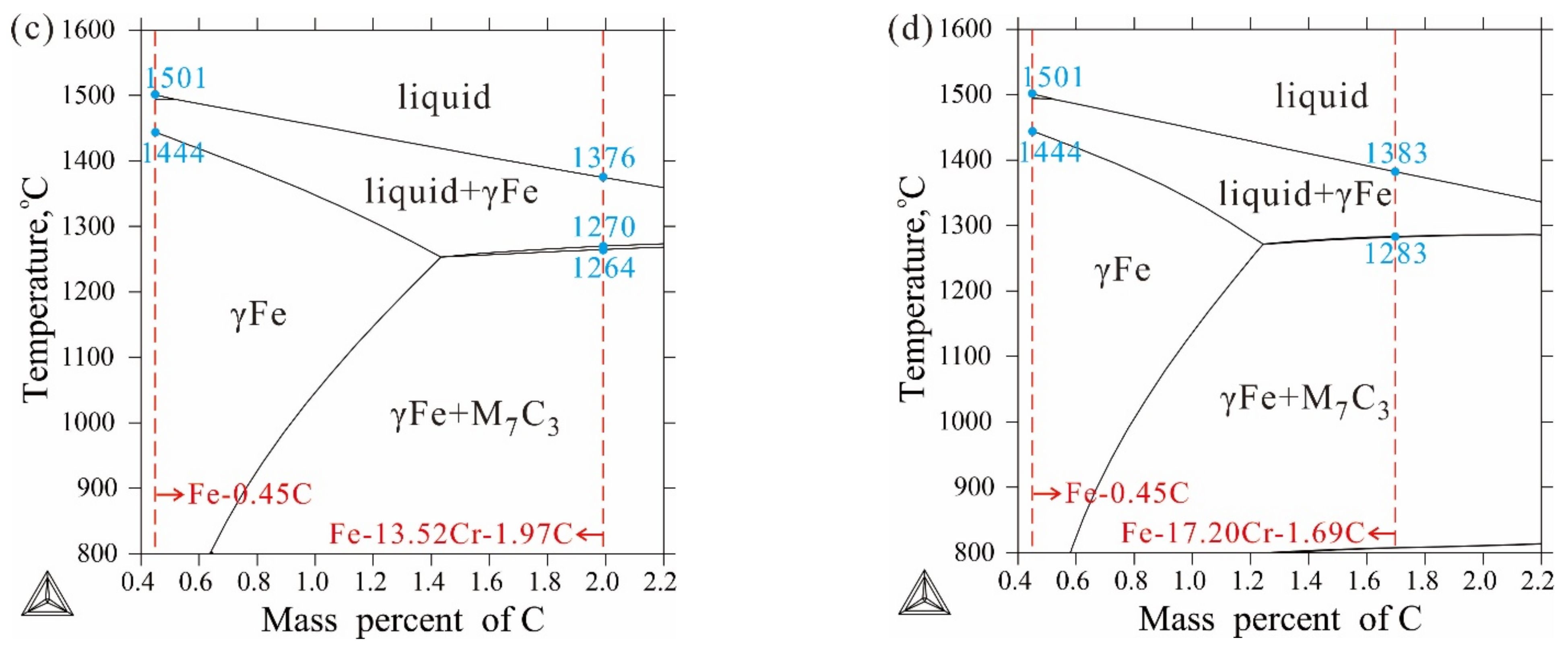
2.2. Thermodynamic Calculations
2.3. Microstructure Observation
2.4. Hardness Measurement
3. Results and Discussions
3.1. Microstructure of as-Cast CILs
3.2. Interface Microstructure of the Casting Infiltration
3.3. Hardness
4. Conclusions
Author Contributions
Funding
Institutional Review Board Statement
Informed Consent Statement
Data Availability Statement
Acknowledgments
Conflicts of Interest
References
- Wei, S.Z.; Xu, L.J. Review on research progress of steel and iron wear-resistant materials. Acta Metall. Sin. 2020, 56, 523–538. [Google Scholar]
- Tabrett, C.P.; Sare, I.R.; Ghomashchi, M.R. Microstructure-property relationships in high chromium white iron alloys. Int. Mater. Rev. 1996, 41, 59–82. [Google Scholar] [CrossRef]
- Zhao, L.; Li, J.; Yang, Q.; Wang, Y.; Zhang, X.; Li, H.; Yang, Z.; Xu, D.; Liu, J. Study on Friction and Wear Properties of New Self-Lubricating Bearing Materials. Crystals 2022, 12, 834. [Google Scholar] [CrossRef]
- Cheng, Z.; Wang, S.; Wu, G.; Gao, J.; Yang, X.; Wu, H. Tribological properties of high-entropy alloys: A review. Int. J. Miner. Metall. Mater. 2022, 29, 389–403. [Google Scholar] [CrossRef]
- Wang, S.; Wang, S.; Wu, H.-H.; Wu, Y.; Mi, Z.; Mao, X. Towards enhanced strength-ductility synergy via hierarchical design in steels: From the material genome perspective. Sci. Bull. 2021, 66, 958–961. [Google Scholar] [CrossRef]
- Matikainen, V.; Peregrina, S.R.; Ojala, N.; Koivuluoto, H.; Schubert, J.; Houdková, Š.; Vuoristo, P. Erosion wear performance of WC-10Co4Cr and Cr3C2-25NiCr coatings sprayed with high-velocity thermal spray processes. Surf. Coat. Technol. 2019, 370, 196–212. [Google Scholar] [CrossRef]
- Shen, Q.; Li, Y.; Zhao, J.; Liu, D.; Yang, Y. Effects of Annealing on the Microstructure and Wear Resistance of Laser Cladding CrFeMoNbTiW High-Entropy Alloy Coating. Crystals 2021, 11, 1096. [Google Scholar] [CrossRef]
- Sawant, M.S.; Jain, N.K. Investigations on wear characteristics of Stellite coating by micro-plasma transferred arc powder deposition process. Wear 2017, 378–379, 155–164. [Google Scholar] [CrossRef]
- Bahraini, M.; Minghetti, T.; Zoellig, M.; Schubert, J.; Berroth, K.; Schelle, C.; Graule, T.; Kuebler, J. Activated pressureless infiltration of metal-matrix composites with graded activator content. Compos. Part A Appl. Sci. Manuf. 2009, 40, 1566–1572. [Google Scholar] [CrossRef]
- Wang, S.L.; Wang, A.Q.; Xie, J.P. Study on the Microstructures and Wear Resistance of ZG30Cr Steel Surface Layer. Mater. Sci. Forum 2011, 704–705, 23–27. [Google Scholar] [CrossRef]
- Ye, F.; Hojamberdiev, M.; Xu, Y.; Zhong, L.; Zhao, N.; Li, Y.; Huang, X. Microstructure, microhardness and wear resistance of VCp/Fe surface composites fabricated in situ. Appl. Surf. Sci. 2013, 280, 297–303. [Google Scholar] [CrossRef]
- Zhou, Y.F.; Qin, G.K.; Jiang, P.J.; Wang, S.F.; Qi, X.W.; Xing, X.L.; Yang, Q.X. Dry Sliding Wear Behavior of (Cr, Fe)7C3-γ(Cr, Fe) Metal Matrix Composite (MMC) Coatings: The Influence of High Volume Fraction (Cr, Fe)7C3 Carbide. Tribol. Lett. 2018, 66, 108. [Google Scholar] [CrossRef]
