Next Article in Journal
Ultrasound in Continuous Tubular Crystallizers: Parameters Affecting the Nucleation Rate
Next Article in Special Issue
Broadband Tunable Terahertz Beam Deflector Based on Liquid Crystals and Graphene
Previous Article in Journal
Stabilization of Haloalkane Dehalogenase Structure by Interfacial Interaction with Ionic Liquids
Previous Article in Special Issue
A Review of Two-Dimensional Liquid Crystal Polarization Gratings
 
 
Font Type:
Arial Georgia Verdana
Font Size:
Aa Aa Aa
Line Spacing:
Column Width:
Background:
Review

Optically Rewritable Liquid Crystal Displays: Characteristics and Performance

by
Vladimir G. Chigrinov
1,2,3,
Aleksey A. Kudreyko
4,* and
Fedor V. Podgornov
3
1
Department of Theoretical Physics, Moscow Region State University, 141014 Mytishi, Russia
2
Department of Electronic & Computer Engineering, Hong Kong University of Science and Technology, Clear Water Bay, Kowloon, Hong Kong
3
Laboratory of Molecular Electronics, South Ural State University, 454080 Chelyabinsk, Russia
4
Department of Medical Physics and Informatics, Bashkir State Medical University, 450008 Ufa, Russia
*
Author to whom correspondence should be addressed.
Crystals 2021, 11(9), 1053; https://doi.org/10.3390/cryst11091053
Submission received: 9 August 2021 / Revised: 24 August 2021 / Accepted: 31 August 2021 / Published: 1 September 2021
(This article belongs to the Special Issue Liquid Crystals in China)

Abstract

:
Recent achievements in the photoalignment technique for fabrication of optically rewritable electronic paper with high performance characteristics are surveyed with emphasis on temporal constraints on the exposure process. The possibility of creating electrode-free electronic paper has very important practical aspects. However, many existing studies do not include sufficient analysis on how to achieve acceptable reflective characteristics within short exposure time. In order to achieve this goal, we have applied the rotational diffusion model. We find that the parameters of the diffusion model can be adjusted to get acceptable light-reflecting characteristics within 10 s of exposure. In comparison with the long-time exposure, the reflectance coefficient reduces by 24%. The route to material improvements for optimized e-paper device is discussed.

1. Introduction

Adaptive optical elements with changing refractive state are of great interest in many industrial and scientific applications [1,2]. The idea behind photoaligned optically rewritable (ORW) technology is to write, store and rewrite computer information, on glass or flexible carrier. Displays which use this principle are called optically rewritable electronic paper (e-paper) displays. The optically rewritable technique is highly desirable because other technologies suffer from the high level complexity of driving circuits to keep grayscale [1,3]. At present, there exist many other e-paper technologies with acceptable for consumers performance characteristics [1,4,5]. Meanwhile, research and development challenges in, e.g., electrofluidic technology range from complex electrode geometry for obtaining analogue grayscale to elimination of power consumption to keep the information on the display [1].
Earlier studies demonstrate competitive light-reflecting characteristics of ORW e-paper [6,7]. A shortcoming of this approach is the necessity of long time (≈10–60 s) exposure [8]. It is natural to consider the question about parameters of the irradiated light and e-paper device, which can lead to acceptable performance of ORW e-paper within shorter exposure times. A possible solution of this problem can be consideration of the rotational diffusion theory [9] with the subsequent simulation of the contrast ratio and reflectance spectra of the device. Therefore, analysis of both image writer operating modes with the limited exposure time and light reflecting characteristics of ORW e-paper are important to optimize the composite structure of e-paper.
In this review we aim to show both experimental and theoretical advances in ORW technology. A brief review of e-paper geometry and properties of photoaligned materials is given in Section 2. The study of ORW e-paper light-reflecting characteristics would be incomplete without critical consideration of the governing parameters and understanding of optically-induced effects in the photosensitive layer. Thus, investigation of the exposure modes on the photosensitive layer is discussed in Section 3. In Section 4 we present the discussion of simulation of optical performance of e-paper.

