Nematic Phase Induced from Symmetrical Supramolecular H-Bonded Systems Based on Flexible Acid Core
Abstract
1. Introduction
2. Experimental
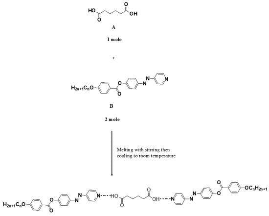
Preparation of 1:2 SMHBLC Complexes
3. Results and Discussion
3.1. FT-IR Characterizations of 1:2 SMHBLC Complexes
3.2. Mesophase Behavior of 1:2 SMHBLC Complexes, A/2Bn
- Lateral adhesion of molecules which increases with the increase of the base alkoxy-chain length or aspect ratio. In addition, the alkoxy chain length seems to play a significant role in the stabilization of mesophases of the SMHBCs.
- Molecular geometry which is actually a function of the structure of the complexes, which in many cases is affected by the steric hindrance of the attached groups.
- End-to-end interaction which depends mainly on the polarity and the length of the terminal substituents that result in the variation of the polarizability.
3.3. Entropy Changes
3.4. Effect of Changes in the Mesogenic Cores
3.5. Photo-Physical Study
3.6. X-ray Diffraction Investigation
4. Conclusions
Supplementary Materials
Author Contributions
Funding
Conflicts of Interest
References
- Sunil, B.N.; Srinatha, M.K.; Shanker, G.; Hegde, G.; Alaasar, M.; Tschierske, C. Effective tuning of optical storage devices using photosensitive bent-core liquid crystals. J. Mol. Liq. 2020, 304, 112719. [Google Scholar] [CrossRef]
- Hird, M. Fluorinated liquid crystals—Properties and applications. Chem. Soc. Rev. 2007, 36, 2070. [Google Scholar] [CrossRef] [PubMed]
- Brand, H.R.; Cladis, P.E.; Pleiner, H. Symmetry and defects in the CM phase of polymeric liquid crystals. Macromolecules 1992, 25, 7223. [Google Scholar] [CrossRef]
- Cook, A.G.; Baumeister, U.; Tschierske, C. Supramolecular dendrimers: Unusual mesophases of ionic liquid crystals derived from protonation of DAB dendrimers with facial amphiphilic carboxylic acids. J. Mater. Chem. 2005, 15, 1708. [Google Scholar] [CrossRef]
- Alhaddad, O.; Ahmed, H.; Hagar, M. Experimental and theoretical approaches of new nematogenic chair architectures of supramolecular H-bonded liquid crystals. Molecules 2020, 25, 365. [Google Scholar] [CrossRef] [PubMed]
- Ahmed, H.; Hagar, M.; Alhaddad, O. New chair shaped supramolecular complexes-based aryl nicotinate derivative; mesomorphic properties and DFT molecular geometry. RSC Adv. 2019, 9, 16366–16374. [Google Scholar] [CrossRef]
- Nafee, S.S.; Ahmed, H.A.; Hagar, M. New architectures of supramolecular H-bonded liquid crystal complexes based on dipyridine derivatives. Liq. Cryst. 2020, 1–14. [Google Scholar] [CrossRef]
- Alnoman, R.B.; Ahmed, H.A.; Hagar, M.; Abu Al-Ola, K.A.; Alrefay, B.S.; Haddad, B.A.; Albalawi, R.F.; Aljuhani, R.H.; Aloqebi, L.D.; Alsenani, S.F. Induced phases of new H-bonded supramolecular liquid crystal complexes; mesomorphic and geometrical estimation. Molecules 2020, 25, 1549. [Google Scholar] [CrossRef]
