The Effect of Red Mud on Sintering Processes and Minerals of Portland Cement for Roads
Abstract
:1. Introduction
2. Materials and Experimental Methods
2.1. Materials
2.2. Preparation of Portland Cement for Road
2.3. X-ray Diffraction of Sintering Red Mud and Portland Cement for Roads
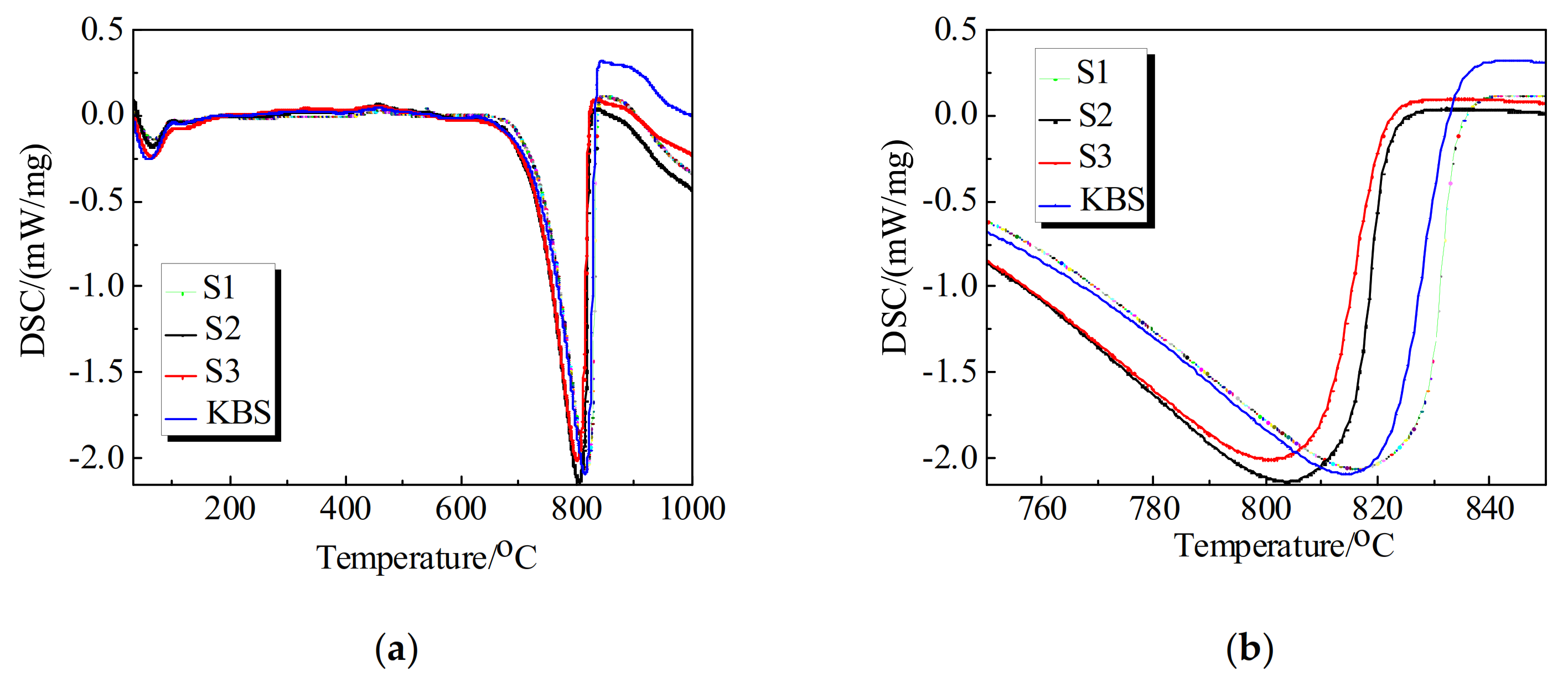
2.4. TG-DSC Analysis of Portland Cement for Roads
2.5. Experiments on Microstructure of Cement Clinker and Occurrence State of Alkali and Radioactive Elements Therein
3. Results and Discussion
3.1. Effect of Red Mud on Thermal Decomposition Characteristics of Portland Cement for Use as a Raw Material in Roads
3.2. Occurrence of Alkali in Portland Road Cement Clinker
3.3. Occurrence of Radioactive Elementsin Portland Road Cement Clinker
4. Conclusions
- The thermal decomposition temperature of each group of raw materials with red mud was lower than that of raw materials without red mud. With the increase in the red mud content, the thermal decomposition temperature of Portland road cement raw materials gradually decreased. The addition of red mud significantly promoted the carbonate decomposition process of Portland road cement raw materials.