2. Geometry of ORW E-Paper and Properties of Materials

In uniaxial liquid crystals (LCs), the director is defined as spatiotemporal average of the optical axis direction of each molecule. The orientation of the LC director within the cell is surface mediated, and depends on the azimuthal and polar anchoring energies of LC with the surface. In the absence of the external agent, interaction between the surface and LC imposes preferred direction on the director in the equilibrium state, known as the easy direction axis. If one of the substrates is covered with a photosensitive material (e.g., azo dyes SD1 or AD1), then LC’s anchoring energy is controlled by the exposure energy. Consequently, the twist angle of the director will achieve adjusted equilibrium value [10]. This is essential to get acceptable optical contrast (higher than 8:1 [10]) and a variety of gray levels. Azimuthal anchoring energy of nematic LC with the azo dye-treated surface can be controlled through the exposure time, and it is estimated to be (2–14)·10−5 J/m2 (see Figure 1). Consequently, the twist angle can be controlled, which results in generation of gray levels [6,11].
Consider the properties of the substrate, which is coated with photosensitive azo dye. Optimal thickness of the azo dye layer must be within 10–15 nm. According to well-known models, azo dyes are considered as uniaxial molecules [12,13], and undergo in-plane rotational diffusion, tending to minimize light absorption. This is a reasonable scenario because the applied exciting light must be well collimated with a limited power of the excited photoaligned sample [9,14]. During the exposure process, optical retardation (δ) can be measured by photoelastic modulator. If azo dye is placed on the substrate, and continuously exposed by pump beam, the phase retardation gradually increases, achieving its saturation as depicted in Figure 2. Therefore, the combination of photoaligned azo dye molecules and twisted nematic LC film, which is confined between crossed polarizers, can provide various intensities of the reflected light, similar to the conventional printed media. In order to erase the image, circularly polarized light must be applied to the e-paper.
The simplest structure for fabrication of ORW e-paper is the twisted nematic LC, which is confined between two flexible substrates. In practice, this gap on flexible film is controlled by micrometer-sized spacers [15]. Figure 3a shows schematic representation of the considered cell, where one substrate is covered by photoactive alignment layer, and another is covered by photopassive (photostable) alignment layer. Detailed representation of the cross-sectional view, showing reflective-type LC display device, is depicted in Figure 3b.
Several interesting features are observed if LC is doped with a fluorescent dye [7]. Depending on the type of fluorescent dye, the reflected light spectrum can have high intensity of green fluorescence, whilst blue light is absorbed. Moreover, the fluorescent dye enhances the twisted state (i.e., dark state) of ORW e-paper (see Figure 4a). In other words, the intensity of blue light (peak wavelength ~430 nm) decreases in the reflectance spectrum, consequently, the contribution of green light (peak wavelength ~520 nm) increases [16]. It all provides enhancement of the dark state (see Figure 4b).
Grayscale images are essential for display applications. Different attempts for generation of grayscale images on ORW displays were studied. An attempt to control the twist angle with the aim to generate gray levels on each pixel was carried out in studies [11,17]. The physics behind grayscale generation is the proportionality between the intensity of the reflected light and the twist angle φ. An obvious method to generate grayscale images on ORW e-paper, is to control the twist angle on each pixel, where angle φ is determined by the azimuthal anchoring energy Wa(texp). This approach involves application of amplitide modulator. However, azimuthal anchoring energy is also affected by several factors: azo dye layer thickness [9], temperature [18], LC cell fabrication process [19], etc. The uniformity of the irradiated light beam is also crucial for this approach.
Another method to generate grayscale on e-paper is precise control of the photoaligned direction within the given area, i.e., instantenous orientation of the polarization direction. This approach is realized by uniform light emitting diode with LC-based polarization rotator [20] or digital micromirror device with rotational polarizer [21].

