Flexural Performance of Small-Scale Textile-Reinforced Concrete Beams
Abstract
:1. Introduction
2. Experimental Program
2.1. Materials
2.2. Concrete Proportions
2.3. Testing Methods
3. Results
3.1. Unreinforced Concrete Beams
3.2. Bi-Axial Textile TRC
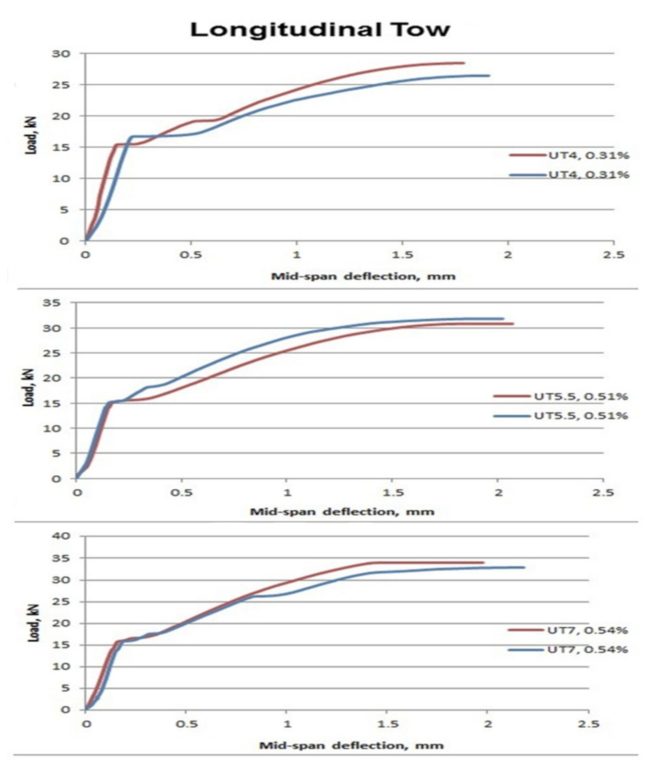
3.3. Uni-axial Textile TRC
3.4. Chopped Fibres
3.5. Steel Reinforced Concrete Beams
4. Discussion
5. Conclusions
- It was discovered that the shape and placement of textiles directly impact the binding amongst concrete and reinforcements. Lost rovings/tows result in a better connection owing to a rise in the interface amongst the concrete matrix and reinforcements, and consequently, an increase in the number of active filaments. Accordingly, the load capacity and deflection of the TRC beams with loose roving/tow were much higher.
 - Textiles are corrosion-resistant, allowing for thinner cover thicknesses to be designed. However, because of the lower ability for transferring the stresses amongst the reinforcements and the concrete matrix, a thin cover thickness might cause shear and sudden failure.
 - Because of the differences in textile and steel reinforcing characteristics, TRC beams behave differently from SRC beams in moment-curvature behaviour. The fundamental distinction between textiles and steel reinforcing qualities is the stress-strain performance.
 - The ultimate loads and deflections of the TRC beam were around 50% and 37% larger than those of SRC beam for the similar reinforcement area, respectively.
 - Overall, the flexural findings for TRC beam samples with various layouts reveal that textile reinforcement may adequately reinforce concrete beams as structural components.