- Alnoman, R.B.; Hagar, M.; Ahmed, H.A.; Abu Al-Ola, K.A.; Naoum, M.M.; Al-Elati, F.; Abdullah Zaid, Y.; Alsharif, A.; Al-Juhani, Y.; Abulrhelh, A. Characterization of New H-Bonded Liquid Crystalline Complexes Based on Iminophenyl Nicotinate. Crystals 2020, 10, 499. [Google Scholar] [CrossRef]
- Alhaddad, O.A.; Abu Al-Ola, K.A.; Hagar, M.; Ahmed, H.A. Chair-and V-Shaped of H-bonded supramolecular complexes of azophenyl nicotinate derivatives; mesomorphic and DFT molecular geometry aspects. Molecules 2020, 25, 1510. [Google Scholar] [CrossRef]
- Kato, T.; Fukumasa, M.; Frechet, J.M.J. Supramolecular liquid-crystalline complexes exhibiting room-temperature mesophases and electrooptic effects. hydrogen-bonded mesogens derived from alkylpyridines and benzoic acids. Chem. Mater. 1995, 7, 368. [Google Scholar] [CrossRef]
- Fukumasa, M.; Kato, T.; Uryu, T.; Frechet, J.M.J. The Simplest Structure of the Hydrogen-Bonded Mesogen Built from 4-Alkoxybenzoic Acid and 4-Alkylpyridine. Chem. Lett. 1993, 22, 65. [Google Scholar] [CrossRef]
- Kato, T.; Fujishima, A.; Frechet, J.M.J. Self-Assembly of a Twin Liquid Crystalline Complex through Intermolecular Hydrogen Bondings. Chem. Lett. 1990, 19, 919. [Google Scholar] [CrossRef]
- Kato, T.; Adachi, H.; Fujishima, A.; Frechet, J.M.J. Self-Assembly of Liquid Crystalline Complexes Having Angular Structures through Intermolecular Hydrogen Bonding. Chem. Lett. 1992, 21, 265. [Google Scholar] [CrossRef]
- Prasad, S.K.; Nair, G.G.; Hegde, G. Dynamic Self-Assembly of the Liquid-Crystalline Smectic A Phase. Adv. Mater. 2005, 17, 2086–2091. [Google Scholar] [CrossRef]
- Tanaka, D.; Ishiguro, H.; Shimizu, Y.; Uchida, K. Thermal and photoinduced liquid crystalline phase transitions with a rod–disc alternative change in the molecular shape. J. Mater. Chem. 2012, 22, 25065–25071. [Google Scholar] [CrossRef]
- Alaasar, M.; Poppe, S.; Tschierske, C. Photoresponsive halogen bonded polycatenar liquid crystals. J. Mol. Liq. 2019, 277, 233–240. [Google Scholar] [CrossRef]
- Pintre, I.C.; Serrano, J.L.; Ros, M.B.; Martínez-Perdiguero, J.; Alonso, I.; Ortega, J.; Folcia, C.L.; Etxebarria, J.; Alicante, R.; Villacampa, B. Bent-core liquid crystals in a route to efficient organic nonlinear optical materials. J. Mater. Chem. 2010, 20, 2965–2971. [Google Scholar] [CrossRef]
- Yang, P.C.; Liu, J.H. Synthesis and characterization of novel photoisomerizable liquid crystalline polymers containing cinnamoyl groups. J. Polym. Sci. Part A Polym. Chem. 2008, 46, 1289–1304. [Google Scholar] [CrossRef]
- Pongali Sathya Prabu, N.; Madhu Mohan, M.L.N. Characterization of a hydrogen bonded liquid crystal homologous series: Detailed FTIR studies in various mesophases. J. Mol. Struct. 2011, 994, 387–391. [Google Scholar] [CrossRef]
- Pongali Sathya Prabu, N.; Madhu Mohan, M.L.N. Characterization of a new smectic ordering in supramolecular hydrogen bonded liquid crystals by X-ray, optical and dielectric studies. J. Mol. Liq. 2013, 182, 79. [Google Scholar] [CrossRef]
- Pongali Sathya Prabu, N.; Vijayakumar, V.N.; Madhu Mohan, M.L.N. Thermal and dielectric studies of self-assembly systems formed by hydroquinone and alkyloxy benzoic acids. Phys. B Condens. Matter 2011, 406, 1106. [Google Scholar] [CrossRef]