3. Image Writer Modes

As it was earlier mentioned, the photoaligning process requires 10–60 s, and it highly depends on the surface treatment [8]. This makes the studies on reduction of the photoalignment time highly desireble. In order to optimize the photoalignment process, it is necessary to investigate the influence of the exposure time and exposure intensity characteristics on the alignment quality of azo dye layer. Since we have restricted ourselves with 10 s, perfect alignment cannot be achieved. Let the value of the angle θ between the polarization plane and the most probable orientation of molecules is 70° [22]. The plots in Figure 5 can be used to estimate the exposure intensity for the desired time of azo dye rotational diffusion. At zero intensity level, the time tends to infinity, and it decreases at higher values of exposure intensities. When the exposure intensity exceeds ~125 mW/cm2, the desired alignment quality is achieved within 10 s.
Note that the product between the average azo dye reorientation time and the corresponding exposure intensity determines the effective exposure dose. Interesting phenomenon of the effective exposure dose dependence versus the light intensity is observed within the range of ~0–20 mW/cm2, i.e., the effective exposure dose is fairly constant (367 mJ/cm2). Meanwhile, when the intensity higher than 20 mW/cm2, the exposure dose exhibits linear behavior. A probable interpretation of this phenomenon is non-constant rotational diffusion coefficient of azo dye molecules. However, this issue is not investigated.
The proportionality between the photoinduced phase retardation (δ) and the order parameter S enables to consider the photoalignment process by using rotational diffusion theory of uniaxial azo dye molecules [9]. For the case of molecules with cylindrical symmetry, its in-plane alignment can be characterized with the angle θ. Collective ordering of azo dye molecules is characterized by the probability density function f(θ, t), which transforms from uniform ordering with f(θ, 0) = 0.5 to the Gaussian distribution for t→∞. The transformation rate depends on both exposure intensity and rotational diffusion coefficient (D). If we restrict ourselves to any acceptable time, then performance characteristics of ORW e-paper will not achieve its maximum potential. Thus, it is worthwhile perform investigation on the adjustment of e-paper material properties to get the desirable performance within, e.g., 10 s.
Referring to the findings of the diffusion model, one can conclude that the kinetics of the photoalignment process (i.e., derivative of the order parameter with respect to the exposure time) depends on the dimensionless parameter A, which characterizes intensity of the expose light and the rotational diffusion coefficient D. For rod-like azo dye molecules, the Boltzmann–Smoluchowski equation for destribution density has the form [23,24]:
2 f θ 2 ( A 2 + 3 2 a k T P 2 ) θ [ f sin 2 θ ] = 1 D f t ,
where k is Boltzmann’s constant; T is the absolute temperature, a is the temperature-dependent expansion coefficient, which characterizes intermolecular interactions; S = P 2 is the order parameter, which is defined as the thermodynamic average:
P 2 = 0 π P 2 ( θ ) f ( θ , t ) sin θ d θ / 0 π f ( θ , t ) sin θ d θ , P 2 ( θ ) = 1 2 ( 3 cos 2 θ 1 ) .
Note that the denominator in Formula (2), i.e., 0 π f ( θ , t ) sin θ d θ , represents the normalization condition. This issue enables to simplify the expression of the order parameter P 2 .