 
Funding
Data Availability Statement
Acknowledgments
Conflicts of Interest
References
- Du, Y.; Zhang, X.; Zhou, F.; Zhu, D.; Zhang, M.; Pan, W. Flexural behavior of basalt textile-reinforced concrete. Constr. Build. Mater. 2018, 183, 7–21. [Google Scholar] [CrossRef]
 - Escrig, C.; Gil, L.; Bernat-Maso, E.; Puigvert, F. Experimental and analytical study of reinforced concrete beams shear strengthened with different types of textile-reinforced mortar. Constr. Build. Mater. 2015, 83, 248–260. [Google Scholar] [CrossRef] [Green Version]
 - Junes, A.; Larbi, A.S. An experimental and theoretical study of sandwich panels with TRC facings: Use of metallic connectors and TRC stiffeners. Eng. Struct. 2016, 113, 174–185. [Google Scholar] [CrossRef]
 - Bentur, A.; Mindess, S. Fibre Reinforced Cementitious Composites, 2nd ed.; CRC Press: New York, NY, USA, 2006. [Google Scholar]
 - Verbruggen, S.; Tysmans, T.; Wastiels, J. TRC or CFRP strengthening for reinforced concrete beams: An experimental study of the cracking behaviour. Eng. Struct. 2014, 77, 49–56. [Google Scholar] [CrossRef]
 - Mohammadhosseini, H.; Yatim, J.M.; Sam, A.R.M.; Awal, A.A. Durability performance of green concrete composites containing waste carpet fibers and palm oil fuel ash. J. Clean. Prod. 2017, 144, 448–458. [Google Scholar] [CrossRef]
 - Tysmans, T.; Adriaenssens, S.; Cuypers, H.; Wastiels, J. Structural analysis of small span textile reinforced concrete shells with double curvature. Compos. Sci. Technol. 2009, 69, 1790–1796. [Google Scholar] [CrossRef]
 - Tetta, Z.C.; Koutas, L.; Bournas, D.A. Textile-reinforced mortar (TRM) versus fiber-reinforced polymers (FRP) in shear strengthening of concrete beams. Compos. Part B Eng. 2015, 77, 338–348. [Google Scholar] [CrossRef] [Green Version]
 - Mohammadhosseini, H.; Tahir, M.M.; Sam, A.R.M.; Lim, N.H.A.S.; Samadi, M. Enhanced performance for aggressive environments of green concrete composites reinforced with waste carpet fibers and palm oil fuel ash. J. Clean. Prod. 2017, 185, 252–265. [Google Scholar] [CrossRef]
 - Triantafillou, T.C.; Papanicolaou, C.G. Shear strengthening of reinforced concrete members with textile reinforced mortar (TRM) jackets. Mater. Struct. 2006, 39, 93–103. [Google Scholar] [CrossRef]
 - Sofiyev, A. Influences of shear stresses on the dynamic instability of exponentially graded sandwich cylindrical shells. Compos. Part B Eng. 2015, 77, 349–362. [Google Scholar] [CrossRef]
 - Papanicolaou, C.G.; Triantafillou, T.; Karlos, K.; Papathanasiou, M. Textile-reinforced mortar (TRM) versus FRP as strengthening material of URM walls: In-plane cyclic loading. Mater. Struct. 2006, 40, 1081–1097. [Google Scholar] [CrossRef]
 - Bournas, D.A.; Lontou, P.V.; Papanicolaou, C.G.; Triantafillou, T.C. Textile-reinforced mortar versus fiber-reinforced polymer confinement in reinforced concrete columns. ACI Struct. J. 2007, 104, 740. [Google Scholar]
 - Tetta, Z.C.; Koutas, L.; Bournas, D.A. Shear strengthening of full-scale RC T-beams using textile-reinforced mortar and textile-based anchors. Compos. Part B Eng. 2016, 95, 225–239. [Google Scholar] [CrossRef]
 - Gil, L.; Escrig, C.; Bernat-Maso, E. Bending performance of concrete beams strengthened with textile reinforced mortar TRM. In Key Engineering Materials; Trans Tech Publications Ltd.: Bach, Switzerland, 2014; Volume 601, pp. 203–206. [Google Scholar]
 - Mumenya, S.W.; Tait, R.B.; Alexander, M.G. Evaluation of toughness of textile concrete. Mater. Struct. 2010, 44, 279–289. [Google Scholar] [CrossRef]
 - Brockmann, T.; Brameshuber, W. Matrix development for the production technology of textile reinforced concrete (TRC) structural elements. In Proceedings of the 3rd International Conference on Composites in Construction, Vancouver Canada, 11–13 July 2005; pp. 1165–1172. [Google Scholar]