- Alkali in Portland road cement clinker mainly existed in the intermediate phase. The distribution of Na was relatively uniform. More Na existed in the intermediate phase in the form of sulfate, and the remaining Na existed in the silicate phase in the form of a solid solution. K was mainly distributed in the intermediate phase in the form of sulfate combined with S.
- Under the principle of maximum red mud content, the S2 group with 26 wt.% red mud content had excellent physical and mechanical properties. Therefore, the optimal red mud content in Portland road cement was determined to be 26 wt.%.
- In Portland road cement clinker, Ra was mainly distributed in the silicate mineral phase in an isomorphic manner, replacing Ca solid solution in Belite. Th and K were mainly distributed in the intermediate phase.
Author Contributions
Funding
Conflicts of Interest
References
- Liu, J.; Li, X.; Zhou, C. Mechanical and thermal properties of modified red mud-reinforced phenolic foams. Polym. Int. 2018, 67, 528–534. [Google Scholar] [CrossRef]
- Power, G.; Gräfe, M.; Klauber, C. Bauxite residue issues: ΙΙ. Options for residue utilization. Hydrometallargy 2011, 108, 11–32. [Google Scholar]
- The Piping Hazard of Chinalco Henan Red Mud Reservoir Has Been Controlled. Available online: https://www.163.com/news/article/A6D0JP6O00014Q4P.html (accessed on 18 September 2014).
- Zhao, Y.; Liang, N.; Chen, H.; Li, Y. Preparation and properties of sintering red mud unburned road brick using orthogonal experiments. Constr. Build. Mater. 2019, 238, 117739. [Google Scholar] [CrossRef]
- Pontikes, Y.; Nikolopoulos, P.; Angelopoulos, G.N. Thermal behaviour of clay mixtures with bauxite residue for the production of heavy-clay ceramics. J. Eur. Ceram. Soc. 2007, 27, 1645–1649. [Google Scholar] [CrossRef]
- Singh, M.; Upadhayay, S.; Prasad, P. Preparation of special cements from red mud. Waste Manag. 1996, 45, 665–670. [Google Scholar] [CrossRef]
- Vangelatos, I.; Angelopoulos, G.N.; Boufounos, D. Utilization of ferroalumina as raw material in the production of Ordinary Portland Cement. J. Hazard. Mater. 2009, 168, 473–478. [Google Scholar] [CrossRef] [PubMed]
- Duvallet, T.; Rathbone, R.F.; Henke, K.R.; Jewell, R.B. Low-energy Low CO2-emitting cements produced from coal combustion by-products and red mud. In Proceedings of the World of Coal Ash Conference, Lexington, KY, USA, 7 May 2009; Volume 44, pp. 1–13. [Google Scholar]
- Wang, W.; Wang, X.; Zhang, J.; Ma, C. Experimental investigation and modeling of sulfoaluminate cement preparation using desulfurization gypsum and red mud. Ind. Eng. Chem. Res. 2013, 52, 1261–1266. [Google Scholar] [CrossRef]