- Kondrat’ev, S.Y.; Kraposhin, V.S.; Anastasiadi, G.P.; Talis, A.L. Experimental observation and crystallographic description of M7C3 carbide transformation in Fe–Cr–Ni–C HP type alloy. Acta Mater. 2015, 100, 275–281. [Google Scholar] [CrossRef]
- Wang, J.; Li, C.; Liu, H.; Yang, H.; Shen, B.; Gao, S.; Huang, S. The precipitation and transformation of secondary carbides in a high chromium cast iron. Mater. Charact. 2006, 56, 73–78. [Google Scholar] [CrossRef]
- Li, Z.; Jiang, Y.; Rong, Z.; Lu, D.; Zhou, R. Dry three-body abrasive wear behavior of WC reinforced iron matrix surface composites produced by V-EPC infiltration casting process. Wear 2007, 262, 649–654. [Google Scholar] [CrossRef]
- Jing, W.; Wang, Y. In-situ production of Fe–TiC composite. Mater. Lett. 2007, 61, 4393–4395. [Google Scholar] [CrossRef]
- Xu, L.; Wang, F.; Zhou, Y.; Wang, X.; Chen, C.; Wei, S. Fabrication and wear property of in-situ micro-nano dual-scale vanadium carbide ceramics strengthened wear-resistant composite layers. Ceram. Int. 2021, 47, 953–964. [Google Scholar] [CrossRef]
- Wang, F.; Xu, L.; Wei, S.; Wang, X.; Chen, C.; Zhou, Y. Preparation and wear properties of high-vanadium alloy composite layer. Friction 2022, 10, 1166–1179. [Google Scholar] [CrossRef]
- Fischer, S.F.; Muschna, S.; Bührig-Polaczek, A.; Bünck, M. In-situ surface hardening of cast iron by surface layer metallurgy. Mater. Sci. Eng. A 2014, 615, 61–69. [Google Scholar] [CrossRef]
- Zhang, Q.; Chen, C.; Zhang, C.; Ma, J.; Zhang, C.; Mao, F. Effect of boron on microstructure and properties of casting infiltration layer of high chromium cast iron. Mater. Rep. 2022, 36, 20110229-7. [Google Scholar]
- Li, C.; Li, Y.; Shi, J.; Li, B.; Gao, Y.; Goei, R.; Li, Y.; Shah, I.A.; Wu, K.; Zhao, S.; et al. Interfacial characterization and erosive wear performance of zirconia toughened alumina ceramics particles reinforced high chromium white cast irons composites. Tribol. Int. 2022, 165, 107262. [Google Scholar] [CrossRef]
- Zheng, B.; Li, W.; Tu, X.; Xu, F.; Liu, K.; Song, S. Effect of titanium binder addition on the interface structure and three-body abrasive wear behavior of ZTA ceramic particles-reinforced high chromium cast iron. Ceram. Int. 2020, 46, 13798–13806. [Google Scholar] [CrossRef]
- Peng, Y.; Du, Y.; Zhou, P.; Zhang, W.; Chen, W.; Chen, L.; Wang, S.; Wen, G.; Xie, W. CSUTDCC1—A thermodynamic database for multicomponent cemented carbides. Int. J. Refract. Met. Hard Mater. 2014, 42, 57–70. [Google Scholar] [CrossRef]
- Kaufman, L.; Ågren, J. CALPHAD, first and second generation–Birth of the materials genome. Scr. Mater. 2014, 70, 3–6. [Google Scholar] [CrossRef]
- Lv, S.-J.; Wang, S.-Z.; Wu, G.-L.; Gao, J.-H.; Yang, X.-S.; Wu, H.-H.; Mao, X.-P. Application of phase-field modeling in solid-state phase transformation of steels. J. Iron Steel Res. Int. 2022, 29, 867–880. [Google Scholar] [CrossRef]