 - Barhum, R.; Mechtcherine, V. Influence of short dispersed and short integral glass fibres on the mechanical behaviour of textile-reinforced concrete. Mater. Struct. 2012, 46, 557–572. [Google Scholar] [CrossRef]
 - Cohen, Z.; Peled, A.; Pasder, Y.; Roye, A.; Gries, T. Effects of warp knitted fabrics made from multi-filament in cement-based composites. In Proceedings of the 1st International Conference in Textile Reinforced Concrete (ICTRC1), Aachen, Germany, 6 September 2006; pp. 23–32. [Google Scholar]
 - Häußler-Combe, U.; Hartig, J. Bond and failure mechanisms of textile reinforced concrete (TRC) under uniaxial tensile loading. Cem. Concr. Compos. 2007, 29, 279–289. [Google Scholar] [CrossRef]
 - Hegger, J.; Will, N.; Bruckermann, O.; Voss, S. Load–bearing behaviour and simulation of textile reinforced concrete. Mater. Struct. 2006, 39, 765–776. [Google Scholar] [CrossRef]
 - Hartig, J.; Häußler-Combe, U.; Schicktanz, K. Influence of bond properties on the tensile behaviour of Textile Reinforced Concrete. Cem. Concr. Compos. 2008, 30, 898–906. [Google Scholar] [CrossRef]
 - Hannant, D.J. Fibre-reinforced concrete. In Advanced Concrete Technology-Processes; Butterworth-Heinemann: Oxford, UK, 2003. [Google Scholar]
 - Hegger, J.; Voss, S. Investigations on the bearing behaviour and application potential of textile reinforced concrete. Eng. Struct. 2008, 30, 2050–2056. [Google Scholar] [CrossRef]
 - Alrshoudi, F.; Mohammadhosseini, H.; Tahir, M.M.; Alyousef, R.; Alghamdi, H.; Alharbi, Y.; Alsaif, A. Drying shrinkage and creep properties of prepacked aggregate concrete reinforced with waste polypropylene fibers. J. Build. Eng. 2020, 32, 101522. [Google Scholar] [CrossRef]
 - Yin, S.P.; Lü, H.L.; Xu, S.L. Properties and calculation of normal section bearing capacity of RC flexural beam with skin textile reinforcement. J. Cent. South Univ. 2013, 20, 1731–1741. [Google Scholar] [CrossRef]
 - Hussien, O.H.; Ibrahim, A.M.; Abd, S.M. Improving Flexural Behavior of Textile Reinforced Concrete One Way Slab by Removing Weft Yarns with Different Percentages. Civ. Eng. J. 2018, 4, 2903. [Google Scholar] [CrossRef] [Green Version]
 - Ortlepp, R. Efficient Adaptive Test Method for Textile Development Length in TRC. Adv. Civ. Eng. 2018, 2018, 4650102. [Google Scholar] [CrossRef] [Green Version]
 - Alrshoudi, F.; Mohammadhosseini, H.; Alyousef, R.; Alghamdi, H.; Alharbi, Y.R.; Alsaif, A. Sustainable use of waste polypropylene fibers and palm oil fuel ash in the production of novel prepacked aggregate fiber-reinforced concrete. Sustainability 2020, 12, 4871. [Google Scholar] [CrossRef]
 - Contamine, R.; Larbi, A.S.; Hamelin, P. Tensile identification of textile reinforcement concrete behaviour. In Proceedings of the International RILEM Conference on Material Science; RILEM Publications SARL: Aachen, Germany, 2010; pp. 105–110. [Google Scholar]
 - Mohammadhosseini, H.; Alrshoudi, F.; Tahir, M.M.; Alyousef, R.; Alghamdi, H.; Alharbi, Y.R.; Alsaif, A. Performance evaluation of novel prepacked aggregate concrete reinforced with waste polypropylene fibers at elevated temperatures. Const. Build. Mater. 2020, 259, 120418. [Google Scholar] [CrossRef]
 - Abdulmajeed, A.A.; Närhi, T.O.; Vallittu, P.K.; Lassila, L.V. The effect of high fiber fraction on some mechanical properties of unidirectional glass fiber-reinforced composite. Dent. Mater. 2011, 27, 313–321. [Google Scholar] [CrossRef]
 - Mohammadhosseini, H.; Alrshoudi, F.; Tahir, M.M.; Alyousef, R.; Alghamdi, H.; Alharbi, Y.R.; Alsaif, A. Durability and thermal properties of prepacked aggregate concrete reinforced with waste polypropylene fibers. J. Build. Eng. 2020, 32, 101723. [Google Scholar] [CrossRef]