- Wu, F.; Li, L.; Zhou, D.J. Influence of Bayer Redmud on the Alkalinity of Cement based Material Pore Solution and the Strength Development. Fly Ash Compr. Util. 2011, 2, 7–10. [Google Scholar]
- Li, J.W. Study on the Dealkalization Process and Alkali Recovery of Sintering Red Mud. Master’s Thesis, Zhengzhou University, Zhengzhou, China, 2012. [Google Scholar]
- Tian Bu, T.M.; Li, W.H.; Yang, J.N. Cement Production Study by Utilizing Sintering Red Mud. Cem. Technol. 2005, 2, 67–68. [Google Scholar]
- Feng, M.F.; Wen, X.P.; Yu, W.G. Study on the chemical phase separation method sulfur and fluorine containing clinker. Bull. Chin. Ceram. Soc. 1986, 5, 45–52. [Google Scholar]
- Wang, X.; Ma, J.T.; Zhang, L.; Yang, J.J. Radioactive Element Distribution Characteristics of Red Mud based Field Road Cement before and after Hydration. J. Wuhan Univ. Technol. Mater. 2018, 33, 452–458. [Google Scholar] [CrossRef]
- Gutteridge, W.A. On the dissolution of the interstitial phases in Portland cement. Cem. Concr. Res. 1979, 9, 319–324. [Google Scholar] [CrossRef]
- Chen, Y.K.; Wang, S.B. Study for the effects and Mechanisms of Barium Sulphate on the Formation of Alkali-Containing Clinker. J. Wuhan Univ. Technol. 1994, 16, 16–22. [Google Scholar]
- Lv, H.; Zhong, J.Y.; Fan, Y.M. The Effect of Inner-Added Bao on the Mineral Composition and Properties of System. J. South China Univ. Technol. 1990, 18, 32–40. [Google Scholar]
- Guo, X.Y.; Lu, L.C.; Wang, S.D. Influence of Barium Adding on Composition and Performance of Alite-Rich Portland Cement Clinker. J. Chin. Ceram. Soc. 2009, 37, 2083–2090. [Google Scholar]




| Oxide | SiO2 | Al2O3 | Fe2O3 | CaO | MgO | K2O | Na2O | SO3 | Loss on Ignition | Others |
|---|---|---|---|---|---|---|---|---|---|---|
| Sintering red mud | 17.33 | 6.91 | 13.23 | 30.33 | 1.47 | 1.21 | 2.33 | 0.92 | 18.70 | 7.57 |
| Dealkalized sintering red mud | 15.95 | 6.34 | 12.50 | 34.35 | 1.76 | 0.50 | 0.30 | 0.86 | 24.50 | 2.94 |
| Limestone | 4.47 | 1.71 | 0.73 | 55.35 | 1.37 | 0.64 | 0.07 | 0.18 | 35.18 | 0.30 |
| Sandstone | 89.37 | 2.55 | 2.27 | 0.59 | 0.23 | 0.77 | 0.03 | 0.02 | 3.79 | 0.38 |
| Fly ash | 52.37 | 28.80 | 5.56 | 2.89 | 2.02 | 0.54 | 1.45 | — | 3.69 | 2.68 |
| Clay | 67.31 | 14.50 | 5.55 | 1.95 | 1.77 | 1.23 | 1.11 | — | 4.87 | 1.71 |
| Samples | Raw Material Content | Clinker Rate Values | |||||||
|---|---|---|---|---|---|---|---|---|---|
| Limestone (wt.%) | Dealkalied Red Mud (wt.%) | Sandstone (wt.%) | Clay (wt.%) | Fly Ash (wt.%) | Iron Oxide (wt.%) | KH | SM | IM | |
| S1 | 68.31 | 23.00 | 6.90 | 0.00 | 1.79 | 0.00 | 0.90 | 1.97 | 0.96 |
| S2 | 66.00 | 26.00 | 6.21 | 0.00 | 1.79 | 0.00 | 0.90 | 1.82 | 0.90 |
| S3 | 64.41 | 28.00 | 5.80 | 0.00 | 1.79 | 0.00 | 0.90 | 1.73 | 0.87 |