- Gopunath, A.J.; Chitravel, T.; Kavitha, C.; Pongali Sathya Prabu, N.; Madhu Mohan, M.L.N. Double Hydrogen Bonded Liquid Crystals Formed by Glutaric Acid. Mol. Cryst. Liq. Cryst. 2013, 547, 19. [Google Scholar] [CrossRef]
- Lehn, J.M. Supramolecular Chemistry: Concept and Perspectives; VCH Verlagsgesellschaft: Weinheim, Germany, 1995. [Google Scholar]
- Fouquey, C.; Lehn, J.M.; Mlevelut, A. Molecular recognition directed self-assembly of supramolecular liquid crystalline polymers from complementary chiral components. Adv. Mater. 1990, 2, 254. [Google Scholar] [CrossRef]
- Dave, J.S.; Menon, M. Azomesogens with a heterocyclic moiety. Bull. Mater. Sci. 2000, 23, 237–238. [Google Scholar] [CrossRef]
- Abberley, J.P.; Killah, R.; Walker, R.; Storey, J.M.; Imrie, C.T.; Salamończyk, M.; Zhu, C.; Gorecka, E.; Pociecha, D. Heliconical smectic phases formed by achiral molecules. Nat. Commun. 2018, 9, 228. [Google Scholar] [CrossRef] [PubMed]
- Paterson, D.A.; Crawford, C.A.; Pociecha, D.; Walker, R.; Storey, J.M.; Gorecka, E.; Imrie, C.T. The role of a terminal chain in promoting the twist-bend nematic phase: The synthesis and characterisation of the 1-(4-cyanobiphenyl-4′-yl)-6-(4-alkyloxyanilinebenzylidene-4′-oxy) hexanes. Liq. Cryst. 2018, 45, 2341–2351. [Google Scholar] [CrossRef]
- Ahmed, H.; Hagar, M.; Aljuhani, A. Mesophase behavior of new linear supramolecular hydrogen-bonding complexes. RSC Adv. 2018, 8, 34937–34946. [Google Scholar] [CrossRef]
- Ahmed, H.; Hagar, M.; Alaasar, M.; Naoum, M. Wide nematic phases induced by hydrogen-bonding. Liq. Cryst. 2019, 46, 550–559. [Google Scholar] [CrossRef]
- Ghosh, T.; Lehmann, M. Recent advances in heterocycle-based metal-free calamitics. J. Mater. Chem. C 2017, 5, 12308–12337. [Google Scholar] [CrossRef]
- Zhang, X.-B.; Tang, B.-C.; Zhang, P.; Li, M.; Tian, W.-J. Synthesis and characterization of 1, 3, 4-oxadiazole derivatives containing alkoxy chains with different lengths. J. Mol. Struct. 2007, 846, 55–64. [Google Scholar] [CrossRef]
- Chen, Y.; Yu, H.; Quan, M.; Zhang, L.; Yang, H.; Lu, Y. Photothermal effect of azopyridine compounds and their applications. RSC Adv. 2015, 5, 4675–4680. [Google Scholar] [CrossRef]
- Garcia-Amorós, J.; Reig, M.; Cuadrado, A.; Ortega, M.; Nonell, S.; Velasco, D. A photoswitchable bis-azo derivative with a high temporal resolution. Chem. Commun. 2014, 50, 11462–11464. [Google Scholar] [CrossRef]
- Bremer, M.; Kirsch, P.; Klasen-Memmer, M.; Tarumi, K. The TV in Your Pocket: Development of Liquid-Crystal Materials for the New Millennium. Angew. Chem. Int. Ed. 2013, 52, 8880–8896. [Google Scholar] [CrossRef] [PubMed]
- Sacconea, M.; Kuntze, K.; Ahmed, Z.; Siiskonen, A.; Giese, M.; Priimagi, A. Ortho-fluorination of azophenols increases the mesophase stability of photoresponsive hydrogen-bonded liquid crystals. J. Mater. Chem. C 2018, 6, 9958–9996. [Google Scholar]