 - Alyousef, R.; Mohammadhosseini, H.; Alrshoudi, F.; Alabduljabbar, H.; Mohamed, A.M. Enhanced performance of concrete composites comprising waste metalised polypropylene fibres exposed to aggressive environments. Crystals. 2020, 10, 696. [Google Scholar] [CrossRef]
 - Mohammadhosseini, H.; Ngian, S.P.; Alyousef, R.; Tahir, M.M. Synergistic effects of waste plastic food tray as low-cost fibrous materials and palm oil fuel ash on transport properties and drying shrinkage of concrete. J. Build. Eng. 2020, 102826. [Google Scholar] [CrossRef]
 - Alrshoudi, F.; Mohammadhosseini, H.; Alyousef, R.; Alabduljabbar, H.; Mustafa Mohamed, A. The impact resistance and deformation performance of novel pre-packed aggregate concrete reinforced with waste polypropylene fibres. Crystals 2020, 10, 788. [Google Scholar] [CrossRef]
 - Mohammadhosseini, H.; Awal, A.S.M.A. Physical and mechanical properties of concrete containing fibers from industrial carpet waste. Int. J. Res. Eng. Technol. 2013, 2, 464–468. [Google Scholar]
 






















| Properties | Tow, 50 k | 
|---|---|
| No. of filaments (k) | 50 | 
| Filament diameter (µm) | 7 | 
| Fabric weight (g/m2) | 130 | 
| Modulus of elasticity, Ef (MPa) | 235,000 | 
| Tensile strength, ff (MPa) | 4000 | 
| Concrete Mixture | Mix (kg/m3) | 
|---|---|
| Cement | 504 | 
| Coarse aggregates | 1108 | 
| Sand | 683 | 
| Water | 177 | 
| w/c | 0.35 | 
| Superplasticizer (SP), Litre | 7 | 
| Slump Test (mm) | 110 | 
| Compressive Strength (MPa) | 85 | 
| Reinforcement | Area (mm2) | Vf (%) | Voids Ratio | Average Ultimate Load (kN) | Average Deflection (mm) | 
|---|---|---|---|---|---|
| BT3, 50 k | 23.1 | 0.46 | 0.61 | 15.2 | 0.2 | 
| BT3-90, 50 k | 0.65 | 16.9 | 0.6 | ||
| BT4, 50 k | 30.8 | 0.62 | 0.61 | 24.6 | 1.8 | 
| BT4-90, 50 k | 0.65 | 24 | 1.5 | ||
| UT4, 50 k | 30.8 | 0.31 | 0.76 | 27.5 | 1.9 | 
| Reinforcement | Area (mm2) | Vf (%) | Average Ultimate Load (kN) | Average Deflection (mm) | 
|---|---|---|---|---|
| BT4, 50 k | 30.8 | 0.62 | 24.6 | 1.8 | 
| BT4-+45/−45, 50 k | 15.3 | 0.2 | 
| Reinforcement | Area (mm2) | Vf (%) | Average Ultimate Load (kN) | Average Deflection (mm) | 
|---|---|---|---|---|
| BT2, 50 k | 15.4 | 0.37 | 14.2 | 0.2 | 
| BT3, 50 k | 23.1 | 0.46 | 15.2 | 0.2 | 
| BT4, 50 k | 30.8 | 0.62 | 24.6 | 1.8 | 
| BT7, 50 k | 53.9 | 1.08 | 29.7 | 2.6 | 
| Reinforcement | Area (mm2) | Vf (%) | Average Ultimate Load (kN) | Average Deflection (mm) | 
|---|---|---|---|---|
| BT4, 50 k | 30.8 | 0.62 | 24.6 | 1.8 | 
| UT4, 50 k | 0.31 | 27.5 | 1.9 | |
| BT7, 50 k | 53.9 | 1.08 | 29.7 | 2.6 | 
| UT7, 50 k | 0.54 | 32.9 | 2.1 | 
Publisher’s Note: MDPI stays neutral with regard to jurisdictional claims in published maps and institutional affiliations.  | 
© 2021 by the author. Licensee MDPI, Basel, Switzerland. This article is an open access article distributed under the terms and conditions of the Creative Commons Attribution (CC BY) license (https://creativecommons.org/licenses/by/4.0/).
Share and Cite
Alrshoudi, F. Flexural Performance of Small-Scale Textile-Reinforced Concrete Beams. Crystals 2021, 11, 1178. https://doi.org/10.3390/cryst11101178
Alrshoudi F. Flexural Performance of Small-Scale Textile-Reinforced Concrete Beams. Crystals. 2021; 11(10):1178. https://doi.org/10.3390/cryst11101178
Chicago/Turabian StyleAlrshoudi, Fahed. 2021. "Flexural Performance of Small-Scale Textile-Reinforced Concrete Beams" Crystals 11, no. 10: 1178. https://doi.org/10.3390/cryst11101178
APA StyleAlrshoudi, F. (2021). Flexural Performance of Small-Scale Textile-Reinforced Concrete Beams. Crystals, 11(10), 1178. https://doi.org/10.3390/cryst11101178
        
                                                