| KBS | 83.41 | 0.00 | 2.90 | 9.50 | 1.79 | 2.40 | 0.90 | 1.95 | 0.96 |
| Samples | Compressive Strength (MPa) | Flexural Strength (MPa) | Standard Consistency Water Consumption (%) | Setting Time (h:min) | 28 day Dry Shrinkage (%) | |||||
|---|---|---|---|---|---|---|---|---|---|---|
| 3 days | 7 days | 28 days | 3 days | 7 days | 28 days | Initial Setting Time | Final Setting Time | |||
| KBS | 34.20 | 43.17 | 53.15 | 6.02 | 7.72 | 8.17 | 28.4 | 1:22 | 3:37 | 0.048 |
| S1 | 26.80 | 38.30 | 57.50 | 6.17 | 7.95 | 8.78 | 27.4 | 1:32 | 3:20 | 0.043 |
| S2 | 27.40 | 39.20 | 55.30 | 6.27 | 7.90 | 8.45 | 27.4 | 1:36 | 3:17 | 0.037 |
| S3 | 18.00 | 29.20 | 39.95 | 4.67 | 6.67 | 7.33 | 27.2 | 2:15 | 3:49 | 0.033 |
| Sample | Decomposition Temperature (℃) | Weight Loss Rate (%) | ||
|---|---|---|---|---|
| Initial Decomposition Temperature | Fastest Decomposition Temperature | End Decomposition Temperature | ||
| S1 | 659.2 | 815.9 | 837.9 | 35.25 |
| S2 | 653.4 | 804.0 | 827.3 | 35.15 |
| S3 | 649.2 | 800.7 | 825.8 | 35.26 |
| KBS | 671.8 | 814.4 | 841.3 | 35.90 |
| Sample | 226Ra (Bq/kg) | 232Th (Bq/kg) | 40K (Bq/kg) | IRa | Ir | Total Specific Activity (Bq/kg) |
|---|---|---|---|---|---|---|
| KBS | 38.3 | 31.3 | 308.5 | 0.19 | 0.30 | 378.1 |
| S1 | 108.6 | 94 | 304.8 | 0.54 | 0.73 | 507.4 |
| S2 | 136.3 | 126.2 | 309.1 | 0.68 | 0.93 | 571.6 |
| S3 | 151.3 | 138.9 | 311.7 | 0.76 | 1.02 | 601.9 |
| C3S, C2S | 311.1 | 91 | 58.1 | 1.6 | 1.2 | 460.2 |
Publisher’s Note: MDPI stays neutral with regard to jurisdictional claims in published maps and institutional affiliations. |
© 2021 by the authors. Licensee MDPI, Basel, Switzerland. This article is an open access article distributed under the terms and conditions of the Creative Commons Attribution (CC BY) license (https://creativecommons.org/licenses/by/4.0/).
Share and Cite
Wang, X.; Sun, K.; Li, X.; Ma, J.; Luo, Z. The Effect of Red Mud on Sintering Processes and Minerals of Portland Cement for Roads. Crystals 2021, 11, 1267. https://doi.org/10.3390/cryst11101267
Wang X, Sun K, Li X, Ma J, Luo Z. The Effect of Red Mud on Sintering Processes and Minerals of Portland Cement for Roads. Crystals. 2021; 11(10):1267. https://doi.org/10.3390/cryst11101267
Chicago/Turabian StyleWang, Xiao, Ke Sun, Xin Li, Juntao Ma, and Zhongtao Luo. 2021. "The Effect of Red Mud on Sintering Processes and Minerals of Portland Cement for Roads" Crystals 11, no. 10: 1267. https://doi.org/10.3390/cryst11101267
APA StyleWang, X., Sun, K., Li, X., Ma, J., & Luo, Z. (2021). The Effect of Red Mud on Sintering Processes and Minerals of Portland Cement for Roads. Crystals, 11(10), 1267. https://doi.org/10.3390/cryst11101267