- Saccone, M.; Pfletscher, M.; Kather, S.; Wölper, C.; Daniliuc, C.; Mezger, M.; Giese, M. Improving the mesomorphic behaviour of supramolecular liquid crystals by resonance-assisted hydrogen bonding. J. Mater. Chem. C 2019, 7, 8643–8648. [Google Scholar] [CrossRef]
- Chen, Y.J.; Yu, H.F.; Zhang, L.Y.; Yang, H.; Lu, Y.F. Photoresponsive liquid crystals based on halogen bonding of azopyridines. Chem. Commun. 2014, 50, 9647. [Google Scholar] [CrossRef]
- Pfletscher, M.; Wölper, C.; Gutmann, J.S.; Mezger, M.; Giese, M. A modular approach towards functional supramolecular aggregates—Subtle structural differences inducing liquid crystallinity. Chem. Commun. 2016, 52, 8549. [Google Scholar] [CrossRef]
- Naoum, M.; Fahmi, A.; Alaasar, M. Supramolecular Hydrogen-Bonded Liquid Crystals Formed from 4-(4′-Pyridylazophenyl)-4″–Substituted Benzoates and 4-Alkoxybenzoic Acids. Mol. Cryst. Liq. Cryst. 2008, 482, 57–70. [Google Scholar] [CrossRef]
- Martinez-Felipe, A.; Cook, A.G.; Abberley, J.P.; Walker, R.; Storey, J.M.; Imrie, C.T. An FT-IR spectroscopic study of the role of hydrogen bonding in the formation of liquid crystallinity for mixtures containing bipyridines and 4-pentoxybenzoic acid. RSC Adv. 2016, 6, 108164–108179. [Google Scholar] [CrossRef]
- Cleland, W.; Kreevoy, M.M. Low-barrier hydrogen bonds and enzymic catalysis. Science 1994, 264, 1887–1890. [Google Scholar] [CrossRef] [PubMed]
- Lizu, M.; Lutfor, M.; Surugau, N.; How, S.; Arshad, S.E. Synthesis and characterization of ethyl cellulose–based liquid crystals containing azobenzene chromophores. Mol. Cryst. Liq. Cryst. 2010, 528, 64–73. [Google Scholar] [CrossRef]
- Martínez-Felipe, A.; Imrie, C.T. The role of hydrogen bonding in the phase behaviour of supramolecular liquid crystal dimers. J. Mol. Struct. 2015, 1100, 429–437. [Google Scholar] [CrossRef]
- Ghanem, A.; Noel, C. FTIR investigation of two alkyl-p-terphenyl-4,4″-dicarboxylates in their crystalline, smectic and isotropic phases. Mol. Cryst. Liq. Cryst. 1987, 150, 447–472. [Google Scholar] [CrossRef]
- Paterson, D.A.; Martínez-Felipe, A.; Jansze, S.M.; TMMarcelis, A.; MDStorey, J.; Imrie, C.T. New insights into the liquid crystal behaviour of hydrogen-bonded mixtures provided by temperature-dependent FTIR spectroscopy. Liq. Cryst. 2015, 42, 928–939. [Google Scholar] [CrossRef]
- Walker, R.; Pociecha, D.; Abberley, J.; Martinez-Felipe, A.; Paterson, D.; Forsyth, E.; Lawrence, G.; Henderson, P.; Storey, J.; Gorecka, E.; et al. Spontaneous chirality through mixing achiral components: A twist-bend nematic phase driven by hydrogen-bonding between unlike components. Chem. Commun. 2018, 54, 3383–3386. [Google Scholar] [CrossRef]
- Gopunatha, A.J.; Chitravela, T.; Kavithab, C.; Pongali Sathya Prabub, N.; Madhu Mohanb, M.L.N. Thermal, Optical, and Dielectric Analysis of Hydrogen-Bonded Liquid Crystals Formed by Adipic and Alkyloxy Benzoic Acids. Mol. Cryst. Liq. Cryst. 2014, 592, 63. [Google Scholar] [CrossRef]
- Ahmed, H.; Naoum, M.; Saad, G. Mesophase behaviour of 1: 1 mixtures of 4-n-alkoxyphenylazo benzoic acids bearing terminal alkoxy groups of different chain lengths. Liq. Cryst. 2016, 43, 1259–1267. [Google Scholar] [CrossRef]