A realistic solution of Equation (1) can be obtained if isotropic alignment of azo dye molecules will be assumed as the initial state, i.e., f ( θ , 0 ) = 1 / 2 . When the light is switched on, more and more molecules tend to align perpendicular to the polarization plane. Consequently, one can suppose that the temporal derivative of the probability density function must asymptotically vanish in the vicinity of the boundaries (θ = 0, π). This can be achieved if the rate of change of the probability density function will be fitted to the exponential decay function:
f ( 0 ,   t ) t = e C t , f ( π ,   t ) t = e C t ,
where C ≈ 6D is the arbitrary given constant, which is inversely proportional to the response (rise) time [14]. Boundary Condition (3) mean that the fraction of azo dye molecules, which are parallel to the polarization plane, asymptotically approaches to zero, tending to approach the order parameter to its extreme value, i.e., Sm = −0.5.
Our next consideration is related to the pulse-width modulation of the exposure intensity I, By introducing any temporal dependence of function I(t), one can model image writer mode, which is governed by the following expression:
A = α τ I V M k T .
The parameters in Formula (4) represent the absorption coefficient—α, relaxation time—τ, molecular volume of azo dye—VM. Thus, it is possible to simulate the change of the probability density function for various modulated pulses.
Further, we introduce the values of the governing parameters. Let α = 105 cm−1, V M = 3.3 · 10 20 cm−3, T = 300 K, τ = 5 · 10 3 s, I = 0.125 W/cm2 and a/kT = −6.5. Thus, dimensionless parameter, which describes the absorbed optical energy can be taken as A ≈ 500. The value of the rotational diffusion coefficient also strongly affects the mean azo dye rotation time. The important point of the rotational diffusion coefficient is that it depends on the viscosity and characteristic size of the molecular cluster. The size of the cluster depends of the concentration of azo dye molecules (less than 1%) [9,25]. These facts enable us to analyze solutions of Equation (2) with different values of parameter D, but having fixed its order. Simple mathematical calculations produce theoretical prediction for D = 8 · 10 4 s−1. The values of the defined parameters were chosen to satisfy the requirement, regarding the reorientation time.
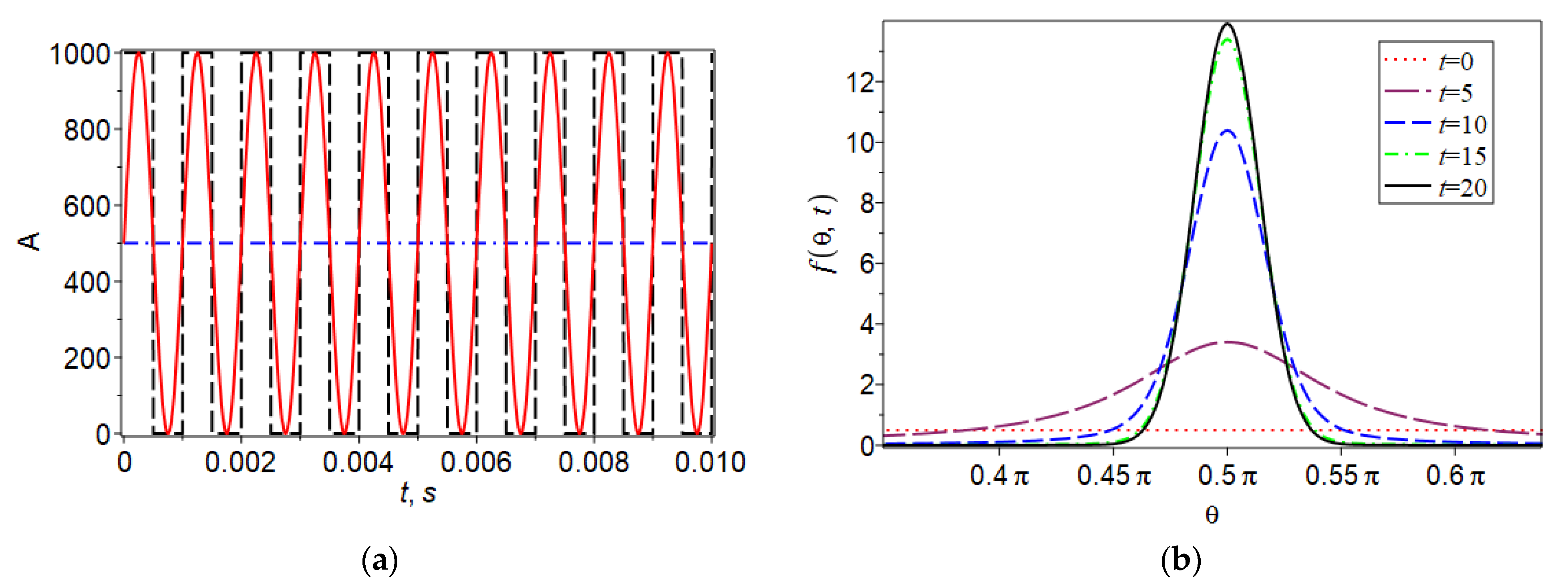
Let us study model (1) for different pump signals A(t) (see Figure 6a). The subsequent substitution of these pulses into the Boltzmann–Smoluchowski Equation (1) shows that the time, which is required to achieve the saturated form of the probability density function depends on the mean value of the intensity during the cycle. In other words, the curves in Figure 6b for the given instants of time depend on the mean intensity. In practice, these pulses can be modulated with a light-emitting diode.
When the probability density function is known for the considered time domain, is it possible to calculate kinetics of the relative order parameter, which is defined as follows: s = S / S m . The computational technique includes obtaining the values of f ( θ i , t ) , I = 1…20 at the sampled points for the given instants of time, which were interpolated by splines. The obtained analytical expressions of the probability density functions were substituted into the definition of the order parameter (see Formula (2)), and then the relative order parameter was calculated asterisk symbols in Figure 7.
It should be pointed out that constants A and D depend on many factors, and the desired reorientation time can be achieved with the compromise between all material parameters of azo dye and the exposure light.