- Du, Y.; Liu, S.; Zhang, L.; Xu, H.; Zhao, D.; Wang, A.; Zhou, L. An overview on phase equilibria and thermodynamic modeling in multicomponent Al alloys: Focusing on the Al–Cu–Fe–Mg–Mn–Ni–Si–Zn system. Calphad 2011, 35, 427–445. [Google Scholar] [CrossRef]
- Liu, W.; Chen, C.; Tang, Y.; Long, Q.; Wei, S.; Zhang, G.; Mao, F.; Jiang, Q.; Zhang, T.; Liu, M. Thermodynamic evaluation and investigation of solidification microstructure in the Fe–Cr–Ni–C system. Calphad 2020, 69, 101763. [Google Scholar] [CrossRef]
- Aljarrah, M.; Alnahas, J.; Alhartomi, M. Thermodynamic Modeling and Mechanical Properties of Mg-Zn-{Y, Ce} Alloys: Review. Crystals 2021, 11, 1592. [Google Scholar] [CrossRef]
- Chen, Q.; Sundman, B. Computation of Partial Equilibrium Solidification with Complete Interstitial and Negligible Substitutional Solute Back Diffusion. Mater. Trans. 2002, 43, 551–559. [Google Scholar] [CrossRef] [Green Version]











| Designation | Casting Infiltration Agent | Casting Infiltration Layer | ||||
|---|---|---|---|---|---|---|
| C | Cr | Fe | C | Cr | Fe | |
| CIL-1 | 6 | 24 | Bal. | 2.01 | 7.01 | Bal. |
| CIL-2 | 6 | 36 | Bal. | 2.01 | 10.36 | Bal. |
| CIL-3 | 6 | 48 | Bal. | 1.97 | 13.52 | Bal. |
| CIL-4 | 6 | 60 | Bal. | 1.69 | 17.20 | Bal. |
| Type | Volume Fractions of M7C3 (vol.%) | |||
|---|---|---|---|---|
| CIL-1 | CIL-2 | CIL-3 | CIL-4 | |
| Experimental values | 5.05 | 7.31 | 10.16 | 13.12 |
| Calculated values | 5.32 | 8.84 | 11.84 | 13.27 |
Publisher’s Note: MDPI stays neutral with regard to jurisdictional claims in published maps and institutional affiliations. |
© 2022 by the authors. Licensee MDPI, Basel, Switzerland. This article is an open access article distributed under the terms and conditions of the Creative Commons Attribution (CC BY) license (https://creativecommons.org/licenses/by/4.0/).
Share and Cite
Chen, C.; Wang, T.; Wei, S.; Liu, W.; Zhang, G.; Tang, Y.; Pan, K.; You, L.; Xu, L.; Jiang, T. Effect of Cr Content on the Microstructure of Casting Infiltration Layers: Simulations and Experiments. Crystals 2022, 12, 1022. https://doi.org/10.3390/cryst12081022
Chen C, Wang T, Wei S, Liu W, Zhang G, Tang Y, Pan K, You L, Xu L, Jiang T. Effect of Cr Content on the Microstructure of Casting Infiltration Layers: Simulations and Experiments. Crystals. 2022; 12(8):1022. https://doi.org/10.3390/cryst12081022
Chicago/Turabian StyleChen, Chong, Tao Wang, Shizhong Wei, Wenliang Liu, Guoshang Zhang, Ying Tang, Kunming Pan, Long You, Liujie Xu, and Tao Jiang. 2022. "Effect of Cr Content on the Microstructure of Casting Infiltration Layers: Simulations and Experiments" Crystals 12, no. 8: 1022. https://doi.org/10.3390/cryst12081022
APA StyleChen, C., Wang, T., Wei, S., Liu, W., Zhang, G., Tang, Y., Pan, K., You, L., Xu, L., & Jiang, T. (2022). Effect of Cr Content on the Microstructure of Casting Infiltration Layers: Simulations and Experiments. Crystals, 12(8), 1022. https://doi.org/10.3390/cryst12081022