- Saccone, M.; Spengler, M.; Pfletscher, M.; Kuntze, K.; Virkki, M.; Wölper, C.; Gehrke, R.; Jansen, G.; Metrangolo, P.; Priimagi, A.; et al. Photoresponsive Halogen-Bonded Liquid Crystals: The Role of Aromatic Fluorine Substitution. Chem. Mater. 2019, 31, 462–470. [Google Scholar] [CrossRef]
- Dhammika Bandara, H.; Burdette, S.C. Photoisomerization in different classes of azobenzene. Chem. Soc. Rev. 2012, 41, 1809–1825. [Google Scholar] [CrossRef]
- Zhang, X.; Feng, H.; Yan, M.; Guo, H.; Yang, F. The novel rufigallol-based liquid crystals with cholesterol units: Synthesis, mesomorphic and photophysical properties. Liq. Cryst. 2019, 46, 787–796. [Google Scholar] [CrossRef]
- Lin, L.; Qin, W.; Cheng, B.; Guo, H.; Yang, F. The influence of multiple alkyl chains on mesomorphic and photophysical properties of diphenylacrylonitrile liquid crystals. Liq. Cryst. 2019, 47, 1–10. [Google Scholar] [CrossRef]
- Yang, M.; Liu, Z.; Li, X.; Yuan, Y.; Zhang, H. Influence of flexible spacer length on self-organization behaviors and photophysical properties of hemiphasmidic liquid crystalline polymers containing cyanostilbene. Eur. Polym. J. 2020, 123, 109459. [Google Scholar] [CrossRef]
- Zhang, B.Y.; Jia, Y.G.; Yao, D.S.; Dong, X.W. Preparation and properties of siloxane liquid crystalline elastomers with a mesogenic crosslinking agent. Liq. Cryst. 2004, 31, 339. [Google Scholar] [CrossRef]











| System | TCr-SmA | ∆HCr-SmA | TSmA-I | ∆HSmA-I | TSmA-N | ∆HSmA-N | TN-I | ∆HN-I | ∆SSmA/R | ∆SN/R |
|---|---|---|---|---|---|---|---|---|---|---|
| A/2B8 | 139.5 | 76.07 | - | - | 159.1 | 7.80 | 171.2 | 3.86 | 2.17 | 1.04 |
| A/2B10 | 131.0 | 78.90 | - | - | 156.8 | 6.41 | 166.1 | 3.76 | 1.79 | 1.03 |
| A/2B12 | 130.3 | 77.58 | - | - | 149.7 | 4.98 | 161.7 | 3.49 | 1.42 | 0.97 |
| A/2B14 | 126.5 | 70.61 | 138.4 | 4.48 | - | - | - | - | 1.31 | - |
© 2020 by the authors. Licensee MDPI, Basel, Switzerland. This article is an open access article distributed under the terms and conditions of the Creative Commons Attribution (CC BY) license (http://creativecommons.org/licenses/by/4.0/).
Share and Cite
Ahmed, H.A.; Khushaim, M.S. Nematic Phase Induced from Symmetrical Supramolecular H-Bonded Systems Based on Flexible Acid Core. Crystals 2020, 10, 801. https://doi.org/10.3390/cryst10090801
Ahmed HA, Khushaim MS. Nematic Phase Induced from Symmetrical Supramolecular H-Bonded Systems Based on Flexible Acid Core. Crystals. 2020; 10(9):801. https://doi.org/10.3390/cryst10090801
Chicago/Turabian StyleAhmed, Hoda A., and Muna S. Khushaim. 2020. "Nematic Phase Induced from Symmetrical Supramolecular H-Bonded Systems Based on Flexible Acid Core" Crystals 10, no. 9: 801. https://doi.org/10.3390/cryst10090801
APA StyleAhmed, H. A., & Khushaim, M. S. (2020). Nematic Phase Induced from Symmetrical Supramolecular H-Bonded Systems Based on Flexible Acid Core. Crystals, 10(9), 801. https://doi.org/10.3390/cryst10090801