4. Optimization of ORW E-Paper and Image Writer

The case, when the exposure time is restricted to 10 s means that the performance of light-reflecting characteristics will not achieve its maximum values (see Figure 7). Meanwhile, both contrast ratio and reflectance coefficient must be comparable with other e-paper technologies [1]. To the best of the authors’ knowledge, there is no published theoretical method on estimation of the azo dye order parameter by using the measured mean twist angle. Currently available experimental data (see Figure 5) enable us to consider the mean twist angle of 70° after 10 s of exposure. The calculated relative order parameter s(10) is equal to 0.91 (see Figure 7). Suppose that the measured twist angle can be matched to the calculated relative order parameter. This enables us to calculate the equilibrium state of the director orientation in the LC layer for the given boundary conditions. Consequently, simulation of the optical characteristics can be carried out.
Consider a LC layer with average elastic and optical parameters (e.g., 5CB) of thickness 13.3 μm. In order to simulate light-reflecting characteristics of ORW e-paper, one must consider its composite layered structure (e.g., [6,25]), where dark and bright states are obtained by changing the mean director twist angle between polarizers (see Figure 3). All performance characteristics of e-paper can be modelled by using the optimizer MOUSE LCD [26]. With the assistance of the tool “Angular Characteristics” of MOUSE-LCD, one can obtain the contrast ratio versus viewing angles. The isolines in Figure 8a show almost symmetric dependencies of the contrast ratio with the mean result of 8:1. Simulations of the reflectance coefficient for bright and dark states (Figure 8b,c), respectively) demonstrate acceptable reflectance coefficient (>0.3) at the normal observation angle and very good dark state, which gives acceptable contrast ratio. After carrying out simulations with different polarizers, we have found that its fairly homogeneous light transmittance spectrum in the visible range improves the contrast ratio and reflectance coefficient.
Simulation results of the reflectance spectrum (see Figure 9) show that the “white state” is almost uniform, and comparable with many other e-paper technologies [1]. One can also find that the mean of the theoretical curve agrees with the experimental reflection spectrum (see Figure 4b). The dark state can be considered as uniform for the whole range of the visible spectrum.
Qualitative comparison between computer-generated image in the insert of Figure 5 and experimental images [8,25] shows its similarity for non-reflective states. However, the previously achieved value of the reflectance coefficient was about 0.43 [6]. Thus, by setting time-limited exposure, the reflectance coefficient decreases by ≈24%.

5. Discussion

Time, which is required to create an image depends on the collective change of easy alignment axis of azo dye molecules. The reflectance increases with the effective expose dose, and then saturates to the maximum value. This maximum value corresponds to the twist angle of 90°, but this process is time consuming. Therefore, it was necessary to discuss e-paper performance with the restricted in time exposure process.
Since the basis of ORW technology is the rotational diffusion model of uniaxial azo dye molecules, this approach can be used to explain in-plane reorientation mechanism and determine the governing constants, which can reduce the rewriting time. Theoretical fitting of the experiment enables to adjust the governing parameters for quick azo dye rotation time. As it is shown in Figure 8 and Figure 9 for the representative example, ORW e-paper has acceptable characteristics when the mean twist angle is equal to 70°.
The results of our study show the following:
  • Competitive optical characteristics of ORW e-paper can be achieved within 10 s;
  • The time which is required for the order parameter to achieve acceptable value depends on the mean value of the intensity during the cycle, and does not depend on the shape of the pulse;
  • The transmittance spectrum of polarizers must be fairly constant and high.
According to the diffusion model, the rotational diffusion coefficient is the constant during the exposure time. Further research is required to capture behavior of the rotational diffusion coefficient during exposure with low intensities (~0–20 mW/cm2).

6. Conclusions

In summary, we have considered recent achievements in fabrication of ORW e-paper. Many studies have demonstrated that ORW technology has high potential for photonic and display applications. Electronic paper can also be used in a variety of security applications. Photoalignment of liquid crystal films stimulates development of novel optical devices. The key of successful application of ORW technology is manipulation of material parameters to control the optical properties of LC layer.

Author Contributions

V.G.C. and A.A.K. designed the study and wrote the manuscript. F.V.P. contributed to data interpretation and suggested the material parameters, which were used for the analysis. All authors have read and agreed to the published version of the manuscript.

Funding

This research was funded by the Russian Science Foundation, grant number 20-19-00201 and by the Government of the Russian Federation, contract no. 02.A03.21.0011, act no. 211.

Conflicts of Interest

The authors declare no conflict of interest.

References

  1. Heikenfeld, J.; Zhou, K.; Kreit, E.; Raj, B.; Yang, S.; Sun, B.; Milarcik, A.; Clapp, L.; Schwartz, R. Electrofluidic displays using Young–Laplace transposition of brilliant pigment dispersions. Nat. Photonics 2009, 3, 292–296. [Google Scholar] [CrossRef]
  2. Quiroga, J.A.; Canga, I.; Alonso, J.; Crespo, D. Reversible photoalignment of Liquid crystals: A path toward the creation of Rewritable Lenses. Sci. Rep. 2020, 10, 1–9. [Google Scholar] [CrossRef] [PubMed] [Green Version]
  3. Cheung, A. ORW Light Printer Demo; Hong Kong; 2016; p. 1:54. Available online: https://www.youtube.com/watch?v=X5CDHf4H3pY (accessed on 9 August 2021).
  4. Hagedon, M.; Yang, S.; Russell, A.; Heikenfeld, J. Bright e-Paper by transport of ink through a white electrofluidic imaging film. Nat. Commun. 2012, 3, 1–7. [Google Scholar] [CrossRef] [Green Version]
  5. Liu, H.; Guo, Z.H.; Xu, F.; Jia, L.; Pan, C.; Wang, Z.L.; Pu, X. Triboelectric-optical responsive cholesteric liquid crystals for self-powered smart window, E-paper display and optical switch. Sci. Bull. 2021. Available online: https://www.sciencedirect.com/science/article/abs/pii/S2095927321003558 (accessed on 9 August 2021). [CrossRef]
  6. Chigrinov, V.G.; Kudreyko, A.A. Tunable optical properties for ORW e-paper. Liq. Cryst. 2021, 48, 1073–1077. [Google Scholar] [CrossRef]
  7. Li, J.; Bisoyi, H.K.; Tian, J.; Guo, J.; Li, Q. Optically rewritable transparent liquid crystal displays enabled by light0driven chiral fluorescent molecular switches. Adv. Mater. 2019, 31, 1807751. [Google Scholar] [CrossRef]
  8. Geng, Y.; Yao, L. Effect of azimuthal anchoring energy on rewriting speed of optical rewritable e-paper. Liq. Cryst. 2020, 48, 1–7. [Google Scholar] [CrossRef]
  9. Chigrinov, V.; Pikin, S.; Verevochnikov, A.; Kozenkov, V.; Khazimullin, M.; Ho, J.; Huang, D.D.; Kwok, H.-S. Diffusion model of photoaligning in azo-dye layers. Phys. Rev. E 2004, 69, 061713. [Google Scholar] [CrossRef] [PubMed] [Green Version]
  10. Chigrinov, V.G.; Kozenkov, V.M.; Kwok, H.-S. Photoalignment of Liquid Crystalline Materials: Physics and Applications; John Wiley & Sons: Hoboken, NJ, USA, 2008; Volume 17. [Google Scholar]
  11. Yavrian, A.; Asatryan, K.; Galstian, T.; Piche, M. Real-time holographic image restoration in azo dye doped polymer films. Opt. Commun. 2005, 251, 286–291. [Google Scholar] [CrossRef]
  12. Hu, W.; Chen, P.; Lu, Y.Q. Photoinduced liquid crystal domain engineering for optical field control. In Photoactive Functional Soft Materials: Preparation, Properties, and Applications; Wiley-VCH Verlag GmbH & Co. KGaA: Weinheim, Germany, 2019; pp. 361–387. [Google Scholar]
  13. Chigrinov, V.; Kozenkov, V.; Kwok, H. Photoaligning: Physics and Applications in Liquid Crystal Devices; Wiley VCH: Hoboken, NJ, USA, 2008. [Google Scholar]
  14. Zhang, Y.; Sun, J.; Liu, Y.; Shang, J.; Liu, H.; Liu, H.; Gong, X.; Chigrinov, V.; Kowk, H.S. A flexible optically re-writable color liquid crystal display. Appl. Phys. Lett. 2018, 112, 131902. [Google Scholar] [CrossRef]
  15. Zhang, W.; Tseng, M.C.; Lee, C.Y.; Sun, J.; Tang, S.T.; Cheung, Y.L.; Srivastava, A.; Chigrinov, V.; Kwok, H.S. P-76: Polarization-Controllable Light-Printer for Optically Rewritable (ORW) Liquid Crystal Displays. In SID Symposium Digest of Technical Papers; Wiley Online Library: Hoboken, NJ, USA, 2016; pp. 1421–1423. [Google Scholar]
  16. Muravsky, A.; Murauski, A.; Chigrinov, V.; Kwok, H.S. 60.1: Optical rewritable electronic paper with fluorescent dye doped liquid crystal. In SID Symposium Digest of Technical Papers; Wiley Online Library: Hoboken, NJ, USA, 2008; pp. 915–918. [Google Scholar]
  17. Sun, J.; Ren, L.; Deng, K.; Wang, T.; Guo, Q.; Sang, J.; Liu, Y.; Liu, H.; Shang, J.; Chigrinov, V. Greyscale generation for optically driving liquid crystal display. Liq. Cryst. 2019, 46, 1340–1344. [Google Scholar] [CrossRef]
  18. Chigrinov, V.; Sun, J.; Kuznetsov, M.M.; Belyaev, V.; Chausov, D. The Effect of Operating Temperature on the Response Time of Optically Driven Liquid Crystal Displays. Crystals 2020, 10, 626. [Google Scholar] [CrossRef]
  19. Wang, L.; Sun, J.; Liu, H.; Chigrinov, V.; Kwok, H.S. Increasing the rewriting speed of ORW e-paper by electric field. Liq. Cryst. 2018, 45, 553–560. [Google Scholar] [CrossRef]
  20. Zhang, W.; Sun, J.; Srivastava, A.K.; Chigrinov, V.G.; Kwok, H.S. Paper No S9. 3: 3-D Grayscale Images Generation on Optically Rewritable Electronic Paper. In SID Symposium Digest of Technical Papers; Wiley Online Library: Hoboken, NJ, USA, 2015; p. 40. [Google Scholar]
  21. Wu, H.; Hu, W.; Hu, H.-c.; Lin, X.-w.; Zhu, G.; Choi, J.-W.; Chigrinov, V.; Lu, Y.-q. Arbitrary photo-patterning in liquid crystal alignments using DMD based lithography system. Opt. Express 2012, 20, 16684–16689. [Google Scholar] [CrossRef] [Green Version]
  22. Muravsky, A.; Murauski, A.; Li, X.; Chigrinov, V.; Kwok, H.S. Optical rewritable liquid-crystal-alignment technology. J. Soc. Inf. Disp. 2007, 15, 267–273. [Google Scholar] [CrossRef]
  23. Benoit, H. Study of the Kerr effect by dilute solutions of rigid macromolecules. Ann. Phys. 1951, 6, 561–609. [Google Scholar]
  24. Morita, A.; Watanabe, H. An exact treatment of the Kerr-effect relaxation in a strong unidirectional electric field. J. Chem. Phys. 1979, 70, 4708–4713. [Google Scholar] [CrossRef]
  25. Sun, J.; Chigrinov, V. Effect of azo dye layer on rewriting speed of optical rewritable E-paper. Mol. Cryst. Liq. Cryst. 2012, 561, 1–7. [Google Scholar] [CrossRef]
  26. Chigrinov, V.G.; Yakovlev, D.; Kwok, H.S. Optimization and modeling of liquid-crystal displays. Inf. Disp. 2004, 20, 26. [Google Scholar] [CrossRef]
Figure 1. Azimuthal anchoring energy of nematic LC versus the exposure energy.
Figure 1. Azimuthal anchoring energy of nematic LC versus the exposure energy.
Crystals 11 01053 g001
Figure 2. Dependence of photoinduced phase retardation on the exposure time for various powers per unit area (W) of the irradiated UV-light. Solid lines indicate numerical solutions, which were obtained by using rotational diffusion model.
Figure 2. Dependence of photoinduced phase retardation on the exposure time for various powers per unit area (W) of the irradiated UV-light. Solid lines indicate numerical solutions, which were obtained by using rotational diffusion model.
Crystals 11 01053 g002
Figure 3. (Color online) (a) Schematic representation of twisted nematic liquid crystal cell. (b) Device structure of ORW e-paper.
Figure 3. (Color online) (a) Schematic representation of twisted nematic liquid crystal cell. (b) Device structure of ORW e-paper.
Crystals 11 01053 g003
Figure 4. (Color online) ORW e-paper: (a) regular (top) and with improved dark state (bottom); (b) reflection spectra of dark and bright states for 0% and 0.5% dyes.
Figure 4. (Color online) ORW e-paper: (a) regular (top) and with improved dark state (bottom); (b) reflection spectra of dark and bright states for 0% and 0.5% dyes.
Crystals 11 01053 g004
Figure 5. (Color online) Dependence of azo-dye rotation time (or formation of 70° LC twist angle) on the exposure light intensity from the 440 nm mercury line.
Figure 5. (Color online) Dependence of azo-dye rotation time (or formation of 70° LC twist angle) on the exposure light intensity from the 440 nm mercury line.
Crystals 11 01053 g005
Figure 6. (Color online) (a) Intensity pulses of the exposure radiation. (b) Evolution of the probability density functions for different modes of the exposure radiation with identical mean intensities.
Figure 6. (Color online) (a) Intensity pulses of the exposure radiation. (b) Evolution of the probability density functions for different modes of the exposure radiation with identical mean intensities.
Crystals 11 01053 g006
Figure 7. Kinetics of the relative order parameter with 10 s mean reorientation time.
Figure 7. Kinetics of the relative order parameter with 10 s mean reorientation time.
Crystals 11 01053 g007
Figure 8. (Color online) Calculated performance of ORW e-paper. (a) Angular characteristics of the contrast ratio. Angular characteristics of the reflectance coefficient for (b) bright and (c) dark states.
Figure 8. (Color online) Calculated performance of ORW e-paper. (a) Angular characteristics of the contrast ratio. Angular characteristics of the reflectance coefficient for (b) bright and (c) dark states.
Crystals 11 01053 g008
Figure 9. (Color online) Reflectance spectrum of ORW e-paper for bright- and dark states. The insert: computer-generated image with the reflective coefficients of 0.3285 and 0.0426 for bright and dark states, respectively.
Figure 9. (Color online) Reflectance spectrum of ORW e-paper for bright- and dark states. The insert: computer-generated image with the reflective coefficients of 0.3285 and 0.0426 for bright and dark states, respectively.
Crystals 11 01053 g009
Publisher’s Note: MDPI stays neutral with regard to jurisdictional claims in published maps and institutional affiliations.

Share and Cite

MDPI and ACS Style

Chigrinov, V.G.; Kudreyko, A.A.; Podgornov, F.V. Optically Rewritable Liquid Crystal Displays: Characteristics and Performance. Crystals 2021, 11, 1053. https://doi.org/10.3390/cryst11091053

AMA Style

Chigrinov VG, Kudreyko AA, Podgornov FV. Optically Rewritable Liquid Crystal Displays: Characteristics and Performance. Crystals. 2021; 11(9):1053. https://doi.org/10.3390/cryst11091053

Chicago/Turabian Style

Chigrinov, Vladimir G., Aleksey A. Kudreyko, and Fedor V. Podgornov. 2021. "Optically Rewritable Liquid Crystal Displays: Characteristics and Performance" Crystals 11, no. 9: 1053. https://doi.org/10.3390/cryst11091053

APA Style

Chigrinov, V. G., Kudreyko, A. A., & Podgornov, F. V. (2021). Optically Rewritable Liquid Crystal Displays: Characteristics and Performance. Crystals, 11(9), 1053. https://doi.org/10.3390/cryst11091053

Note that from the first issue of 2016, this journal uses article numbers instead of page numbers. See further details here.

Article Metrics

Back to TopTop